Elucidating the Effects of COVID-19 Lockdowns in the UK on the O3-NOx-VOC Relationship
Abstract
1. Introduction
2. Materials and Methods
3. Results and Discussion
3.1. Timeline of the COVID-19 Restrictions in the UK
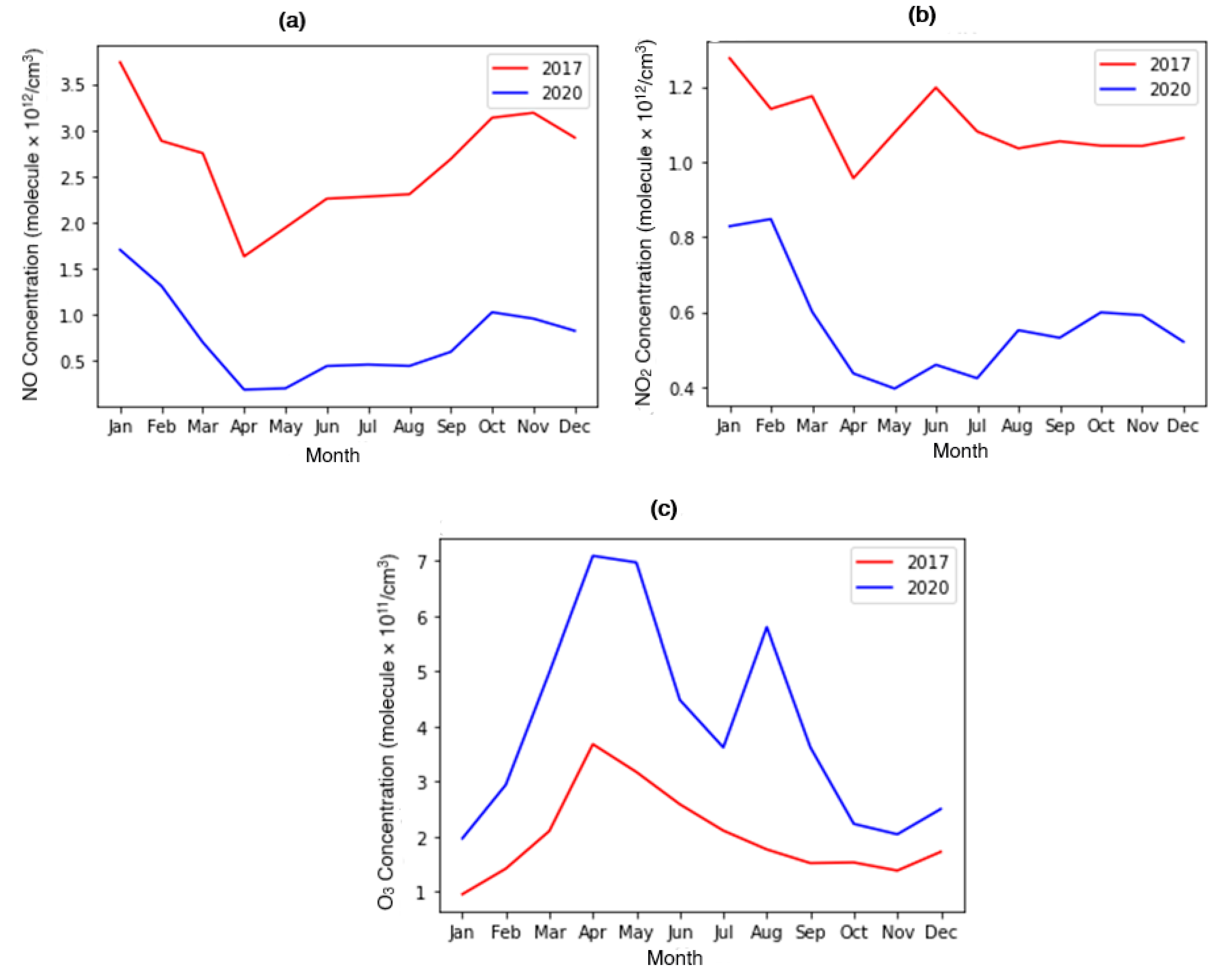
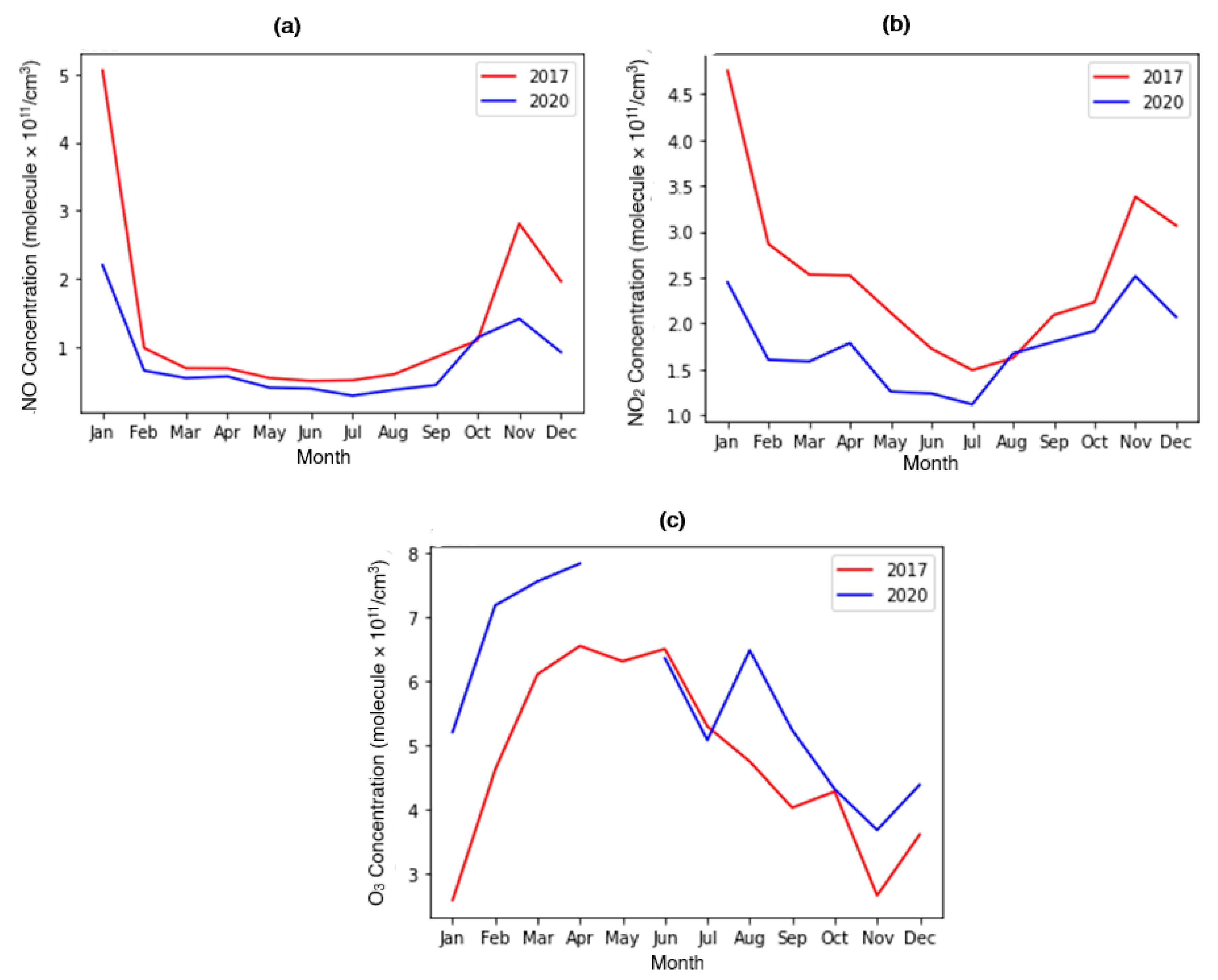
3.2. Pollutant Variations across the Site Types for 2019–2021
3.3. Comparison of Pre-Lockdown and Lockdown Monthly Pollutant Concentrations
3.4. O3-NOx-VOC Sensitivity
3.5. Oxidant (OX) Partitioning
4. Conclusions
Author Contributions
Funding
Institutional Review Board Statement
Informed Consent Statement
Data Availability Statement
Acknowledgments
Conflicts of Interest
Appendix A
| Environment Type | Environment Type Description | No of Individual Sites |
|---|---|---|
| Urban background | Continuously built-up urban area where the pollution level is not influenced significantly by any single source | 38 |
| Urban traffic | Continuously built-up urban area where the pollution level is influenced by the emissions from nearby traffic | 3 |
| Urban industrial | Continuously built-up urban area where the pollution level is influenced predominantly by emissions from industrial sources | 3 |
| Suburban background | Largely built-up urban area where the pollution level is not influenced significantly by any single source | 3 |
| Suburban industrial | Largely built-up urban area where the pollution level is influenced predominantly by emissions from industrial sources | 1 |
| Rural background | Rural area with natural ecosystems, forest or crops where the area is not influenced by any single source. | 12 |
| Pollutants | Chilbolton Observatory (CO) | London Eltham (LE) | London Marylebone Road (LMR) |
|---|---|---|---|
| Propane | 82.6 | 84.0 | 79.5 |
| Iso-butane | 82.8 | 84.0 | 79.7 |
| n-Butane | 82.8 | 84.0 | 79.7 |
| Iso-pentane | 79.1 | 83.4 | 78.4 |
| n-Pentane | 82.7 | 84.0 | 79.8 |
| Ethene | 85.9 | 87.5 | 85.9 |
| Propene | 85.1 | 88.7 | 85.0 |
| 1-Butene | 82.8 | 84.0 | 79.8 |
| 1-Pentene | 73.7 | 90.4 | 70.5 |
| Isoprene | 77.7 | 79.6 | 67.5 |
| Benzene | 51.7 | 82.2 | 74.5 |
| Toluene | 82.0 | 83.8 | 74.5 |
| Ethylbenzene | 80.6 | 79.6 | 73.2 |
| m + p-Xylene | 78.5 | 82.0 | 73.6 |
| o-Xylene | 80.5 | 83.2 | 75.2 |
| 1,2,4-Trimethylbenzene | 71.6 | 83.3 | 68.2 |
Appendix B
Appendix C

References
- Rathod, A.; Sahu, S.; Singh, S.; Beig, G. Anomalous behaviour of ozone under COVID-19 and explicit diagnosis of O3-NOx-VOCs mechanism. Heliyon 2021, 7, e06142. [Google Scholar] [CrossRef]
- World Health Organisation. WHO Coronavirus (COVID-19) Dashboard. Available online: https://covid19.who.int (accessed on 18 February 2023).
- Sherrington, A. 2 Years of COVID-19. Available online: https://gds.blog.gov.uk/2022/07/25/2-years-of-covid-19-on-gov-uk/ (accessed on 18 February 2023).
- Wyche, K.P.; Nichols, M.; Parfitt, H.; Beckett, P.; Gregg, D.J.; Smallbone, K.L.; Monks, P.S. Changes in ambient air quality and atmospheric composition and reactivity in the South East of the UK as a result of the COVID-19 lockdown. Sci. Total Environ. 2020, 755, 142526. [Google Scholar] [CrossRef]
- Zhang, C.Y.; Stevenson, D. Characteristic changes of ozone and its precursors in London during COVID-19 lockdown and the ozone surge reason analysis. Atmos. Environ. 2022, 273, 118980. [Google Scholar] [CrossRef]
- Kroll, J.H.; Heald, C.L.; Cappa, C.D.; Farmer, D.K.; Fry, J.L.; Murphy, J.G.; Steiner, A.L. The complex chemical effects of COVID-19 shutdowns on air quality. Nat. Chem. 2020, 12, 777–779. [Google Scholar] [CrossRef]
- Jephcote, C.; Hansell, A.L.; Adams, K.; Gulliver, J. Changes in air quality during COVID-19 ‘lockdown’ in the United Kingdom. Environ. Pollut. 2020, 272, 116011. [Google Scholar] [CrossRef]
- Le Quéré, C.; Jackson, R.B.; Jones, M.W.; Smith, A.J.P.; Abernethy, S.; Andrew, R.M.; De-Gol, A.J.; Willis, D.R.; Shan, Y.L.; Canadell, O.S.; et al. Temporary reduction in daily global CO emissions during the COVID-19 forced confinement. Nat. Clim. Chang. 2020, 10, 647–653. [Google Scholar] [CrossRef]
- Department for Environment Food and Rural Affairs. Air Quality Statistics in the UK 1987 to 2021. Available online: https://www.gov.uk/government/statistics/air-quality-statistics (accessed on 11 February 2023).
- Liu, C.; Shi, K. A review on methodology in O3-NOx-VOC sensitivity study. Environ. Pollut. 2021, 291, 118249. [Google Scholar] [CrossRef]
- Liu, Z.Z.; Doherty, R.M.; Wild, O.; O’Connor, F.M.; Turnock, S.T. Correcting ozone biases in a global chemistry-climate model: Implications for future ozone. Atmos. Chem. Phys. 2022, 22, 12543–12557. [Google Scholar] [CrossRef]
- Lu, X.; Zhang, L.; Shen, L. Air Pollution Affects Climate. In Air Pollution, Climate, and Health: An Integrated Perspective on Their Interactions; Gao, M., Wang, Z., Carmichael, G., Eds.; Elsevier: Amsterdam, The Netherlands, 2021; pp. 15–46. [Google Scholar]
- Sillman, S. Tropospheric Ozone and Photochemical Smog. Treatise Geochem. 2003, 9, 612. [Google Scholar] [CrossRef]
- Jenkin, M.E.; Clemitshaw, K.C. Ozone and other secondary photochemical pollutants: Chemical processes governing their formation in the planetary boundary layer. Atmos. Environ. 2000, 34, 2499–2527. [Google Scholar] [CrossRef]
- Gligorovski, S.; Strekowski, R.; Barbati, S.; Vione, D. Environmental Implications of Hydroxyl Radicals (•OH). Chem. Rev. 2015, 115, 13051–13092. [Google Scholar] [CrossRef]
- Brune, W.H.; Baier, B.C.; Thomas, J.; Ren, X.; Cohen, R.C.; Pusede, S.E.; Browne, E.C.; Goldstein, A.H.; Gentner, D.R.; Keutsch, F.N.; et al. Ozone production chemistry in the presence of urban plumes. Faraday Discuss. 2016, 189, 169–189. [Google Scholar] [CrossRef] [PubMed]
- United Kingdom National Air Pollution Control Programme. Available online: https://assets.publishing.service.gov.uk/media/63e508428fa8f50509bdd926/Revised_National_Air_Pollution_Control_Programme__NAPCP_.pdf (accessed on 31 January 2024).
- Akimoto, H.; Tanimoto, H. Rethinking of the adverse effects of NO-control on the reduction of methane and tropospheric ozone —Challenges toward a denitrified society. Atmos. Environ. 2022, 277, 119033. [Google Scholar] [CrossRef]
- Council, N.R. Rethinking the Ozone Problem in Urban and Regional Air Pollution; National Academies Press: Washington, DC, USA, 1992. [Google Scholar]
- Ebi, K.L.; McGregor, G. Climate Change, Tropospheric Ozone and Particulate Matter, and Health Impacts. Environ. Health Perspect. 2008, 116, 1449–1455. [Google Scholar] [CrossRef]
- Parker, J.D.; Akinbami, L.J.; Woodruff, T.J. Air Pollution and Childhood Respiratory Allergies in the United States. Environ. Health Perspect. 2009, 117, 140–147. [Google Scholar] [CrossRef]
- Jerrett, M.; Burnett, R.T.; Pope, C.A.; Ito, K.; Thurston, G.; Krewski, D.; Shi, Y.L.; Calle, E.; Thun, M. Long-Term Ozone Exposure and Mortality. N. Engl. J. Med. 2009, 360, 1085–1095. [Google Scholar] [CrossRef]
- American Lung Association. Ozone. Available online: https://www.lung.org/clean-air/outdoors/what-makes-air-unhealthy/ozone (accessed on 16 February 2023).
- Di, Q.; Dai, L.Z.; Wang, Y.; Zanobetti, A.; Choirat, C.; Schwartz, J.D.; Dominici, F. Association of Short-term Exposure to Air Pollution With Mortality in Older Adults. JAMA 2017, 318, 2446–2456. [Google Scholar] [CrossRef] [PubMed]
- Holland, R.; Khan, A.H.; Derwent, R.G.; Lynch, J.; Ahmed, F.; Grace, S.; Bacak, A.; Shallcross, D.E. Gas-phase kinetics, POCPs, and an investigation of the contributions of VOCs to urban ozone production in the UK. Int. J. Chem. Kinet. 2023, 55, 350–364. [Google Scholar] [CrossRef]
- Miyazaki, K.; Bowman, K.; Sekiya, T.; Jiang, Z.; Chen, X.; Eskes, H.; Ru, M.; Zhang, Y.; Shindell, D. Air Quality Response in China Linked to the 2019 Novel Coronavirus (COVID-19) Lockdown. Geophys. Res. Lett. 2020, 47, e2020GL089252. [Google Scholar] [CrossRef]
- Cooper, M.J.; Martin, R.V.; Hammer, M.S.; Levelt, P.F.; Veefkind, P.; Lamsal, L.N.; Krotkov, N.A.; Brook, J.R.; McLinden, C.A. Global fine-scale changes in ambient NO2 during COVID-19 lockdowns. Nature 2022, 601, 380–387. [Google Scholar] [CrossRef]
- Sharma, S.; Zhang, M.; Gao, J.; Zhang, H.; Kota, S.H. Effect of restricted emissions during COVID-19 on air quality in India. Sci. Total Environ. 2020, 728, 138878. [Google Scholar] [CrossRef] [PubMed]
- Baldasano, J.M. COVID-19 lockdown effects on air quality by NO2 in the cities of Barcelona and Madrid (Spain). Sci. Total Environ. 2020, 741, 140353. [Google Scholar] [CrossRef] [PubMed]
- Sicard, P.; De Marco, A.; Agathokleous, E.; Feng, Z.Z.; Xu, X.B.; Paoletti, E.; Rodriguez, J.J.D.; Calatayud, V. Ampli fied ozone pollution in cities during the COVID-19 lockdown. Sci. Total Environ. 2020, 735, 139542. [Google Scholar] [CrossRef] [PubMed]
- Munir, S.; Luo, Z.W.; Dixon, T. Comparing different approaches for assessing the impact of COVID-19 lockdown on urban air quality in Reading, UK. Atmos. Res. 2021, 261, 105730. [Google Scholar] [CrossRef] [PubMed]
- Wijnands, J.S.; Nice, K.A.; Seneviratne, S.; Thompson, J.; Stevenson, M. The impact of the COVID-19 pandemic on air pollution: A global assessment using machine learning techniques. Atmos. Pollut. Res. 2022, 13, 101438. [Google Scholar] [CrossRef] [PubMed]
- Higham, J.; Ramírez, C.A.; Green, M.; Morse, A. UK COVID-19 lockdown: 100 days of air pollution reduction? Air Qual. Atmos. Health 2021, 14, 325–332. [Google Scholar] [CrossRef] [PubMed]
- Department for Environment Food and Rural Affairs. Automatic Urban and Rural Monitoring Network (AURN). Available online: https://uk-air.defra.gov.uk/networks/network-info?view=aurn (accessed on 8 March 2023).
- Department for Environment Food and Rural Affairs. Site Environment Types. Available online: https://uk-air.defra.gov.uk/networks/site-types (accessed on 24 April 2024).
- Department for Environment Food and Rural Affairs. Automatic Hydrocarbon Network. Available online: https://uk-air.defra.gov.uk/networks/network-info?view=hc (accessed on 8 March 2023).
- Zou, Y.; Deng, X.J.; Zhu, D.; Gong, D.C.; Wang, H.; Li, F.; Tan, H.B.; Deng, T.; Mai, B.R.; Liu, X.T.; et al. Characteristics of 1 year of observational data of VOCs, NOX and O3 at a suburban site in Guangzhou, China. Atmos. Chem. Phys. 2015, 15, 6625–6636. [Google Scholar] [CrossRef]
- Acosta-Ramírez, C.; Higham, J.E. Impact of SARS-CoV-2 variants on mobility and air pollution in the United Kingdom. Sci. Total Environ. 2022, 851, 158279. [Google Scholar] [CrossRef] [PubMed]
- Lee, J.D.; Drysdale, W.S.; Finch, D.P.; Wilde, S.E.; Palmer, P.I. UK surface NO2 levels dropped by 42% during the COVID-19 lockdown: Impact on surface O3. Atmos. Chem. Phys. 2020, 20, 15743–15759. [Google Scholar] [CrossRef]
- Kalbarczyk, R.; Kalbarczyk, E. Meteorological conditions of the winter-time distribution of nitrogen oxides in Poznan: A proposal for a catalog of the pollutants variation. Urban Clim. 2020, 33, 100649. [Google Scholar] [CrossRef]
- Roberts-Semple, D.; Song, F.; Gao, Y. Seasonal characteristics of ambient nitrogen oxides and ground-level ozone in metropolitan northeastern New Jersey. Atmos. Pollut. Res. 2012, 3, 247–257. [Google Scholar] [CrossRef]
- US Environmental Protection Agency. Nitrogen Oxides (NOx), Why and How They Are Controlled. Available online: https://www3.epa.gov/ttncatc1/dir1/fnoxdoc.pdf (accessed on 15 March 2023).
- Met Office UK. A Look Back at the Weather and Climate in 2020. Available online: https://www.metoffice.gov.uk/about-us/press-office/news/weather-and-climate/2020/2020-round-up (accessed on 16 March 2023).
- Agriculture and Horticulture Development Board. 2020: A BBQ Summer Link No Other. Available online: https://ahdb.org.uk/news/consumer-insight-2020-a-bbq-summer-like-no-other (accessed on 17 March 2023).
- Transport for London. London Low Emission Zone Impacts Monitoring Baseline Report, July 2008; Transport for London: London, UK, 2008.
- Khan, M.A.H.; Schlich, B.-L.; Jenkin, M.E.; Shallcross, B.M.; Moseley, K.; Walker, C.; Morris, W.C.; Derwent, R.G.; Percival, C.J.; Shallcross, D.E. A two-decade anthropogenic and biogenic isoprene emissions study in a London urban background and a London urban traffic site. Atmosphere 2018, 9, 387. [Google Scholar] [CrossRef]
- European Environment Agency. Air Quality e-Reporting (AQ e-Reporting). Available online: https://www.eea.europa.eu/en/datahub/datahubitem-view/3b390c9c-f321-490a-b25a-ae93b2ed80c1 (accessed on 4 April 2024).
- Xue, Y.G.; Ho, S.S.H.; Huang, Y.; Li, B.W.; Wang, L.Q.; Dai, W.T.; Cao, J.J.; Lee, S.C. Source apportionment of VOCs and their impacts on surface ozone in an industry city of Baoji, Northwestern China. Sci. Rep. 2017, 7, 9979. [Google Scholar] [CrossRef] [PubMed]
- Times for Sunrise and Sunset in the United Kingdom. Available online: https://www.worlddata.info/europe/united-kingdom/sunset.php (accessed on 30 January 2024).














| VOCs | Major Source(s) | Pollutants |
|---|---|---|
| Alkanes | Fuel evaporation | Propane |
| Iso-butane | ||
| n-Butane | ||
| Iso-pentane | ||
| n-Pentane | ||
| Alkenes | Industry combustion | Ethene |
| Biogenic sources | Propene | |
| 1-Butene | ||
| 1-Pentene | ||
| Isoprene | ||
| Aromatics | Industry combustion | Benzene |
| Solvents | Toluene | |
| Gasoline/diesel | Ethylbenzene | |
| exhaust fumes | m + p-Xylene | |
| o-Xylene | ||
| 1,2,4-Trimethylbenzene |
Disclaimer/Publisher’s Note: The statements, opinions and data contained in all publications are solely those of the individual author(s) and contributor(s) and not of MDPI and/or the editor(s). MDPI and/or the editor(s) disclaim responsibility for any injury to people or property resulting from any ideas, methods, instructions or products referred to in the content. |
© 2024 by the authors. Licensee MDPI, Basel, Switzerland. This article is an open access article distributed under the terms and conditions of the Creative Commons Attribution (CC BY) license (https://creativecommons.org/licenses/by/4.0/).
Share and Cite
Holland, R.; Seifert, K.; Saboya, E.; Khan, M.A.H.; Derwent, R.G.; Shallcross, D.E. Elucidating the Effects of COVID-19 Lockdowns in the UK on the O3-NOx-VOC Relationship. Atmosphere 2024, 15, 607. https://doi.org/10.3390/atmos15050607
Holland R, Seifert K, Saboya E, Khan MAH, Derwent RG, Shallcross DE. Elucidating the Effects of COVID-19 Lockdowns in the UK on the O3-NOx-VOC Relationship. Atmosphere. 2024; 15(5):607. https://doi.org/10.3390/atmos15050607
Chicago/Turabian StyleHolland, Rayne, Katya Seifert, Eric Saboya, M. Anwar H. Khan, Richard G. Derwent, and Dudley E. Shallcross. 2024. "Elucidating the Effects of COVID-19 Lockdowns in the UK on the O3-NOx-VOC Relationship" Atmosphere 15, no. 5: 607. https://doi.org/10.3390/atmos15050607
APA StyleHolland, R., Seifert, K., Saboya, E., Khan, M. A. H., Derwent, R. G., & Shallcross, D. E. (2024). Elucidating the Effects of COVID-19 Lockdowns in the UK on the O3-NOx-VOC Relationship. Atmosphere, 15(5), 607. https://doi.org/10.3390/atmos15050607

