Accuracy of Simulated Diurnal Valley Winds in the Swiss Alps: Influence of Grid Resolution, Topography Filtering, and Land Surface Datasets
Abstract
:1. Introduction
2. Methods and Data
2.1. Model Description
2.2. Experiments
2.3. Observations
3. Results
3.1. Overview of July 2006
3.2. Evaluation of the Diurnal Valley Winds
3.3. Impact of Land Surface Datasets
3.4. Impact of Topography Smoothing and Grid Resolution
4. Conclusions
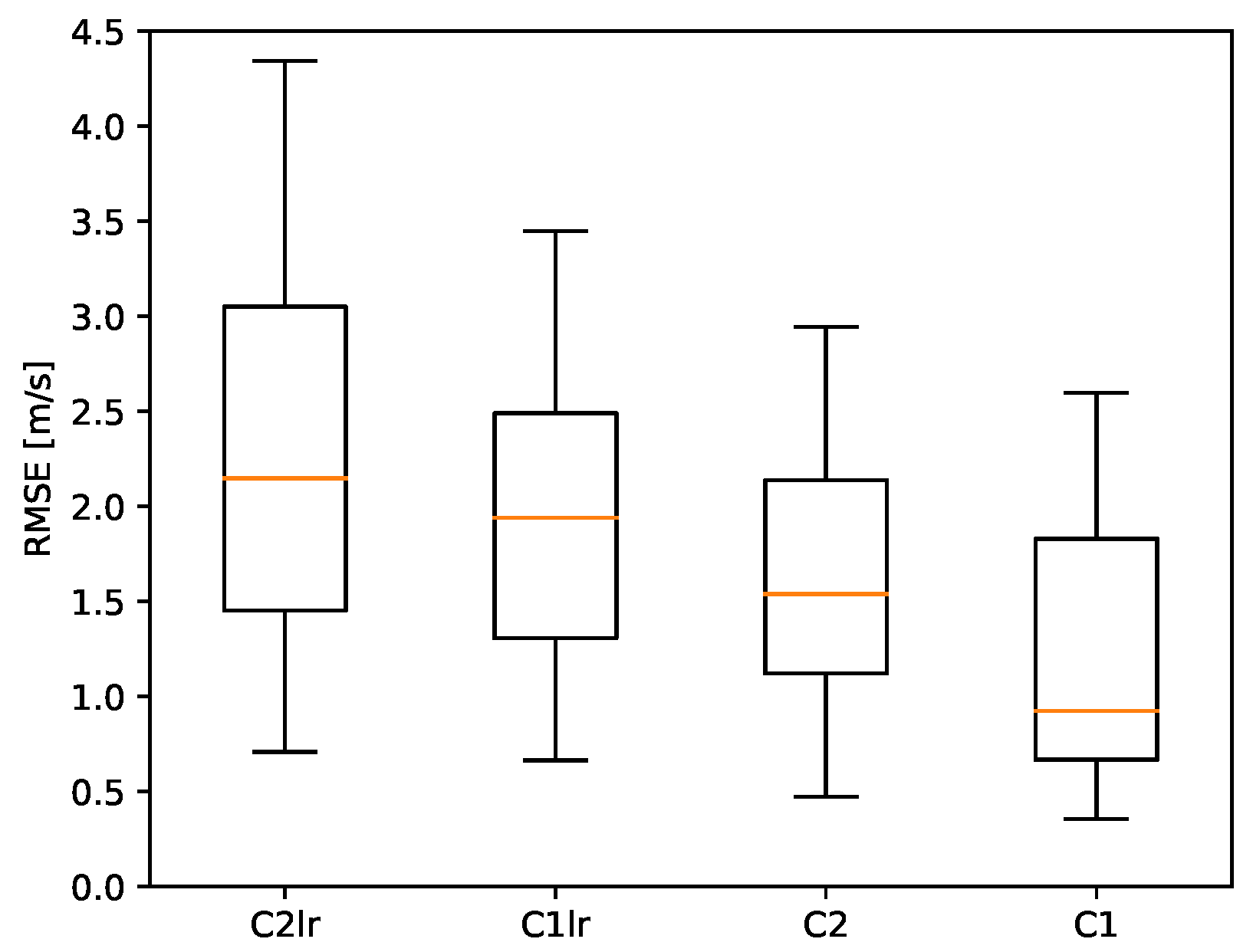
- At km grid spacing, the diurnal cycle of the valley winds is poorly simulated for most stations, in particular for the simulations using the lower-resolution land surface datasets. At a km resolution, the diurnal cycle is well represented in most large (e.g., Rhein valley at Chur and Rhone valley at Visp) and medium-sized valleys (e.g., Linth valley at Glarus). In the smaller valleys (e.g., Maggia valley at Cevio), the amplitude of the valley wind is still significantly underestimated, even at a 1.1 km resolution. The median RMSE of the mean daytime maximum wind speed is reduced from around 2 m/s for the two simulations with lower-resolution land surface data (C2lr, C1lr) to less than 1 m/s for the km simulation with higher-resolution land surface data (C1).
- The sensitivity experiments show that the use of high-resolution land surface datasets, for topography, the soil characteristics as well as the land cover is essential to achieve an improved representation of the valley winds. Thus, in contrast to [24], we find a significant improvement of the simulated winds at a km resolution, in comparison to a km resolution. This can be attributed to the fact that, in [24], the authors did not use the higher-resolution land surface datasets, as these were not yet available for the COSMO model, and that they considered only a small subset of the stations (located in the larger valleys).
- Not surprisingly, the fidelity of the model valley topography is a key factor for a good representation of the valley wind. It was found that a simple measure of this fidelity—the grid point altitude bias—is a reasonable predictor for the accuracy of the simulated winds. Furthermore, it was shown that a reduced filtering of the topography (cutoff at 3.5), in comparison to the operational setup at MeteoSwiss (cutoff at 5), results in a further improvement of the simulated winds, in particular for the smaller valleys. The resolution requirement for a good representation of the along-valley wind seems to be surprisingly moderate. Resolving the valley floor cross section with only 1–2 grid points yields good results in most cases.
Author Contributions
Funding
Acknowledgments
Conflicts of Interest
Appendix A

References
- Schmutz, C.; Schmuki, D.; Duding, O.; Rohling, S. Aeronautical Climatological Information Sion LSGS; Arbeitsbericht 209; Federal Office of Meteorology and Climatology (MeteoSwiss): Zurich, Switzerland, 2004; Available online: http://www.meteoschweiz.admin.ch (accessed on 22 February 2018).
- Banta, R.M. The role of mountain flows in making clouds. In Atmospheric Processes over Complex Terrain; Number 23 in Meteorological Monographs; American Meteorological Society: Boston, MA, USA, 1990; pp. 229–283. [Google Scholar]
- Zardi, D.; Whiteman, C.D. Observations of thermally developed wind systems in mountainous terrain. In Mountain Weather Research and Forecasting—Recent Progress and Current Challenges; Springer: Berlin, Germany, 2013; pp. 35–122. [Google Scholar]
- Rotach, M.W.; Calanca, P.; Graziani, G.; Gurtz, J.; Steyn, D.G.; Vogt, R.; Andretta, M.; Christen, A.; Cieslik, S.; Connolly, R.; et al. Turbulence structure and exchange processes in an alpine valley: The Riviera project. Bull. Am. Meteorol. Soc. 2004, 85, 1367–1385. [Google Scholar] [CrossRef]
- Schmidli, J. Daytime heat transfer processes over mountainous terrain. J. Atmos. Sci. 2013, 70, 4041–4066. [Google Scholar] [CrossRef]
- Rotach, M.W.; Gohm, A.; Lang, M.; Leukauf, D.; Stiperski, I.; Wagner, J.S. The world is not flat: Implications for the global carbon balance. Front. Earth Sci. 2015, 76. [Google Scholar] [CrossRef]
- Serafin, S.; Adler, B.; Cuxart, J.; De Wekker, S.F.J.; Gohm, A.; Grisogono, B.; Kalthoff, N.; Kirshbaum, D.J.; Rotach, M.W.; Schmidli, J.; et al. Exchange processes in the atmospheric boundary layer over mountainous terrain. Atmosphere 2018, 9, 102. [Google Scholar] [CrossRef]
- Wagner, A. Theorie und Beobachtung der periodischen Gebirgswinde. Gerl. Beitr. Geophys. 1938, 52, 408–449. [Google Scholar]
- Steinacker, R. Area-height distribution of a valley and its relation to the valley wind. Contrib. Atmos. Phys. 1984, 57, 64–71. [Google Scholar]
- Egger, J. Thermally forced flows: Theory. In Atmospheric Processes over Complex Terrain; Number 23 in Meteorological Monographs; American Meteorological Society: Boston, MA, USA, 1990; pp. 43–58. [Google Scholar]
- Neininger, B.; Liechti, O. Local winds in the upper Rhone valley. GeoJournal 1984, 8, 265–270. [Google Scholar] [CrossRef]
- Hennemuth, B.; Schmidt, H. Wind phenomena in the Dischma valley during DISKUS. Arch. Meteorol. Geophys. Bioklimatol. 1985, 35, 361–387. [Google Scholar] [CrossRef]
- Whiteman, C.D. Observations of thermally developed wind systems in mountainous terrain. In Atmospheric Processes over Complex Terrain; Number 23 in Meteorological Monographs; American Meteor Society: Geneseo, NY, USA, 1990; pp. 5–42. [Google Scholar]
- Henne, S.; Furger, M.; Nyeki, S.; Steinbacher, M.; Neininger, B.; de Wekker, S.F.J.; Dommen, J.; Spchtinger, N.; Stohl, A.; Prévôt, A.S.H. Quantification of topographic venting of boundary layer air to the free troposphere. Atmos. Chem. Phys. 2004, 4, 497–509. [Google Scholar] [CrossRef]
- Rotach, M.W.; Zardi, D. On the boundary-layer structure over highly complex terrain: Key findings from MAP. Q. J. R. Meteorol. Soc. 2007, 133, 937–948. [Google Scholar] [CrossRef]
- Rampanelli, G.; Zardi, D.; Rotunno, R. Mechanisms of up-valley winds. J. Atmos. Sci. 2004, 61, 3097–3111. [Google Scholar] [CrossRef]
- Schmidli, J.; Rotunno, R. Mechanisms of along-valley winds and heat exchange over mountainous terrain. J. Atmos. Sci. 2010, 67, 3033–3047. [Google Scholar] [CrossRef]
- Schmidli, J.; Rotunno, R. Influence of the valley surroundings on valley-wind dynamics. J. Atmos. Sci. 2012, 69, 561–577. [Google Scholar] [CrossRef]
- Wagner, J.S.; Gohm, A.; Rotach, M.W. The impact of valley geometry on daytime thermally driven flows and vertical transport processes. Q. J. R. Meteorol. Soc. 2015, 141, 1780–1794. [Google Scholar] [CrossRef]
- Zängl, G. Numerical errors above steep topography: A model intercomparison. Meteorol. Z. 2004, 13, 69–76. [Google Scholar] [CrossRef]
- Chow, F.K.; Weigel, A.P.; Street, R.L.; Rotach, M.W.; Xue, M. High-resolution large-eddy simulations of flow in a steep Alpine valley. Part I: Methodology, verification, and sensitivity experiments. J. Appl. Meteorol. Climatol. 2006, 45, 63–86. [Google Scholar] [CrossRef]
- Weigel, A.P.; Chow, F.K.; Rotach, M.W.; Street, R.L.; Xue, M. High-resolution large-eddy simulations of flow in a steep Alpine valley. Part II: Flow structure and heat budgets. J. Appl. Meteorol. Climatol. 2006, 45, 87–107. [Google Scholar] [CrossRef]
- Schmidli, J.; Poulos, G.S.; Daniels, M.H.; Chow, F.K. External influences on nocturnal thermally driven flows in a deep valley. J. Appl. Meteorol. Climatol. 2009, 48, 3–23. [Google Scholar] [CrossRef]
- Langhans, W.; Schmidli, J.; Fuhrer, O.; Bieri, S.; Schär, C. Long-term simulations of thermally driven flows and orographic convection at convection-parameterizing and cloud-resolving resolutions. J. Appl. Meteorol. Climatol. 2013, 52, 1490–1510. [Google Scholar] [CrossRef]
- Steppeler, J.; Doms, G.; Schättler, U.; Bitzer, H.; Gassmann, A.; Damrath, U.; Gregoric, G. Meso-gamma scale forecasts using the nonhydrostatic model LM. Meteorol. Atmos. Phys. 2003, 82, 75–96. [Google Scholar] [CrossRef]
- Klemp, J.B.; Wilhelmson, R.B. The simulation of three-dimensional convective storm dynamics. J. Atmos. Sci. 1978, 35, 1070–1096. [Google Scholar] [CrossRef]
- Wicker, L.J.; Skamarock, W.C. Time-splitting methods for elastic models using forward time schemes. Mon. Weather Rev. 2002, 130, 2088–2097. [Google Scholar] [CrossRef]
- Baldauf, M.; Seifert, A.; Förstner, J.; Majewski, D.; Raschendorfer, M.; Reinhardt, T. Operational convective-scale numerical weather prediction with the COSMO model: Description and sensitivities. Meteorol. Atmos. Phys. 2011, 139, 3887–3905. [Google Scholar] [CrossRef]
- Ritter, B.; Geleyn, J.F. A comprehensive radiation scheme for numerical weather prediction models with potential applications in climate simulations. Mon. Weather Rev. 1992, 120, 303–325. [Google Scholar] [CrossRef]
- Reinhardt, T.; Seifert, A. A three-category ice-scheme for LMK. COSMO Newsl. 2006, 6, 115–120. [Google Scholar]
- Mellor, G.L.; Yamada, T. Development of a turbulence closure model for geophysical fluid problems. Rev. Geophys. Space Phys. 1982, 20, 851–875. [Google Scholar] [CrossRef]
- Raschendorfer, M. The new turbulence parameterization of LM. COSMO Newsl. 2001, 1, 89–97. [Google Scholar]
- Müller, M.D.; Scherer, D. A grid- and subgrid-scale radiation parameterization of topographic effects for mesoscale weather forecast models. Mon. Weather. Rev. 2005, 133, 1431–1442. [Google Scholar] [CrossRef]
- Buzzi, M. Challenges in Operational Numerical Weather Prediction at High Resolution in Complex Terrain. Ph.D. Thesis, ETH Zurich, Zurich, Switzerland, 2008. [Google Scholar]
- Schulz, J.; Vogel, G.; Becker, C.; Kothe, S.; Rummel, U.; Ahrens, B. Evaluation of the ground heat flux simulated by a multi-layer land surface scheme using high-quality observations at grass land and bare soil. Meteorol. Z. 2016, 25, 607–620. [Google Scholar] [CrossRef]
- Lott, F.; Miller, M.J. A new subgrid-scale orographic drag parametrization: Its formulation and testing. Q. J. R. Meteorol. Soc. 1997, 123, 101–127. [Google Scholar] [CrossRef]
- Hohenegger, C.; Brockhaus, P.; Schär, C. Towards climate simulations at cloud-resolving scales. Meteorol. Z. 2008, 17, 383–394. [Google Scholar] [CrossRef]
- Hohenegger, C.; Brockhaus, P.; Bretherton, C.S.; Schär, C. The soil moisture-precipitation feedback in simulations with explicit and parameterized convection. J. Clim. 2009, 22, 5003–5020. [Google Scholar] [CrossRef]
- Langhans, W.; Schmidli, J.; Schär, C. Bulk convergence of cloud-resolving simulations of moist convection over complex terrain. J. Atmos. Sci. 2012, 69, 2207–2228. [Google Scholar] [CrossRef]
- Ban, N.; Schmidli, J.; Schär, C. Evaluation of the convection-resolving regional climate modeling approach in decade-long simulations. J. Geophys. Res. Atmos. 2014, 119, 7889–7907. [Google Scholar] [CrossRef]
- Raymond, W.H. High-order low-pass implicit tangent filters for use in finite area calculations. Mon. Weather Rev. 1988, 116, 2132–2141. [Google Scholar] [CrossRef]
- Asensio, H.; Messmer, M. External Parameters for Numerical Weather Prediction and Climate Application. EXTPAR v2_0_2. User and Implementation Guide. Technical Report. 2014. Available online: http://www.cosmo-model.org/content/model/modules/Extpar_201408_user_and_implementation_manual.pdf (accessed on 22 February 2018).
- Kaufmann, P. Association of surface stations to NWP model grid points. COSMO Newsl. 2008, 9, 2. [Google Scholar]
- Cerenzia, I. Challenges and Critical Aspects in Stable Boundary Layer Representation in Numerical Weather Prediction Modeling: Diagnostic Analyses and Proposals for Improvement. Ph.D. Thesis, Universitá di Bologna, Bologna, Italy, 2017. [Google Scholar]
- Rotach, M.W.; Stiperski, I.; Fuhrer, O.; Goger, B.; Gohm, A.; Obleitner, F.; Rau, G.; Sfyri, E.; Vergeiner, J. Investigating exchange processes over complex topography. The Innsbruck Box (i-Box). Bull. Am. Meteorol. Soc. 2017, 98, 787–805. [Google Scholar] [CrossRef]
- Hunter, J.D. Matplotlib: A 2D graphics environment. Comput. Sci. Eng. 2007, 9, 90–95. [Google Scholar] [CrossRef]















| Experiment | (km) | (s) | LSD | Filter Cutoff | Slope () | (m) |
|---|---|---|---|---|---|---|
| C1 | 1.1 | 10 s | high-res | 5 | 33.2 | 216 |
| C1lr | 1.1 | 10 s | low-res | 5 | 25.3 | 222 |
| C2 | 2.2 | 20 s | high-res | 5 | 20.3 | 378 |
| C2lr | 2.2 | 20 s | low-res | 5 | 20.2 | 348 |
| C1f | 1.1 | 10 s | high-res | 3.5 | 43.6 | 142 |
| C500f | 0.55 | 5 s | high-res | 3.5 | 45.6 | 78 |
| Characteristic | High-Resolution Datasets | Low-Resolution Datasets |
|---|---|---|
| Topography | ASTER, 30 m | GLOBE, 1 km |
| Soil | HWSD, 1 km | FAO DSMW, 10 km |
| Land cover | GC2009, 300 m | GLC2000, 1 km |
| Catchment | Acronym | Station | Height (m) | Site |
|---|---|---|---|---|
| Inn | SAM | Samedan | 1708 | medval (junc) |
| Linth | GLA | Glarus | 517 | medval (junc) |
| Reuss | ALT | Altdorf | 438 | lrgval |
| GUE | Guetsch | 2287 | ridge | |
| Rhein | CHU | Chur | 556 | lrgval (curv) |
| CMA | Crap Masegen | 2480 | ridge | |
| PMA | Piz Martegnas | 2670 | ridge | |
| QUI | Quinten | 419 | lake | |
| VAB | Valbella | 1569 | medval | |
| VAD | Vaduz | 457 | lrgval | |
| WFJ | Weissfluhjoch | 2690 | ridge | |
| Rhone | EVI | Evionnaz | 482 | lrgval |
| GRH | Grimsel Hospiz | 1980 | pass | |
| GSB | Col de Grand | 2472 | pass | |
| St. Bernard | ||||
| SIO | Sion | 482 | lrgval | |
| ULR | Ulrichen | 1345 | medval | |
| VIS | Visp | 639 | lrgval | |
| ZER | Zermatt | 1638 | smlval | |
| Ticino | CEV | Cevio | 417 | smlval (curv) |
| LOR | Lodrino | 261 | medval | |
| PIO | Piotta | 990 | smlval |
| Valley | Station | C2 | C1 | C1f | C500f |
|---|---|---|---|---|---|
| large | VIS | 354 | 158 | 66 | |
| ALT | 334 | 9 | 3 | ||
| medium | LOR | 379 | 188 | 103 | |
| GLA | 459 | 134 | 41 | 3 | |
| small | CEV | 570 | 408 | 230 | 195 |
| PIO | 553 | 344 | 235 | 51 | |
| all | all | 226 | 74 | 28 | 5 |
© 2018 by the authors. Licensee MDPI, Basel, Switzerland. This article is an open access article distributed under the terms and conditions of the Creative Commons Attribution (CC BY) license (http://creativecommons.org/licenses/by/4.0/).
Share and Cite
Schmidli, J.; Böing, S.; Fuhrer, O. Accuracy of Simulated Diurnal Valley Winds in the Swiss Alps: Influence of Grid Resolution, Topography Filtering, and Land Surface Datasets. Atmosphere 2018, 9, 196. https://doi.org/10.3390/atmos9050196
Schmidli J, Böing S, Fuhrer O. Accuracy of Simulated Diurnal Valley Winds in the Swiss Alps: Influence of Grid Resolution, Topography Filtering, and Land Surface Datasets. Atmosphere. 2018; 9(5):196. https://doi.org/10.3390/atmos9050196
Chicago/Turabian StyleSchmidli, Juerg, Steven Böing, and Oliver Fuhrer. 2018. "Accuracy of Simulated Diurnal Valley Winds in the Swiss Alps: Influence of Grid Resolution, Topography Filtering, and Land Surface Datasets" Atmosphere 9, no. 5: 196. https://doi.org/10.3390/atmos9050196
APA StyleSchmidli, J., Böing, S., & Fuhrer, O. (2018). Accuracy of Simulated Diurnal Valley Winds in the Swiss Alps: Influence of Grid Resolution, Topography Filtering, and Land Surface Datasets. Atmosphere, 9(5), 196. https://doi.org/10.3390/atmos9050196

