Mesoscale Convective Systems over Ecuador: Climatology, Trends and Teleconnections
Abstract
1. Introduction
2. Materials and Methods
2.1. Study Area
2.2. MCSs Database
- The MCS cloud shield must cover at least 40,000 km2 with a brightness temperature of 225 K or colder for a minimum of 4 consecutive hours.
- Precipitation underneath the cloud shield must include at least one pixel with a peak precipitation rate ≥ 10 mm/h, persisting for at least 4 continuous hours.
- A minimum rainfall volume of 20,000 km2·mm/h must occur at least once during the MCS lifespan.
Database Source
2.3. Data Preparation
Preprocessing Data
- The selection of events occurred exclusively during their genesis phase based on life phase = “genesis”.
- The criterion MISSING > 0 was used to remove events containing corrupt or missing data.
2.4. MCS Characterization
2.4.1. Monthly and Seasonal Aggregation
2.4.2. Hourly Patterns
2.5. Trend Analysis
Monthly and Seasonal Trend Estimation
- data sequence at time steps j and k, respectively.
- is the function sign, +1 if sgn > 0, 0 if sgn = 0, −1 if sgn < 0.
- sample number.
- trend in time i when .
- trend median.
2.6. Teleconnection Analysis
2.6.1. Wavelet Decomposition
- detail component for level j.
- approximation component for level j, same that goes for the next decomposition level or final component if .
- reconstructed series for level j.
- entry level data for level j. If, (original signal), if , previous level approximation.
- wavelet filter coefficients for high pass.
- wavelet filter coefficients for lower pass.
- filter length at level j.
- N sample length.
- circular convolution.
2.6.2. Spearman’s Rank Correlation
- range difference of each variable.
- sample size.
2.6.3. Analysis of TNI
- u500, u800 represent the zonal wind component at 500 hPa and 800 hPa, respectively.
- v500, v800 are the corresponding meridional components.
- Δz is the geopotential height difference between both levels, 500 hPa and 800 hPa, of 3500 m.
3. Results
3.1. Spatio-Temporal Analysis Occurrence of MCS over Ecuador
3.1.1. Applied Filter to Ecuador Database
3.1.2. Natural Zones Classification
3.1.3. Monthly Frequency
3.1.4. Seasonal Frequency of MCS Occurrence
3.2. Diurnal Cycle Patterns of MCS
3.2.1. Hourly Patterns of Occurrence
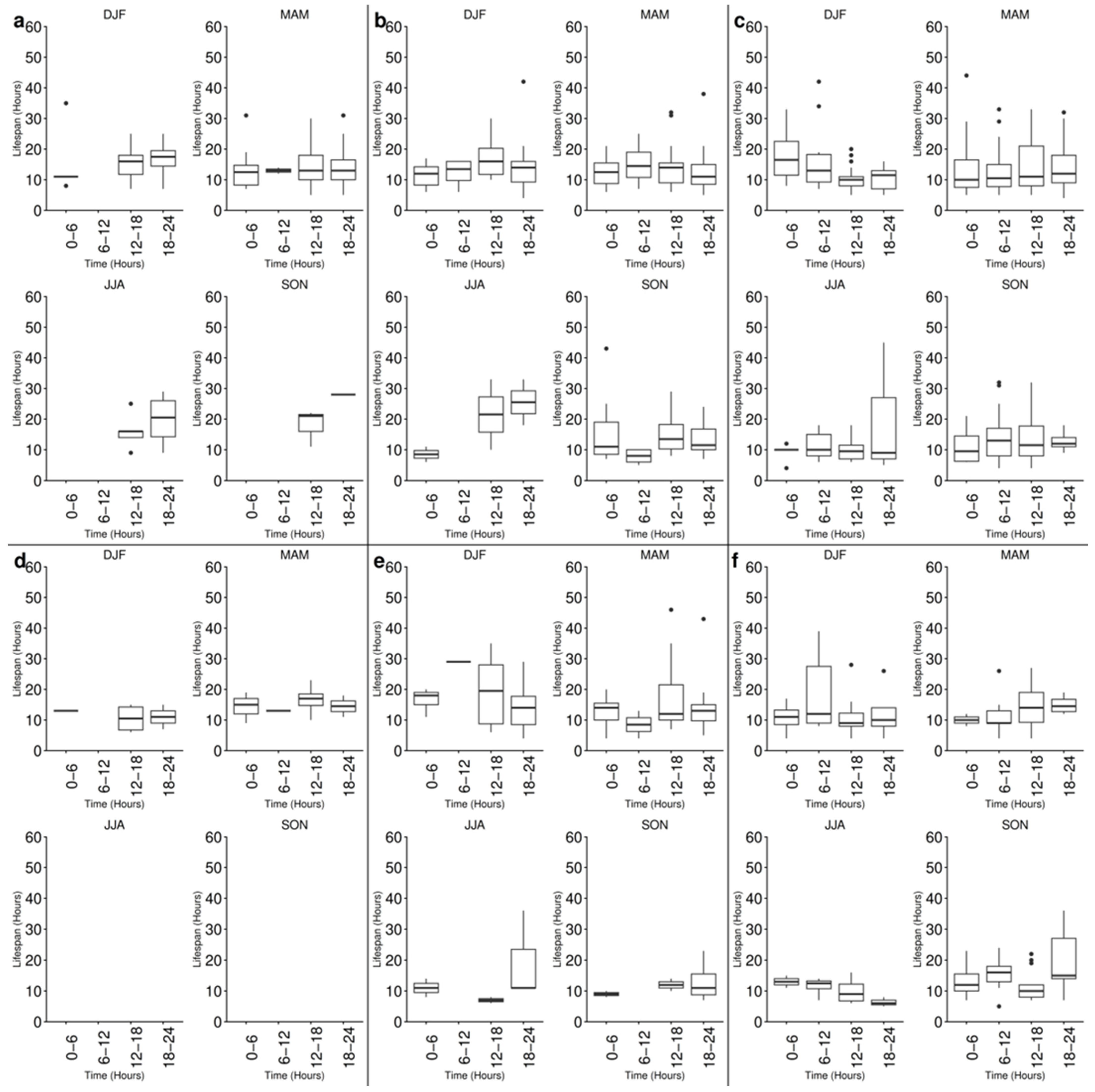
3.2.2. Duration of MCS as a Function of Time of Occurrence
3.2.3. Duration of MCS as a Function of Time of Occurrence and Station
3.3. Trends on the Occurrence of MCS
3.3.1. Interannual Variability by Region
3.3.2. Seasonal Variability by Region
3.4. Teleconnections on the Occurrence of MCS
3.4.1. Correlation Between Time Series of Occurrence of MCS and Oceanic Indices
3.4.2. Correlation Between Wavelet Decomposed MCS Occurrence Time Series and Oceanic Indices
3.4.3. TNI Influence on Climatic Variables
4. Discussion
4.1. Database of the Occurrence of MCS
4.2. Monthly and Seasonal Behavior on the Occurrence of MCSs
4.3. Diurnal Cycle and Duration of MCSs
4.4. Interannual Variability and Trends on the Occurrence of MCSs
4.5. MCS Teleconnections Patterns
4.5.1. Temporal Series Teleconnection
4.5.2. Wavelet Decomposition Teleconnection
4.6. Study’s Limitations
5. Conclusions
Author Contributions
Funding
Institutional Review Board Statement
Informed Consent Statement
Data Availability Statement
Acknowledgments
Conflicts of Interest
Abbreviations
| AMM | Atlantic Meridional Mode | |
| CAPE | Convective Available Potential Energy | |
| CIN | Convective Inhibition | |
| CLLJ | Chocó Low-Level Jet | |
| DJF | December–January–February | |
| ENSO | El Niño Southern Oscillation | |
| ET | Evapotranspiration | |
| ForTraCC | Forecasting and Tracking the Evolution of Cloud Clusters | |
| ITCZ | Intertropical Convergence Zone | |
| JJA | June–July–August | |
| MAM | March–April–May | |
| MCS | Mesoscale Convective System | |
| MODWT | Maximal Overlap Discrete Wavelet Transform | |
| NAO | North Atlantic Oscillation | |
| Niño 1+2 | Far Eastern Pacific Nino Region | |
| Nino 3.4 | East-Central Tropical Pacific Nino Region | |
| OLLJ | Orinoco Low-Level Jet | |
| PDO | Pacific Decadal Oscillation | |
| SNGR | Secretaría Nacional de Gestión de Riesgos | |
| SON | September–October–November | |
| SST | Sea Surface Temperature | |
| TNA | Tropical North Atlantic Index | |
| TNI | Trans-Nino Index | |
| TSA | Tropical South Atlantic Index | |
| WMO | World Meteorological Organization | |
Appendix A

| Study Period | Region | Index | Coast | Highlands | Amazon | |||||||||
|---|---|---|---|---|---|---|---|---|---|---|---|---|---|---|
| S | S lag | V1 | W1 | S | S lag | V1 | W1 | S | S lag | V1 | W1 | |||
| DJF | North | Niño 1+2 | 0.69 | 0.25 | −0.17 | 0.18 | 0.09 | 0.36 | 0.19 | 0.03 | −0.16 | −0.15 | −0.09 | −0.13 |
| Niño 3.4 | 0.18 | 0.35 | −0.20 | 0.24 | −0.10 | 0.17 | −0.17 | 0.10 | −0.32 | −0.12 | −0.09 | −0.04 | ||
| TNI | 0.17 | −0.10 | 0.03 | −0.26 | 0.15 | −0.10 | 0.25 | −0.05 | 0.32 | 0.02 | 0.24 | 0.17 | ||
| TNA | −0.01 | 0.14 | −0.34 | 0.03 | 0.33 | −0.17 | −0.48 | −0.19 | −0.08 | −0.12 | 0.32 | 0.12 | ||
| TSA | 0.28 | 0.27 | 0.00 | 0.26 | 0.01 | 0.15 | 0.02 | 0.05 | −0.24 | 0.12 | 0.02 | −0.02 | ||
| AMM | −0.18 | −0.11 | −0.22 | −0.17 | 0.27 | −0.42 | −0.54 | −0.11 | 0.09 | −0.09 | 0.38 | 0.18 | ||
| South | Niño 1+2 | 0.33 | 0.25 | 0.29 | 0.09 | 0.02 | −0.02 | −0.19 | 0.12 | 0.23 | 0.40 | −0.02 | ||
| Niño 3.4 | 0.30 | 0.12 | 0.43 | −0.27 | −0.13 | −0.09 | −0.43 | −0.05 | 0.08 | 0.29 | 0.17 | |||
| TNI | 0.02 | −0.29 | −0.26 | 0.35 | 0.22 | 0.23 | 0.36 | 0.03 | 0.02 | −0.18 | −0.15 | |||
| TNA | 0.23 | −0.38 | 0.24 | 0.00 | 0.26 | 0.49 | −0.29 | −0.16 | −0.13 | −0.06 | −0.29 | |||
| TSA | 0.23 | 0.11 | 0.32 | −0.12 | −0.23 | −0.15 | −0.24 | −0.10 | −0.02 | 0.13 | 0.24 | |||
| AMM | 0.04 | −0.54 | −0.04 | 0.07 | 0.23 | 0.40 | −0.05 | −0.18 | −0.19 | −0.12 | −0.23 | |||
| MAM | North | Niño 1+2 | 0.45 | 0.36 | 0.20 | 0.19 | 0.09 | −0.35 | 0.56 | 0.05 | 0.32 | 0.13 | 0.33 | −0.34 |
| Niño 3.4 | 0.05 | 0.13 | 0.50 | −0.10 | 0.06 | 0.00 | 0.39 | −0.34 | 0.02 | −0.12 | 0.32 | −0.41 | ||
| TNI | 0.28 | 0.27 | −0.24 | 0.40 | 0.15 | −0.13 | 0.32 | 0.29 | 0.32 | 0.08 | 0.17 | 0.09 | ||
| TNA | −0.20 | 0.10 | 0.09 | −0.13 | 0.04 | 0.24 | 0.20 | −0.29 | −0.28 | 0.04 | 0.21 | 0.14 | ||
| TSA | 0.07 | 0.28 | −0.24 | 0.23 | 0.14 | −0.20 | −0.11 | 0.24 | −0.04 | 0.15 | 0.07 | 0.16 | ||
| AMM | −0.27 | 0.04 | −0.02 | −0.14 | 0.04 | 0.30 | 0.06 | −0.40 | −0.20 | 0.10 | 0.09 | 0.10 | ||
| South | Niño 1+2 | 0.30 | 0.48 | −0.06 | 0.21 | 0.37 | 0.05 | 0.02 | 0.05 | 0.54 | 0.13 | 0.18 | −0.01 | |
| Niño 3.4 | 0.07 | 0.40 | 0.35 | −0.19 | −0.12 | −0.40 | 0.14 | −0.26 | 0.16 | −0.07 | 0.32 | −0.19 | ||
| TNI | 0.34 | 0.13 | −0.38 | 0.44 | 0.61 | 0.25 | 0.01 | 0.38 | 0.49 | 0.15 | −0.23 | 0.12 | ||
| TNA | 0.23 | 0.06 | 0.31 | −0.07 | −0.05 | −0.33 | 0.31 | −0.22 | 0.09 | −0.12 | −0.09 | −0.31 | ||
| TSA | 0.36 | −0.01 | 0.07 | 0.04 | 0.16 | 0.09 | −0.07 | −0.10 | 0.14 | 0.12 | 0.13 | −0.05 | ||
| AMM | 0.12 | −0.02 | 0.20 | −0.07 | −0.04 | −0.20 | 0.21 | −0.14 | −0.09 | −0.22 | −0.32 | −0.35 | ||
| JJA | North | Niño 1+2 | 0.44 | 0.09 | 0.37 | 0.08 | −0.21 | 0.13 | −0.06 | 0.23 | −0.19 | 0.23 | 0.18 | −0.24 |
| Niño 3.4 | −0.03 | 0.30 | 0.06 | −0.14 | 0.23 | −0.01 | −0.33 | −0.08 | −0.11 | 0.06 | −0.37 | 0.16 | ||
| TNI | 0.43 | −0.04 | 0.52 | 0.18 | −0.51 | −0.04 | 0.17 | 0.17 | −0.18 | 0.02 | 0.40 | −0.33 | ||
| TNA | −0.10 | −0.31 | 0.30 | −0.14 | −0.35 | −0.10 | 0.33 | 0.10 | 0.02 | −0.39 | 0.00 | −0.30 | ||
| TSA | −0.04 | −0.04 | 0.02 | 0.01 | −0.13 | −0.08 | 0.06 | 0.32 | −0.01 | 0.04 | 0.09 | −0.32 | ||
| AMM | −0.14 | −0.29 | 0.32 | −0.06 | −0.29 | −0.17 | 0.15 | −0.11 | 0.05 | −0.28 | −0.15 | −0.15 | ||
| South | Niño 1+2 | −0.17 | −0.16 | 0.42 | −0.44 | 0.06 | −0.10 | 0.41 | −0.23 | 0.16 | ||||
| Niño 3.4 | −0.02 | −0.21 | 0.24 | 0.23 | −0.12 | 0.00 | 0.05 | 0.20 | 0.39 | |||||
| TNI | −0.22 | 0.02 | 0.25 | −0.58 | 0.13 | −0.02 | 0.23 | −0.42 | 0.03 | |||||
| TNA | 0.03 | 0.38 | 0.07 | −0.09 | 0.24 | 0.29 | 0.02 | −0.23 | −0.20 | |||||
| TSA | 0.25 | 0.56 | 0.27 | −0.28 | 0.28 | −0.14 | 0.11 | −0.13 | −0.38 | |||||
| AMM | 0.04 | 0.17 | −0.07 | 0.04 | 0.08 | 0.26 | 0.00 | −0.31 | −0.03 | |||||
| SON | North | Niño 1+2 | 0.61 | 0.28 | 0.07 | 0.26 | 0.47 | 0.19 | 0.20 | 0.49 | −0.18 | −0.22 | −0.09 | −0.36 |
| Niño 3.4 | 0.41 | 0.07 | 0.27 | 0.13 | 0.43 | 0.33 | 0.16 | 0.40 | −0.17 | −0.01 | −0.11 | −0.20 | ||
| TNI | 0.24 | 0.13 | −0.34 | 0.19 | 0.07 | −0.15 | −0.30 | 0.11 | −0.07 | −0.19 | 0.18 | −0.01 | ||
| TNA | 0.07 | 0.18 | 0.02 | 0.38 | 0.04 | −0.29 | −0.37 | 0.15 | −0.05 | −0.31 | −0.12 | 0.12 | ||
| TSA | −0.11 | −0.27 | 0.42 | 0.27 | −0.12 | −0.09 | 0.37 | 0.32 | 0.32 | 0.21 | −0.08 | 0.23 | ||
| AMM | −0.24 | 0.16 | −0.09 | 0.04 | −0.19 | −0.27 | −0.51 | −0.12 | 0.03 | −0.26 | −0.18 | 0.09 | ||
| South | Niño 1+2 | −0.15 | −0.22 | 0.32 | −0.30 | 0.04 | −0.43 | −0.24 | 0.15 | |||||
| Niño 3.4 | −0.12 | −0.41 | 0.36 | −0.16 | −0.05 | −0.28 | −0.33 | 0.05 | ||||||
| TNI | 0.16 | 0.23 | −0.16 | −0.03 | −0.03 | −0.27 | 0.00 | 0.05 | ||||||
| TNA | 0.21 | 0.00 | 0.07 | −0.10 | −0.06 | −0.09 | −0.32 | 0.12 | ||||||
| TSA | 0.15 | 0.19 | −0.34 | −0.08 | 0.03 | −0.25 | 0.18 | −0.11 | ||||||
| AMM | 0.20 | 0.11 | −0.07 | −0.16 | 0.12 | 0.19 | −0.05 | −0.03 | ||||||
| MONTHLY | North | Niño 1+2 | 0.29 | 0.09 | 0.05 | 0.05 | 0.08 | 0.04 | 0.08 | −0.02 | 0.04 | −0.05 | −0.04 | 0.01 |
| Niño 3.4 | 0.02 | 0.10 | 0.11 | 0.00 | 0.02 | 0.06 | 0.05 | −0.04 | −0.03 | −0.11 | −0.12 | 0.00 | ||
| TNI | 0.22 | −0.02 | −0.09 | 0.03 | 0.09 | −0.01 | 0.04 | −0.01 | 0.09 | 0.04 | 0.05 | 0.00 | ||
| TNA | −0.26 | −0.01 | 0.00 | −0.02 | −0.03 | −0.14 | −0.21 | −0.02 | −0.07 | −0.16 | −0.19 | 0.05 | ||
| TSA | 0.16 | 0.08 | 0.11 | 0.05 | 0.02 | 0.02 | 0.08 | 0.03 | 0.02 | 0.08 | 0.12 | −0.04 | ||
| AMM | −0.31 | −0.23 | −0.21 | −0.01 | 0.06 | −0.21 | −0.32 | −0.01 | 0.05 | −0.17 | −0.21 | 0.00 | ||
| South | Niño 1+2 | 0.15 | 0.01 | −0.05 | 0.07 | 0.01 | 0.08 | 0.12 | 0.01 | 0.05 | 0.01 | −0.01 | −0.02 | |
| Niño 3.4 | 0.05 | 0.02 | 0.01 | 0.02 | −0.20 | −0.11 | −0.11 | 0.01 | −0.07 | −0.11 | −0.14 | 0.00 | ||
| TNI | 0.09 | −0.03 | −0.05 | 0.04 | 0.27 | 0.18 | 0.19 | 0.01 | 0.13 | 0.07 | 0.08 | 0.01 | ||
| TNA | 0.00 | −0.01 | 0.04 | −0.02 | −0.07 | −0.14 | −0.13 | 0.06 | 0.03 | −0.08 | −0.15 | −0.02 | ||
| TSA | 0.11 | 0.11 | 0.04 | −0.04 | 0.04 | 0.08 | 0.12 | −0.02 | −0.02 | 0.10 | 0.13 | 0.01 | ||
| AMM | −0.02 | −0.09 | 0.03 | 0.04 | 0.05 | −0.18 | −0.19 | 0.06 | 0.07 | −0.12 | −0.18 | 0.00 | ||
| ANNUAL | North | Niño 1+2 | 0.59 | 0.54 | 0.01 | 0.27 | 0.21 | 0.06 | 0.47 | 0.10 | −0.03 | 0.06 | 0.18 | −0.35 |
| Niño 3.4 | 0.29 | 0.23 | 0.38 | 0.16 | 0.18 | 0.14 | 0.08 | 0.13 | −0.23 | −0.04 | −0.31 | −0.22 | ||
| TNI | 0.32 | 0.33 | −0.38 | 0.17 | 0.10 | −0.10 | 0.26 | 0.05 | 0.07 | 0.15 | 0.73 | −0.01 | ||
| TNA | −0.16 | −0.13 | 0.16 | 0.14 | 0.02 | −0.18 | −0.27 | −0.04 | −0.10 | 0.03 | 0.18 | −0.16 | ||
| TSA | 0.09 | 0.10 | 0.15 | 0.24 | −0.19 | −0.16 | 0.26 | 0.26 | −0.01 | −0.13 | −0.08 | −0.02 | ||
| AMM | −0.23 | −0.15 | −0.05 | 0.03 | 0.02 | −0.01 | −0.39 | −0.14 | 0.05 | 0.12 | 0.30 | −0.05 | ||
| South | Niño 1+2 | 0.13 | 0.13 | −0.26 | 0.08 | 0.26 | 0.37 | −0.08 | 0.19 | 0.26 | 0.34 | 0.04 | 0.13 | |
| Niño 3.4 | −0.02 | −0.02 | 0.28 | −0.13 | −0.19 | −0.12 | −0.01 | −0.16 | −0.13 | −0.02 | 0.43 | 0.05 | ||
| TNI | 0.26 | 0.26 | −0.60 | 0.14 | 0.38 | 0.34 | 0.03 | 0.36 | 0.26 | 0.21 | −0.70 | 0.08 | ||
| TNA | 0.14 | 0.14 | 0.24 | 0.06 | 0.05 | 0.02 | 0.32 | −0.06 | 0.10 | −0.07 | −0.24 | −0.13 | ||
| TSA | 0.18 | 0.18 | −0.15 | −0.04 | 0.18 | 0.09 | −0.31 | 0.01 | 0.12 | 0.09 | 0.07 | 0.01 | ||
| AMM | 0.16 | 0.16 | 0.06 | 0.09 | 0.14 | 0.06 | 0.24 | −0.02 | 0.03 | −0.18 | −0.42 | −0.28 | ||
| Study Period | Region | Variable | Coast | Highlands | Amazon | ||||||
|---|---|---|---|---|---|---|---|---|---|---|---|
| S | V1 | W1 | S | V1 | W1 | S | V1 | W1 | |||
| ANNUAL | North | u800 | 0.16 | −0.27 | −0.14 | 0.43 | 0.31 | 0.11 | −0.07 | −0.48 | 0.19 |
| v800 | 0.11 | 0.05 | −0.12 | −0.15 | −0.20 | −0.04 | −0.18 | −0.48 | 0.02 | ||
| w800 | 0.01 | −0.04 | 0.01 | 0.56 | 0.35 | −0.07 | 0.55 | 0.46 | 0.11 | ||
| q800 | −0.28 | −0.31 | −0.09 | −0.16 | −0.34 | −0.27 | −0.19 | −0.32 | −0.19 | ||
| u500 | −0.26 | 0.27 | 0.01 | −0.06 | 0.46 | −0.01 | −0.09 | 0.58 | −0.06 | ||
| v500 | 0.08 | −0.30 | 0.00 | −0.16 | −0.48 | −0.01 | −0.29 | −0.60 | −0.03 | ||
| w500 | −0.61 | 0.28 | 0.00 | −0.73 | −0.45 | −0.12 | −0.31 | 0.14 | −0.34 | ||
| q500 | 0.58 | −0.08 | 0.08 | 0.44 | −0.06 | −0.01 | 0.14 | −0.23 | −0.08 | ||
| ∆u | −0.17 | 0.40 | 0.00 | −0.12 | 0.46 | −0.01 | 0.01 | 0.74 | −0.02 | ||
| ∆v | −0.25 | −0.24 | 0.07 | −0.19 | −0.40 | 0.08 | −0.02 | 0.01 | −0.04 | ||
| WSM | 0.15 | −0.42 | −0.03 | 0.05 | −0.50 | −0.01 | 0.32 | −0.16 | 0.01 | ||
| CIN | −0.05 | 0.17 | 0.16 | 0.00 | 0.02 | 0.08 | 0.13 | 0.40 | 0.01 | ||
| CAPE | 0.26 | −0.31 | 0.06 | 0.23 | −0.23 | 0.19 | 0.30 | 0.38 | 0.10 | ||
| South | u800 | 0.26 | −0.25 | −0.26 | 0.51 | 0.40 | 0.14 | 0.14 | −0.48 | 0.10 | |
| v800 | −0.08 | 0.30 | −0.10 | 0.21 | 0.14 | 0.14 | −0.13 | −0.44 | 0.03 | ||
| w800 | 0.34 | 0.58 | −0.11 | 0.08 | 0.36 | −0.05 | 0.63 | 0.43 | 0.10 | ||
| q800 | −0.32 | −0.51 | −0.01 | −0.21 | −0.45 | −0.12 | −0.21 | −0.35 | −0.22 | ||
| u500 | −0.25 | 0.23 | 0.04 | −0.08 | 0.45 | 0.02 | −0.05 | 0.57 | −0.03 | ||
| v500 | 0.09 | 0.08 | 0.03 | 0.11 | 0.03 | −0.01 | −0.12 | −0.41 | −0.03 | ||
| w500 | −0.62 | 0.24 | −0.10 | −0.59 | −0.48 | −0.31 | −0.18 | 0.21 | −0.11 | ||
| q500 | 0.51 | −0.05 | 0.05 | 0.37 | −0.16 | 0.09 | 0.16 | −0.30 | −0.07 | ||
| ∆u | −0.31 | 0.25 | 0.09 | −0.16 | 0.31 | 0.02 | −0.06 | 0.64 | 0.01 | ||
| ∆v | 0.09 | 0.01 | 0.14 | 0.09 | 0.03 | −0.04 | 0.09 | 0.16 | 0.00 | ||
| WSM | 0.33 | −0.22 | −0.04 | 0.15 | −0.28 | −0.07 | 0.38 | −0.13 | −0.05 | ||
| CIN | −0.28 | −0.14 | −0.09 | 0.18 | −0.17 | 0.01 | 0.28 | 0.53 | 0.05 | ||
| CAPE | 0.14 | −0.35 | 0.08 | 0.15 | −0.07 | 0.13 | 0.22 | 0.24 | −0.11 | ||



References
- Durkee, J.D.; Mote, T.L.; Shepherd, J.M. The Contribution of Mesoscale Convective Complexes to Rainfall across Subtropical South America. J. Clim. 2009, 22, 4590–4605. [Google Scholar] [CrossRef]
- Romatschke, U.; Houze, R.A. Characteristics of Precipitating Convective Systems Accounting for the Summer Rainfall of Tropical and Subtropical South America. J. Hydrometeorol. 2013, 14, 25–46. [Google Scholar] [CrossRef]
- Salio, P.; Nicolini, M.; Zipser, E. Mesoscale Convective Systems over Southeastern South America and Their Relationship with the South American Low-Level Jet. Mon. Weather Rev. 2007, 135, 1290–1309. [Google Scholar] [CrossRef]
- Mejía, J.F.; Poveda, G. Ambientes Atmosféricos De Sistemas Convectivos De Mesoescala Sobre Colombia Durante 1998 Según La Misión Trmm Y El Re-Análisis Ncep/Ncar. Rev. Acad. Colomb. Cienc. Exactas Físicas Nat. 2023, 29, 495–514. [Google Scholar] [CrossRef]
- Fan, J.; Li, Z. Chapter 14—Aerosol Interactions with Deep Convective Clouds. In Aerosols and Climate; Carslaw, K.S., Ed.; Elsevier: Amsterdam, The Netherlands, 2022; pp. 571–617. ISBN 978-0-12-819766-0. [Google Scholar]
- O’Neill, S.; Tett, S.F.B.; Donovan, K. Extreme Rainfall Risk and Climate Change Impact Assessment for Edinburgh World Heritage Sites. Weather Clim. Extrem. 2022, 38, 100514. [Google Scholar] [CrossRef]
- Hernández García, Y.; Kleiche Dray, M.; Russell, J.M. Enfoques Metodológicos Para Identificar y Caracterizar La Investigación Mexicana En Química En Bases de Datos Bibliográficas. Investig. Bibl. Arch. Bibl. Inf. 2013, 27, 35–66. [Google Scholar] [CrossRef]
- Jaramillo, L.; Poveda, G.; Mejía, J.F. Mesoscale Convective Systems and Other Precipitation Features over the Tropical Americas and Surrounding Seas as Seen by TRMM. Int. J. Climatol. 2017, 37, 380–397. [Google Scholar] [CrossRef]
- Rehbein, A.; Ambrizzi, T.; Mechoso, C.R. Mesoscale Convective Systems over the Amazon Basin. Part I: Climatological Aspects. Int. J. Climatol. 2018, 38, 215–229. [Google Scholar] [CrossRef]
- Rehbein, A.; Ambrizzi, T.; Mechoso, C.R.; Espinosa, S.A.I.; Myers, T.A. Mesoscale Convective Systems over the Amazon Basin: The GoAmazon2014/5 Program. Int. J. Climatol. 2019, 39, 5599–5618. [Google Scholar] [CrossRef]
- Huang, Y.; Xue, M.; Hu, X.M.; Martin, E.; Novoa, H.M.; McPherson, R.A.; Liu, C.; Ikeda, K.; Rasmussen, R.; Prein, A.F.; et al. Characteristics of Precipitation and Mesoscale Convective Systems Over the Peruvian Central Andes in Multi 5-Year Convection-Permitting Simulations. J. Geophys. Res. Atmos. 2024, 129, e2023JD040394. [Google Scholar] [CrossRef]
- Robledo, V.; Henao, J.J.; Mejía, J.F.; Ramírez-Cardona, Á.; Hernández, K.S.; Gómez-Ríos, S.; Rendón, Á.M. Climatological Tracking and Lifecycle Characteristics of Mesoscale Convective Systems in Northwestern South America. J. Geophys. Res. Atmos. 2024, 129, e2024JD041159. [Google Scholar] [CrossRef]
- Campozano, L.; Trachte, K.; Célleri, R.; Samaniego, E.; Bendix, J.; Albuja, C.; Mejia, J.F. Climatology and Teleconnections of Mesoscale Convective Systems in an Andean Basin in Southern Ecuador: The Case of the Paute Basin. Adv. Meteorol. 2018, 2018, 4259191. [Google Scholar] [CrossRef]
- Mite, A. Eventos Peligrosos—Conjunto de Datos—Datos Abiertos Ecuador. Available online: https://www.datosabiertos.gob.ec/dataset/eventos-peligrosos (accessed on 20 March 2025).
- Pineda, L.E.; Changoluisa, J.A.; Muñoz, Á.G. Early Onset of Heavy Rainfall on the Northern Coast of Ecuador in the Aftermath of El Niño 2015/2016. Front. Earth Sci. 2023, 11, 1027609. [Google Scholar] [CrossRef]
- Paredes Gómez, M.F.; Molina Estrella, M.E.; Cerón Carrera, M.P. Aluvión de Quito: Una Mirada Comunicacional Del Desastre. Tsafiqui Rev. Cient. Cienc. Soc. 2022, 12, 89–102. [Google Scholar] [CrossRef]
- Ordóñez Charpentier, A. El Aluvión de 2022 En Una Comuna de Quito: Urbanización, Vulnerabilidad y Políticas Interespecies. Mundos Plur. Rev. Latinoam. Políticas Acción Pública 2024, 11, 94–117. [Google Scholar] [CrossRef]
- Wallace, B.; Haberlie, A.M.; Gensini, V.A.; Ashley, W.S.; Michaelis, A.C. Cause and Characteristics of Changes in Mesoscale Convective Systems within a Convection-Permitting Regional Climate Model. J. Clim. 2024, 38, 461–479. [Google Scholar] [CrossRef]
- Rehbein, A.; Ambrizzi, T. Mesoscale Convective Systems over the Amazon Basin in a Changing Climate under Global Warming. Clim. Dyn. 2023, 61, 1815–1827. [Google Scholar] [CrossRef]
- Cui, W.; Galarneau, T.J.; Hoogewind, K.A. Changes in Mesoscale Convective System Precipitation Structures in Response to a Warming Climate. J. Geophys. Res. Atmos. 2024, 129, e2023JD039920. [Google Scholar] [CrossRef]
- Tsonis, A.A.; Roebber, P.J. The Architecture of the Climate Network. Phys. A Stat. Mech. Appl. 2004, 333, 497–504. [Google Scholar] [CrossRef]
- Ávila, R.; Ballari, D. A Bayesian Network Approach to Identity Climate Teleconnections Within Homogeneous Precipitation Regions in Ecuador. In Advances in Intelligent Systems and Computing; Springer International Publishing: Berlin/Heidelberg, Germany, 2020; Volume 1099, pp. 21–35. ISBN 9783030357399. [Google Scholar]
- Konapala, G.; Valiya Veettil, A.; Mishra, A.K. Teleconnection between Low Flows and Large-Scale Climate Indices in Texas River Basins. Stoch. Environ. Res. Risk Assess. 2018, 32, 2337–2350. [Google Scholar] [CrossRef]
- Vuille, M.; Bradley, R.S.; Keimig, F. Climate Variability in the Andes of Ecuador and Its Relation to Tropical Pacific and Atlantic Sea Surface Temperature Anomalies. J. Clim. 2000, 13, 2520–2535. [Google Scholar] [CrossRef]
- Mendoza, D.E.; Samaniego, E.P.; Mora, D.E.; Espinoza, M.J.; Campozano, L.V. Finding Teleconnections from Decomposed Rainfall Signals Using Dynamic Harmonic Regressions: A Tropical Andean Case Study. Clim. Dyn. 2019, 52, 4643–4670. [Google Scholar] [CrossRef]
- Trenberth, K.E.; Stepaniak, D.P. Indices of El Niño Evolution. J. Clim. 2001, 14, 1697–1701. [Google Scholar] [CrossRef]
- Hurrell, J.W. Decadal Trends in the North Atlantic Oscillation: Regional Temperatures and Precipitation. Science 1995, 269, 676–679. [Google Scholar] [CrossRef]
- Trachte, K.; Rollenbeck, R.; Bendix, J. Nocturnal Convective Cloud Formation under Clear-Sky Conditions at the Eastern Andes of South Ecuador. J. Geophys. Res. Atmos. 2010, 115, D24203. [Google Scholar] [CrossRef]
- Organización Meteorológica Mundial (OMM). Plan de Acción Para La Reducción Del Riesgo de Desastres de Los Servicios Meteorológicos e Hidrológicos Nacionales (SMHN); Organización Meteorológica Mundial (OMM): Geneva, Switzerland, 2011. [Google Scholar]
- OMM. Guía de Prácticas Climatológicas; World Meteorological Organization (WMO): Geneva, Switzerland, 2011; Volume 100, ISBN 978-92-63-30100-0. [Google Scholar]
- Remedio, A.R.C. Connections of Low Level Jets and Mesoscale Convective Systems in South America. Ph.D. Dissertation, Universität Hamburg Hamburg, Hamburg, Germany, 2013; p. 145. [Google Scholar]
- Sen, P.K. Estimates of the Regression Coefficient Based on Kendall’s Tau. J. Am. Stat. Assoc. 1968, 63, 1379–1389. [Google Scholar] [CrossRef]
- Mann, H.B. Nonparametric Tests Against Trend. Econometrica 1945, 13, 245. [Google Scholar] [CrossRef]
- Ortiz Arenas, A.L.; Ruiz Ochoa, M.; Rodríguez Miranda, J.P. Planificación y Gestión de Los Recursos Hídricos: Una Revisión de La Importancia de La Variabilidad Climática. Rev. Logos Cienc. Tecnol. 2017, 9, 100–105. [Google Scholar] [CrossRef]
- Naranjo-Silva, S.; Romero-Bermeo, J. Coca Codo Sinclair Hydropower Plant: A Time Bomb in the Energy Sector for Ecuador or a Successful Project? Enfoque UTE 2025, 16, 26–37. [Google Scholar] [CrossRef]
- R Core Team. R: A Language and Environment for Statistical Computing; Version 4.5.1; GPL: Boston, MA, USA, 2025. [Google Scholar]
- Portalanza, D.; Torres, M.; Rosso, F.; Zuluaga, C.F.; Durigon, A.; Horgan, F.G.; Alava, E.; Ferraz, S. Climate Variability and Change in Ecuador: Dynamic Downscaling of Regional Projections with RegCM4 and HadGEM2-ES for Informed Adaptation Strategies. Front. Clim. 2024, 6, 1344868. [Google Scholar] [CrossRef]
- Ancapichún, S.; Garcés-Vargas, J. Variability of the Southeast Pacific Subtropical Anticyclone and Its Impact on Sea Surface Temperature off North-Central Chile. Cienc. Mar. 2015, 41, 1–20. [Google Scholar] [CrossRef]
- Zanin, P.R.; Pareja-Quispe, D.; Espinoza, J.-C. Evapotranspiration in the Amazon Basin: Couplings, Hydrological Memory and Water Feedback. Agric. For. Meteorol. 2024, 352, 110040. [Google Scholar] [CrossRef]
- Zhang, J.; Feng, Z.; Niu, J.; Melack, J.M.; Zhang, J.; Qiu, H.; Hu, B.X.; Riley, W.J. Spatiotemporal Variations of Evapotranspiration in Amazonia Using the Wavelet Phase Difference Analysis. J. Geophys. Res. Atmos. 2022, 127, e2021JD034959. [Google Scholar] [CrossRef]
- Vuille, M. Climate Change and Water Resources in the Tropical Andes; Technical Note No. IDB-TN-515; IDB: Washington, DC, USA, 2013; p. 29. [Google Scholar]
- Peel, M.C.; Finlayson, B.L.; McMahon, T.A. Updated World Map of the Köppen-Geiger Climate Classification. Hydrol. Earth Syst. Sci. 2007, 11, 1633–1644. [Google Scholar] [CrossRef]
- Delgado-Gutierrez, E.; Canivell, J.; Bienvenido-Huertas, D.; Hidalgo-Sánchez, F.M. Adaptive Comfort Potential in Different Climate Zones of Ecuador Considering Global Warming. Energies 2024, 17, 2017. [Google Scholar] [CrossRef]
- Carrillo-Rojas, G.; Schulz, H.M.; Orellana-Alvear, J.; Ochoa-Sánchez, A.; Trachte, K.; Célleri, R.; Bendix, J. Atmosphere-Surface Fluxes Modeling for the High Andes: The Case of Páramo Catchments of Ecuador. Sci. Total Environ. 2020, 704, 135372. [Google Scholar] [CrossRef]
- Chimborazo, O.; Minder, J.R.; Vuille, M. Observations and Simulated Mechanisms of Elevation-Dependent Warming over the Tropical Andes. J. Clim. 2022, 35, 1021–1044. [Google Scholar] [CrossRef]
- de Berc, S.B.; Soula, J.C.; Baby, P.; Souris, M.; Christophoul, F.; Rosero, J. Geomorphic Evidence of Active Deformation and Uplift in a Modern Continental Wedge-Top–Foredeep Transition: Example of the Eastern Ecuadorian Andes. Tectonophysics 2005, 399, 351–380. [Google Scholar] [CrossRef]
- Tamay, J.; Galindo-Zaldívar, J.; Ruano, P.; Soto, J.; Lamas, F.; Azañón, J.M. New Insight on the Recent Tectonic Evolution and Uplift of the Southern Ecuadorian Andes from Gravity and Structural Analysis of the Neogene-Quaternary Intramontane Basins. J. S. Am. Earth Sci. 2016, 70, 340–352. [Google Scholar] [CrossRef]
- Eghdami, M.; Barros, A.P. Extreme Orographic Rainfall in the Eastern Andes Tied to Cold Air Intrusions. Front. Environ. Sci. 2019, 7, 449196. [Google Scholar] [CrossRef]
- Orellana-Alvear, J.; Célleri, R.; Rollenbeck, R.; Bendix, J. Analysis of Rain Types and Their Z–R Relationships at Different Locations in the High Andes of Southern Ecuador. J. Appl. Meteorol. Climatol. 2017, 56, 3065–3080. [Google Scholar] [CrossRef]
- García-Garizábal, I.; Romero, P.; Jiménez, S.; Jordá, L. Evolución Climática En La Costa de Ecuador Por Efecto Del Cambio Climático. DYNA 2017, 84, 37–44. [Google Scholar] [CrossRef]
- Espinoza, J.C.; Ronchail, J.; Frappart, F.; Lavado, W.; Santini, W.; Guyot, J.L. The Major Floods in the Amazonas River and Tributaries (Western Amazon Basin) during the 1970–2012 Period: A Focus on the 2012 Flood. J. Hydrometeorol. 2013, 14, 1000–1008. [Google Scholar] [CrossRef]
- Bendix, J.; Trachte, K.; Palacios, E.; Rollenbeck, R.; Göttlicher, D.; Nauss, T.; Bendix, A. El Niño Meets La Niña-Anomalous Rainfall Patterns in the “Traditional” El Niño Region of Southern Ecuador. Erdkunde 2011, 65, 151–167. [Google Scholar] [CrossRef]
- Newman, M.; Alexander, M.A.; Ault, T.R.; Cobb, K.M.; Deser, C.; Di Lorenzo, E.; Mantua, N.J.; Miller, A.J.; Minobe, S.; Nakamura, H.; et al. The Pacific Decadal Oscillation, Revisited. J. Clim. 2016, 29, 4399–4427. [Google Scholar] [CrossRef]
- Garreaud, R.D. A Plausible Atmospheric Trigger for the 2017 Coastal El Niño. Int. J. Climatol. 2018, 38, e1296–e1302. [Google Scholar] [CrossRef]
- Trasmonte, G.; Silva, Y. La Niña Event: Proposal of Definition and Classification According to the Sea Surface Temperature Anomalies in El Niño 1+2 Area. Inf. Inst. Del Mar Del Perú 2008, 35, 199–207. [Google Scholar]
- Foley, J.A.; Botta, A.; Coe, M.T.; Costa, M.H. El Niño–Southern Oscillation and the Climate, Ecosystems and Rivers of Amazonia. Glob. Biogeochem. Cycles 2002, 16, 1132. [Google Scholar] [CrossRef]
- Vicente-Serrano, S.M.; Aguilar, E.; Martínez, R.; Martín-Hernández, N.; Azorin-Molina, C.; Sanchez-Lorenzo, A.; El Kenawy, A.; Tomás-Burguera, M.; Moran-Tejeda, E.; López-Moreno, J.I.; et al. The Complex Influence of ENSO on Droughts in Ecuador. Clim. Dyn. 2017, 48, 405–427. [Google Scholar] [CrossRef]
- Campozano, L.; Robaina, L.; Samaniego, E. The Pacific Decadal Oscillation Modulates the Relation of ENSO with the Rainfall Variability in Coast of Ecuador. Int. J. Climatol. 2020, 40, 5801–5812. [Google Scholar] [CrossRef]
- Veettil, B.K.; Leandro Bayer Maier, É.; Bremer, U.F.; de Souza, S.F. Combined Influence of PDO and ENSO on Northern Andean Glaciers: A Case Study on the Cotopaxi Ice-Covered Volcano, Ecuador. Clim. Dyn. 2014, 43, 3439–3448. [Google Scholar] [CrossRef]
- Fernando, H.J.S. CONVECTION|Laboratory Models. In Encyclopedia of Atmospheric Sciences; Elsevier: Amsterdam, The Netherlands, 2003; pp. 528–539. [Google Scholar]
- Doelling, D.; Helder, D.; Schott, J.; Stone, T.; Pinto, C.T. Vicarious Calibration and Validation. Compr. Remote Sens. 2018, 1–9, 475–518. [Google Scholar] [CrossRef]
- Murray, B.J.; Liu, X. Ice-Nucleating Particles and Their Effects on Clouds and Radiation. In Aerosols and Climate; Elsevier: Amsterdam, The Netherlands, 2022; pp. 619–649. [Google Scholar] [CrossRef]
- Houze, R.A.; Cheng, C.-P.; Leary, C.A.; Gamache, J.F. Diagnosis of Cloud Mass and Heat Fluxes from Radar and Synoptic Data. J. Atmos. Sci. 1980, 37, 754–773. [Google Scholar] [CrossRef][Green Version]
- Parker, M.D.; Johnson, R.H. Organizational Modes of Midlatitude Mesoscale Convective Systems. Mon. Weather Rev. 2000, 128, 3413–3436. [Google Scholar] [CrossRef]
- Houze, R.A. Types of Clouds in Earth’s Atmosphere. Int. Geophys. 2014, 104, 3–23. [Google Scholar] [CrossRef]
- Rehbein, A.; Prein, A.F.; Ambrizzi, T.; Ikeda, K.; Liu, C.; Rasmussen, R.M. 20 Years of MCSs Simulations over South America Using a Convection-Permitting Model. Clim. Dyn. 2025, 63, 38. [Google Scholar] [CrossRef]
- Rehbein, A. Observed Mesoscale Convective Systems over South America (2001–2021) [Data Set]; Zenodo: Geneva, Switzerland, 2025. [Google Scholar] [CrossRef]
- Prein, A.F.; Feng, Z.; Fiolleau, T.; Moon, Z.L.; Núñez Ocasio, K.M.; Kukulies, J.; Roca, R.; Varble, A.C.; Rehbein, A.; Liu, C.; et al. Km-Scale Simulations of Mesoscale Convective Systems Over South America—A Feature Tracker Intercomparison. J. Geophys. Res. Atmos. 2024, 129, e2023JD040254. [Google Scholar] [CrossRef]
- Hayden, L.; Liu, C.; Liu, N. Properties of Mesoscale Convective Systems Throughout Their Lifetimes Using IMERG, GPM, WWLLN, and a Simplified Tracking Algorithm. J. Geophys. Res. Atmos. 2021, 126, e2021JD035264. [Google Scholar] [CrossRef]
- Houze, R.A. 100 Years of Research on Mesoscale Convective Systems. Meteorol. Monogr. 2018, 59, 17.1–17.54. [Google Scholar] [CrossRef]
- Houze, R.A. Cloud Clusters and Large-Scale Vertical Motions in the Tropics. J. Meteor. Soc. Jpn. 1982, 60, 396–410. [Google Scholar] [CrossRef]
- Feng, Z.; Leung, L.R.; Houze, R.A.; Hagos, S.; Hardin, J.; Yang, Q.; Han, B.; Fan, J. Structure and Evolution of Mesoscale Convective Systems: Sensitivity to Cloud Microphysics in Convection-Permitting Simulations Over the United States. J. Adv. Model. Earth Syst. 2018, 10, 1470–1494. [Google Scholar] [CrossRef]
- Huffman, G.J.; Stocker, E.F.; Bolvin, D.T.; Nelkin, E.J.; Tan, J. GPM IMERG Final Precipitation L3 1 Month 0.1 Degree × 0.1 Degree V07; NCAR: Boulder, CO, USA, 2019. [Google Scholar]
- Rayner, N.A.; Parker, D.E.; Horton, E.B.; Folland, C.K.; Alexander, L.V.; Rowell, D.P.; Kent, E.C.; Kaplan, A. Global Analyses of Sea Surface Temperature, Sea Ice, and Night Marine Air Temperature since the Late Nineteenth Century. J. Geophys. Res. Atmos. 2003, 108, 4407. [Google Scholar] [CrossRef]
- Chiang, J.C.H.; Vimont, D.J. Analogous Pacific and Atlantic Meridional Modes of Tropical Atmosphere–Ocean Variability. J. Clim. 2004, 17, 4143–4158. [Google Scholar] [CrossRef]
- Enfield, D.B.; Mestas-Nuñez, A.M.; Mayer, D.A.; Cid-Serrano, L. How Ubiquitous Is the Dipole Relationship in Tropical Atlantic Sea Surface Temperatures? J. Geophys. Res. Ocean. 1999, 104, 7841–7848. [Google Scholar] [CrossRef]
- Hersbach, H.; Bell, B.; Berrisford, P.; Biavati, G.; Horányi, A.; Muñoz Sabater, J.; Nicolas, J.; Peubey, C.; Radu, R.; Rozum, I.; et al. ERA5 Monthly Averaged Data on Pressure Levels from 1940 to Present; The Copernicus Climate Change Service (C3S) Climate Data Store (CDS): Virtual, 2023. [Google Scholar]
- Ballari, D.; Castro, E.; Campozano, L. Validation of Satellite Precipitation (TRMM 3B43) in Ecuadorian Coastal Plains, Andean Highlands and Amazonian Rainforest. Int. Arch. Photogramm. Remote Sens. Spat. Inf. Sci.-ISPRS Arch. 2016, 41, 305–311. [Google Scholar] [CrossRef]
- Fávero, L.P.; Belfiore, P.; de Freitas Souza, R. Dealing with Simple Feature Objects. In Data Science, Analytics and Machine Learning with R; Academic Press: Cambridge, MA, USA, 2023; pp. 489–507. [Google Scholar] [CrossRef]
- Montealegre Escalas de La Variablidad Climatica. Pnuma 1996, 1–9. Available online: https://www.rds.org.co/aa/img_upload/aea709feb9d6e6499a219fa83c2c5451/Escalas_de_la_variabilidad_clim_tica.pdf. (accessed on 3 August 2025).
- Espinoza, J.C.; Garreaud, R.; Poveda, G.; Arias, P.A.; Molina-Carpio, J.; Masiokas, M.; Viale, M.; Scaff, L. Hydroclimate of the Andes Part I: Main Climatic Features. Front. Earth Sci. 2020, 8, 505486. [Google Scholar] [CrossRef]
- Nesbitt, S.W.; Zipser, E.J. The Diurnal Cycle of Rainfall and Convective Intensity According to Three Years of TRMM Measurements. J. Clim. 2003, 16, 1456–1475. [Google Scholar] [CrossRef]
- Sáenz, F.; Amador, J.A. Características Del Ciclo Diurno de Precipitación En El Caribe de Costa Rica. Rev. Climatol. 2016, 16, 21–34. [Google Scholar]
- Liu, W.; Cook, K.H.; Vizy, E.K. The Role of Mesoscale Convective Systems in the Diurnal Cycle of Rainfall and Its Seasonality over Sub-Saharan Northern Africa. Clim. Dyn. 2019, 52, 729–745. [Google Scholar] [CrossRef]
- Ramos-Pérez, O.; Adams, D.K.; Ochoa-Moya, C.A.; Quintanar, A.I. A Climatology of Mesoscale Convective Systems in Northwest Mexico during the North American Monsoon. Atmosphere 2022, 13, 665. [Google Scholar] [CrossRef]
- Shrestha, A.K.; Thapa, A.; Gautam, H. Solar Radiation, Air Temperature, Relative Humidity, and Dew Point Study: Damak, Jhapa, Nepal. Int. J. Photoenergy 2019, 2019, 8369231. [Google Scholar] [CrossRef]
- Nadiatul Adilah, A.A.G.; Mohamad Zarif, M.; Mohamad Idris, A. Rainfall Trend Analysis Using Box Plot Method: Case Study UMP Campus Gambang and Pekan. IOP Conf. Ser. Mater. Sci. Eng. 2020, 712, 012021. [Google Scholar] [CrossRef]
- Aditya, F.; Gusmayanti, E.; Sudrajat, J. Rainfall Trend Analysis Using Mann-Kendall and Sen’s Slope Estimator Test in West Kalimantan. IOP Conf. Ser. Earth Environ. Sci. 2021, 893, 012006. [Google Scholar] [CrossRef]
- Muhammad, M.; Azmi, M.A.F.; Mohd Zawawi, M.A. Rainfall Trend Analysis Using the Mann-Kendall Test with PyMannKendall: A Case Study of Jeli, Kelantan. In BIO Web of Conferences, Proceedings of the 6th International Conference on Tropical Resources and Sustainable Sciences (CTReSS 6.0), Jeli, Malaysia, 27–28 August 2024; EDP Sciences: Les Ulis, France, 2024; Volume 131. [Google Scholar]
- Güçlü, Y.S.; Acar, R.; Saplıoğlu, K. Seasonally Adjusted Periodic Time Series for Mann-Kendall Trend Test. Phys. Chem. Earth Parts A/B/C 2025, 138, 103848. [Google Scholar] [CrossRef]
- Aswad, F.; Yousif, A.; Ibrahim, S. Trend Analysis Using Mann-Kendall And Sen’s Slope Estimator Test for Annual and Monthly Rainfall for Sinjar District, Iraq. J. Univ. Duhok 2020, 23, 501–508. [Google Scholar] [CrossRef]
- Shah, S.A.; Kiran, M. Mann-Kendall test: Trend analysis of temperature, rainfall, and discharge of Ghotki feeder canal in district Ghotki, Sindh, Pakistan. Environ. Ecosyst. Sci. 2021, 5, 137–142. [Google Scholar] [CrossRef]
- Pohlert, T. Trend: Non-Parametric Trend Tests and Change-Point Detection. R Package Version 1.1.6, CRAN. 2015. Available online: https://CRAN.R-project.org/package=trend (accessed on 15 January 2025).
- Campozano, L.; Ballari, D.; Célleri, R. Imágenes TRMM Para Identificar Patrones de Precipitación e Índices ENSO En Ecuador. Maskana 2014, 5, 185–191. [Google Scholar]
- He, X.; Guan, H. Multiresolution Analysis of Precipitation Teleconnections with Large-Scale Climate Signals: A Case Study in South Australia. Water Resour. Res. 2013, 49, 6995–7008. [Google Scholar] [CrossRef]
- Cristina Recalde-Coronel, G.; Barnston, A.G.; Muñoz, Á.G. Predictability of December-April Rainfall in Coastal and Andean Ecuador. J. Appl. Meteorol. Climatol. 2014, 53, 1471–1493. [Google Scholar] [CrossRef]
- Ji, X.; Neelin, J.D.; Mechoso, C.R. El Niño–Southern Oscillation Sea Level Pressure Anomalies in the Western Pacific: Why Are They There? J. Clim. 2015, 28, 8860–8872. [Google Scholar] [CrossRef]
- Nobre, P.; Shukla, J. Variations of Sea Surface Temperature, Wind Stress, and Rainfall over the Tropical Atlantic and South America. J. Clim. 1996, 9, 2464–2479. [Google Scholar] [CrossRef]
- Zhou, X.; Lin, J.S.; Liang, X.; Xu, W. Rainfall Patterns From Multiscale Sample Entropy Analysis. Front. Water 2022, 4, 885456. [Google Scholar] [CrossRef]
- Sayood, K. Wavelets. In Introduction to Data Compression; Morgan Kaufmann: Burlington, MA, USA, 2018; pp. 511–542. [Google Scholar] [CrossRef]
- Torrence, C.; Compo, G.P. A Practical Guide to Wavelet Analysis. Bull. Am. Meteorol. Soc. 1998, 79, 61–78. [Google Scholar] [CrossRef]
- Amini, A.; Dolatshahi, M.; Kerachian, R. Real-Time Rainfall and Runoff Prediction by Integrating BC-MODWT and Automatically-Tuned DNNs: Comparing Different Deep Learning Models. J. Hydrol. 2024, 631, 130804. [Google Scholar] [CrossRef]
- Zhu, L.; Wang, Y.; Fan, Q. MODWT-ARMA Model for Time Series Prediction. Appl. Math. Model. 2014, 38, 1859–1865. [Google Scholar] [CrossRef]
- Aldrich, E. Wavelets: Functions for Computing Wavelet Filters, Wavelet Transforms and Multiresolution Analyses. R Package Version 0.3-0, CRAN. 2013. Available online: https://CRAN.R-project.org/package=wavelets (accessed on 22 February 2025).
- Percival, D.B.; Mofjeld, H.O. Analysis of Subtidal Coastal Sea Level Fluctuations Using Wavelets. J. Am. Stat. Assoc. 1997, 92, 868–880. [Google Scholar] [CrossRef]
- Percival, D.B.; Walden, A.T. The Maximal Overlap Discrete WaveletTransform. In Wavelet Methods for Time Series Analysis; Cambridge Series in Statistical and Probabilistic Mathematics; Cambridge University Press: Cambridge, UK, 2000; pp. 159–205. [Google Scholar]
- Appleton, J.D.; Williams, T.M.; Orbea, H.; Carrasco, M. Fluvial Contamination Associated with Artisanal Gold Mining in the Ponce Enríquez, Portovelo-Zaruma and Nambija Areas, Ecuador. Water Air Soil Pollut. 2001, 131, 19–39. [Google Scholar] [CrossRef]
- Zar, J.H. Biostatistical Analysis, 4th ed.; Prentice Hall: Upper Saddle River, NJ, USA, 1999; 663p, ISBN 0-13-081542-X. [Google Scholar]
- Ebisuzaki, W. A Method to Estimate the Statistical Significance of a Correlation When the Data Are Serially Correlated. J. Clim. 1997, 10, 2147–2153. [Google Scholar] [CrossRef]
- Baddouh, M.; Meyers, S.R.; Carroll, A.R.; Beard, B.L.; Johnson, C.M. Lacustrine 87 Sr/86 Sr as a Tracer to Reconstruct Milankovitch Forcing of the Eocene Hydrologic Cycle. Earth Planet. Sci. Lett. 2016, 448, 62–68. [Google Scholar] [CrossRef]
- Meyers, S.R. Astrochron: An R Package for Astrochronology. R Package Version 1.0, CRAN. 2014. Available online: https://CRAN.R-project.org/package=astrochron (accessed on 8 March 2025).
- Rotunno, R.; Klemp, J.B.; Weisman, M.L. A Theory for Strong, Long-Lived Squall Lines. J. Atmos. Sci. 1988, 45, 463–485. [Google Scholar] [CrossRef]
- Weisman, M.L.; Rotunno, R. “A Theory for Strong Long-Lived Squall Lines” Revisited. J. Atmos. Sci. 2004, 61, 361–382. [Google Scholar] [CrossRef]
- Romatschke, U.; Houze, R.A. Extreme Summer Convection in South America. J. Clim. 2010, 23, 3761–3791. [Google Scholar] [CrossRef]
- Machado, L.A.T.; Rossow, W.B.; Guedes, R.L.; Walker, A.W. Life Cycle Variations of Mesoscale Convective Systems over the Americas. Mon. Weather Rev. 1998, 126, 1630–1654. [Google Scholar] [CrossRef]
- Vila, D.A.; Machado, L.A.T.; Laurent, H.; Velasco, I. Forecast and Tracking the Evolution of Cloud Clusters (ForTraCC) Using Satellite Infrared Imagery: Methodology and Validation. Weather Forecast. 2008, 23, 233–245. [Google Scholar] [CrossRef]
- Martinez, J.A.; Arias, P.A.; Dominguez, F.; Prein, A. Mesoscale Structures in the Orinoco Basin during an Extreme Precipitation Event in the Tropical Andes. Front. Earth Sci. 2024, 11, 1307549. [Google Scholar] [CrossRef]
- Da Silva, N.A.; Haerter, J.O. The Precipitation Characteristics of Mesoscale Convective Systems Over Europe. J. Geophys. Res. Atmos. 2023, 128, e2023JD039045. [Google Scholar] [CrossRef]
- Zhang, W.; Chan, D.; Feng, J.; Yao, Y.; Djakouré, S.; Amouin, J.; Kouadio, K.Y.; Kacou, M. Mesoscale Convective Systems and Extreme Precipitation on the West African Coast Linked to Ocean–Atmosphere Conditions during the Monsoon Period in the Gulf of Guinea. Atmosphere 2024, 15, 194. [Google Scholar] [CrossRef]
- Bravo Villegas, J.D.; Portilla Yandun, J. Metodología Para Localizar La Zona de Convergencia Intertropical Usando Velocidad de Viento. Rev. Tecnológica-ESPOL 2023, 35, 61–75. [Google Scholar] [CrossRef]
- Campozano, L.; Célleri, R.; Trachte, K.; Bendix, J.; Samaniego, E. Rainfall and Cloud Dynamics in the Andes: A Southern Ecuador Case Study. Adv. Meteorol. 2016, 2016, 3192765. [Google Scholar] [CrossRef]
- Poveda, G.; Mesa, O.J. La Corriente De Chorro Superficial Del Oeste (Del Choco) Y Otras Dos Corrientes De Chorro En Colombia: Climatología Y Variabilidad Durante Las Fases Del Enso. Rev. Acad. Colomb. Cienc. Exactas Físicas Nat. 2024, 23, 17–528. [Google Scholar] [CrossRef]
- Yepes, J.; Poveda, G.; Mejía, J.F.; Moreno, L.; Rueda, C. Choco-Jex: A Research Experiment Focused on the Chocó Low-Level Jet over the Far Eastern Pacific and Western Colombia. Bull. Am. Meteorol. Soc. 2019, 100, 779–796. [Google Scholar] [CrossRef]
- Manciati, C.; Villacís, M.; Taupin, J.-D.; Cadier, E.; Galárraga-Sánchez, R.; Cáceres, B. Empirical Mass Balance Modelling of South American Tropical Glaciers: Case Study of Antisana Volcano, Ecuador. Hydrol. Sci. J. 2014, 59, 1519–1535. [Google Scholar] [CrossRef]
- Xie, S.-P. Tropical Atlantic Variability. In Coupled Atmosphere-Ocean Dynamics; Elsevier: Amsterdam, The Netherlands, 2024; pp. 251–276. [Google Scholar] [CrossRef]
- Rollenbeck, R.; Bendix, J. Rainfall Distribution in the Andes of Southern Ecuador Derived from Blending Weather Radar Data and Meteorological Field Observations. Atmos. Res. 2011, 99, 277–289. [Google Scholar] [CrossRef]
- Urdiales-Flores, D.; Célleri, R.; Mariéthoz, G.; Bendix, J.; Peleg, N. Heavy Rainfall Patterns and High Streamflow Dynamics in the Southern Ecuadorian Andes. J. Hydrometeorol. 2025, 26, 725–739. [Google Scholar] [CrossRef]
- Bendix, J.; Rollenbeck, R.; Reudenbach, C. Diurnal Patterns of Rainfall in a Tropical Andean Valley of Southern Ecuador as Seen by a Vertically Pointing K-Band Doppler Radar. Int. J. Climatol. 2006, 26, 829–846. [Google Scholar] [CrossRef]
- Silva, L.; Célleri, R.; Córdova, M. Diurnal to Seasonal Meteorological Cycles in an Equatorial Andean Gradient. Res. Sq. 2023. [Google Scholar] [CrossRef]
- Poveda, G. La Hidroclimatología De Colombia: Una Síntesis Desde La Escala Inter-Decadal Hasta La Escala Diurna. Rev. Acad. Colomb. Cienc. 2004, 28, 201–222. [Google Scholar] [CrossRef]
- Sun, X.; Barros, A.P. Impact of Amazonian Evapotranspiration on Moisture Transport and Convection along the Eastern Flanks of the Tropical Andes. Q. J. R. Meteorol. Soc. 2015, 141, 3325–3343. [Google Scholar] [CrossRef]
- Builes-Jaramillo, A.; Yepes, J.; Salas, H.D. The Orinoco Low-Level Jet and Its Association with the Hydroclimatology of Northern South America. J. Hydrometeorol. 2022, 23, 209–223. [Google Scholar] [CrossRef]
- Martinez, J.A.; Arias, P.A.; Junquas, C.; Espinoza, J.C.; Condom, T.; Dominguez, F.; Morales, J.S. The Orinoco Low-Level Jet and the Cross-Equatorial Moisture Transport Over Tropical South America: Lessons from Seasonal WRF Simulations. J. Geophys. Res. Atmos. 2022, 127, e2021JD035603. [Google Scholar] [CrossRef]
- Vargas, D.; Chimborazo, O.; László, E.; Temovski, M.; Palcsu, L. Rainwater Isotopic Composition in the Ecuadorian Andes and Amazon Reflects Cross-Equatorial Flow Seasonality. Water 2022, 14, 2121. [Google Scholar] [CrossRef]
- Muetzelfeldt, M.R.; Plant, R.S.; Christensen, H.M.; Zhang, Z.; Woollings, T.; Feng, Z.; Li, P. Environmental Conditions Affecting Global Mesoscale Convective System Occurrence. J. Atmos. Sci. 2025, 82, 391–407. [Google Scholar] [CrossRef]
- Yang, G.Y.; Slingo, J. The Diurnal Cycle in the Tropics. Mon. Weather Rev. 2001, 129, 784–801. [Google Scholar] [CrossRef]
- Pabón, J.D.; Palomino, P.; Murillo, C. Sobre El Régimen Diario de Las Variables Climatologicas En El Municipio de Quibdó. Meteorol. Colomb. 2005, 9, 59–66. [Google Scholar]
- Tai, S.L.; Feng, Z.; Marquis, J.; Fast, J. Characterizing Wet Season Precipitation in the Central Amazon Using a Mesoscale Convective System Tracking Algorithm. J. Geophys. Res. Atmos. 2024, 129, e2024JD041004. [Google Scholar] [CrossRef]
- Bendix, J.; Trachte, K.; Cermak, J.; Rollenbeck, R.; Naub, T. Formation of Convective Clouds at the Foothills of the Tropical Eastern Andes (South Ecuador). J. Appl. Meteorol. Climatol. 2009, 48, 1682–1695. [Google Scholar] [CrossRef]
- Marquis, J.N.; Feng, Z.; Lubis, S.W.; Zhang, Z.; Leung, L.R.; Hu, H. Relationships Between Mesoscale Convective System Properties and Midlevel Dynamic Perturbations. J. Geophys. Res. Atmos. 2025, 130, e2024JD042076. [Google Scholar] [CrossRef]
- Riemann-Campe, K.; Fraedrich, K.; Lunkeit, F. Global Climatology of Convective Available Potential Energy (CAPE) and Convective Inhibition (CIN) in ERA-40 Reanalysis. Atmos. Res. 2009, 93, 534–545. [Google Scholar] [CrossRef]
- McAnelly, R.L.; Cotton, W.R. The Precipitation Life Cycle of Mesoscale Convective Complexes over the Central United States. Mon. Weather Rev. 1989, 117, 784–808. [Google Scholar] [CrossRef]
- Chininín-Cabrera, J.; Célleri, R. Rainfall Characteristics and extreme events in the Tropical Andes using a vertically pointing rain radar. Granja 2025, 41, 72–85. [Google Scholar] [CrossRef]
- Ruiz-Hernández, J.C.; Condom, T.; Ribstein, P.; Le Moine, N.; Espinoza, J.C.; Junquas, C.; Villacís, M.; Vera, A.; Muñoz, T.; Maisincho, L.; et al. Spatial Variability of Diurnal to Seasonal Cycles of Precipitation from a High-Altitude Equatorial Andean Valley to the Amazon Basin. J. Hydrol. Reg. Stud. 2021, 38, 100924. [Google Scholar] [CrossRef]
- Serrano Vincenti, S.; Ruiz, J.C.; Bersosa, F. Heavy rainfall and temperature proyections in a climate change scenario over Quito, Ecuador. La Granja 2016, 25, 16. [Google Scholar] [CrossRef]
- Klein, C.; Nkrumah, F.; Taylor, C.M.; Adefisan, E.A. Seasonality and Trends of Drivers of Mesoscale Convective Systems in Southern West Africa. J. Clim. 2021, 34, 71–87. [Google Scholar] [CrossRef]
- Takahashi, K.; Martínez, A.G. The Very Strong Coastal El Niño in 1925 in the Far-Eastern Pacific. Clim. Dyn. 2019, 52, 7389–7415. [Google Scholar] [CrossRef]
- Buytaert, W.; Celleri, R.; Willems, P.; Bièvre, B.D.; Wyseure, G. Spatial and Temporal Rainfall Variability in Mountainous Areas: A Case Study from the South Ecuadorian Andes. J. Hydrol. 2006, 329, 413–421. [Google Scholar] [CrossRef]
- Coltorti, M.; Ollier, C.D. Geomorphic and Tectonic Evolution of the Ecuadorian Andes. Geomorphology 2000, 32, 1–19. [Google Scholar] [CrossRef]
- Jones, C.; Mu, Y.; Carvalho, L.M.V.; Ding, Q. The South America Low-Level Jet: Form, Variability and Large-Scale Forcings. Npj Clim. Atmos. Sci. 2023, 6, 175. [Google Scholar] [CrossRef]











| Region | Coast | Highlands | Amazon |
|---|---|---|---|
| North | 112 | 136 | 207 |
| South | 17 | 74 | 93 |
| Station | Region | Coast | Highlands | Amazon | |||
|---|---|---|---|---|---|---|---|
| Quantity of MCS | Percentage of Rainfall * | Quantity of MCS | Percentage of Rainfall * | Quantity of MCS | Percentage of Rainfall * | ||
| DJF | North | 22 | 21.21 | 35 | 22.51 | 50 | 39.35 |
| South | 5 | 15.23 | 22 | 20.91 | 28 | 36.46 | |
| MAM | North | 80 | 26.90 | 53 | 27.94 | 79 | 44.09 |
| South | 12 | 19.32 | 29 | 22.42 | 23 | 37.98 | |
| JJA | North | 6 | 20.94 | 5 | 19.89 | 20 | 24.59 |
| South | 0 | 24.58 | 7 | 18.75 | 12 | 20.77 | |
| SON | North | 4 | 18.32 | 43 | 27.71 | 58 | 44.13 |
| South | 0 | 18.25 | 16 | 26.64 | 30 | 39.71 | |
| Annual | North | 112 | 21.12 | 136 | 24.59 | 207 | 38.09 |
| South | 17 | 16.41 | 74 | 21.94 | 93 | 33.65 | |
| Region | Coast | Highlands | Amazon | |||
|---|---|---|---|---|---|---|
| β | β | β | ||||
| North | 0.024 | 0 | 0.065 | 0 | −0.086 | 0 |
| South | 0.025 | 0 | 0.044 | 0 | 0.091 | 0 |
| Station | Region | Coast | Highlands | Amazon | |||
|---|---|---|---|---|---|---|---|
| β | β | β | |||||
| DJF | North | 0.309 | 0.000 | 0.114 | 0.000 | −0.309 | −0.106 |
| South | 0.168 | 0.000 | 0.103 | 0.000 | 0.166 | 0.000 | |
| MAM | North | 0.078 | 0.000 | 0.047 | 0.000 | 0.012 | 0.000 |
| South | −0.092 | 0.000 | −0.006 | 0.000 | 0.254 | 0.000 | |
| JJA | North | −0.188 | 0.000 | −0.260 | 0.000 | −0.068 | 0.000 |
| South | NA | 0.000 | 0.218 | 0.000 | 0.102 | 0.000 | |
| SON | North | −0.054 | 0.000 | 0.463 | 0.143 | 0.017 | 0.000 |
| South | NA | 0.000 | 0.115 | 0.000 | 0.000 | 0.000 | |
| Study Period | Region | Index | Coast | Highlands | Amazon | |||||||||
|---|---|---|---|---|---|---|---|---|---|---|---|---|---|---|
| S | S lag | V1 | W1 | S | S lag | V1 | W1 | S | S lag | V1 | W1 | |||
| DJF | North | Niño 1+2 | 0.69 | 0.25 | −0.17 | 0.18 | 0.09 | 0.36 | 0.19 | 0.03 | −0.16 | −0.15 | −0.09 | −0.13 |
| TNA | −0.01 | 0.14 | −0.34 | 0.03 | 0.33 | −0.17 | −0.48 | −0.19 | −0.08 | −0.12 | 0.32 | 0.12 | ||
| South | Niño 3.4 | 0.30 | 0.12 | 0.43 | −0.27 | −0.13 | −0.09 | −0.43 | −0.05 | 0.08 | 0.29 | 0.17 | ||
| TNA | 0.23 | −0.38 | 0.24 | 0.00 | 0.26 | 0.49 | −0.29 | −0.16 | −0.13 | −0.06 | −0.29 | |||
| MAM | North | Niño 1+2 | 0.45 | 0.36 | 0.20 | 0.19 | 0.09 | −0.35 | 0.56 | 0.05 | 0.32 | 0.13 | 0.33 | −0.34 |
| Niño 3.4 | 0.05 | 0.13 | 0.50 | −0.10 | 0.06 | 0.00 | 0.39 | −0.34 | 0.02 | −0.12 | 0.32 | −0.41 | ||
| South | Niño 1+2 | 0.30 | 0.48 | −0.06 | 0.21 | 0.37 | 0.05 | 0.02 | 0.05 | 0.54 | 0.13 | 0.18 | −0.01 | |
| TNI | 0.34 | 0.13 | −0.38 | 0.44 | 0.61 | 0.25 | 0.01 | 0.38 | 0.49 | 0.15 | −0.23 | 0.12 | ||
| JJA | North | TNI | 0.43 | −0.04 | 0.52 | 0.18 | −0.51 | −0.04 | 0.17 | 0.17 | −0.18 | 0.02 | 0.40 | −0.33 |
| South | Niño 1+2 | −0.17 | −0.16 | 0.42 | −0.44 | 0.06 | −0.10 | 0.41 | −0.23 | 0.16 | ||||
| TNI | −0.22 | 0.02 | 0.25 | −0.58 | 0.13 | −0.02 | 0.23 | −0.42 | 0.03 | |||||
| TSA | 0.25 | 0.56 | 0.27 | −0.28 | 0.28 | −0.14 | 0.11 | −0.13 | −0.38 | |||||
| SON | North | Niño 1+2 | 0.61 | 0.28 | 0.07 | 0.26 | 0.47 | 0.19 | 0.20 | 0.49 | −0.18 | −0.22 | −0.09 | −0.36 |
| Niño 3.4 | 0.41 | 0.07 | 0.27 | 0.13 | 0.43 | 0.33 | 0.16 | 0.40 | −0.17 | −0.01 | −0.11 | −0.20 | ||
| AMM | −0.24 | 0.16 | −0.09 | 0.04 | −0.19 | −0.27 | −0.51 | −0.12 | 0.03 | −0.26 | −0.18 | 0.09 | ||
| ANNUAL | North | Niño 1+2 | 0.59 | 0.54 | 0.01 | 0.27 | 0.21 | 0.06 | 0.47 | 0.10 | −0.03 | 0.06 | 0.18 | −0.35 |
| TNI | 0.32 | 0.33 | −0.38 | 0.17 | 0.10 | −0.10 | 0.26 | 0.05 | 0.07 | 0.15 | 0.73 | −0.01 | ||
| South | TNI | 0.26 | 0.26 | −0.60 | 0.14 | 0.38 | 0.34 | 0.03 | 0.36 | 0.26 | 0.21 | −0.70 | 0.08 | |
| Study Period | Region | Variable | Coast | Highlands | Amazon | ||||||
|---|---|---|---|---|---|---|---|---|---|---|---|
| S | V1 | W1 | S | V1 | W1 | S | V1 | W1 | |||
| ANNUAL | North | u500 | −0.26 | 0.27 | 0.01 | −0.06 | 0.46 | −0.01 | −0.09 | 0.58 | −0.06 |
| w500 | −0.61 | 0.28 | 0.00 | −0.73 | −0.45 | −0.12 | −0.31 | 0.14 | −0.34 | ||
| q500 | 0.58 | −0.08 | 0.08 | 0.44 | −0.06 | −0.01 | 0.14 | −0.23 | −0.08 | ||
| ∆u | −0.17 | 0.40 | 0.00 | −0.12 | 0.46 | −0.01 | 0.01 | 0.74 | −0.02 | ||
| South | w800 | 0.34 | 0.58 | −0.11 | 0.08 | 0.36 | −0.05 | 0.63 | 0.43 | 0.10 | |
| u500 | −0.25 | 0.23 | 0.04 | −0.08 | 0.45 | 0.02 | −0.05 | 0.57 | −0.03 | ||
| w500 | −0.62 | 0.24 | −0.10 | −0.59 | −0.48 | −0.31 | −0.18 | 0.21 | −0.11 | ||
| q500 | 0.51 | −0.05 | 0.05 | 0.37 | −0.16 | 0.09 | 0.16 | −0.30 | −0.07 | ||
| ∆u | −0.31 | 0.25 | 0.09 | −0.16 | 0.31 | 0.02 | −0.06 | 0.64 | 0.01 | ||
Disclaimer/Publisher’s Note: The statements, opinions and data contained in all publications are solely those of the individual author(s) and contributor(s) and not of MDPI and/or the editor(s). MDPI and/or the editor(s) disclaim responsibility for any injury to people or property resulting from any ideas, methods, instructions or products referred to in the content. |
© 2025 by the authors. Licensee MDPI, Basel, Switzerland. This article is an open access article distributed under the terms and conditions of the Creative Commons Attribution (CC BY) license (https://creativecommons.org/licenses/by/4.0/).
Share and Cite
Robaina, L.; Campozano, L.; Villacís, M.; Rehbein, A. Mesoscale Convective Systems over Ecuador: Climatology, Trends and Teleconnections. Atmosphere 2025, 16, 1157. https://doi.org/10.3390/atmos16101157
Robaina L, Campozano L, Villacís M, Rehbein A. Mesoscale Convective Systems over Ecuador: Climatology, Trends and Teleconnections. Atmosphere. 2025; 16(10):1157. https://doi.org/10.3390/atmos16101157
Chicago/Turabian StyleRobaina, Leandro, Lenin Campozano, Marcos Villacís, and Amanda Rehbein. 2025. "Mesoscale Convective Systems over Ecuador: Climatology, Trends and Teleconnections" Atmosphere 16, no. 10: 1157. https://doi.org/10.3390/atmos16101157
APA StyleRobaina, L., Campozano, L., Villacís, M., & Rehbein, A. (2025). Mesoscale Convective Systems over Ecuador: Climatology, Trends and Teleconnections. Atmosphere, 16(10), 1157. https://doi.org/10.3390/atmos16101157

