The Spatiotemporal Evolution of the Growing Degree Days Agroclimatic Index for Viticulture over the Northern Mediterranean Basin
Abstract
1. Introduction
2. Materials and Methods
3. Results and Discussion
3.1. Europe
3.2. Balkans
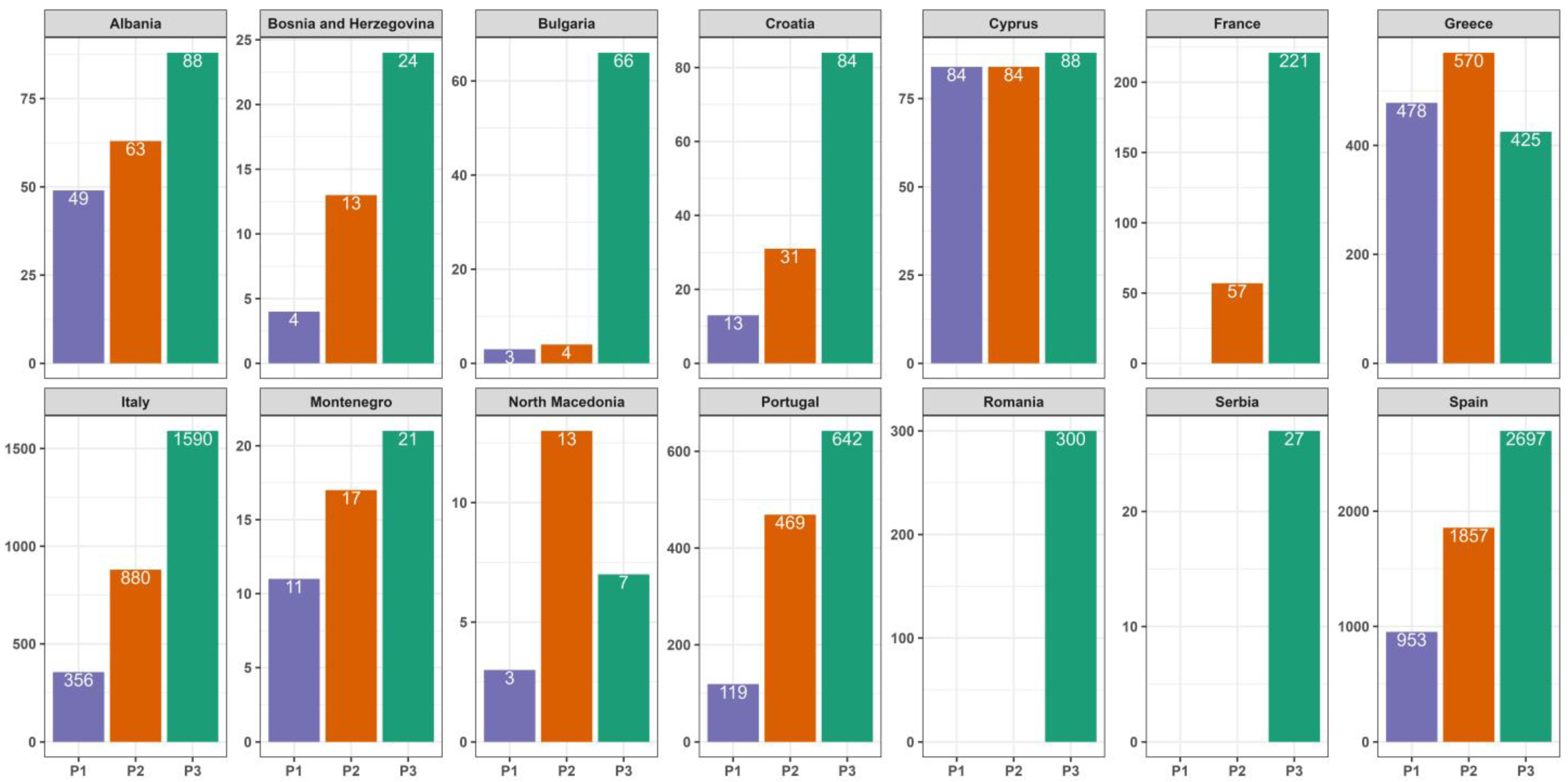
3.3. Individual Countries
3.4. France (FR)
3.5. Italy (IT)
3.6. Spain (ES)
3.7. Portugal (PT)
3.8. Romania (RO)
3.9. Serbia (RS)
3.10. Bosnia and Herzegovina (BA)
3.11. Bulgaria (BG)
3.12. Montenegro (ME)
3.13. Croatia
3.14. Slovenia
3.15. Albania
3.16. Greece
3.17. Cyprus
4. Conclusions
Author Contributions
Funding
Institutional Review Board Statement
Informed Consent Statement
Data Availability Statement
Conflicts of Interest
References
- Driesen, E.; Van den Ende, W.; De Proft, M.; Saeys, W. Influence of Environmental Factors Light, CO2, Temperature, and Relative Humidity on Stomatal Opening and Development: A Review. Agronomy 2020, 10, 1975. [Google Scholar] [CrossRef]
- Hwang, H.; An, S.; Pham, M.D.; Cui, M.; Chun, C. The Combined Conditions of Photoperiod, Light Intensity, and Air Temperature Control the Growth and Development of Tomato and Red Pepper Seedlings in a Closed Transplant Production System. Sustainability 2020, 12, 9939. [Google Scholar] [CrossRef]
- Verma, S.; Kumar, N.; Verma, A.; Singh, H.; Siddique, K.H.M.; Singh, N.P. Novel Approaches to Mitigate Heat Stress Impacts on Crop Growth and Development. Plant Physiol. Rep. 2020, 25, 627–644. [Google Scholar] [CrossRef]
- Hatfield, J.L.; Prueger, J.H. Temperature Extremes: Effect on Plant Growth and Development. Weather Clim. Extrem. 2015, 10, 4–10. [Google Scholar] [CrossRef]
- Sánchez, B.; Rasmussen, A.; Porter, J.R. Temperatures and the Growth and Development of Maize and Rice: A Review. Glob. Change Biol. 2014, 20, 408–417. [Google Scholar] [CrossRef] [PubMed]
- Jägermeyr, J.; Müller, C.; Ruane, A.C.; Elliott, J.; Balkovic, J.; Castillo, O.; Faye, B.; Foster, I.; Folberth, C.; Franke, J.A.; et al. Climate Impacts on Global Agriculture Emerge Earlier in New Generation of Climate and Crop Models. Nat. Food 2021, 2, 873–885. [Google Scholar] [CrossRef]
- Ghil, M.; Lucarini, V. The Physics of Climate Variability and Climate Change. Rev. Mod. Phys. 2020, 92, 035002. [Google Scholar] [CrossRef]
- Ongoma, V.; Chen, H. Temporal and Spatial Variability of Temperature and Precipitation over East Africa from 1951 to 2010. Meteorol. Atmospheric Phys. 2017, 129, 131–144. [Google Scholar] [CrossRef]
- Bindi, M.; Fibbi, L.; Gozzini, B.; Orlandini, S.; Miglietta, F. Modelling the Impact of Future Climate Scenarios on Yield and Yield Variability of Grapevine. Clim. Res. 1996, 7, 213–224. [Google Scholar] [CrossRef]
- Droulia, F.; Charalampopoulos, I. A Review on the Observed Climate Change in Europe and Its Impacts on Viticulture. Atmosphere 2022, 13, 837. [Google Scholar] [CrossRef]
- Del Río, S.; Álvarez-Esteban, R.; Alonso-Redondo, R.; Hidalgo, C.; Penas, Á. A New Integrated Methodology for Characterizing and Assessing Suitable Areas for Viticulture: A Case Study in Northwest Spain. Eur. J. Agron. 2021, 131, 126391. [Google Scholar] [CrossRef]
- Xiao, F.; Yang, Z.Q.; Lee, K.W. Photosynthetic and Physiological Responses to High Temperature in Grapevine (Vitis Vinifera L.) Leaves during the Seedling Stage. J. Hortic. Sci. Biotechnol. 2017, 92, 2–10. [Google Scholar] [CrossRef]
- Pagay, V.; Collins, C. Effects of Timing and Intensity of Elevated Temperatures on Reproductive Development of Field-Grown Shiraz Grapevines. OENO One 2017, 51, 409–421. [Google Scholar] [CrossRef]
- Cameron, W.; Petrie, P.R.; Barlow, E.W.R. The Effect of Temperature on Grapevine Phenological Intervals: Sensitivity of Budburst to Flowering. Agric. For. Meteorol. 2022, 315, 108841. [Google Scholar] [CrossRef]
- De Rességuier, L.; Mary, S.; Le Roux, R.; Petitjean, T.; Quénol, H.; van Leeuwen, C. Temperature Variability at Local Scale in the Bordeaux Area. Relations with Environmental Factors and Impact on Vine Phenology. Front. Plant Sci. 2020, 11, 515. [Google Scholar] [CrossRef]
- Jones, G.V.; Davis, R.E. Climate Influences on Grapevine Phenology, Grape Composition, and Wine Production and Quality for Bordeaux, France. Am. J. Enol. Vitic. 2000, 51, 249–261. [Google Scholar] [CrossRef]
- Poni, S.; Gatti, M.; Palliotti, A.; Dai, Z.; Duchêne, E.; Truong, T.-T.; Ferrara, G.; Matarrese, A.M.S.; Gallotta, A.; Bellincontro, A.; et al. Grapevine Quality: A Multiple Choice Issue. Sci. Hortic. 2018, 234, 445–462. [Google Scholar] [CrossRef]
- Droulia, F.; Charalampopoulos, I. Future Climate Change Impacts on European Viticulture: A Review on Recent Scientific Advances. Atmosphere 2021, 12, 495. [Google Scholar] [CrossRef]
- Fraga, H.; Malheiro, A.C.; Moutinho-Pereira, J.; Jones, G.V.; Alves, F.; Pinto, J.G.; Santos, J.A. Very High Resolution Bioclimatic Zoning of Portuguese Wine Regions: Present and Future Scenarios. Reg. Environ. Change 2014, 14, 295–306. [Google Scholar] [CrossRef]
- Fraga, H.; Malheiro, A.C.; Moutinho-Pereira, J.; Cardoso, R.M.; Soares, P.M.M.; Cancela, J.J.; Santos, J.A. Integrated Analysis of Climate, Soil, Topography and Vegetative Growth in Iberian Viticultural Regions. PLoS ONE 2014, 9, 108078. [Google Scholar] [CrossRef]
- Venios, X.; Korkas, E.; Nisiotou, A.; Banilas, G. Grapevine Responses to Heat Stress and Global Warming. Plants 2020, 9, 1754. [Google Scholar] [CrossRef] [PubMed]
- Charalampopoulos, I.; Droulia, F.; Kokkoris, I.P.; Dimopoulos, P. Future Bioclimatic Change of Agricultural and Natural Areas in Central Europe: An Ultra-High Resolution Analysis of the De Martonne Index. Water 2023, 15, 2563. [Google Scholar] [CrossRef]
- Charalampopoulos, I.; Droulia, F.; Evans, J. The Bioclimatic Change of the Agricultural and Natural Areas of the Adriatic Coastal Countries. Sustainability 2023, 15, 4867. [Google Scholar] [CrossRef]
- Charalampopoulos, I.; Droulia, F. Frost Conditions Due to Climate Change in South-Eastern Europe via a High-Spatiotemporal-Resolution Dataset. Atmosphere 2022, 13, 1407. [Google Scholar] [CrossRef]
- Charalampopoulos, I.; Droulia, F. The Agro-Meteorological Caused Famines as an Evolutionary Factor in the Formation of Civilisation and History: Representative Cases in Europe. Climate 2021, 9, 5. [Google Scholar] [CrossRef]
- Fraga, H.; Malheiro, A.C.; Moutinho-Pereira, J.; Santos, J.A. An Overview of Climate Change Impacts on European Viticulture. Food Energy Secur. 2012, 1, 94–110. [Google Scholar] [CrossRef]
- Jones, G.V.; White, M.A.; Cooper, O.R.; Storchmann, K. Climate Change and Global Wine Quality. Clim. Change 2005, 73, 319–343. [Google Scholar] [CrossRef]
- Sgubin, G.; Swingedouw, D.; Mignot, J.; Gambetta, G.A.; Bois, B.; Loukos, H.; Noël, T.; Pieri, P.; García de Cortázar-Atauri, I.; Ollat, N.; et al. Non-Linear Loss of Suitable Wine Regions over Europe in Response to Increasing Global Warming. Glob. Change Biol. 2023, 29, 808–826. [Google Scholar] [CrossRef] [PubMed]
- Zittis, G.; Almazroui, M.; Alpert, P.; Ciais, P.; Cramer, W.; Dahdal, Y.; Fnais, M.; Francis, D.; Hadjinicolaou, P.; Howari, F.; et al. Climate Change and Weather Extremes in the Eastern Mediterranean and Middle East. Rev. Geophys. 2022, 60, e2021RG000762. [Google Scholar] [CrossRef]
- Fraga, H.; Molitor, D.; Leolini, L.; Santos, J.A. What Is the Impact of Heatwaves on European Viticulture? A Modelling Assessment. Appl. Sci. 2020, 10, 3030. [Google Scholar] [CrossRef]
- Vautard, R.; van Oldenborgh, G.J.; Bonnet, R.; Li, S.; Robin, Y.; Kew, S.; Philip, S.; Soubeyroux, J.-M.; Dubuisson, B.; Viovy, N.; et al. Human Influence on Growing-Period Frosts like in Early April 2021 in Central France. Nat. Hazards Earth Syst. Sci. 2023, 23, 1045–1058. [Google Scholar] [CrossRef]
- Fonseca, A.; Fraga, H.; Santos, J.A. Exposure of Portuguese Viticulture to Weather Extremes under Climate Change. Clim. Serv. 2023, 30, 100357. [Google Scholar] [CrossRef]
- Bandhauer, M.; Isotta, F.; Lakatos, M.; Lussana, C.; Båserud, L.; Izsák, B.; Szentes, O.; Tveito, O.E.; Frei, C. Evaluation of Daily Precipitation Analyses in E-OBS (V19.0e) and ERA5 by Comparison to Regional High-Resolution Datasets in European Regions. Int. J. Climatol. 2022, 42, 727–747. [Google Scholar] [CrossRef]
- Charalampopoulos, I.; Polychroni, I.; Psomiadis, E.; Nastos, P. Spatiotemporal Estimation of the Olive and Vine Cultivations’ Growing Degree Days in the Balkans Region. Atmosphere 2021, 12, 148. [Google Scholar] [CrossRef]
- Mavromatis, T.; Voulanas, D. Evaluating ERA-Interim, Agri4Cast and E-OBS Gridded Products in Reproducing Spatiotemporal Characteristics of Precipitation and Drought over a Data Poor Region: The Case of Greece. Int. J. Climatol. 2021, 41, 2118–2136. [Google Scholar] [CrossRef]
- Photiadou, C.; Fontes, N.; Graça, A.R.; Schrier, G. van der ECA&D and E-OBS: High-Resolution Datasets for Monitoring Climate Change and Effects on Viticulture in Europe. BIO Web Conf. 2017, 9, 01002. [Google Scholar] [CrossRef]
- Saadi, S.; Todorovic, M.; Tanasijevic, L.; Pereira, L.S.; Pizzigalli, C.; Lionello, P. Climate Change and Mediterranean Agriculture: Impacts on Winter Wheat and Tomato Crop Evapotranspiration, Irrigation Requirements and Yield. Agric. Water Manag. 2015, 147, 103–115. [Google Scholar] [CrossRef]
- Faraslis, I.; Dalezios, N.R.; Alpanakis, N.; Tziatzios, G.A.; Spiliotopoulos, M.; Sakellariou, S.; Sidiropoulos, P.; Dercas, N.; Domínguez, A.; Martínez-López, J.A.; et al. Remotely Sensed Agroclimatic Classification and Zoning in Water-Limited Mediterranean Areas towards Sustainable Agriculture. Remote Sens. 2023, 15, 5720. [Google Scholar] [CrossRef]
- García de Cortázar-Atauri, I.; Duchêne, E.; Destrac-Irvine, A.; Barbeau, G.; De Rességuier, L.; Lacombe, T.; Parker, A.; Saurin, N.; van Leeuwen, C. Grapevine Phenology in France: From Past Observations to Future Evolutions in the Context of Climate Change. OENO One 2017, 51, 115–126. [Google Scholar] [CrossRef]
- Ferretti, C.G. A New Geographical Classification for Vineyards Tested in the South Tyrol Wine Region, Northern Italy, on Pinot Noir and Sauvignon Blanc Wines. Ecol. Indic. 2020, 108, 105737. [Google Scholar] [CrossRef]
- Charalampopoulos, I. Agrometeorological Conditions and Agroclimatic Trends for the Maize and Wheat Crops in the Balkan Region. Atmosphere 2021, 12, 671. [Google Scholar] [CrossRef]
- Mavromatis, T.; Georgoulias, A.K.; Akritidis, D.; Melas, D.; Zanis, P. Spatiotemporal Evolution of Seasonal Crop-Specific Climatic Indices under Climate Change in Greece Based on EURO-CORDEX RCM Simulations. Sustainability 2022, 14, 17048. [Google Scholar] [CrossRef]
- Croitoru, A.-E.; Man, T.C.; Vâtcă, S.D.; Kobulniczky, B.; Stoian, V. Refining the Spatial Scale for Maize Crop Agro-Climatological Suitability Conditions in a Region with Complex Topography towards a Smart and Sustainable Agriculture. Case Study: Central Romania (Cluj County). Sustainability 2020, 12, 2783. [Google Scholar] [CrossRef]
- Teslić, N.; Zinzani, G.; Parpinello, G.P. Climate Change Trends, Grape Production, and Potential Alcohol Concentration in Wine from the “Romagna Sangiovese” Appellation Area (Italy). Theor. Appl. Clim. 2018, 131, 793–803. [Google Scholar] [CrossRef]
- Vâtcă, S.D.; Stoian, V.A.; Man, T.C.; Horvath, C.; Vidican, R.; Gâdea, Ș.; Vâtcă, A.; Rotaru, A.; Vârban, R.; Cristina, M.; et al. Agrometeorological Requirements of Maize Crop Phenology for Sustainable Cropping—A Historical Review for Romania. Sustainability 2021, 13, 7719. [Google Scholar] [CrossRef]
- Adão, F.; Campos, J.C.; Santos, J.A.; Malheiro, A.C.; Fraga, H. Relocation of Bioclimatic Suitability of Portuguese Grapevine Varieties under Climate Change Scenarios. Front. Plant Sci. 2023, 14, 974020. [Google Scholar] [CrossRef] [PubMed]
- Fraga, H.; Malheiro, A.C.; Moutinho-Pereira, J.; Santos, J.A. Future Scenarios for Viticultural Zoning in Europe: Ensemble Projections and Uncertainties. Int. J. Biometeorol. 2013, 57, 909–925. [Google Scholar] [CrossRef] [PubMed]
- Irimia, L.M.; Patriche, C.V.; Roșca, B. Climate Change Impact on Climate Suitability for Wine Production in Romania. Theor. Appl. Climatol. 2018, 133, 1–14. [Google Scholar] [CrossRef]
- Gaitán, E.; Pino-Otín, M.R. Using Bioclimatic Indicators to Assess Climate Change Impacts on the Spanish Wine Sector. Atmospheric Res. 2023, 286, 106660. [Google Scholar] [CrossRef]
- Łysiak, G.P.; Szot, I. The Use of Temperature Based Indices for Estimation of Fruit Production Conditions and Risks in Temperate Climates. Agriculture 2023, 13, 960. [Google Scholar] [CrossRef]
- Ballesteros, R.; Ortega, J.F.; Hernandez, D.; del Campo, A.; Moreno, M.A. Combined Use of Agro-Climatic and Very High-Resolution Remote Sensing Information for Crop Monitoring. Int. J. Appl. Earth Obs. Geoinformation 2018, 72, 66–75. [Google Scholar] [CrossRef]
- Mathieu, J.A.; Aires, F. Assessment of the Agro-Climatic Indices to Improve Crop Yield Forecasting. Agric. For. Meteorol. 2018, 253–254, 15–30. [Google Scholar] [CrossRef]
- Paramesh, V.; Kumar, P.; Shamim, M.; Ravisankar, N.; Arunachalam, V.; Nath, A.J.; Mayekar, T.; Singh, R.; Prusty, A.K.; Rajkumar, R.S.; et al. Integrated Farming Systems as an Adaptation Strategy to Climate Change: Case Studies from Diverse Agro-Climatic Zones of India. Sustainability 2022, 14, 11629. [Google Scholar] [CrossRef]
- Santos, J.A.; Fraga, H.; Malheiro, A.C.; Moutinho-Pereira, J.; Dinis, L.-T.; Correia, C.; Moriondo, M.; Leolini, L.; Dibari, C.; Costafreda-Aumedes, S.; et al. A Review of the Potential Climate Change Impacts and Adaptation Options for European Viticulture. Appl. Sci. 2020, 10, 3092. [Google Scholar] [CrossRef]
- Mozny, M.; Hajkova, L.; Vlach, V.; Ouskova, V.; Musilova, A. Changing Climatic Conditions in Czechia Require Adaptation Measures in Agriculture. Climate 2023, 11, 210. [Google Scholar] [CrossRef]
- Bonhomme, R. Bases and Limits to Using ‘Degree.Day’ Units. Eur. J. Agron. 2000, 13, 1–10. [Google Scholar] [CrossRef]
- Sgubin, G.; Swingedouw, D.; Dayon, G.; García de Cortázar-Atauri, I.; Ollat, N.; Pagé, C.; van Leeuwen, C. The Risk of Tardive Frost Damage in French Vineyards in a Changing Climate. Agric. For. Meteorol. 2018, 250–251, 226–242. [Google Scholar] [CrossRef]
- Parker, A.K.; Cortázar-Atauri, I.G.D.; Leeuwen, C.V.; Chuine, I. General Phenological Model to Characterise the Timing of Flowering and Veraison of Vitis Vinifera L. Aust. J. Grape Wine Res. 2011, 17, 206–216. [Google Scholar] [CrossRef]
- McMaster, G.S.; Wilhelm, W.W. Growing Degree-Days: One Equation, Two Interpretations. Agric. For. Meteorol. 1997, 87, 291–300. [Google Scholar] [CrossRef]
- Wang, J.Y. A Critique of the Heat Unit Approach to Plant Response Studies. Ecology 1960, 41, 785–790. [Google Scholar] [CrossRef]
- Navrátilová, M.; Beranová, M.; Severová, L.; Šrédl, K.; Svoboda, R.; Abrhám, J. The Impact of Climate Change on the Sugar Content of Grapes and the Sustainability of Their Production in the Czech Republic. Sustainability 2021, 13, 222. [Google Scholar] [CrossRef]
- Qian, B.; Zhang, X.; Chen, K.; Feng, Y.; O’Brien, T. Observed Long-Term Trends for Agroclimatic Conditions in Canada. J. Appl. Meteorol. Climatol. 2010, 49, 604–618. [Google Scholar] [CrossRef]
- Kenealy, L.; Reighard, G.; Rauh, B.; Bridges, W., Jr. Predicting Peach Maturity Dates in South Carolina with a Growing Degree Day Model. Acta Hortic. 2015, 1084, 479–752. [Google Scholar] [CrossRef]
- Asseng, S.; Ewert, F.; Martre, P.; Rötter, R.P.; Lobell, D.B.; Cammarano, D.; Kimball, B.A.; Ottman, M.J.; Wall, G.W.; White, J.W.; et al. Rising Temperatures Reduce Global Wheat Production. Nat. Clim. Change 2015, 5, 143–147. [Google Scholar] [CrossRef]
- Zhang, S.; Tao, F.; Zhang, Z. Changes in Extreme Temperatures and Their Impacts on Rice Yields in Southern China from 1981 to 2009. Field Crops Res. 2016, 189, 43–50. [Google Scholar] [CrossRef]
- Liu, Y.; Su, L.; Wang, Q.; Zhang, J.; Shan, Y.; Deng, M. Chapter Six—Comprehensive and Quantitative Analysis of Growth Characteristics of Winter Wheat in China Based on Growing Degree Days. In Advances in Agronomy; Sparks, D.L., Ed.; Academic Press: Cambridge, MA, USA, 2020; Volume 159, pp. 237–273. [Google Scholar]
- Anandhi, A. Growing Degree Days—Ecosystem Indicator for Changing Diurnal Temperatures and Their Impact on Corn Growth Stages in Kansas. Ecol. Indic. 2016, 61, 149–158. [Google Scholar] [CrossRef]
- Grigorieva, E. Evaluating the Sensitivity of Growing Degree Days as an Agro-Climatic Indicator of the Climate Change Impact: A Case Study of the Russian Far East. Atmosphere 2020, 11, 404. [Google Scholar] [CrossRef]
- Ahmed, S.M. Climatic Change Impacts on Growing Degree Days and Climatologically Suitable Cropping Areas in the Eastern Nile Basin. Agric. Res. 2021, 10, 72–82. [Google Scholar] [CrossRef]
- Kukal, M.S.; Irmak, S.U.S. Agro-Climate in 20th Century: Growing Degree Days, First and Last Frost, Growing Season Length, and Impacts on Crop Yields. Sci. Rep. 2018, 8, 6977. [Google Scholar] [CrossRef]
- Bernáth, S.; Paulen, O.; Šiška, B.; Kusá, Z.; Tóth, F. Influence of Climate Warming on Grapevine (Vitis Vinifera L.) Phenology in Conditions of Central Europe (Slovakia). Plants 2021, 10, 1020. [Google Scholar] [CrossRef]
- Charalampopoulos, I.; Droulia, F.; Tsiros, I.X. Projecting Bioclimatic Change over the South-Eastern European Agricultural and Natural Areas via Ultrahigh-Resolution Analysis of the de Martonne Index. Atmosphere 2023, 14, 858. [Google Scholar] [CrossRef]
- Cortiñas, J.A.; Fernández-González, M.; González-Fernández, E.; Vázquez-Ruiz, R.A.; Rodríguez-Rajo, F.J.; Aira, M.J. Phenological Behaviour of the Autochthonous Godello and Mencía Grapevine Varieties in Two Designation Origin Areas of the NW Spain. Sci. Hortic. 2020, 265, 109221. [Google Scholar] [CrossRef]
- Rodrigues, P.; Pedroso, V.; Henriques, C.; Matos, A.; Reis, S.; Santos, J.A. Modelling the Phenological Development of Cv. Touriga Nacional and Encruzado in the Dão Wine Region, Portugal. OENO One 2021, 55, 337–352. [Google Scholar] [CrossRef]
- García de Cortázar-Atauri, I.; Brisson, N.; Ollat, N.; Jacquet, O.; Payan, J.-C. Asynchronous Dynamics of Grapevine (“Vitis Vinifera”) Maturation: Experimental Study for a Modelling Approach. OENO One 2009, 43, 83–97. [Google Scholar] [CrossRef]
- Grillakis, M.G.; Doupis, G.; Kapetanakis, E.; Goumenaki, E. Future Shifts in the Phenology of Table Grapes on Crete under a Warming Climate. Agric. For. Meteorol. 2022, 318, 108915. [Google Scholar] [CrossRef]
- Marković, N.; Pržić, Z.; Tešević, V.; Vukovic, A.; Mutavdžić, D.; Vujadinović, M.; Ruml, M. Variation of Aromatic Compounds in ‘Cabernet Sauvignon’ Wine under the Influence of Different Weather Conditions and Harvest Dates. Acta Hortic. 2016, 1139, 701–708. [Google Scholar] [CrossRef]
- Žnidaršič, Z.; Gregorič, G.; Sušnik, A.; Pogačar, T. Frost Risk Assessment in Slovenia in the Period of 1981–2020. Atmosphere 2023, 14, 683. [Google Scholar] [CrossRef]
- Koufos, G.; Mavromatis, T.; Koundouras, S.; Fyllas, N.M. Viticulture: Climate Relationships in Greece and Impacts of Recent Climate Trends: Sensitivity to “Effective” Growing Season Definitions. In Advances in Meteorology, Climatology and Atmospheric Physics; Helmis, C.G., Nastos, P.T., Eds.; Springer Atmospheric Sciences; Springer: Berlin/Heidelberg, Germany, 2013; pp. 555–561. ISBN 978-3-642-29171-5. [Google Scholar]
- Alonso, F.; Chiamolera, F.M.; Hueso, J.J.; González, M.; Cuevas, J. Heat Unit Requirements of “Flame Seedless” Table Grape: A Tool to Predict Its Harvest Period in Protected Cultivation. Plants 2021, 10, 904. [Google Scholar] [CrossRef]
- Fraga, H.; Santos, J.A. Daily Prediction of Seasonal Grapevine Production in the Douro Wine Region Based on Favourable Meteorological Conditions. Aust. J. Grape Wine Res. 2017, 23, 296–304. [Google Scholar] [CrossRef]
- Klein Tank, A.M.G.; Wijngaard, J.B.; Können, G.P.; Böhm, R.; Demarée, G.; Gocheva, A.; Mileta, M.; Pashiardis, S.; Hejkrlik, L.; Kern-Hansen, C.; et al. Daily Dataset of 20th-Century Surface Air Temperature and Precipitation Series for the European Climate Assessment. Int. J. Climatol. 2002, 22, 1441–1453. [Google Scholar] [CrossRef]
- R Core Team R: A Language and Environment for Statistical Computing. Available online: https://www.R-project.org/ (accessed on 11 July 2022).
- QGIS Development Team QGIS Geographic Information System. Available online: https://www.qgis.org/en/site/ (accessed on 22 December 2023).
- Schultze, S.R.; Sabbatini, P. Implications of a Climate-Changed Atmosphere on Cool-Climate Viticulture. J. Appl. Meteorol. Climatol. 2019, 58, 1141–1153. [Google Scholar] [CrossRef]
- Omazić, B.; Prtenjak, M.T.; Prša, I.; Vozila, A.B.; Vučetić, V.; Karoglan, M.; Kontić, J.K.; Prša, Ž.; Anić, M.; Šimon, S.; et al. Climate Change Impacts on Viticulture in Croatia: Viticultural Zoning and Future Potential. Int. J. Climatol. 2020, 40, 5634–5655. [Google Scholar] [CrossRef]
- Patriche, C.V.; Irimia, L.M. Mapping the Impact of Recent Climate Change on Viticultural Potential in Romania. Theor. Appl. Climatol. 2022, 148, 1035–1056. [Google Scholar] [CrossRef]
- Spinoni, J.; Vogt, J.; Barbosa, P. European Degree-Day Climatologies and Trends for the Period 1951-2011. Int. J. Climatol. 2015, 35, 25–36. [Google Scholar] [CrossRef]
- Malheiro, A.C.; Santos, J.A.; Fraga, H.; Pinto, J.G. Climate Change Scenarios Applied to Viticultural Zoning in Europe. Clim. Res. 2010, 43, 163–177. [Google Scholar] [CrossRef]
- Santos, J.A.; Malheiro, A.C.; Pinto, J.G.; Jones, G.V. Macroclimate and Viticultural Zoning in Europe: Observed Trends and Atmospheric Forcing. Clim. Res. 2012, 51, 89–103. [Google Scholar] [CrossRef]
- Tóth, J.P.; Végvári, Z. Future of Winegrape Growing Regions in Europe. Aust. J. Grape Wine Res. 2016, 22, 64–72. [Google Scholar] [CrossRef]
- Cardell, M.F.; Amengual, A.; Romero, R. Future Effects of Climate Change on the Suitability of Wine Grape Production across Europe. Reg. Environ. Change 2019, 19, 2299–2310. [Google Scholar] [CrossRef]
- Moriondo, M.; Jones, G.V.; Bois, B.; Dibari, C.; Ferrise, R.; Trombi, G.; Bindi, M. Projected Shifts of Wine Regions in Response to Climate Change. Clim. Change 2013, 119, 825–839. [Google Scholar] [CrossRef]
- Neethling, E.; Barbeau, G.; Bonnefoy, C.; Quénol, H. Change in Climate and Berry Composition for Grapevine Varieties Cultivated in the Loire Valley. Clim. Res. 2012, 53, 89–101. [Google Scholar] [CrossRef]
- Kurtural, S.K.; Gambetta, G.A. Global Warming and Wine Quality: Are We Close to the Tipping Point? OENO One 2021, 55, 353–361. [Google Scholar] [CrossRef]
- Baciocco, K.; Davis, R.; Jones, G. Climate and Bordeaux Wine Quality: Identifying the Key Factors That Differentiate Vintages Based on Consensus Rankings. J. Wine Res. 2014, 25, 75–90. [Google Scholar] [CrossRef]
- Davis, R.E.; Dimon, R.A.; Jones, G.V.; Bois, B. The Effect of Climate on Burgundy Vintage Quality Rankings. OENO One 2019, 53, 59–73. [Google Scholar] [CrossRef]
- Eccel, E.; Zollo, A.L.; Mercogliano, P.; Zorer, R. Simulations of Quantitative Shift in Bio-Climatic Indices in the Viticultural Areas of Trentino (Italian Alps) by an Open Source R Package. Comput. Electron. Agric. 2016, 127, 92–100. [Google Scholar] [CrossRef]
- Pallotti, L.; Potentini, R.; Casturà, T.; Lanari, V.; Lattanzi, T.; Dottori, E.; Silvestroni, O. Analysis of Verdicchio Harvest Data in Matelica Appellation Area during the 1989–2016 Time Series. BIO Web Conf. 2022, 44, 02009. [Google Scholar] [CrossRef]
- Rocchetti, G.; Ferrari, F.; Trevisan, M.; Bavaresco, L. Impact of Climatic Conditions on the Resveratrol Concentration in Blend of Vitis Vinifera L. Cvs. Barbera and Croatina Grape Wines. Molecules 2021, 26, 401. [Google Scholar] [CrossRef] [PubMed]
- Michelini, S.; Tomada, S.; Kadison, A.E.; Pichler, F.; Hinz, F.; Zejfart, M.; Iannone, F.; Lazazzara, V.; Sanoll, C.; Robatscher, P.; et al. Modeling Malic Acid Dynamics to Ensure Quality, Aroma and Freshness of Pinot Blanc Wines in South Tyrol (Italy). OENO One 2021, 55, 159–179. [Google Scholar] [CrossRef]
- Teslić, N.; Vujadinović, M.; Ruml, M.; Antolini, G.; Vuković, A.; Parpinello, G.P.; Ricci, A.; Versari, A. Climatic Shifts in High Quality Wine Production Areas, Emilia Romagna, Italy, 1961-2015. Clim. Res. 2017, 73, 195–206. [Google Scholar] [CrossRef]
- Gentilesco, G.; Coletta, A.; Tarricone, L.; Alba, V. Bioclimatic Characterization Relating to Temperature and Subsequent Future Scenarios of Vine Growing across the Apulia Region in Southern Italy. Agriculture 2023, 13, 644. [Google Scholar] [CrossRef]
- Massano, L.; Fosser, G.; Gaetani, M.; Bois, B. Assessment of Climate Impact on Grape Productivity: A New Application for Bioclimatic Indices in Italy. Sci. Total Environ. 2023, 905, 167134. [Google Scholar] [CrossRef]
- Lanari, V.; Zacconi, F.M.; Illuminati, S.; Gigli, L.; Canullo, G.; Lattanzi, T.; Dottori, E.; Silvestroni, O. Seasonal Evolution Impact on Montepulciano Grape Ripening. BIO Web Conf. 2022, 44, 01001. [Google Scholar] [CrossRef]
- Vigl, E.L.; Tasser, E.; Williams, S.; Tappeiner, U. Defining Suitable Zones for Viticulture on the Basis of Landform and Environmental Characteristics: A Case Study from the South Tyrolean Alps. In Proceedings of the Fifth International Congress on Mountain and Steep Slope Viticulture: Extreme Viticulture: Values, Beauties, Alliances, Vulnerabilities, Susegana, Italy, 29 March–1 April 2017. [Google Scholar]
- Moral, F.J.; Rebollo, F.J.; Paniagua, L.L.; García, A.; de Salazar, E.M. Application of Climatic Indices to Analyse Viticultural Suitability in Extremadura, South-Western Spain. Theor. Appl. Climatol. 2016, 123, 277–289. [Google Scholar] [CrossRef]
- Moral, F.J.; Aguirado, C.; Alberdi, V.; García-Martín, A.; Paniagua, L.L.; Rebollo, F.J. Future Scenarios for Viticultural Suitability under Conditions of Global Climate Change in Extremadura, Southwestern Spain. Agriculture 2022, 12, 1865. [Google Scholar] [CrossRef]
- Piña-Rey, A.; González-Fernández, E.; Fernández-González, M.; Lorenzo, M.N.; Rodríguez-Rajo, F.J. Climate Change Impacts Assessment on Wine-Growing Bioclimatic Transition Areas. Agriculture 2020, 10, 605. [Google Scholar] [CrossRef]
- Lorenzo, M.N.; Taboada, J.J.; Lorenzo, J.F.; Ramos, A.M. Influence of Climate on Grape Production and Wine Quality in the Rías Baixas, North-Western Spain. Reg. Environ. Change 2013, 13, 887–896. [Google Scholar] [CrossRef]
- Martínez de Toda, F.; Ramos Martín, M.C. Variability in Grape Composition and Phenology of “Tempranillo” in Zones Located at Different Elevations and with Differences in the Climatic Conditions. Vitis 2019, 58, 131–139. [Google Scholar]
- Intrigliolo, D.S.; Llacer, E.; Revert, J.; Esteve, M.D.; Climent, M.D.; Palau, D.; Gómez, I. Early Defoliation Reduces Cluster Compactness and Improves Grape Composition in Mandó, an Autochthonous Cultivar of Vitis Vinifera from Southeastern Spain. Sci. Hortic. 2014, 167, 71–75. [Google Scholar] [CrossRef]
- Fraga, H.; Santos, J.A.; Malheiro, A.C.; Oliveira, A.A.; Moutinho-Pereira, J.; Jones, G.V. Climatic Suitability of Portuguese Grapevine Varieties and Climate Change Adaptation. Int. J. Climatol. 2016, 36, 1–12. [Google Scholar] [CrossRef]
- Wunderlich, R.F.; Lin, Y.-P.; Ansari, A. Regional Climate Change Effects on the Viticulture in Portugal. Environments 2023, 10, 5. [Google Scholar] [CrossRef]
- Fraga, H.; Atauri, I.G.d.C.; Malheiro, A.C.; Moutinho-Pereira, J.; Santos, J.A. Viticulture in Portugal: A Review of Recent Trends and Climate Change Projections. OENO One 2017, 51, 61–69. [Google Scholar] [CrossRef]
- Bucur, G.; Dejeu, L. Climate Change Trends in Some Romanian Viticultural Centers. AgroLife Sci. J. 2021, 5, 24–27. [Google Scholar]
- Bucur, G.M.; Cojocaru, G.A.; Antoce, A.O. The Climate Change Influences and Trends on the Grapevine Growing in Southern Romania: A Long-Term Study. BIO Web Conf. 2019, 15, 01008. [Google Scholar] [CrossRef]
- Donici, A.; Mari, S.; Baniţă, C.; Urmuzache, R. Evaluation of the Viticultural Potential from the Pietroasa Wine-Growing Region in the Context of Current Climatic Changes. Sci. Pap. Ser. B Hortic. 2021, 65, 105–108. [Google Scholar]
- Ruml, M.; Vuković, A.; Vujadinović, M.; Djurdjević, V.; Ranković-Vasić, Z.; Atanacković, Z.; Sivčev, B.; Marković, N.; Matijašević, S.; Petrović, N. On the Use of Regional Climate Models: Implications of Climate Change for Viticulture in Serbia. Agric. For. Meteorol. 2012, 158–159, 53–62. [Google Scholar] [CrossRef]
- Vujadinović Mandić, M.; Vuković Vimić, A.; Ranković-Vasić, Z.; Đurović, D.; Ćosić, M.; Sotonica, D.; Nikolić, D.; Đurđević, V. Observed Changes in Climate Conditions and Weather-Related Risks in Fruit and Grape Production in Serbia. Atmosphere 2022, 13, 948. [Google Scholar] [CrossRef]
- Stefanovic, D.; Nikolic, N.; Kostic, L.; Todic, S.; Nikolic, M. Early Leaf Removal Increases Berry and Wine Phenolics in Cabernet Sauvignon Grown in Eastern Serbia. Agronomy 2021, 11, 238. [Google Scholar] [CrossRef]
- Trbic, G.; Popov, T.; Djurdjevic, V.; Milunovic, I.; Dejanovic, T.; Gnjato, S.; Ivanisevic, M. Climate Change in Bosnia and Herzegovina According to Climate Scenario RCP8.5 and Possible Impact on Fruit Production. Atmosphere 2022, 13, 1. [Google Scholar] [CrossRef]
- Jovanović-Cvetković, T.; Sredojević, M.; Natić, M.; Grbić, R.; Akšić, M.F.; Ercisli, S.; Cvetković, M. Exploration and Comparison of the Behavior of Some Indigenous and International Varieties (Vitis Vinifera L.) Grown in Climatic Conditions of Herzegovina: The Influence of Variety and Vintage on Physico-Chemical Characteristics of Grapes. Plants 2023, 12, 695. [Google Scholar] [CrossRef] [PubMed]
- Tzanova, M.; Atanassova, S.; Atanasov, V.; Grozeva, N. Content of Polyphenolic Compounds and Antioxidant Potential of Some Bulgarian Red Grape Varieties and Red Wines, Determined by HPLC, UV, and NIR Spectroscopy. Agriculture 2020, 10, 193. [Google Scholar] [CrossRef]
- Pajović Šćepanović, R.; Wendelin, S.; Raičević, D.; Eder, R. Characterization of the Phenolic Profile of Commercial Montenegrin Red and White Wines. Eur. Food Res. Technol. 2019, 245, 2233–2245. [Google Scholar] [CrossRef]
- Leder, R.; Petric, I.V.; Jusup, J.; Banović, M. Geographical Discrimination of Croatian Wines by Stable Isotope Ratios and Multielemental Composition Analysis. Front. Nutr. 2021, 8, 625613. [Google Scholar] [CrossRef]
- Karoglan, M.; Prtenjak, M.T.; Šimon, S.; Osrečak, M.; Anić, M.; Kontić, J.K.; Andabaka, Ž.; Tomaz, I.; Grisogono, B.; Belušić, A.; et al. Classification of Croatian Winegrowing Regions Based on Bioclimatic Indices. E3S Web Conf. 2018, 50, 01032. [Google Scholar] [CrossRef]
- Omazić, B.; Telišman Prtenjak, M.; Bubola, M.; Meštrić, J.; Karoglan, M.; Prša, I. Application of Statistical Models in the Detection of Grapevine Phenology Changes. Agric. For. Meteorol. 2023, 341, 109682. [Google Scholar] [CrossRef]
- Vršič, S.; Pulko, B.; Kraner Šumenjak, T.; Šuštar, V. Trends in Climate Parameters Affecting Winegrape Ripening in Northeastern Slovenia. Clim. Res. 2014, 58, 257–266. [Google Scholar] [CrossRef]
- Potisek, M.; Krebelj, A.; Šuklje, K.; Škvarč, A.; Čuš, F. Viticultural and Oenological Characterization of Muscat a Petits Grains Blancs and Muscat Giallo Clones. J. Cent. Eur. Agric. 2023, 24, 422–433. [Google Scholar] [CrossRef]
- Šuklje, K.; Krebelj, A.J.; Vaupotič, T.; Čuš, F. Effect of Cluster Thinning within the Grapevine Variety “Welschriesling” on Yield, Grape Juice and Wine Parameters. Mitteilungen Klosterneubg. 2022, 72, 118–129. [Google Scholar]
- Kopali, A.; Libohova, Z.; Teqja, Z.; Owens, P.R. Bioclimatic Suitability for Wine Vineyards in Mediterranean Climate—Tirana Region, Albania. Eur. J. Hortic. Sci. 2021, 86, 179–188. [Google Scholar] [CrossRef]
- Koufos, G.; Mavromatis, T.; Koundouras, S.; Fyllas, N.M.; Jones, G.V. Viticulture-Climate Relationships in Greece: The Impacts of Recent Climate Trends on Harvest Date Variation. Int. J. Climatol. 2014, 34, 1445–1459. [Google Scholar] [CrossRef]
- Anderson, J.; Dimou, P.; Jones, G.; Kalivas, D.; Koufos, G.; Mavromatis, T. Harvest Dates, Climate, and Viticultural Region Zoning in Greece. In Proceedings of the 10th International Terroir Congress, Tokaj, Hungary, 7–10 July 2014; pp. 55–60. [Google Scholar]
- Koufos, G.C.; Mavromatis, T.; Koundouras, S.; Jones, G.V. Response of Viticulture-Related Climatic Indices and Zoning to Historical and Future Climate Conditions in Greece. Int. J. Climatol. 2018, 38, 2097–2111. [Google Scholar] [CrossRef]
- Xyrafis, E.G.; Fraga, H.; Nakas, C.T.; Koundouras, S. A Study on the Effects of Climate Change on Viticulture on Santorini Island. OENO One 2022, 56, 259–273. [Google Scholar] [CrossRef]
- Lazoglou, G.; Anagnostopoulou, C.; Koundouras, S. Climate Change Projections for Greek Viticulture as Simulated by a Regional Climate Model. Theor. Appl. Climatol. 2018, 133, 551–567. [Google Scholar] [CrossRef]
- Petropoulos, S.; Metafa, M.; Kotseridis, Y.; Paraskevopoulos, I.; Kallithraka, S. Amino Acid Content of Agiorgitiko (Vitis Vinifera L. Cv.) Grape Cultivar Grown in Representative Regions of Nemea. Eur. Food Res. Technol. 2018, 244, 2041–2050. [Google Scholar] [CrossRef]
- Anastasiou, E.; Templalexis, C.; Lentzou, D.; Biniari, K.; Xanthopoulos, G.; Fountas, S. Do Soil and Climatic Parameters Affect Yield and Quality on Table Grapes? Smart Agric. Technol. 2023, 3, 100088. [Google Scholar] [CrossRef]
- Copper, A.W.; Collins, C.; Bastian, S.; Johnson, T.; Koundouras, S.; Karaolis, C.; Savvides, S. Vine Performance Benchmarking of Indigenous Cypriot Grape Varieties Xynisteri and Maratheftiko: This Article Is Published in Cooperation with the XIIIth International Terroir Congress November 17-18 2020, Adelaide, Australia. Guest Editors: Cassandra Collins and Roberta De Bei. OENO One 2020, 54, 935–954. [Google Scholar] [CrossRef]





Disclaimer/Publisher’s Note: The statements, opinions and data contained in all publications are solely those of the individual author(s) and contributor(s) and not of MDPI and/or the editor(s). MDPI and/or the editor(s) disclaim responsibility for any injury to people or property resulting from any ideas, methods, instructions or products referred to in the content. |
© 2024 by the authors. Licensee MDPI, Basel, Switzerland. This article is an open access article distributed under the terms and conditions of the Creative Commons Attribution (CC BY) license (https://creativecommons.org/licenses/by/4.0/).
Share and Cite
Charalampopoulos, I.; Polychroni, I.; Droulia, F.; Nastos, P.T. The Spatiotemporal Evolution of the Growing Degree Days Agroclimatic Index for Viticulture over the Northern Mediterranean Basin. Atmosphere 2024, 15, 485. https://doi.org/10.3390/atmos15040485
Charalampopoulos I, Polychroni I, Droulia F, Nastos PT. The Spatiotemporal Evolution of the Growing Degree Days Agroclimatic Index for Viticulture over the Northern Mediterranean Basin. Atmosphere. 2024; 15(4):485. https://doi.org/10.3390/atmos15040485
Chicago/Turabian StyleCharalampopoulos, Ioannis, Iliana Polychroni, Fotoula Droulia, and Panagiotis T. Nastos. 2024. "The Spatiotemporal Evolution of the Growing Degree Days Agroclimatic Index for Viticulture over the Northern Mediterranean Basin" Atmosphere 15, no. 4: 485. https://doi.org/10.3390/atmos15040485
APA StyleCharalampopoulos, I., Polychroni, I., Droulia, F., & Nastos, P. T. (2024). The Spatiotemporal Evolution of the Growing Degree Days Agroclimatic Index for Viticulture over the Northern Mediterranean Basin. Atmosphere, 15(4), 485. https://doi.org/10.3390/atmos15040485

