Impact of Air Emission Reduction Measures during the Asian Games on Air Quality and Health Risks in Hangzhou and Surrounding Cities
Abstract
1. Introduction
2. Date and Research Methods
2.1. Date Collection
2.2. Research Methodology
2.2.1. Air Quality Monitoring
2.2.2. Health Impact Assessment
3. Results and Discussion
3.1. Air Pollutants
3.1.1. Analysis of Pollutant Change Characteristics
3.1.2. Daily Variation Characteristics of Pollutants
3.1.3. Spatial Distribution Characteristics of Pollutants
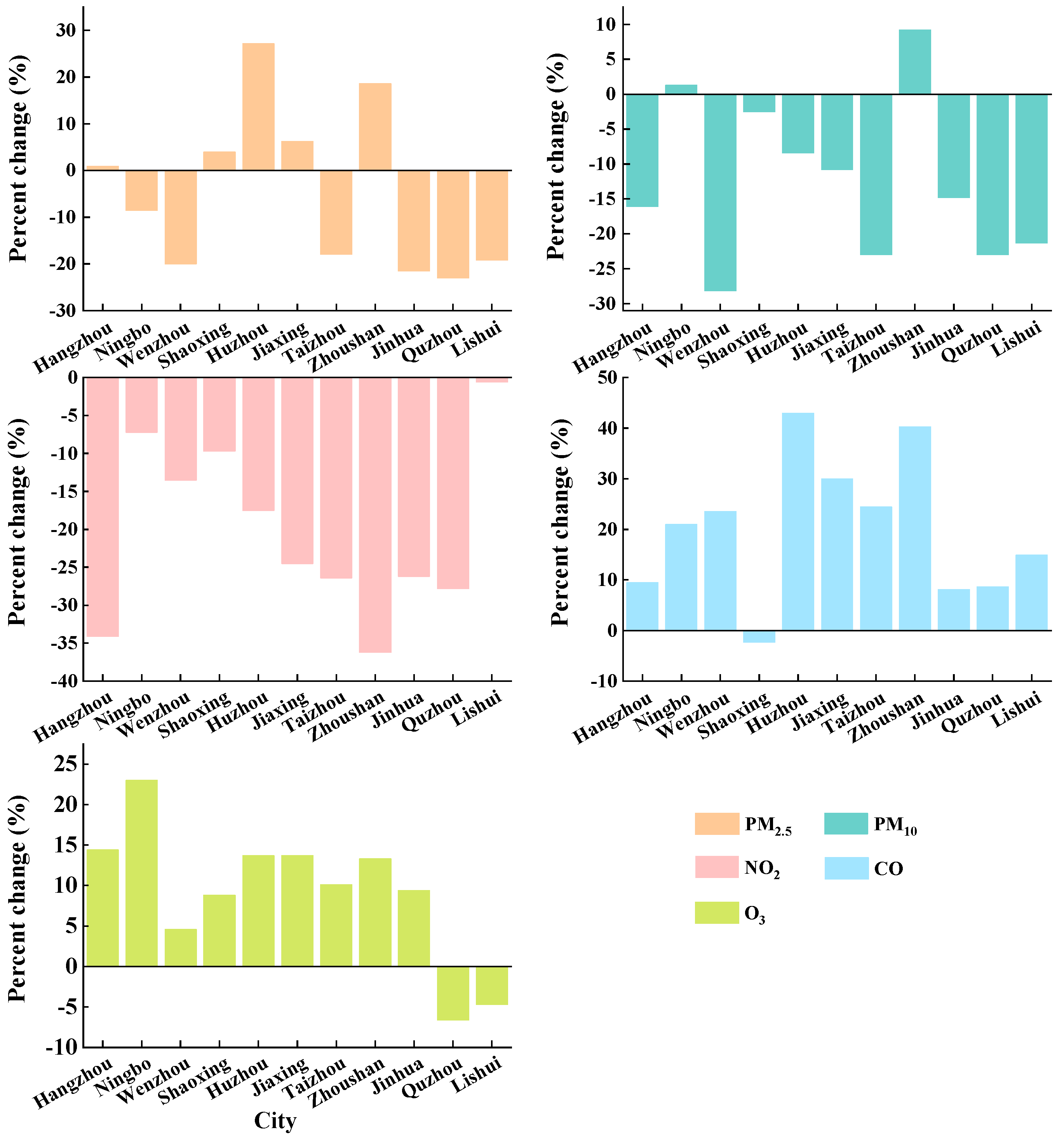
3.1.4. Changes in Pollutant Concentrations in Different Cities in Zhejiang Province
3.2. Health Risk Assessment
3.2.1. Analysis of Health Effects of PM2.5 and O3 in Different Regions
3.2.2. Uncertainty Analysis
4. Conclusions
- (1)
- During the 2023 Asian Games in Hangzhou, the concentrations of PM10 and NO2 in Hangzhou and the surrounding cities decreased by 16.1% and 34.1%, respectively, compared with the same period in 2022. Although the concentrations of PM2.5, CO, and O3 increased, the overall magnitude was small, and the number of deaths due to short-term exposure to PM2.5 decreased, indicating the effectiveness of air quality management measures.
- (2)
- From a spatial point of view, during the Asian Games period, compared with the same period in 2022, the PM2.5 concentration in Quzhou City decreased most significantly, by 23.0%, and the concentration in Huzhou City increased the most, by 27.1%. For PM10 concentration, Wenzhou city had the highest decrease of 28.2%, and Zhoushan city had the largest increase of 9.2%. NO2 concentration decreased in the whole of Zhejiang Province, and the largest decrease was in Zhoushan City, reaching 36.2%. Shaoxing was the only city where the concentration of CO pollutants decreased, with a reduction of 2.3%, while Huzhou City had the largest increase, with an increase of 42.9%. In terms of O3, the largest decrease was in Quzhou with 6.6%, while the largest increase was in Ningbo with 23%.
- (3)
- The results of the health impact assessment showed that the number of deaths from all-cause and cardiovascular disease due to short-term exposure to PM2.5 during the Asian Games was 1780 and 795, respectively, both of which decreased by 8.2% compared with the same period in 2022. The number of deaths from all-cause and cardiovascular due to exposure to O3 was 7332 and 3177, respectively, both representing an increase of 2.8% compared with the same period in 2022.
- (4)
- This study on the data and results of the air quality and health risks in Hangzhou and surrounding cities during the Asian Games’ emission reduction measures has various practical applications. These include guiding policy formulation, establishing warning systems, and optimizing urban planning and construction projects. This not only contributes to improving environmental quality and public health but also provides valuable experience and references for other cities facing similar challenges.
Author Contributions
Funding
Institutional Review Board Statement
Informed Consent Statement
Data Availability Statement
Conflicts of Interest
References
- Schiavo, B.; Meza-Figueroa, D.; Vizuete-Jaramillo, E.; Robles-Morua, A.; Angulo-Molina, A.; Reyes-Castro, P.A.; Lnguaggiato, C.; Gonzalez-Grijalva, B.; Pedroza-Montero, M. Oxidative potential of metal-polluted urban dust as a potential environmental stressor for chronic diseases. Environ. Geochem. Health 2023, 45, 3229–3250. [Google Scholar] [CrossRef] [PubMed]
- Kelly, F.J.; Fussell, J.C. Air pollution and public health: Emerging hazards and improved understanding of risk. Environ. Geochem. Health 2015, 37, 631–649. [Google Scholar] [CrossRef] [PubMed]
- Tang, J.Y.; McNabola, A.; Misstear, B. The potential impacts of different traffic management strategies on air pollution and public health for a more sustainable city: A modelling case study from Dublin, Ireland. Sustain. Cities Soc. 2020, 60, 102229. [Google Scholar] [CrossRef]
- Du, Y.; You, S.; Liu, W.; Basang, T.; Zhang, M. Spatiotemporal evolution characteristics and prediction analysis of urban air quality in China. Sci. Rep. 2023, 13, 8907. [Google Scholar] [CrossRef] [PubMed]
- Gui, K.; Che, H.Z.; Wang, Y.Q.; Wang, H.; Zhang, L.; Zhao, H.J.; Zheng, Y.; Sun, T.Z.; Zhang, X.Y. Satellite-derived PM2.5 concentration trends over Eastern China from 1998 to 2016: Relationships to emissions and meteorological parameters. Environ. Pollut. 2019, 247, 1125–1133. [Google Scholar] [CrossRef] [PubMed]
- Ma, X.Y.; Jia, H.L.; Sha, T.; An, J.L.; Tian, R. Spatial and seasonal characteristics of particulate matter and gaseous pollution in China: Implications for control policy. Environ. Pollut. 2019, 248, 421–428. [Google Scholar] [CrossRef]
- Gao, M.; Liu, Z.; Zheng, B.; Ji, D.S.; Sherman, P.; Song, S.J.; Xin, J.Y.; Liu, C.; Wang, Y.S.; Zhang, Q.; et al. China’s emission control strategies have suppressed unfavorable influences of climate on wintertime PM2.5 concentrations in Beijing since 2002. Atmos. Chem. Phys. 2020, 20, 1497–1505. [Google Scholar] [CrossRef]
- Tao, M.H.; Wang, L.L.; Chen, L.F.; Wang, Z.F.; Tao, J.H. Reversal of aerosol properties in Eastern China with rapid decline of anthropogenic emissions. Remote Sens. 2020, 12, 523. [Google Scholar] [CrossRef]
- Maji, K.J.; Namdeo, A. Continuous increases of surface ozone and associated premature mortality growth in China during 2015–2019. Environ. Pollut. 2021, 269, 116183. [Google Scholar] [CrossRef]
- Qian, H.Q.; Xu, S.D.; Cao, J.; Ren, F.Z.; Wei, W.D.; Meng, J.; Wu, L.B. Air pollution reduction and climate co-benefits in China’s industries. Nat. Sustain. 2021, 4, 417–425. [Google Scholar] [CrossRef]
- Zhang, X.R.; Xiao, X.; Wang, F.; Brasseur, G.; Chen, S.Y.; Wang, J.; Gao, M. Observed sensitivities of PM2.5 and O3 extremes to meteorological conditions in China and implications for the future. Environ. Int. 2022, 168, 107428. [Google Scholar] [CrossRef] [PubMed]
- Zhang, Y.; Xu, J.M.; Wang, Y.; Su, B.S.; Wu, Y.X.; Hu, T.T.; Liu, R. Characteristics, meteorological impacts and potential sources of persistent ozone pollution events in Beijing-Tianjin-Hebei Region during 2015–2020. China Environ. Sci. 2023, 43, 2714–2721. [Google Scholar]
- He, J.J.; Gong, S.L.; Yu, Y.; Yu, L.J.; Wu, L.; Mao, H.J.; Song, C.B.; Zhao, S.P.; Liu, H.L.; Li, X.Y.; et al. Air pollution characteristics and their relation to meteorological conditions during 2014–2015 in major Chinese cities. Environ. Pollut. 2017, 223, 484–496. [Google Scholar] [CrossRef] [PubMed]
- Wang, M.; Zheng, Y.F.; Liu, Y.J.; Li, Q.P.; Ding, Y.H. Characteristics of ozone and its relationship with meteorological factors in Beijing-Tianjin-Hebei Region. China Environ. Sci. 2019, 39, 2689–2698. [Google Scholar]
- Schiavo, B.; Morton-Bermea, O.; Arredondo-Palacios, T.E.; Meza-Figueroa, D.; Robles-Morua, A.; Robles-Morua, R.; Valera-Fernández, D.; Inguaggiato, C.; Gonzalez-Grijalva, B. Analysis of COVID-19 Lockdown Effects on Urban Air Quality: A Case Study of Monterrey, Mexico. Sustainability 2022, 15, 642. [Google Scholar] [CrossRef]
- Qu, Y.W.; Wang, T.J.; Yuan, C.; Wu, H.; Gao, L.B.; Huang, C.W.; Li, Y.S.; Li, M.M.; Xie, M. The underlying mechanisms of PM2.5 and O3 synergistic pollution in East China: Photochemical and heterogeneous interactions. Sci. Total Environ. 2023, 873, 162434. [Google Scholar] [CrossRef] [PubMed]
- Shen, F.Z.; Zhang, L.; Jiang, L.; Tang, M.Q.; Gai, X.Y.; Chen, M.D.; Ge, X.L. Temporal variations of six ambient criteria air pollutants from 2015 to 2018, their spatial distributions, health risks and relationships with socioeconomic factors during 2018 in China. Environ. Int. 2020, 137, 105556. [Google Scholar] [CrossRef]
- Han, S.J.; Wang, J.; Yan, Q.S.; Yang, L.M.; Zhao, Q.Y.; Wang, S.B.; Li, C.; Zhang, Y.S.; Zhang, R.Q. Health benefit evaluation for PM10 and PM2.5 pollution control in Zhengzhou, China, 2014–2016. Environ. Sci. 2019, 40, 2565–2571. [Google Scholar]
- Li, L.; Lei, Y.L.; Wu, S.M.; Chen, J.B.; Yan, D. The health economic loss of fine particulate matter PM2.5 in Beijing. J. Clean. Prod. 2017, 161, 1153–1161. [Google Scholar] [CrossRef]
- Xin, J.Y.; Wang, Y.S.; Tang, G.Q.; Wang, L.L.; Sun, Y.; Wang, Y.H.; Hu, B.; Song, T.; Ji, D.H.; Wang, W.F. Variability and reduction of atmospheric pollutants in Beijing and its surrounding area during the Beijing 2008 Olympic Games. Chin. Sci. Bull. 2010, 55, 1512–1521. [Google Scholar] [CrossRef]
- Zhao, H.; Zheng, Y.F.; Wu, X.Y.; Wu, J.M. Variation and analysis of air pollutants concentration in Nanjing during the Youth Olympic Games. Environ. Chem. 2015, 34, 824–831. [Google Scholar]
- Xie, F.J.; Li, W.Q.; Mou, Y.Y.; Xie, Y.S. Impact of Pollution Reduction on Air Quality During Nanjing Youth Olympic Games. Environ. Sci. Manag. 2016, 41, 94–98. [Google Scholar]
- Huang, W.; Xie, Y.S.; Li, Z.Q.; Zhang, Y.; Li, D.H.; Li, K.T.; Li, L.; Xu, H. Remotes Sensing Estimation of Aerosol Conmosition during APEC Forum in Beijing 2014. J. Atmos. Environ. Opt. 2015, 10, 278–285. [Google Scholar]
- Liu, Q.C.; Huang, J.; Guo, B.; Guo, X.B. Investigation of emission control measures’impacts on air pollutants in Beijing during the 2014 Asia-Pacific Economic Cooperation. Cap. Public Health 2017, 11, 220–224. [Google Scholar]
- Zhao, H.; Zheng, Y.F.; Wei, L.; Guan, Q.; Wang, Z.S. Evolution and evaluation of air quality in Hangzhou and its surrounding areas during the G20 Summit. China Environ. Sci. 2017, 37, 2016–2024. [Google Scholar]
- Seo, J.H.; Jeon, H.W.; Sung, U.J.; Sohn, J.R. Impact of the COVID-19 outbreak on air quality in Korea. Atmosphere 2020, 11, 1137. [Google Scholar] [CrossRef]
- Xu, K.J.; Cui, K.P.; Young, L.H.; Hsieh, Y.K.; Wang, Y.F.; Zhang, J.J.; Wan, S. Impact of the COVID-19 event on air quality in central China. Aerosol Air Qual. Res. 2020, 20, 915–929. [Google Scholar] [CrossRef]
- Berman, J.D.; Ebisu, K. Changes in US air pollution during the COVID-19 pandemic. Sci. Total Environ. 2020, 739, 139864. [Google Scholar] [CrossRef]
- WHO. Air Quality Guidelines for Particulate Matter, Ozone, Nitrogen Dioxide and Sulfur Dioxide; WHO: Geneva, Switzerland, 2006. [Google Scholar]
- Hu, X.; Yu, K.A.; Zhang, G.C.; Lin, C.S.; Jiang, F.Y.; Xu, L. Analysis of the impact of meteorological factors and air pollution on respiratory mortality in Ningbo region. Zhejiang Meteorol. 2019, 40, 22–27,42. [Google Scholar]
- Zhu, Y.J.; Liu, Y.F.; Liu, X.; Wang, H.K. Carbon mitigation and health effects of fleet electrification in China’s Yangtze River Delta. Environ. Int. 2023, 180, 108203. [Google Scholar] [CrossRef]
- Maji, K.J.; Ye, W.F.; Arora, M.; Nagendra, S.S. PM2.5-related health and economic loss assessment for 338 Chinese cities. Environ. Int. 2018, 121, 392–403. [Google Scholar] [CrossRef] [PubMed]
- Hu, J.L.; Huang, L.; Chen, M.D.; Liao, H.; Zhang, H.L.; Wang, S.X.; Zhang, Q.; Ying, Q. Premature mortality attributable to particulate matter in China: Source contributions and responses to reductions. Environ. Sci. Technol. 2017, 51, 9950–9959. [Google Scholar] [CrossRef] [PubMed]
- GBD 2013 Mortality and Causes of Death Collaborators. Global, regional, and national age-sex specific all-cause and cause-specific mortality for 240 causes of death, 1990–2013: A systematic analysis for the Global Burden of Disease Study 2013. Lancet 2015, 385, 117–171. [Google Scholar] [CrossRef] [PubMed]
- Koçak, M.; Mihalopoulos, N.; Kubilay, N. Contributions of natural sources to high PM10 and PM2.5 events in the eastern Mediterranean. Atmos. Environ. 2007, 41, 3806–3818. [Google Scholar] [CrossRef]
- Tsutsumi, Y.; Mori, K.; Ikegami, M.; Tashiro, T.; Tsuboi, K. Long-term trends of greenhouse gases in regional and background events observed during 1998–2004 at Yonagunijima located to the east of the Asian continent. Atmos. Environ. 2006, 40, 5868–5879. [Google Scholar] [CrossRef]
- Louie, P.K.K.; Watson, J.G.; Chow, J.C.; Chen, A.; Sin, D.W.M.; Lau, A.K.H. Seasonal characteristics and regional transport of PM2.5 in Hong Kong. Atmos. Environ. 2005, 39, 1695–1710. [Google Scholar]
- Ling, H.; Wang, Y.H.; Hu, B.; Zhu, R.H.; Wang, Y.S. Observation and research on carbon monoxide in the atmosphere of beijing during the summer time of 2007. Environ. Chem. 2009, 28, 567–570. [Google Scholar]
- Ma, Z.Q.; Wang, Y.S.; Sun, Y.; Ji, D.S.; Hu, B. Characteristics of ozone and oxides of nitrogen in Beijing and Xianghe County. Environ. Chem. 2007, 26, 832–837. [Google Scholar]
- Li, B.X.; Yang, J.; Dong, H.; Li, M.M.; Cai, D.J.; Yang, Z.; Zhang, C.L.; Wang, H.; Hu, J.L.; Bergmann, S.; et al. PM2.5 constituents and mortality from a spectrum of causes in Guangzhou, China. Ecotoxicol. Environ. Saf. 2021, 222, 112498. [Google Scholar] [CrossRef]
- Zhang, Y.; Wang, S.G.; Fan, X.G.; Ye, X.F. Temperature modulation of the health effects of particulate matter in Beijing, China. Environ. Sci. Pollut. Res. 2018, 25, 10857–10866. [Google Scholar] [CrossRef]
- Zhao, H.; Chen, K.Y.; Liu, Z.; Zhang, Y.X.; Shao, T.; Zhang, H.L. Coordinated control of PM2.5 and O3 is urgently needed in China after implementation of the “Air pollution prevention and control action plan”. Chemosphere 2021, 270, 129441. [Google Scholar] [CrossRef] [PubMed]
- Voter, K.Z.; Whitin, J.C.; Torres, A.; Morrow, P.E.; Cox, C.; Tasi, T.; Utell, M.J.; Frampton, M.W. Ozone exposure and the production of reactive oxygen species by bronchoalveolar cells in humans. Inhal. Toxicol. 2001, 13, 465–483. [Google Scholar] [CrossRef] [PubMed]
- Wang, D.S.; Dong, X.H.; Wang, J.X.; Shi, Y.H.; Zhang, H.Q.; Zhou, S.J.; Zhang, Y.J. Individual and interactive effects of atmospheric PM2.5 and O3 on mortality of circulatory system diseases in Ningxia. Environ. Occup. Med. 2024, 41, 25–33. [Google Scholar]
- Huo, R.; Ye, R.R.; Zhang, F.; Di, Z.L. Meta-analysis of the correlation between short-term exposure to six common air pollutants and the incidence of ischemic stroke. Environ. Occup. Med. 2023, 40, 184–189+195. [Google Scholar]








| Stations | Longitude | Latitude |
|---|---|---|
| Binjiang | 120.2072 | 30.2111 |
| Xixi | 120.0633 | 30.2747 |
| Qiandao Lake (control point) | 119.026 | 29.635 |
| Xiasha | 120.3461 | 30.3153 |
| Wolongqiao | 120.1269 | 30.2456 |
| Zhejiang Agricultural University | 120.1903 | 30.2692 |
| Zhaohui (five districts) | 120.157 | 30.2897 |
| Harmony Primary School | 120.1197 | 30.3119 |
| Linping Town | 120.3019 | 30.4183 |
| Chengxiang Town | 120.2697 | 30.1819 |
| Yunqi | 120.0883 | 30.1808 |
| Fuyang No. 2 High School | 119.9464 | 30.0494 |
| Municipal Office Building | 119.7183 | 30.2367 |
| Fire Brigade | 120.1556 | 30.2864 |
| Pollutant | Range | 2022 | 2023 |
|---|---|---|---|
| PM2.5 | All-cause (Min–Max) | 1939 (1582–2296) | 1780 (1452–2108) |
| Cardiovascular disease (Min–Max) | 866 (650–1063) | 795 (596–976) | |
| O3 | All-cause (Min–Max) | 7134 (3864–10,404) | 7332 (3972–10,693) |
| Cardiovascular disease (Min–Max) | 3091 (1145–5037) | 3177 (1177–5177) |
Disclaimer/Publisher’s Note: The statements, opinions and data contained in all publications are solely those of the individual author(s) and contributor(s) and not of MDPI and/or the editor(s). MDPI and/or the editor(s) disclaim responsibility for any injury to people or property resulting from any ideas, methods, instructions or products referred to in the content. |
© 2024 by the authors. Licensee MDPI, Basel, Switzerland. This article is an open access article distributed under the terms and conditions of the Creative Commons Attribution (CC BY) license (https://creativecommons.org/licenses/by/4.0/).
Share and Cite
Huang, J.; Wang, J.; Hu, Y.; Zhao, H. Impact of Air Emission Reduction Measures during the Asian Games on Air Quality and Health Risks in Hangzhou and Surrounding Cities. Atmosphere 2024, 15, 780. https://doi.org/10.3390/atmos15070780
Huang J, Wang J, Hu Y, Zhao H. Impact of Air Emission Reduction Measures during the Asian Games on Air Quality and Health Risks in Hangzhou and Surrounding Cities. Atmosphere. 2024; 15(7):780. https://doi.org/10.3390/atmos15070780
Chicago/Turabian StyleHuang, Jing, Jiayan Wang, Yunan Hu, and Hui Zhao. 2024. "Impact of Air Emission Reduction Measures during the Asian Games on Air Quality and Health Risks in Hangzhou and Surrounding Cities" Atmosphere 15, no. 7: 780. https://doi.org/10.3390/atmos15070780
APA StyleHuang, J., Wang, J., Hu, Y., & Zhao, H. (2024). Impact of Air Emission Reduction Measures during the Asian Games on Air Quality and Health Risks in Hangzhou and Surrounding Cities. Atmosphere, 15(7), 780. https://doi.org/10.3390/atmos15070780

