The ap Prediction Tool Implemented by the A.Ne.Mo.S./NKUA Group
Abstract
1. Introduction
2. Method of Analysis
3. Automated Process of the ap Prediction Tool
- (A)
- During the first stage, the algorithm imports data about all CME events from the database of Computer-Aided CME Tracking—CACTUS (https://www.sidc.be/cactus/ accessed on 1 July 2024). Such data concern the following characteristics: onset time, principal angle, angular width, median velocity and arrival time. However, as most of these CME events will not arrive and affect the Earth, a filtering procedure must be applied to select only CME events that will affect the Earth’s geomagnetic field. This procedure is accomplished by importing such CMEs from the databases of the SOHO LASCO instrument (https://cdaw.gsfc.nasa.gov/CME_list/ accessed on 1 July 2024) and the CME Scoreboard, Community Coordinated Modeling Center of NASA (https://ccmc.gsfc.nasa.gov/ accessed on 1 July 2024). More precisely, the algorithm imports data from the corresponding fields of CME events, as shown in Figure 2. After filtering the CMEs that affect the Earth, the arrival time is calculated using the Effective Acceleration Model (EAM) [31].
- (B)
- During the second stage, the maximum ap value of each CME is estimated. In order to perform this procedure, the characteristics of each CME that was imported from CACTUS are used as input variables in the machine learning (ML) algorithm that is developed. More precisely, a non-linear regression algorithm is used, with the dependent variable being the maximum ap value and the independent variables being the principal angle, the angular width and the median velocity. In order to train the algorithm, a database of all past CME events that affected the Earth is created and is used as input parameters. According to the non-linear regression results, the maximum ap value of the next CME event is estimated.
4. Accuracy Validation
5. Results from the ap Prediction Tool
5.1. The Case of the Geomagnetic Storm on 2 September 2023
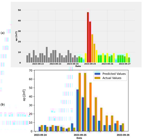
5.2. The Case of the Geomagnetic Storm on 24 September 2023
5.3. The Case of the Geomagnetic Storm on 5 November 2023
6. Discussion and Conclusions
- (1)
- A total of 3946 CMEs and their characteristics from the years 2021 to 2023 were selected for statistical analysis and the automation of the ap Prediction tool. The ap Prediction tool has to estimate which CME will arrive at the Earth and cause ap index fluctuations. This can be accomplished by importing data for all the CMEs occurring in real time from validated databases (i.e., CACTUS) and by importing data for CMEs that are expected to reach Earth (i.e., Scoreboard). Moreover, the time of arrival of the CME to the Earth is an independent process of the tool which is estimated using the EAM model of the NKUA [31,32].
- (2)
- As mentioned above, in the case of a CME event occurrence, the ap Prediction tool needs to be adjusted to incorporate the main characteristics of the CME to be able to extract more accurate results. This is a challenging procedure, because every CME has a different impact on ap index fluctuations, depending on its characteristics. In order to thoroughly explore this task, a dedicated algorithm was developed. Multivariate linear regression machine learning methods were employed to estimate the maximum ap value, using the angular width and median velocity of the CMEs as dependent variables.
- (3)
- Three selected geomagnetic storms which occurred in September and November, 2023 are presented. During these storms, which originated from CMEs, the actual values of the studied geomagnetic index presented the expected variability. The new ap Prediction tool (http://apprediction.phys.uoa.gr/ accessed on 1 July 2024) also showed a trend in space weather conditions. So, the tool can provide satisfactory results not only during the quiet periods but in the case of disturbed geomagnetic conditions, when CME events occur. In the future, this work will be extended with greater statistical analysis and improved results.
Author Contributions
Funding
Institutional Review Board Statement
Informed Consent Statement
Data Availability Statement
Acknowledgments
Conflicts of Interest
References
- Schwenn, R. Space weather: The solar perspective. Living Rev. Solar Phys. 2006, 3, 2. [Google Scholar] [CrossRef]
- Lilensten, J.; Belehaki, A. Developing the scientific basis for monitoring, modelling and predicting space weather. Acta Geophys. 2009, 57, 1–14. [Google Scholar] [CrossRef]
- Kane, R.P. The idea of space weather. Adv. Space Res. 2006, 37, 1261. [Google Scholar] [CrossRef]
- Cade, W.B., III; Chan-Park, C. The Origin of Space Weather. Space Weather 2005, 13, 99–103. [Google Scholar] [CrossRef]
- Parks, G.K. Physics of Space Plasmas; Addison-Wesley Publishing Company: Boston, MA, USA, 1991. [Google Scholar]
- Daglis, I.A. Space Storms and Space Weather Hazards; NATO ASI Series; Springer: Berlin/Heidelberg, Germany, 2001. [Google Scholar]
- Hanslmeier, A. The Sun and Space Weather; Astrophysics and Space Science Library; Springer: Berlin/Heidelberg, Germany, 2007; Volume 347. [Google Scholar]
- Ramesh, K.B. Solar cycle variation of the occurrence of geomagnetic storms, Solar drivers of interplanetary and terrestrial disturbances. ASP Conf. Ser. 1996, 95, 462–469. [Google Scholar]
- Zhang, J.; Richardson, I.G.; Webb, D.F.; Gopalswamy, N.; Huttunen, E.; Kasper, J.C.; Nitta, N.V.; Poomvises, W.; Thompson, B.J.; Wu, C.C.; et al. Correction to Solar and interplanetary sources of major geomagnetic storms (Dst <= -100 nT) during 1996–2005. J. Geophys. Res. 2007, 112, A12103. [Google Scholar] [CrossRef]
- Kallenrode, M.B. Space Physcs: An Introduction to Plasmas and Particles in the Heliosphere and Magnetospheres; Springer: Berlin/Heidelberg, Germany, 1998. [Google Scholar]
- Collado-Villaverde, A.; Muñoz, P.; Cid, C. Classifying and bounding geomagnetic storms based on the SYM-H and ASY-H indices. Nat. Hazards 2024, 120, 1141–1162. [Google Scholar] [CrossRef]
- McPherron, R. Predicting the Ap index from past behavior and solar wind velocity. Phys. Chem. Earth 1999, 24, 45–56. [Google Scholar] [CrossRef]
- Bartels, J.; Heck, N.H.; Johnston, H.F. The three-hour range index measuring geomagnetic activity. J. Geophys. Res. 1939, 44, 411–454. [Google Scholar] [CrossRef]
- Rostoker, G. Geomagnetic Indices. Rev. Geophys. Space Phys. 1972, 10, 935–950. [Google Scholar] [CrossRef]
- Thomsen, M.F. Why Kp is such a good measure of magnetospheric convection. Space Weather 2004, 2, S11004. [Google Scholar] [CrossRef]
- Menvielle, M.; Iyemori, T.; Marchaudon, A.; Nose, M. Geomagnetic indices. In Geomagnetic Observations and Models; Mandea, M., Korte, M., Eds.; IAGA Special Sopron Book Series 5; Springer: Dordrecht, The Netherlands, 2011; pp. 183–228. [Google Scholar] [CrossRef]
- Stassinakis, A.; Livada, M.; Gerontidou, M.; Tezari, A.; Mavromichalaki, H.; Paouris, E.; Makrantoni, P. Forecast of the Geomagnetic Index ap during CME Events; European Space Weather Week: Coimbra, Portugal, 2023. [Google Scholar]
- Wang, J.; Luo, B.; Liu, S.; Shi, L. A machine learning-based model for the next 3-day geomagnetic index (Kp) forecast. Front. Astron. Space Sci. 2023, 10, 1082737. [Google Scholar] [CrossRef]
- Horne, R.B.; Phillips, M.W.; Glauert, S.A.; Meredith, N.P.; Hands, A.D.P.; Ryden, K.A.; Li, W. Realistic Worst Case for a Severe Space Weather Event Driven by a Fast Solar Wind Stream. Space Weather 2018, 16, 1202–1215. [Google Scholar] [CrossRef] [PubMed]
- Mourenas, D.; Artemyev, A.V.; Zhang, X.J. Impact of Significant Time-Integrated Geomagnetic Activity on 2-MeV Electron Flux. J. Geophys. Res. Space Phys. 2019, 124, 4445–4461. [Google Scholar] [CrossRef]
- Hua, M.; Bortnik, J.; Chu, X.; Aryan, H.; Ma, Q. Unraveling the Critical Geomagnetic Conditions Controlling the Upper Limit of Electron Fluxes in the Earth’s Outer Radiation Belt. Geophys. Res. Lett. 2022, 49, e2022GL101096. [Google Scholar] [CrossRef]
- Lockwood, M.; Chambodut, A.; Finch, I.D.; Barnard, L.A.; Owens, M.J.; Haines, C. Time-of-day/time-of-year response functions of planetary geomagnetic indices. Space Weather Space Clim. 2019, 9, A20. [Google Scholar] [CrossRef]
- Hochreiter, S.; Schmidhuber, J. Long Short-Term Memory. Neural Comput. 1997, 9, 1735–1780. [Google Scholar] [CrossRef]
- Yu, Y.; Si, X.; Hu, C.; Zhang, J. A review of recurrent neural networks: LSTM cells and network architectures. Neural Comput. 2019, 31, 1235–1270. [Google Scholar] [CrossRef]
- Bailey, R.L.; Leonhardt, R.; Moestl, C.; Beggan, C.; Reiss, M.A.; Bhaskar, A.; Weiss, A.J. Forecasting GICs and Geoelectric Fields from Solar Wind Data Using LSTMs: Application in Austria. Space Weather 2022, 20, e2021SW002907. [Google Scholar] [CrossRef]
- Camporeale, E. The Challenge of Machine Learning in Space Weather: Nowcasting and Forecasting. Space Weather 2019, 17, 1166–1207. [Google Scholar] [CrossRef]
- Devos, A.; Verbeeck, C.; Robbrecht, E. Verification of space weather forecas0ng at the regional warning center in Belgium. Space Weather. Space Clim. 2014, 4, A29. [Google Scholar] [CrossRef]
- Jolliffe, I.T.; Stephenson, D.B. Forecast Verification. A Practioners Guide in Atmospheric Science, 2nd ed; Wiley-Blackwell: Hoboken, NJ, USA, 2012. [Google Scholar]
- Hu, A.; Camporeale, E.; Swiger, B. Multi-hour-ahead Dst index prediction using multifidelity boosted neural networks. Space Weather 2023, 21, e2022SW003286. [Google Scholar] [CrossRef]
- Liemohn, M.W.; McCollough, J.P.; Jordanova, V.K.; Ngwira, C.M.; Morley, S.K.; Cid, C.; Tobiska, W.K.; Wintoft, P.; Ganushkina, N.Y.; Welling, D.T.; et al. Model evaluation guidelines for geomagnetic index predictions. Space Weather 2018, 16, 2079–2102. [Google Scholar] [CrossRef]
- Paouris, E.; Mavromichalaki, H. Effective Acceleration Model for the arrival time of interplanetary shocks driven by coronal mass ejections. Sol. Phys. 2017, 292, 180. [Google Scholar] [CrossRef]
- Paouris, E.; Mavromichalaki, H. Interplanetary coronal mass ejections resulting from Earth-Directed CMEs Using SOHO and ACE Combined Data during Solar Cycle 23. Sol. Phys 2017, 292, 30. [Google Scholar] [CrossRef]









| RUN1 | RUN2 | RUN3 | RUN4 | RUN5 | RUN6 | RUN7 | RUN8 | RUN9 | RUN10 |
| 4.527 | 4.627 | 5.234 | 3.920 | 5.612 | 4.327 | 5.698 | 6.234 | 5.431 | 4.312 |
| RUN11 | RUN12 | RUN13 | RUN14 | RUN15 | RUN16 | RUN17 | RUN18 | RUN19 | RUN20 |
| 4.180 | 3.943 | 5.618 | 6.237 | 5.5451 | 5.893 | 3.457 | 6.448 | 5.741 | 4.973 |
| RUN1 | RUN2 | RUN3 | RUN4 | RUN5 | |
|---|---|---|---|---|---|
| RMSE | 5.237 | 4.983 | 6.112 | 7.328 | 5.913 |
| r | 0.78 | 0.79 | 0.83 | 0.59 | 0.71 |
| Index of agreement | 0.92 | 0.97 | 0.99 | 0.9 | 0.92 |
Disclaimer/Publisher’s Note: The statements, opinions and data contained in all publications are solely those of the individual author(s) and contributor(s) and not of MDPI and/or the editor(s). MDPI and/or the editor(s) disclaim responsibility for any injury to people or property resulting from any ideas, methods, instructions or products referred to in the content. |
© 2024 by the authors. Licensee MDPI, Basel, Switzerland. This article is an open access article distributed under the terms and conditions of the Creative Commons Attribution (CC BY) license (https://creativecommons.org/licenses/by/4.0/).
Share and Cite
Mavromichalaki, H.; Livada, M.; Stassinakis, A.; Gerontidou, M.; Papailiou, M.-C.; Drube, L.; Karmi, A. The ap Prediction Tool Implemented by the A.Ne.Mo.S./NKUA Group. Atmosphere 2024, 15, 1073. https://doi.org/10.3390/atmos15091073
Mavromichalaki H, Livada M, Stassinakis A, Gerontidou M, Papailiou M-C, Drube L, Karmi A. The ap Prediction Tool Implemented by the A.Ne.Mo.S./NKUA Group. Atmosphere. 2024; 15(9):1073. https://doi.org/10.3390/atmos15091073
Chicago/Turabian StyleMavromichalaki, Helen, Maria Livada, Argyris Stassinakis, Maria Gerontidou, Maria-Christina Papailiou, Line Drube, and Aikaterini Karmi. 2024. "The ap Prediction Tool Implemented by the A.Ne.Mo.S./NKUA Group" Atmosphere 15, no. 9: 1073. https://doi.org/10.3390/atmos15091073
APA StyleMavromichalaki, H., Livada, M., Stassinakis, A., Gerontidou, M., Papailiou, M.-C., Drube, L., & Karmi, A. (2024). The ap Prediction Tool Implemented by the A.Ne.Mo.S./NKUA Group. Atmosphere, 15(9), 1073. https://doi.org/10.3390/atmos15091073

