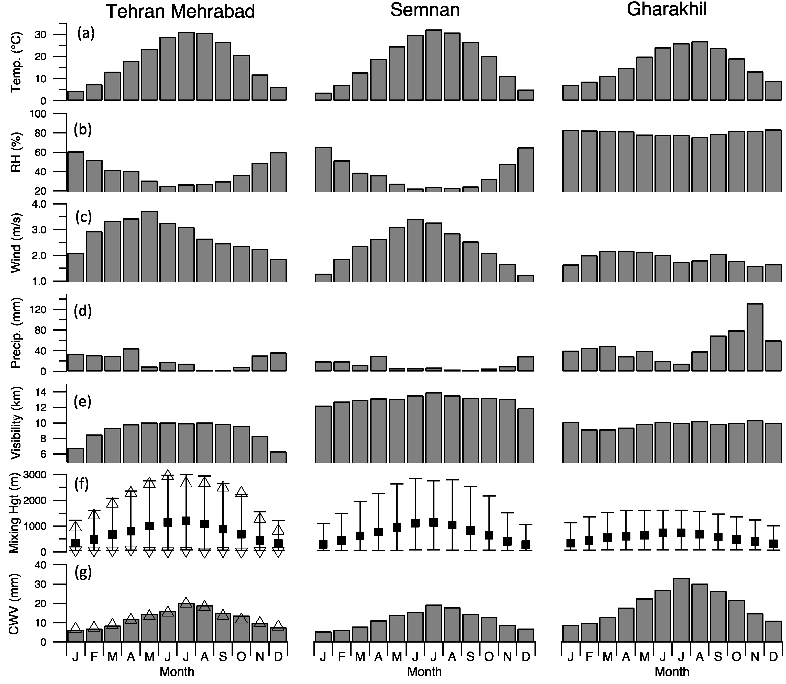
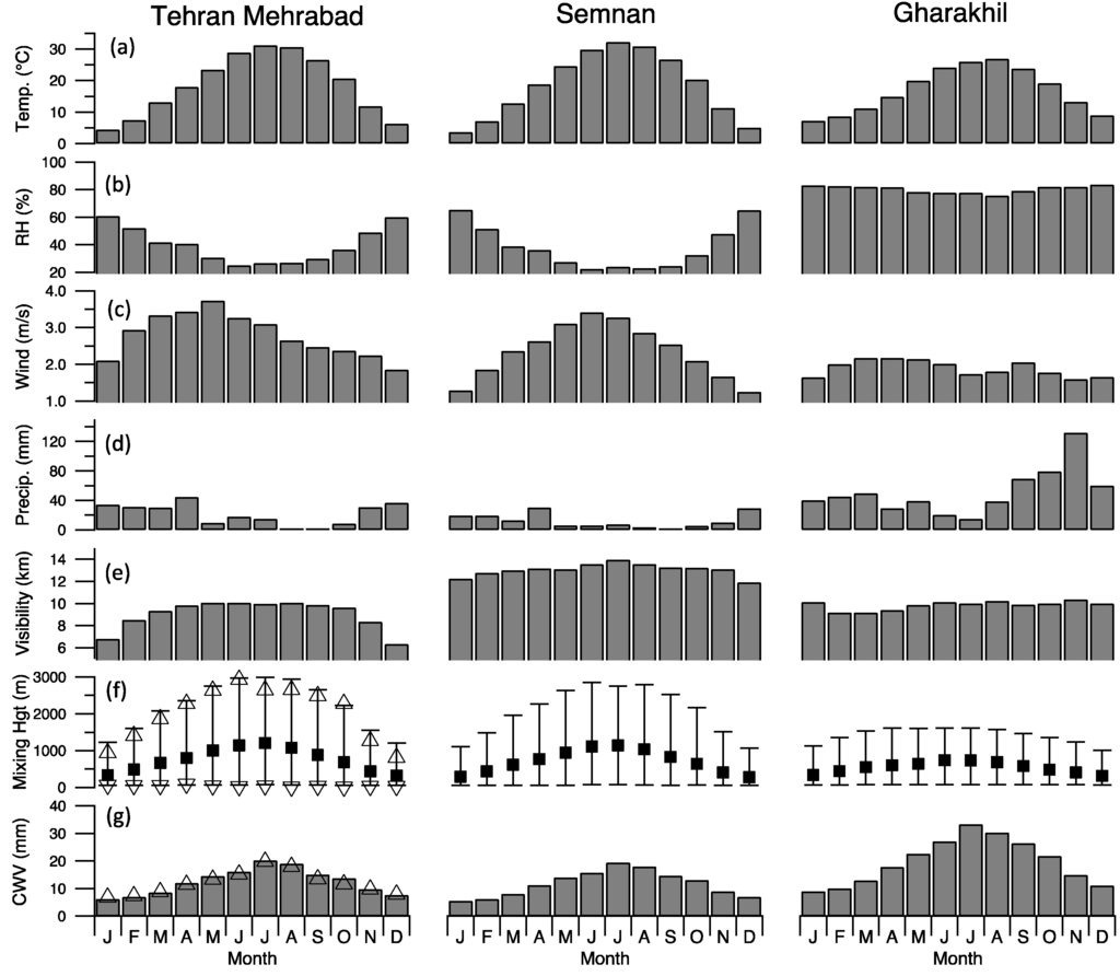
A Multi-Year Aerosol Characterization for the Greater Tehran Area Using Satellite, Surface, and Modeling Data
Crosbie, E.; Sorooshian, A.; Monfared, N.A.; Shingler, T.; Esmaili, O. A Multi-Year Aerosol Characterization for the Greater Tehran Area Using Satellite, Surface, and Modeling Data. Atmosphere 2014, 5, 178-197. https://doi.org/10.3390/atmos5020178
Crosbie E, Sorooshian A, Monfared NA, Shingler T, Esmaili O. A Multi-Year Aerosol Characterization for the Greater Tehran Area Using Satellite, Surface, and Modeling Data. Atmosphere. 2014; 5(2):178-197. https://doi.org/10.3390/atmos5020178
Chicago/Turabian StyleCrosbie, Ewan, Armin Sorooshian, Negar A. Monfared, Taylor Shingler, and Omid Esmaili. 2014. "A Multi-Year Aerosol Characterization for the Greater Tehran Area Using Satellite, Surface, and Modeling Data" Atmosphere 5, no. 2: 178-197. https://doi.org/10.3390/atmos5020178


