CCN Activity, Variability and Influence on Droplet Formation during the HygrA-Cd Campaign in Athens
Abstract
:1. Introduction
2. Instrumentation and Methods
2.1. Sampling Site
2.2. Instrumentation and Models
2.3. Analysis Methodology
3. Results
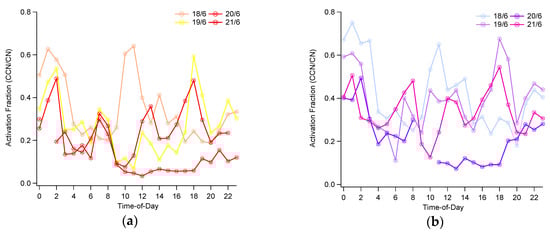
3.1. Aerosol and CCN Measurements
3.2. Aerosol Hygroscopicity
4. Discussion
Impact on Droplet Number and Cloud Formation
5. Summary and Conclusions
Supplementary Materials
Acknowledgments
Author Contributions
Conflicts of Interest
References
- Intergovernmental Panel on Climate Change. Climate Change 2013: The Physical Science Basis, Contribution of Working Group i to The Fifth Assessment Report of the Intergovernmental Panel on Climate Change; Stocker, T.F., Qin, D., Plattner, G.K., Tignor, M., Allen, S.K., Boschung, J., Nauels, A., Xia, Y., Bex, V., Midgley, P.M., Eds.; Cambridge University Press: Cambridge, UK; New York, NY, USA, 2013; p. 1535. [Google Scholar]
- Seinfeld, J.H.; Bretherton, C.; Carslaw, K.S.; Coe, H.; DeMott, P.J.; Dunlea, E.J.; Feingold, G.; Ghan, S.; Guenther, A.B.; Kahn, R.; et al. Improving our fundamental understanding of the role of aerosol-cloud interactions in the climate system. PNAS 2016, 113, 5781–5790. [Google Scholar] [CrossRef] [PubMed]
- Köhler, H. The nucleus in the growth of hygroscopic droplets. T. Faraday Soc. 1936, 32, 1152. [Google Scholar] [CrossRef]
- Seinfeld, J.H.; Pandis, S.N. Atmospheric Chemistry and Physics: From Air Pollution to Climate Change; Wiley: Hoboken, NJ, USA, 1998. [Google Scholar]
- Nenes, A.; Seinfeld, J.H. Parameterization of cloud droplet formation in global climate models. J. Geophys. Res. 2003, 108. [Google Scholar] [CrossRef]
- Barahona, D.; West, R.E.L.; Stier, P.; Romakkaniemi, S.; Kokkola, H.; Nenes, A. Comprehensively Accounting for the Effect of Giant CCN in Cloud Activation Parameterizations. Atmos. Chem. Phys. 2010, 10, 2467–2473. [Google Scholar] [CrossRef]
- Ghan, S.J.; Abdul-Razzak, H.; Nenes, A.; Ming, Y.; Liu, X.; Ovchinnikov, M.; Shipway, B.; Meskhidze, N.; Xu, J.; Shi, X. Droplet Nucleation: Physically-based Parameterization and Comparative Evaluation. J. Adv. Model. Earth Syst. 2011, 3. [Google Scholar] [CrossRef]
- Morales Betancourt, R.; Nenes, A. Droplet Activation Parameterization: The population splitting concept revisited. Geosci. Mod. Dev. 2014, 7, 2345–2357. [Google Scholar] [CrossRef]
- Meskhidze, N.; Nenes, A.; Conant, W.C.; Seinfeld, J.H. Evaluation of a new cloud droplet activation parameterization with in situ data from CRYSTAL-FACE and CSTRIPE. J. Geophys. Res. 2005, 110, D16202. [Google Scholar] [CrossRef]
- Fountoukis, C.; Nenes, A.; Meskhidze, N.; Bahreini, R.; Brechtel, F.; Conant, W.C.; Jonsson, H.; Murphy, S.; Sorooshian, A.; Varutbangkul, V.; et al. Aerosol–cloud drop concentration closure for clouds sampled during ICARTT. J. Geophys. Res. 2007, 112, D10S30. [Google Scholar]
- Morales, R.; Nenes, A.; Jonsson, H.; Flagan, R.C.; Seinfeld, J.H. Evaluation of a diabatic droplet activation parameterization using in-situ cloud data. J. Geophys. Res. 2011, 116, D15205. [Google Scholar] [CrossRef]
- Hoyle, C.R.; Webster, C.S.; Rieder, H.E.; Nenes, A.; Hammer, E.; Herrmann, E.; Gysel, M.; Bukowiecki, N.; Weingartner, E.; Steinbacher, M.; et al. Chemical and physical influences on aerosol activation in liquid clouds: a study based on observations from the Jungfraujoch, Switzerland. Atmos. Chem. Phys. 2016, 16, 4043–4061. [Google Scholar] [CrossRef]
- Solomos, S.; Kallos, G.; Kushta, J.; Astitha, M.; Tremback, C.; Nenes, A.; Levin, Z. An integrated modeling study on the effects of mineral dust and sea salt particles on clouds and precipitation. Atmos. Chem. Phys. 2011, 11, 873–892. [Google Scholar] [CrossRef]
- Sud, Y.C.; Lee, D.; Oreopoulos, L.; Barahona, D.; Nenes, A.; Suarez, M.J. Performance of McRAS-AC in the GEOS-5 AGCM: Aerosol-cloud-microphysics, precipitation, cloud radiative effects, and circulation. Geosci. Mod. Dev. 2013, 6, 57–79. [Google Scholar] [CrossRef]
- Barahona, D.; Molod, A.; Bacmeister, J.; Nenes, A.; Gettelman, A.; Morrison, H.; Phillips, V.; Eichmann, A. Development of Two-Moment Cloud Microphysics for Liquid and Ice within the NASA Goddard Earth Observing System Model (GEOS-5). Geosci. Mod. Dev. 2014, 7, 1733–1766. [Google Scholar] [CrossRef]
- Zhang, Y.; Zhang, X.; Wang, K.; He, J.; Fan, J.; Leung, L.R.; Nenes, A. Incorporating an advanced aerosol activation parameterization into WRF-CAM5: Model evaluation and parameterization intercomparison. J. Geophys. Res. 2015, 120. [Google Scholar] [CrossRef]
- Morales, R.; Nenes, A. Characteristic updrafts for computing distribution-averaged cloud droplet number, autoconversion rate effective radius. J. Geophys. Res. 2010, 115, D18220. [Google Scholar] [CrossRef]
- Papayannis, A.; Argyrouli, A.; Bougiatioti, A.; Remoundaki, E.; Vratolis, S.; Nenes, A.; Solomos, S.; Komppula, M.; Giannakaki, E.; Kalogiros, J.; et al. An overview from hygroscopic aerosols to cloud droplets: The HygrA-CD campaign in the Athens basin. Sci. Total Environ. 2017, 574, 216–233. [Google Scholar] [CrossRef] [PubMed]
- Kanakidou, M.; Mihalopoulos, N.; Kindap, T.; Im, U.; Vrekoussis, M.; Gerasopoulos, E.; Dermitzaki, E.; Unal, A.; Kocak, M.; Markakis, K.; et al. Megacities as hot spots of air pollution in the East Mediterranean. Atmos. Environ. 2011, 45, 1223–1235. [Google Scholar] [CrossRef]
- Melas, D.; Ziomas, I.; Klemm, O.; Zerefos, C.S. Flow dynamics in Athens area under moderate large-scale winds. Atmos. Environ. 1998, 32, 2209–2222. [Google Scholar] [CrossRef]
- Roberts, G.C.; Nenes, A. A continuous-flow streamwise thermal-gradient CCN chamber for atmospheric measurements. Aerosol Sci. Technol. 2005, 39, 206–221. [Google Scholar] [CrossRef]
- Bougiatioti, A.; Fountoukis, C.; Kalivitis, N.; Pandis, S.N.; Nenes, A.; Mihalopoulos, N. Cloud condensation nuclei measurements in the marine boundary layer of the Eastern Mediterranean: CCN closure and droplet growth kinetics. Atmos. Chem. Phys. 2009, 9, 7053–7066. [Google Scholar] [CrossRef]
- Papayannis, A.; Balis, D.; Kokkalis, P.; Mamouri, R.; Tsaknakis, G.; Giannakaki, E.; Siomos, N.; Amiridis, V. ARIADNE: The Greek Lidar Network. Proceedings of 26th International Laser Radar Conference, Porto Heli, Greece, 25–29 September 2012; pp. 349–352. [Google Scholar]
- Argyrouli, A.; Bougiatioti, A.; Müller, D.; Kolgotin, A.; Bezantakos, S.; Papayannis, A.; Nenes, A. Cloud Condensation Nuclei spectra from a multi-wavelength Raman lidar and impacts on droplet number. Atmos. Chem. Phys. 2017. in preparation. [Google Scholar]
- Kokkalis, P.; Papayannis, P.; Mamouri, R.E.; Tsaknakis, G.; Amiridis, V. The EOLE Lidar system of the National Technical University of Athens. Proceedings of 26th International Laser Radar Conference, Porto Heli, Greece, 25–29 September 2012; pp. 629–632. [Google Scholar]
- Skamarock, W.C.; Klemp, J.B.; Dudhia, J.; Gill, D.O.; Barker, D.M.; Wang, W.; Powers, J.G. A Description of the Advanced Research WRF Version 2; NCAR Tech. Note NCAR/TN-468+STR: Boulder, CO, USA, 2005. [Google Scholar]
- Banks, R.F.; Baldasano, J.M. Impact of WRF model PBL schemes on air quality simulations over Catalonia, Spain. Sci. Total Environ. 2016, 572, 98–113. [Google Scholar] [CrossRef] [PubMed]
- National Centers for Environmental Prediction, National Weather Service. Available online: http://www.ncep.noaa.gov/ (accessed on 15 June 2017).
- Department of Commerce. NCEP FNL Operational Model Global Tropospheric Analyses, Continuing from July 1999; Research Data Archive at the National Center for Atmospheric Research; Computational and Information Systems Laboratory: Boulder, CO, USA, 2000. [CrossRef]
- Petters, M.D.; Kreidenweis, S.M. A single parameter representation of hygroscopic growth and cloud condensation nucleus activity. Atmos. Chem. Phys. 2007, 7, 1961–1971. [Google Scholar] [CrossRef]
- Moore, R.H.; Bahreini, R.; Brock, C.A.; Froyd, K.D.; Cozic, J.; Holloway, J.S.; Middlebrook, A.M.; Murphy, D.M.; Nenes, A. Hygroscopicity and composition of Alaskan Arctic CCN during April 2008. Atmos. Chem. Phys. 2011, 11, 11807–11825. [Google Scholar] [CrossRef]
- Lance, S.; Raatikainen, T.; Onasch, T.B.; Worsnop, D.R.; Yu, X.Y.; Alexander, M.L.; Stolzenburg, M.R.; McMurry, P.H.; Smith, J.N.; Nenes, A. Aerosol mixing state, hygroscopic growth and cloud activation efficiency during MIRAGE 2006. Atmos. Chem. Phys. 2013, 13, 5049–5062. [Google Scholar] [CrossRef]
- Wang, J.; Cubison, M.J.; Aiken, A.C.; Jimenez, J.L.; Collins, D.R. The importance of aerosol mixing state and size-resolved composition on CCN concentration and the variation of importance with atmospheric aging of aerosols. Atmos. Chem. Phys. 2010, 10, 7267–7283. [Google Scholar] [CrossRef]
- Bougiatioti, A.; Bezantakos, S.; Stavroulas, I.; Kalivitis, N.; Kokkalis, P.; Biskos, G.; Mihalopoulos, N.; Papayannis, A.; Nenes, A. Biomass-burning impact on CCN number, hygroscopicity and cloud formation during summertime in the eastern Mediterranean. Atmos. Chem. Phys. 2016, 16, 7389–7409. [Google Scholar] [CrossRef]
- Kalkavouras, P.; Bossioli, E.; Bezantakos, S.; Bougiatioti, A.; Kalivitis, N.; Stavroulas, I.; Kouvarakis, G.; Protonotariou, A.P.; Dandou, A.; Biskos, G.; et al. New particle formation in the southern Aegean Sea during the Etesians: Importance for CCN production and cloud droplet number. Atmos. Chem. Phys. 2017, 17, 175–192. [Google Scholar] [CrossRef]
- Seinfeld, J.H.; Pandis, S.N. Atmospheric Chemistry and Physics: From Air Pollution to Climate Change, 2nd ed.; Wiley: New York, NY, USA, 2006. [Google Scholar]
- Hudson, J.G.; Noble, S.; Tabor, S. Cloud supersaturations from CCN spectra Hoppel minima. J. Geophys. Res. Atmos. 2015, 120, 3436–3452. [Google Scholar] [CrossRef]
- Cerully, K.M.; Raatikainen, T.; Lance, S.; Tkacik, D.; Tiitta, P.; Petaja, T.; Ehn, M.; Kulmala, M.; Worsnop, D.R.; Laaksonen, A.; et al. Aerosol Hygroscopicity and CCN Activation Kinetics in a Boreal Forest Environment during the 2007 EUCAARI Campaign. Atmos. Chem. Phys. 2011, 11, 12369–12386. [Google Scholar] [CrossRef]
- Kostenidou, E.; Florou, K.; Kaltsonoudis, C.; Tsiflikiotou, M.; Vratolis, S.; Eleftheriadis, K.; Pandis, S.N. Sources and chemical characterization of organic aerosol during the summer in the eastern Mediterranean. Atmos. Chem. Phys. 2015, 15, 11355–11371. [Google Scholar] [CrossRef]
- Padro, L.T.; Moore, R.H.; Zhang, X.; Rastogi, N.; Weber, R.J.; Nenes, A. Mixing State and Compositional Effects on CCN Activity, and Droplet Activation Kinetics of Size-Resolved CCN in an Urban Environment. Atmos. Chem. Phys. 2012, 12, 10239–10255. [Google Scholar] [CrossRef]
- Andreae, M.; Rosenfeld, D. Aerosol-cloud interactions. Part 1. The nature and sources of cloud-active aerosols. Earth-Sci. Rev. 2008, 89, 13–41. [Google Scholar] [CrossRef]
- Pöschl, U.; Rose, D.; Andreae, M.O. Climatologies of cloudrelated aerosols—part 2: Particle hygroscopicity and cloud condensation nuclei activity. In Clouds in the Perturbed Climate System; Heintzenberg, J., Charlson, R.J., Eds.; MIT Press: Cambridge, UK, 2009. [Google Scholar]
- Engelhart, G.J.; Hennigan, C.J.; Miracolo, M.A.; Robinson, A.L.; Pandis, S.N. Cloud condensation nuclei activity of fresh primary and aged biomass burning aerosol. Atmos. Chem. Phys. 2012, 12, 7285–7293. [Google Scholar] [CrossRef]
- Asa-Awuku, A.; Nenes, A.; Sullivan, A.P.; Hennigan, C.J.; Weber, R.J. Investigation of molar volume and surfactant characteristics of water-soluble organic compounds in biomass burning aerosol. Atmos. Chem. Phys. 2008, 8, 799–812. [Google Scholar] [CrossRef]
- Asa-Awuku, A.; Engelhart, G.J.; Lee, B.H.; Pandis, S.N.; Nenes, A. Relating CCN activity, volatility, and droplet growth kinetics of beta-caryophyllene secondary organic aerosol. Atmos. Chem. Phys. 2009, 9, 795–812. [Google Scholar] [CrossRef]
- Koulouri, E.; Saarikosko, S.; Theodosi, C.; Markaki, Z.; Gerasopoulos, E.; Kouvarakis, G.; Mäkelä, T.; Hillamo, R.; Mihalopoulos, N. Chemical composition and sources of fine and coarse aerosol particles in the Eastern Mediterranean. Atmos. Environ. 2008, 42, 6542–6550. [Google Scholar] [CrossRef]
- Bougiatioti, A.; Zarmpas, P.; Koulouri, E.; Antoniou, M.; Theodosi, C.; Kouvarakis, G.; Saarikoski, S.; Mäkelä, T.; Hillamo, R.; Mihalopoulos, N. Organic, elemental and water-soluble organic carbon in size segregated aerosols, in the marine boundary layer of the Eastern Mediterranean. Atmos. Environ. 2013, 64, 251–262. [Google Scholar] [CrossRef]






| Supersaturation (%) | 17 June | 18 June | 19 June | 20 June | 21 June |
|---|---|---|---|---|---|
| 0.2 | 0.47 ± 0.15 | 0.36 ± 0.14 | 0.29 ± 0.14 | 0.25 ± 0.15 | 0.29 ± 0.13 |
| 0.4 | 0.16 ± 0.06 | 0.17 ± 0.13 | 0.25 ± 0.18 | 0.22 ± 0.19 | 0.21 ± 0.14 |
| 0.6 | 0.10 ± 0.08 | 0.10 ± 0.10 | 0.17 ± 0.14 | 0.15 ± 0.14 | 0.15 ± 0.10 |
| 0.8 | 0.09 ± 0.08 | 0.09 ± 0.12 | 0.14 ± 0.14 | 0.15 ± 0.14 | 0.11 ± 0.07 |
| 1 | 0.08 ± 0.07 | 0.08 ± 0.14 | 0.14 ± 0.19 | 0.14 ± 0.15 | 0.09 ± 0.07 |
© 2017 by the authors. Licensee MDPI, Basel, Switzerland. This article is an open access article distributed under the terms and conditions of the Creative Commons Attribution (CC BY) license (http://creativecommons.org/licenses/by/4.0/).
Share and Cite
Bougiatioti, A.; Argyrouli, A.; Solomos, S.; Vratolis, S.; Eleftheriadis, K.; Papayannis, A.; Nenes, A. CCN Activity, Variability and Influence on Droplet Formation during the HygrA-Cd Campaign in Athens. Atmosphere 2017, 8, 108. https://doi.org/10.3390/atmos8060108
Bougiatioti A, Argyrouli A, Solomos S, Vratolis S, Eleftheriadis K, Papayannis A, Nenes A. CCN Activity, Variability and Influence on Droplet Formation during the HygrA-Cd Campaign in Athens. Atmosphere. 2017; 8(6):108. https://doi.org/10.3390/atmos8060108
Chicago/Turabian StyleBougiatioti, Aikaterini, Athina Argyrouli, Stavros Solomos, Stergios Vratolis, Konstantinos Eleftheriadis, Alexandros Papayannis, and Athanasios Nenes. 2017. "CCN Activity, Variability and Influence on Droplet Formation during the HygrA-Cd Campaign in Athens" Atmosphere 8, no. 6: 108. https://doi.org/10.3390/atmos8060108
APA StyleBougiatioti, A., Argyrouli, A., Solomos, S., Vratolis, S., Eleftheriadis, K., Papayannis, A., & Nenes, A. (2017). CCN Activity, Variability and Influence on Droplet Formation during the HygrA-Cd Campaign in Athens. Atmosphere, 8(6), 108. https://doi.org/10.3390/atmos8060108

