Association of Cardiovascular Disease Mortality and Ambient Temperature Variation in Shanghai, China: Beyond Air Quality Index PM2.5
Abstract
1. Introduction
2. Subjects and Methods
2.1. Data Collection and Processing
2.2. Statistical Analysis
3. Results
3.1. Demographic Characteristics
3.2. Trends in Daily Meteorological Indicators and CVD Mortality
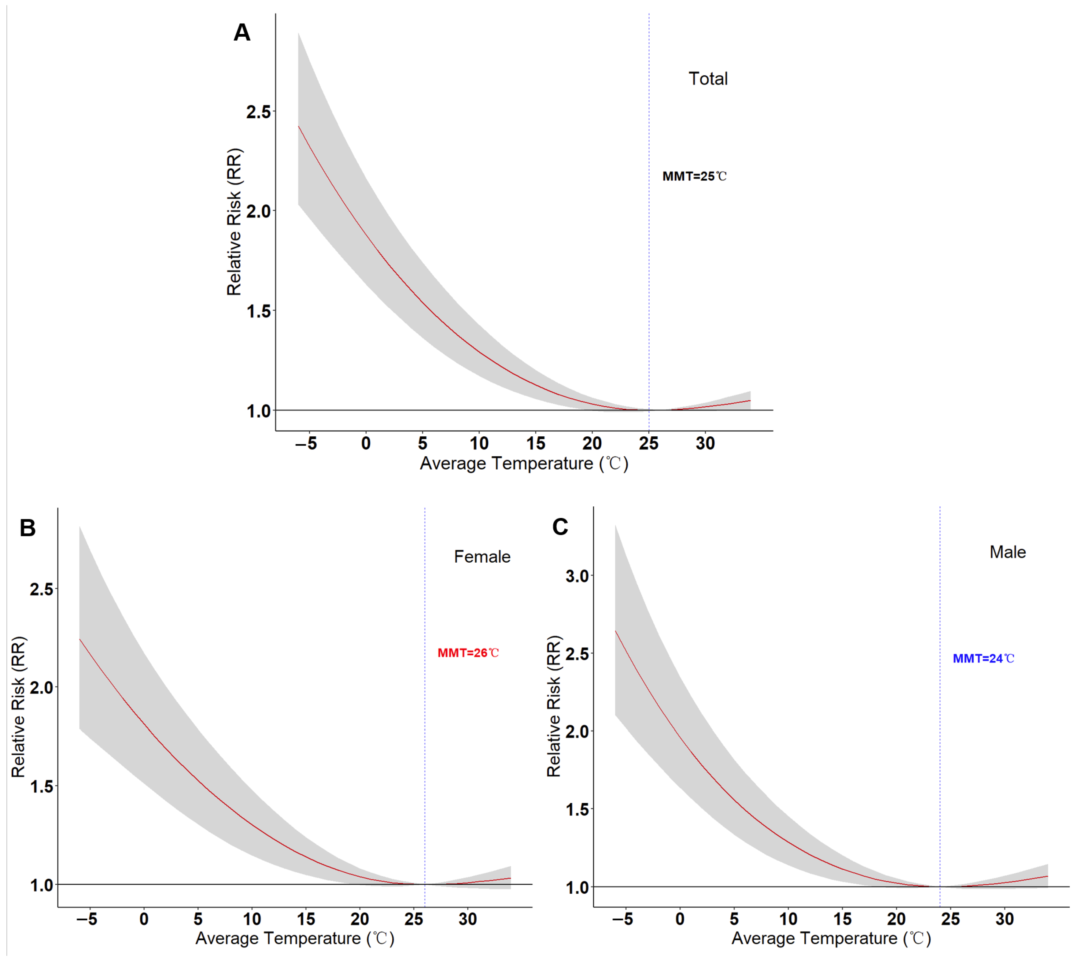
3.3. Effects of Different Temperatures on Total CVD Mortality
3.4. Lag Effects of Ambient Temperatures on CVD Mortality
4. Discussion
Limitations
5. Conclusions
Author Contributions
Funding
Institutional Review Board Statement
Informed Consent Statement
Data Availability Statement
Acknowledgments
Conflicts of Interest
Abbreviations
| CVD | Cardiovascular disease |
| PM2.5 | Particulate Matter 2.5 |
| DLNM | Distributed lag non-linear model |
| ns | Natural spline |
| MMT | Minimum mortality temperature |
| RR | Relative risk |
| 95% CI | 95% confidence interval |
| IPCC | Intergovernmental Panel on Climate Change |
| ICD-10 | The 10th Revision of the International Statistical Classification of Diseases and Related Health Problems |
| SCDC | Shanghai Municipal Center for Disease Control and Prevention |
| RH | Relative humidity |
| Q-AIC | Akaike Information Criterion for Quasi-Poisson model |
| DOW | Day of the week |
References
- Watts, N.; Amann, M.; Arnell, N.; Ayeb-Karlsson, S.; Belesova, K.; Boykoff, M.; Byass, P.; Cai, W.; Campbell-Lendrum, D.; Capstick, S.; et al. The 2019 report of The Lancet Countdown on health and climate change: Ensuring that the health of a child born today is not defined by a changing climate. Lancet 2019, 394, 1836–1878. [Google Scholar] [CrossRef] [PubMed]
- Goshua, A.; Gomez, J.; Erny, B.; Burke, M.; Luby, S.; Sokolow, S.; LaBeaud, A.D.; Auerbach, P.; Gisondi, M.A.; Nadeau, K. Addressing Climate Change and Its Effects on Human Health: A Call to Action for Medical Schools. Acad. Med. J. Assoc. Am. Med. Coll. 2021, 96, 324–328. [Google Scholar] [CrossRef] [PubMed]
- Romanello, M.; McGushin, A.; Di Napoli, C.; Drummond, P.; Hughes, N.; Jamart, L.; Kennard, H.; Lampard, P.; Solano Rodriguez, B.; Arnell, N.; et al. The 2021 report of the Lancet Countdown on health and climate change: Code red for a healthy future. Lancet 2021, 398, 1619–1662. [Google Scholar] [CrossRef]
- Zandalinas, S.I.; Fritschi, F.B.; Mittler, R. Global Warming, Climate Change, and Environmental Pollution: Recipe for a Multifactorial Stress Combination Disaster. Trends Plant Sci. 2021, 26, 588–599. [Google Scholar] [CrossRef]
- Lee, J.Y.; Kim, H.; Gasparrini, A.; Armstrong, B.; Bell, M.L.; Sera, F.; Lavigne, E.; Abrutzky, R.; Tong, S.; Coelho, M.; et al. Predicted temperature-increase-induced global health burden and its regional variability. Environ. Int. 2019, 131, 105027. [Google Scholar] [CrossRef]
- Yang, Y.; Li, L.; Chan, P.W.; Zhou, Q.; Sheng, B. Intercomparison of Local Warming Trends of Shanghai and Hong Kong Based on 120-Year Temperature Observational Data. Int. J. Environ. Res. Public Health 2022, 19, 6494. [Google Scholar] [CrossRef]
- Wang, H.; Geng, M.; Schikowski, T.; Areal, A.; Hu, K.; Li, W.; Coelho, M.; Saldiva, P.; Sun, W.; Zhou, C.; et al. Increased Risk of Influenza Infection During Cold Spells in China: National Time Series Study. JMIR Public Health Surveill. 2024, 10, e55822. [Google Scholar] [CrossRef]
- WHO. Cardiovascular Diseases (CVDs). Available online:https://www.who.int/news-room/fact-sheets/detail/cardiovascular-diseases-(cvds) (accessed on 15 January 2025).
- Dimitrova, A.; Ingole, V.; Basagaña, X.; Ranzani, O.; Milà, C.; Ballester, J.; Tonne, C. Association between ambient temperature and heat waves with mortality in South Asia: Systematic review and meta-analysis. Environ. Int. 2021, 146, 106170. [Google Scholar] [CrossRef]
- Gasparrini, A.; Guo, Y.; Hashizume, M.; Lavigne, E.; Zanobetti, A.; Schwartz, J.; Tobias, A.; Tong, S.; Rocklöv, J.; Forsberg, B.; et al. Mortality risk attributable to high and low ambient temperature: A multicountry observational study. Lancet 2015, 386, 369–375. [Google Scholar] [CrossRef]
- Martínez-Solanas, È.; Quijal-Zamorano, M.; Achebak, H.; Petrova, D.; Robine, J.M.; Herrmann, F.R.; Rodó, X.; Ballester, J. Projections of temperature-attributable mortality in Europe: A time series analysis of 147 contiguous regions in 16 countries. Lancet Planet. Health 2021, 5, e446–e454. [Google Scholar] [CrossRef]
- Rahman, M.M.; Garcia, E.; Lim, C.C.; Ghazipura, M.; Alam, N.; Palinkas, L.A.; McConnell, R.; Thurston, G. Temperature variability associations with cardiovascular and respiratory emergency department visits in Dhaka, Bangladesh. Environ. Int. 2022, 164, 107267. [Google Scholar] [CrossRef] [PubMed]
- Fan, P.; Xue, X.; Hu, J.; Qiao, Q.; Yin, T.; Yang, X.; Chen, X.; Hou, Y.; Chen, R. Ambient temperature and ambulatory blood pressure: An hourly-level, longitudinal panel study. Sci. Total Environ. 2023, 864, 160854. [Google Scholar] [CrossRef] [PubMed]
- Modesti, P.A. The shifted focus of interest in the temperature-blood pressure relationship: From load to variability. Hypertens. Res. 2021, 44, 1548–1550. [Google Scholar] [CrossRef] [PubMed]
- Johnson, J.M.; Minson, C.T.; Kellogg, D.L., Jr. Cutaneous vasodilator and vasoconstrictor mechanisms in temperature regulation. Compr. Physiol. 2014, 4, 33–89. [Google Scholar] [CrossRef] [PubMed]
- Bhatnagar, A. Environmental Determinants of Cardiovascular Disease. Circ. Res. 2017, 121, 162–180. [Google Scholar] [CrossRef]
- Yim, G.; Wang, Y.; Howe, C.G.; Romano, M.E. Exposure to Metal Mixtures in Association with Cardiovascular Risk Factors and Outcomes: A Scoping Review. Toxics 2022, 10, 116. [Google Scholar] [CrossRef]
- Kazi, D.; Katznelson, E.; Liu, C.-L.; Al-Roub, N.; Chaudhary, R.; Young, D.; McNichol, M.; Mickley, L.; Kramer, D.; Cascio, W.; et al. Climate Change and Cardiovascular Health: A Systematic Review. JAMA Cardiol. 2024, 9, 748. [Google Scholar] [CrossRef] [PubMed]
- Hayes, R.B.; Lim, C.; Zhang, Y.; Cromar, K.; Shao, Y.; Reynolds, H.R.; Silverman, D.T.; Jones, R.R.; Park, Y.; Jerrett, M.; et al. PM2.5 air pollution and cause-specific cardiovascular disease mortality. Int. J. Epidemiol. 2020, 49, 25–35. [Google Scholar] [CrossRef]
- Peralta, A.A.; Castro, E.; Danesh Yazdi, M.; Kosheleva, A.; Wei, Y.; Schwartz, J. Low-level PM2.5 exposure, Cardiovascular and Non-accidental Mortality, and Related Health Disparities in 12 U.S. States. Epidemiology 2024. Epub ahead of print. [Google Scholar] [CrossRef]
- Alexeeff, S.E.; Deosaransingh, K.; Van Den Eeden, S.; Schwartz, J.; Liao, N.S.; Sidney, S. Association of Long-term Exposure to Particulate Air Pollution With Cardiovascular Events in California. JAMA Netw. Open 2023, 6, e230561. [Google Scholar] [CrossRef]
- Gasparrini, A.; Armstrong, B.; Kenward, M.G. Distributed lag non-linear models. Stat. Med. 2010, 29, 2224–2234. [Google Scholar] [CrossRef] [PubMed]
- Gasparrini, A. Distributed Lag Linear and Non-Linear Models in R: The Package dlnm. J. Stat. Softw. 2011, 43, 1–20. [Google Scholar] [CrossRef] [PubMed]
- Hua, Y.; Zhou, L.; Liu, F.; Yang, H.; Wang, L.; Huang, C.; Liu, C.; Lu, Y.; Wang, H.; Kan, H. Association between ambient temperature and cause-specific mortality: An individual-level case-crossover study in Suzhou, China. Ecotoxicol. Environ. Saf. 2024, 282, 116687. [Google Scholar] [CrossRef] [PubMed]
- Davis, R.E.; Roney, P.C.; Pane, M.M.; Johnson, M.C.; Leigh, H.V.; Basener, W.; Curran, A.L.; DeMarcy, B.; Jang, J.; Schroeder, C.; et al. Climate and human mortality in Virginia, 2005–2020. Sci. Total Environ. 2023, 894, 164825. [Google Scholar] [CrossRef]
- Denpetkul, T.; Phosri, A. Daily ambient temperature and mortality in Thailand: Estimated effects, attributable risks, and effect modifications by greenness. Sci. Total Environ. 2021, 791, 148373. [Google Scholar] [CrossRef]
- Garcia, R.A.; Cabeza, M.; Rahbek, C.; Araújo, M.B. Multiple dimensions of climate change and their implications for biodiversity. Science 2014, 344, 1247579. [Google Scholar] [CrossRef]
- Zhao, Q.; Guo, Y.; Ye, T.; Gasparrini, A.; Tong, S.; Overcenco, A.; Urban, A.; Schneider, A.; Entezari, A.; Vicedo-Cabrera, A.M.; et al. Global, regional, and national burden of mortality associated with non-optimal ambient temperatures from 2000 to 2019: A three-stage modelling study. Lancet Planet. Health 2021, 5, e415–e425. [Google Scholar] [CrossRef]
- Cohen, J.; Agel, L.; Barlow, M.; Garfinkel, C.I.; White, I. Linking Arctic variability and change with extreme winter weather in the United States. Science 2021, 373, 1116–1121. [Google Scholar] [CrossRef]
- Alahmad, B.; Khraishah, H.; Royé, D.; Vicedo-Cabrera, A.M.; Guo, Y.; Papatheodorou, S.I.; Achilleos, S.; Acquaotta, F.; Armstrong, B.; Bell, M.L.; et al. Associations Between Extreme Temperatures and Cardiovascular Cause-Specific Mortality: Results From 27 Countries. Circulation 2023, 147, 35–46. [Google Scholar] [CrossRef]
- Ma, Y.; Zhou, L.; Chen, K. Burden of cause-specific mortality attributable to heat and cold: A multicity time-series study in Jiangsu Province, China. Environ. Int. 2020, 144, 105994. [Google Scholar] [CrossRef]
- Wan, K.; Feng, Z.; Hajat, S.; Doherty, R.M. Temperature-related mortality and associated vulnerabilities: Evidence from Scotland using extended time-series datasets. Environ. Health 2022, 21, 99. [Google Scholar] [CrossRef] [PubMed]
- Achebak, H.; Rey, G.; Lloyd, S.; Quijal-Zamorano, M.; Méndez-Turrubiates, R.; Ballester, J. Ambient temperature and risk of cardiovascular and respiratory adverse health outcomes: A nationwide cross-sectional study from Spain. Eur. J. Prev. Cardiol. 2024, 31, 1080–1089. [Google Scholar] [CrossRef] [PubMed]
- Yang, M.; He, Q.; Wu, K.; Wu, Q.; Bai, Z.; Cheng, Q.; Hu, J.; Wang, H.; Su, H.; Xing, X.; et al. Urban-rural disparities in the short-term effects of cold and heat on myocardial infarction mortality in Anhui Province, China. Am. J. Epidemiol. 2024. Epub ahead of print. [Google Scholar] [CrossRef] [PubMed]
- Ban, J.; Xu, D.; He, M.Z.; Sun, Q.; Chen, C.; Wang, W.; Zhu, P.; Li, T. The effect of high temperature on cause-specific mortality: A multi-county analysis in China. Environ. Int. 2017, 106, 19–26. [Google Scholar] [CrossRef]
- Alahmad, B.; Shakarchi, A.F.; Khraishah, H.; Alseaidan, M.; Gasana, J.; Al-Hemoud, A.; Koutrakis, P.; Fox, M.A. Extreme temperatures and mortality in Kuwait: Who is vulnerable? Sci. Total Environ. 2020, 732, 139289. [Google Scholar] [CrossRef]
- Atkins, W.; McKenna, Z.; Jarrard, C.; Foster, J.; Crandall, C. Thermoregulatory Responses to Very Hot and Dry Heat Exposure: Interactions Between Age and Sex. Physiology 2024, 39, 726. [Google Scholar] [CrossRef]
- Xia, Y.; Liu, Z.; Hu, B.; Rangarajan, S.; Ah Tse, L.; Li, Y.; Wang, J.; Hu, L.; Wang, Y.; Xiang, Q.; et al. Associations of outdoor fine particulate air pollution and cardiovascular disease: Results from the Prospective Urban and Rural Epidemiology Study in China (PURE-China). Environ. Int. 2023, 174, 107829. [Google Scholar] [CrossRef]
- Xia, X.; Chan, K.H.; Niu, Y.; Liu, C.; Guo, Y.; Ho, K.F.; Yim, S.H.L.; Wang, B.; Doherty, A.; Avery, D.; et al. Modelling personal temperature exposure using household and outdoor temperature and questionnaire data: Implications for epidemiological studies. Environ. Int. 2024, 192, 109060. [Google Scholar] [CrossRef]


| Number of Daily Death | Mean | SD | Min | P1 | P2.5 | P25 | P50 | P75 | P97.5 | P99 | Max |
|---|---|---|---|---|---|---|---|---|---|---|---|
| Male | 67.7 | 15.47 | 13 | 40.91 | 44 | 56 | 65 | 77 | 101 | 108 | 123 |
| Female | 72.86 | 16.67 | 14 | 44 | 46.775 | 61 | 70 | 84 | 109 | 116.09 | 136 |
| Meteorological Factors | |||||||||||
| Daily Average Temperature (°C) | 17.58 | 8.56 | −6.1 | 1.2 | 2.69 | 10.11 | 18.5 | 24.53 | 31.62 | 32.9 | 34.8 |
| Daily Average Relative Humidity (%) | 73.67 | 12.36 | 28.63 | 42.98 | 46.97 | 65.34 | 74.31 | 83 | 94 | 95.76 | 100 |
| Daily Average PM2.5 Concentrations (μg/m3) | 39.76 | 27.14 | 5 | 9 | 10 | 20 | 32 | 51 | 112 | 132.09 | 218 |
| Number of Lag Days | Temperature and Distribution (°C) | |||||
|---|---|---|---|---|---|---|
| Min | P2.5 | Mean | MMT | P97.5 | Max | |
| −6.1 | 2.69 | 17.58 | 25 | 31.62 | 34.8 | |
| Lag0 | 0.830 (0.769, 0.896) | 0.816 (0.781, 0.853) | 0.916 (0.897, 0.935) | Ref. | 1.069 (1.035, 1.104) | 1.102 (1.048, 1.159) |
| Lag1 | 1.048 (0.987, 1.112) | 1.004 (0.971, 1.040) | 0.981 (0.966, 0.997) | Ref. | 1.029 (1.003, 1.056) | 1.045 (1.003, 1.088) |
| Lag2 | 1.121 (1.085, 1.157) | 1.065 (1.045, 1.085) | 1.005 (0.997, 1.014) | Ref. | 1.005 (0.991, 1.019) | 1.010 (0.988, 1.032) |
| Lag3 | 1.126 (1.094, 1.158) | 1.074 (1.057, 1.092) | 1.013 (1.005, 1.021) | Ref. | 0.994 (0.982, 1.007) | 0.993 (0.974, 1.013) |
| Lag4 | 1.111 (1.082, 1.141) | 1.072 (1.056, 1.089) | 1.016 (1.009, 1.024) | Ref. | 0.991 (0.980, 1.003) | 0.988 (0.970, 1.006) |
| Lag5 | 1.090 (1.072, 1.110) | 1.065 (1.054, 1.076) | 1.017 (1.012, 1.021) | Ref. | 0.991 (0.984, 0.998) | 0.988 (0.977, 0.999) |
| Lag6 | 1.073 (1.058, 1.089) | 1.058 (1.048, 1.067) | 1.016 (1.012, 1.020) | Ref. | 0.992 (0.986, 0.997) | 0.989 (0.980, 0.998) |
| Lag7 | 1.061 (1.044, 1.077) | 1.051 (1.041, 1.061) | 1.015 (1.011, 1.019) | Ref. | 0.992 (0.986, 0.998) | 0.989 (0.979, 0.999) |
| Lag8 | 1.052 (1.034, 1.069) | 1.045 (1.034, 1.055) | 1.014 (1.009, 1.018) | Ref. | 0.992 (0.986, 0.999) | 0.989 (0.979, 1.000) |
| Lag9 | 1.045 (1.029, 1.061) | 1.039 (1.029, 1.049) | 1.012 (1.008, 1.017) | Ref. | 0.992 (0.986, 0.999) | 0.990 (0.980, 0.999) |
| Lag10 | 1.041 (1.028, 1.055) | 1.034 (1.025, 1.043) | 1.011 (1.007, 1.014) | Ref. | 0.992 (0.987, 0.998) | 0.990 (0.981, 0.998) |
| Lag11 | 1.038 (1.027, 1.050) | 1.030 (1.022, 1.037) | 1.009 (1.006, 1.012) | Ref. | 0.993 (0.989, 0.997) | 0.990 (0.983, 0.996) |
| Lag12 | 1.036 (1.026, 1.047) | 1.026 (1.019, 1.033) | 1.008 (1.005, 1.010) | Ref. | 0.993 (0.989, 0.996) | 0.990 (0.984, 0.995) |
| Lag13 | 1.034 (1.023, 1.044) | 1.022 (1.015, 1.029) | 1.006 (1.004, 1.009) | Ref. | 0.993 (0.990, 0.997) | 0.990 (0.985, 0.996) |
| Lag14 | 1.032 (1.021, 1.043) | 1.019 (1.012, 1.026) | 1.005 (1.002, 1.008) | Ref. | 0.994 (0.990, 0.997) | 0.991 (0.985, 0.997) |
| Lag15 | 1.029 (1.018, 1.041) | 1.016 (1.009, 1.024) | 1.004 (1.001, 1.007) | Ref. | 0.994 (0.990, 0.998) | 0.992 (0.985, 0.998) |
| Lag16 | 1.027 (1.015, 1.039) | 1.014 (1.007, 1.022) | 1.003 (1.000, 1.006) | Ref. | 0.995 (0.991, 0.999) | 0.993 (0.986, 0.999) |
| Lag17 | 1.025 (1.013, 1.036) | 1.012 (1.005, 1.020) | 1.002 (0.999, 1.006) | Ref. | 0.996 (0.991, 1.000) | 0.994 (0.987, 1.000) |
| Lag18 | 1.022 (1.011, 1.034) | 1.011 (1.003, 1.018) | 1.002 (0.999, 1.005) | Ref. | 0.996 (0.992, 1.001) | 0.995 (0.989, 1.001) |
| Lag19 | 1.020 (1.009, 1.031) | 1.009 (1.002, 1.017) | 1.001 (0.998, 1.004) | Ref. | 0.997 (0.994, 1.001) | 0.996 (0.990, 1.002) |
| Lag20 | 1.017 (1.007, 1.027) | 1.008 (1.002, 1.015) | 1.001 (0.998, 1.004) | Ref. | 0.998 (0.995, 1.002) | 0.998 (0.993, 1.003) |
| Lag21 | 1.015 (1.006, 1.024) | 1.008 (1.001, 1.014) | 1.000 (0.998, 1.003) | Ref. | 0.999 (0.997, 1.002) | 0.999 (0.995, 1.004) |
Disclaimer/Publisher’s Note: The statements, opinions and data contained in all publications are solely those of the individual author(s) and contributor(s) and not of MDPI and/or the editor(s). MDPI and/or the editor(s) disclaim responsibility for any injury to people or property resulting from any ideas, methods, instructions or products referred to in the content. |
© 2025 by the authors. Licensee MDPI, Basel, Switzerland. This article is an open access article distributed under the terms and conditions of the Creative Commons Attribution (CC BY) license (https://creativecommons.org/licenses/by/4.0/).
Share and Cite
Li, Q.; Li, S.; Zhai, T.; Jin, S.; Wang, C.; Fang, B.; Xia, T. Association of Cardiovascular Disease Mortality and Ambient Temperature Variation in Shanghai, China: Beyond Air Quality Index PM2.5. Atmosphere 2025, 16, 119. https://doi.org/10.3390/atmos16020119
Li Q, Li S, Zhai T, Jin S, Wang C, Fang B, Xia T. Association of Cardiovascular Disease Mortality and Ambient Temperature Variation in Shanghai, China: Beyond Air Quality Index PM2.5. Atmosphere. 2025; 16(2):119. https://doi.org/10.3390/atmos16020119
Chicago/Turabian StyleLi, Qi, Shizhen Li, Ting Zhai, Shan Jin, Chunfang Wang, Bo Fang, and Tian Xia. 2025. "Association of Cardiovascular Disease Mortality and Ambient Temperature Variation in Shanghai, China: Beyond Air Quality Index PM2.5" Atmosphere 16, no. 2: 119. https://doi.org/10.3390/atmos16020119
APA StyleLi, Q., Li, S., Zhai, T., Jin, S., Wang, C., Fang, B., & Xia, T. (2025). Association of Cardiovascular Disease Mortality and Ambient Temperature Variation in Shanghai, China: Beyond Air Quality Index PM2.5. Atmosphere, 16(2), 119. https://doi.org/10.3390/atmos16020119

