An Investigation of Aerosol Scattering and Absorption Properties in Wuhan, Central China
Abstract
:1. Introduction
2. Experiment Area and Methodology
2.1. Site Description and Instrumentation

2.2. Methodology
2.2.1. Aerosol Optical Properties Calculations
2.2.2. PBLH Detection
3. Results and Discussion
3.1. Overview of Aerosol Scattering and Absorption Properties

| Hourly base | Counts | Median (50th perc.) | Mean | SD | Skewness | |
|---|---|---|---|---|---|---|
| (Mm−1) | 450 | 25,464 | 414 | 501 | 390 | 1.97 |
| 550 | 25,464 | 306 | 377 | 305 | 2.10 | |
| 700 | 25,464 | 199 | 253 | 215 | 2.14 | |
| (Mm−1) | 520 | 24,262 | 91 | 119 | 92 | 1.84 |
| 520 | 17,061 | 0.77 | 0.73 | 0.16 | −2.56 | |
| 450–700 | 25,464 | 1.66 | 1.66 | 0.45 | 4.24 |

| Site | Type | Period | SSA | References | ||
|---|---|---|---|---|---|---|
| LISMARS (China) | urban | April 2012–March 2014 | 377 (305) | 119 (92) | 0.73 (0.16) | This work |
| BND (USA) | rural | September 1996–September 2000 | 57.0(47.1) | 4.62 (3.82) | 0.906 (0.067) | [9] |
| SGP (USA) | rural | April 1997–September 2000 | 46.7 (42.8) | 2.47 (2.71) | 0.932 (0.051) | [9] |
| WSA (USA) | marine station | November 1994–April 2000 | 40.7 (32.8) | 1.89 (2.26) | 0.953 (0.038) | [9] |
| BRW (USA) | marine station | October 1997–September 2000 | 10.4 (11.1) | 0.38 (0.54) | 0.959 (0.040) | [9] |
| SDZ (China) | regional background | September 2003–January 2005 | 174.6 (189.1) | 17.5(13.4) | 0.88 (0.05) | [18] |
| Melpitz (Germany) | regional background | 2007–2010 | 53.61 (58.64) | 5.97 (5.69) | 0.871 (0.051) | [8] |
| MSC (Spain) | rural | June 2011–June 2013 | 18.9 (20.8) | 1.5 (1.4) | 0.92 (0.03) | [10] |
| Shanghai (China) | urban | December 2010–March 2011 | 293 (206.39) | 66 (46.8) | 0.81 (0.04) | [26] |
| Beijing (China) | urban | June 1999 | 488 (370) | 83 (40) | 0.81 (0.08) | [41] |
| Guangzhou (China) | urban | October 2004–November 2004 | 418 (159) | 91 (60) | 0.826 (0.054) | [14] |
| Wuqing (China) | suburb | March 2009–April 2009 | 280 (253) | 45 (37) | 0.82 (0.05) | [21] |
| Wuqing (China) | suburb | July 2009–August 2009 | 379 (251) | 49 (31) | 0.86 (0.05) | [21] |
| Granada (Spain) | urban | December 2005–February 2006 | 84 (62) | 28 (20) | 0.66 (0.11) | [16] |
| Xinken (China) | regional background | October 2004–November 2004 | 333 (137) | 70 (42) | 0.83 (0.05) | [17] |
| Baolian (China) | urban | August 2008–May 2009 | 301 (307) | [22] | ||
| Changping (China) | suburban | June 2008–January 2009 | 263 (263) | [22] | ||
| SDZ (China) | regional background | June 2008–May 2009 | 182 (201) | [22] | ||
| Linan (China) | regional background | September 1999 | 353 (202) | 23 (14) | [42] | |
| Praia (Cape Verde) | suburb | January 2008–February 2008 | 0.75 (0.07) | [43] |
3.2. Seasonal Variation of Aerosol Scattering and Absorption Properties




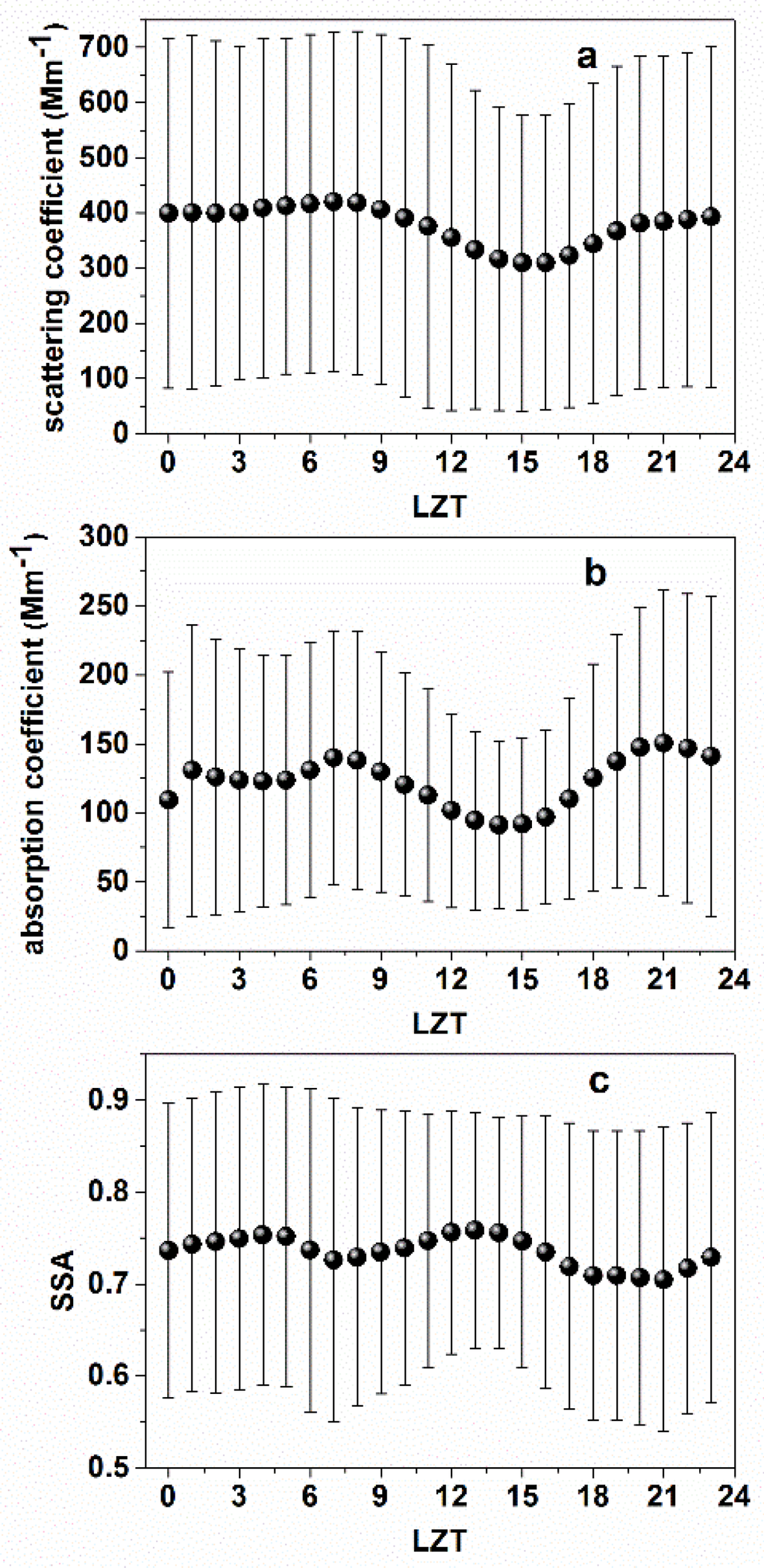
3.3. Diurnal Variation of Aerosol Scattering and Absorption Properties

4. Conclusions
Acknowledgments
Author Contributions
Conflicts of Interest
References
- Twomey, S. The influence of pollution on the shortwave albedo of clouds. J. Atmos. Sci. 1977, 34, 1149–1152. [Google Scholar] [CrossRef]
- Rosenfeld, D. TRMM observed first direct evidence of smoke from forest fires inhibiting rainfall. Geophys. Res. Lett. 1999, 26, 3105–3108. [Google Scholar] [CrossRef]
- Rosenfeld, D. Suppression of rain and snow by urban and industrial air pollution. Science 2000, 287, 1793–1796. [Google Scholar] [CrossRef] [PubMed]
- Van Donkelaar, A.; Martin, R.V.; Brauer, M.; Kahn, R.; Levy, R.; Verduzco, C.; Villeneuve, P.J. Global estimates of ambient fine particulate matter concentrations from satellite-based aerosol optical depth: Development and application. Environ. Health Perspect. 2010, 118, 847–855. [Google Scholar] [CrossRef] [PubMed]
- Liu, P.; Zhao, C.; Zhang, Q.; Deng, Z.; Huang, M.; Ma, X.; Tie, X. Aircraft study of aerosol vertical distributions over Beijing and their optical properties. Tellus B 2009, 61, 756–767. [Google Scholar] [CrossRef]
- IPCC 2013: Climate Change 2013: The Physical Science Basis. In Working Group I Contribution to the IPCC Fifth Assessment Report, Final Draft Underlying Scientific-Technical Assessment; Cambridge University Press: Cambridge, UK; New York, NY, USA, 2013.
- Anderson, T.L.; Masonis, S.J.; Covert, D.S.; Ahlquist, N.C.; Howell, S.G.; Clarke, A.D.; McNaughton, C.S. Variability of aerosol optical properties derived from in situ aircraft measurements during ACE-Asia. J. Geophys. Res. Atmos. 2003, 108. [Google Scholar] [CrossRef]
- Ma, N.; Birmili, W.; Müller, T.; Tuch, T.; Cheng, Y.F.; Xu, W.Y.; Wiedensohler, A. Tropospheric aerosol scattering and absorption over central Europe: A closure study for the dry particle state. Atmos. Chem. Phys. 2014, 14, 6241–6259. [Google Scholar] [CrossRef]
- Delene, D.J.; Ogren, J.A. Variability of aerosol optical properties at four North American surface monitoring sites. J. Atmos. Sci. 2002, 59, 1135–1150. [Google Scholar] [CrossRef]
- Pandolfi, M.; Ripoll, A.; Querol, X.; Alastuey, A. Climatology of aerosol optical properties and black carbon mass absorption cross section at a remote high altitude site in the Western Mediterranean Basin. Atmos. Chem. Phys. Discuss. 2014, 14, 3777–3814. [Google Scholar] [CrossRef]
- Smirnov, A.; Holben, B.N.; Dubovik, O.; O’Neill, N.T.; Remer, L.A.; Eck, T.F.; Savoie, D. Measurement of atmospheric optical parameters on US Atlantic coast sites, ships, and Bermuda during TARFOX. J. Geophys. Res. Atmos. 2000, 105, 9887–9901. [Google Scholar] [CrossRef]
- Quinn, P.; Coffman, D.; Bates, T.; Miller, T.; Johnson, J.; Welton, E.; Sheridan, P.J. Aerosol optical properties during INDOEX 1999: Means, variability, and controlling factors. J. Geophys. Res. Atmos. 2002, 107, INX2–INX19. [Google Scholar]
- Magi, B.I.; Hobbs, P.V.; Schmid, B.; Redemann, J. Vertical profiles of light scattering, light absorption, and single scattering albedo during the dry, biomass burning season in southern Africa and comparisons of in situ and remote sensing measurements of aerosol optical depths. J. Geophys. Res. Atmos. 2003, 108. [Google Scholar] [CrossRef]
- Andreae, M.O.; Schmid, O.; Yang, H.; Chand, D.; Zhen Yu, J.; Zeng, L.M.; Zhang, Y.H. Optical properties and chemical composition of the atmospheric aerosol in urban Guangzhou, China. Atmos. Environ. 2008, 42, 6335–6350. [Google Scholar] [CrossRef]
- Jung, J.; Lee, H.; Kim, Y.J.; Liu, X.; Zhang, Y.; Hu, M.; Sugimoto, N. Optical properties of atmospheric aerosols obtained by in situ and remote measurements during 2006 Campaign of Air Quality Research in Beijing (CAREBeijing-2006). J. Geophys. Res. Atmos. 2009, 114, D00G02. [Google Scholar] [CrossRef]
- Lyamani, H.; Olmo, F.J.; Alados-Arboledas, L. Light scattering and absorption properties of aerosol particles in the urban environment of Granada, Spain. Atmos. Environ. 2008, 42, 2630–2642. [Google Scholar] [CrossRef]
- Cheng, Y.F.; Wiedensohler, A.; Eichler, H.; Su, H.; Gnauk, T.; Brüggemann, E.; Zhang, Y.H. Aerosol optical properties and related chemical apportionment at Xinken in Pearl River Delta of China. Atmos. Environ. 2008, 42, 6351–6372. [Google Scholar] [CrossRef]
- Yan, P.; Tang, J.; Huang, J.; Mao, J.T.; Zhou, X.J.; Liu, Q.; Zhou, H.G. The measurement of aerosol optical properties at a rural site in Northern China. Atmos. Chem. Phys. 2008, 8, 2229–2242. [Google Scholar] [CrossRef]
- Che, H.; Zhang, X.; Chen, H.; Damiri, B.; Goloub, P.; Li, Z.; Zhou, T. Instrument calibration and aerosol optical depth validation of the China Aerosol Remote Sensing Network. J. Geophys. Res. Atmos. 2009, 114, D03206. [Google Scholar] [CrossRef]
- Che, H.; Yang, Z.; Zhang, X.; Zhu, C.; Ma, Q.; Zhou, H.; Wang, P. Study on the aerosol optical properties and their relationship with aerosol chemical compositions over three regional background stations in China. Atmos. Environ. 2009, 43, 1093–1099. [Google Scholar] [CrossRef]
- Ma, N.; Zhao, C.S.; Nowak, A.; Müller, T.; Pfeifer, S.; Cheng, Y.F.; Wiedensohler, A. Aerosol optical properties in the North China Plain during HaChi campaign: An in-situ optical closure study. Atmos. Chem. Phys. 2011, 11, 5959–5973. [Google Scholar] [CrossRef]
- Zhao, X.; Zhang, X.; Pu, W.; Meng, W.; Xu, X. Scattering properties of the atmospheric aerosol in Beijing, China. Atmos. Res. 2011, 101, 799–808. [Google Scholar] [CrossRef]
- Xue, M.; Ma, J.; Yan, P.; Pan, X. Impacts of pollution and dust aerosols on the atmospheric optical properties over a polluted rural area near Beijing city. Atmos. Res. 2011, 101, 835–843. [Google Scholar] [CrossRef]
- Schmid, O.; Chand, D.; Andreae, M.O. Aerosol optical properties in urban Guangzhou. In Proceedings of the PRD Workshop, Beijing, China, 13–14 January 2005.
- Ansmann, A.; Engelmann, R.; Althausen, D.; Wandinger, U.; Hu, M.; Zhang, Y.; He, Q. High aerosol load over the Pearl River Delta, China, observed with Raman lidar and Sun photometer. Geophys. Res. Lett. 2005, 32, L13815. [Google Scholar] [CrossRef]
- Xu, J.; Tao, J.; Zhang, R.; Cheng, T.; Leng, C.; Chen, J.; Zhu, Z. Measurements of surface aerosol optical properties in winter of Shanghai. Atmos. Res. 2012, 109, 25–35. [Google Scholar] [CrossRef]
- Huang, J.; Zhang, W.; Zuo, J.; Bi, J.; Shi, J.; Wang, X.; Chang, Z.; Huang, Z.; Yang, S.; Zhang, B.; et al. An overview of the semi-arid climate and environment research observatory over the Loess Plateau. Adv. Atmos. Sci. 2008, 25, 906–921. [Google Scholar]
- Wang, X.; Huang, J.; Zhang, R.; Chen, B.; Bi, J. Surface measurements of aerosol properties over northwest China during ARM China 2008 deployment. J. Geophys. Res. Atmos. 2010, 115, D00K27. [Google Scholar]
- Bi, J.; Huang, J.; Fu, Q.; Wang, X.; Shi, J.; Zhang, W.; Huang, Z.; Zhang, B. Toward characterization of the aerosol optical properties over Loess Plateau of Northwestern China. J. Quant. Spectrosc. Radiat. Transf. 2011, 112, 346–360. [Google Scholar] [CrossRef]
- Anderson, T.L.; Covert, D.S.; Marshall, S.F.; Laucks, M.L.; Charlson, R.J.; Waggoner, A.P.; Bates, T.S. Performance characteristics of a high-sensitivity, three-wavelength, total scatter/backscatter nephelometer. J. Atmos. Ocean. Technol. 1996, 13, 967–986. [Google Scholar] [CrossRef]
- Heintzenberg, J.; Charlson, R.J. Design and applications of the integrating nephelometer: A review. J. Atmos. Ocean. Technol. 1996, 13, 987–1000. [Google Scholar] [CrossRef]
- Müller, T.; Laborde, M.; Kassell, G.; Wiedensohler, A. Design and performance of a three-wavelength LED-based total scatter and backscatter integrating nephelometer. Atmos. Meas. Tech. 2011, 4, 1291–1303. [Google Scholar] [CrossRef]
- Hansen, A.D.A.; Rosen, H.; Novakov, T. The aethalometer—An instrument for the real-time measurement of optical absorption by aerosol particles. Sci. Total Environ. 1984, 36, 191–196. [Google Scholar] [CrossRef]
- Weingartner, E.; Saathoff, H.; Schnaiter, M.; Streit, N.; Bitnar, B.; Baltensperger, U. Absorption of light by soot particles: Determination of the absorption coefficient by means of aethalometers. J. Aerosol Sci. 2003, 34, 1445–1463. [Google Scholar] [CrossRef]
- Löhnert, U.; Turner, D.D.; Crewell, S. Ground-based temperature and humidity profiling using spectral infrared and microwave observations. Part I: Simulated retrieval performance in clear-sky conditions. J. Appl. Meteorol. Climatol. 2009, 48, 1017–1032. [Google Scholar]
- Cimini, D.; de Angelis, F.; Dupont, J.C.; Pal, L.; Haeffelin, M. Mixing layer height retrievals by multichannel microwave radiometer observations. Atmos. Meas. Tech. 2013, 6, 2941–2951. [Google Scholar] [CrossRef]
- Takemura, T.; Nakajima, T.; Dubovik, O.; Holben, B.N.; Kinne, S. Single-scattering albedo and radiative forcing of various aerosol species with a global three-dimensional model. J. Clim. 2002, 15, 333–352. [Google Scholar] [CrossRef]
- Stull, R.B. An Introduction to Boundary Layer Meteorology; Springer: Berlin, Germany, 1988. [Google Scholar]
- Sawyer, V.; Li, Z. Detection, variations and intercomparison of the planetary boundary layer depth from radiosonde, lidar and infrared spectrometer. Atmos. Environ. 2013, 79, 518–528. [Google Scholar] [CrossRef]
- Zhang, M.; Ma, Y.; Gong, W.; Zhu, Z. Aerosol optical properties of a haze episode in Wuhan based on ground-based and satellite observations. Atmosphere 2014, 5, 699–719. [Google Scholar] [CrossRef]
- Bergin, M.H.; Cass, G.R.; Xu, J.; Fang, C.; Zeng, L.M.; Yu, T.; Chameides, W.L. Aerosol radiative, physical, and chemical properties in Beijing during June 1999. J. Geophys. Res. Atmos. 2001, 106, 17969–17980. [Google Scholar] [CrossRef]
- Xu, J.; Bergin, M.H.; Yu, X.; Liu, G.; Zhao, J.; Carrico, C.M.; Baumann, K. Measurement of aerosol chemical, physical and radiative properties in the Yangtze delta region of China. Atmos. Environ. 2002, 36, 161–173. [Google Scholar] [CrossRef]
- Tesche, M.; Müller, D.; Gross, S.; Ansmann, A.; Althausen, D.; Freudenthaler, V.; Weinzierl, B.; Veira, A.; Petzold, A. Optical and microphysical properties of smoke over Cape Verde inferred from multiwavelength lidar measurements. Tellus B 2011, 63, 677–694. [Google Scholar] [CrossRef]
- Wang, L.; Gong, W.; Xia, X.; Zhu, J.; Li, J.; Zhu, Z. Long-term observations of aerosol optical properties at Wuhan, an urban site in Central China. Atmos. Environ. 2015, 101, 94–102. [Google Scholar] [CrossRef]
© 2015 by the authors; licensee MDPI, Basel, Switzerland. This article is an open access article distributed under the terms and conditions of the Creative Commons Attribution license (http://creativecommons.org/licenses/by/4.0/).
Share and Cite
Gong, W.; Zhang, M.; Han, G.; Ma, X.; Zhu, Z. An Investigation of Aerosol Scattering and Absorption Properties in Wuhan, Central China. Atmosphere 2015, 6, 503-520. https://doi.org/10.3390/atmos6040503
Gong W, Zhang M, Han G, Ma X, Zhu Z. An Investigation of Aerosol Scattering and Absorption Properties in Wuhan, Central China. Atmosphere. 2015; 6(4):503-520. https://doi.org/10.3390/atmos6040503
Chicago/Turabian StyleGong, Wei, Miao Zhang, Ge Han, Xin Ma, and Zhongmin Zhu. 2015. "An Investigation of Aerosol Scattering and Absorption Properties in Wuhan, Central China" Atmosphere 6, no. 4: 503-520. https://doi.org/10.3390/atmos6040503
APA StyleGong, W., Zhang, M., Han, G., Ma, X., & Zhu, Z. (2015). An Investigation of Aerosol Scattering and Absorption Properties in Wuhan, Central China. Atmosphere, 6(4), 503-520. https://doi.org/10.3390/atmos6040503
