Modulation of the Madden–Julian Oscillation Center Stagnation on Typhoon Genesis over the Western North Pacific
Abstract
1. Introduction
2. Data and Methods
2.1. Data
2.2. Method
3. Results
3.1. MJO Activity Characteristics
3.2. Statistical Characteristics of TYs in the WNP
4. Differences in Background Fields between I High- and Low-Value Years
4.1. The Differences in the Warm Pool
4.2. The Differences in Monsoon Trough
4.3. The Differences in the Walker Circulation
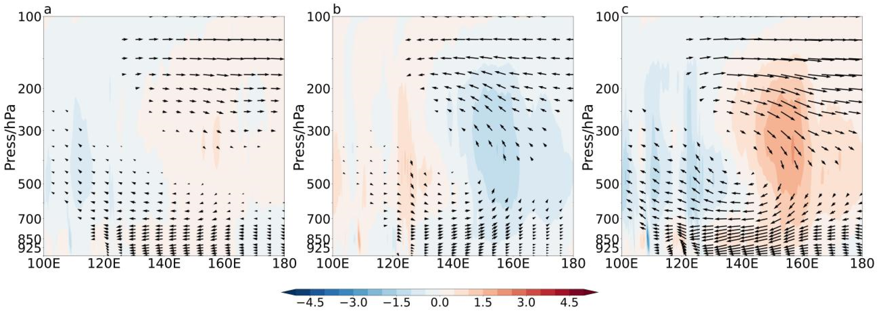
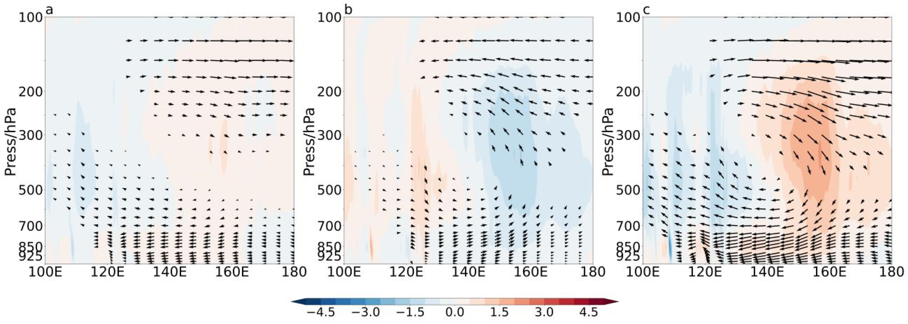
5. Differences in Large-Scale Environmental Elements between I High- and Low-Value Years
5.1. The Differences in Dynamic Factors
5.2. The Differences in Thermodynamic Factors
6. Conclusions and Discussion
6.1. Conclusions
6.2. Discussion
Author Contributions
Funding
Institutional Review Board Statement
Informed Consent Statement
Data Availability Statement
Conflicts of Interest
References
- Peduzzi, P.; Chatenoux, B.; Dao, H.; De Bono, A.; Herold, C.; Kossin, J.; Mouton, F.; Nordbeck, O. Global trends in tropical cyclone risk. Nat. Clim. Chang. 2012, 2, 289–294. [Google Scholar] [CrossRef]
- Zhang, Q.; Wu, L.; Liu, Q. Tropical cyclone damages in China 1983–2006. Bull. Am. Meteorol. Soc. 2009, 90, 489–496. [Google Scholar] [CrossRef]
- Wang, C.; Wu, K.; Wu, L.; Zhao, H.; Cao, J. What caused the unprecedented absence of western North Pacific tropical cyclones in July 2020? Geophys. Res. Lett. 2021, 48, e2020GL092282. [Google Scholar] [CrossRef]
- Lin, I.I.; Pun, I.F.; Lien, C.C. “Category-6” supertyphoon Haiyan in global warming hiatus: Contribution from subsurface ocean warming. Geophys. Res. Lett. 2014, 41, 8547–8553. [Google Scholar] [CrossRef]
- Goldenberg, S.B.; Landsea, C.W.; Mestas-Nuñez, A.M.; Gray, W.M. The recent increase in Atlantic hurricane activity: Causes and implications. Science 2001, 293, 474–479. [Google Scholar] [CrossRef] [PubMed]
- Mei, W.; Xie, S.P.; Primeau, F.; McWilliams, J.C.; Pasquero, C. Northwestern Pacific typhoon intensity controlled by changes in ocean temperatures. Sci. Adv. 2015, 1, e1500014. [Google Scholar] [CrossRef] [PubMed]
- Lander, M.A. An exploratory analysis of the relationship between tropical storm formation in the western North Pacific and ENSO. Mon. Weather Rev. 1994, 122, 636–651. [Google Scholar] [CrossRef]
- Mei, W.; Xie, S.P.; Zhao, M.; Wang, Y. Forced and internal variability of tropical cyclone track density in the western North Pacific. J. Clim. 2015, 28, 143–167. [Google Scholar] [CrossRef]
- Ramage, C.S.; Hori, A.M. Meteorological aspects of E1Nino. Mon. Weather Rev. 1981, 109, 1827–1835. [Google Scholar] [CrossRef]
- Chan, J.C.L. Tropical cyclone activity in the northwest Pacific in relation to the El Niño/Southern Oscillation phenomenon. Mon. Weather Rev. 1985, 113, 599–606. [Google Scholar] [CrossRef]
- Li, R.C.Y.; Zhou, W. Modulation of western North Pacific tropical cyclone activity by the ISO. Part I: Genesis and intensity. J. Clim. 2013, 26, 2904–2918. [Google Scholar] [CrossRef]
- Gray, W.M. Hurricanes: Their formation, structure and likely role in the tropical circulation. Meteorol. Over Trop. Ocean. 1979, 155, 218. [Google Scholar]
- Sobel, A.H.; Maloney, E.D. Effect of ENSO and the MJO on western North Pacific tropical cyclones. Geophys. Res. Lett. 2000, 27, 1739–1742. [Google Scholar] [CrossRef]
- Hartmann, D.L.; Michelsen, M.L.; Klein, S.A. Seasonal variations of tropical intraseasonal oscillations—A 20–b 25-day oscillation in the western Pacific. J. Atmos. Sci. 1992, 49, 1277–1289. [Google Scholar] [CrossRef]
- Liebmann, B.; Hendon, H.H.; Glick, J.D. The relationship between tropical cyclones of the western Pacific and Indian Oceans and the Madden-Julian oscillation. J. Meteorol. Soc. Jpn. Ser. II 1994, 72, 401–412. [Google Scholar] [CrossRef]
- Li, C.; Ling, J.; Song, J.; Pan, J.; Tian, H.; Chen, X. Research progress in China on the tropical atmospheric intraseasonal oscillation. J. Meteorol. Res. 2014, 28, 671–692. [Google Scholar] [CrossRef]
- Zhou, W.; Shen, H.; Zhao, H. Effect of tropical intraseasonal oscillation on large-scale enviornment of typhoon genesis over the northwestern Pacific. Trans. Atmos Sci. 2016, 38, 731–741. [Google Scholar]
- Knapp, K.R.; Kruk, M.C.; Levinson, D.H.; Diamond, H.J.; Neumann, C.J. The international best track archive for climate stewardship (IBTrACS) unifying tropical cyclone data. Bull. Am. Meteorol. Soc. 2010, 91, 363–376. [Google Scholar] [CrossRef]
- Hersbach, H.; Bell, B.; Berrisford, P.; Hirahara, S.; Horányi, A.; Muñoz-Sabater, J.; Simmons, A.; Thépaut, J.N. The ERA5 global reanalysis. Q. J. R. Meteorol. Soc. 2020, 146, 1999–2049. [Google Scholar] [CrossRef]
- Rayner, N.A.A.; Parker, D.E.; Horton, E.B.; Folland, C.K.; Alexander, L.V.; Rowell, D.P.; Kent, E.C.; Kaplan, A. Global analyses of sea surface temperature, sea ice, and night marine air temperature since the late nineteenth century. J. Geophys. Res. Atmos. 2003, 108, D14. [Google Scholar] [CrossRef]
- Knutson, T.R.; Weickmann, K.M. 30–60 day atmospheric oscillations: Composite life cycles of convection and circulation anomalies. Mon. Weather Rev. 1987, 115, 1407–1436. [Google Scholar] [CrossRef]
- Xue, Y.; Higgins, W.; Kousky, V. Influences of the Madden Julian Oscillations on temperature and precipitation in North America during ENSO-neutral and weak ENSO winters. In Proceedings of the Workshop on Prospects for Improved Forecasts of Weather and Short-Term Climate Variability on Subseasonal (2 Week to 2 Month) Time Scales, NASA/Goddard Space Flight Center, Greenbelt, MD, USA, 16–18 April 2002. 4p. [Google Scholar]
- Ventrice, M.J.; Wheeler, M.C.; Hendon, H.H.; Schreck, C.J.; Thorncroft, C.D.; Kiladis, G.N. A modified multivariate Madden–Julian oscillation index using velocity potential. Mon. Weather Rev. 2013, 141, 4197–4210. [Google Scholar] [CrossRef]
- Yan, X.; Ju, J.H. Analysis of the major characteristics of persistent MJO anomalies in summer. Chin. Atmos. Sci. 2016, 40, 1048–1058. [Google Scholar]
- Wang, B.; Yang, Y.; Ding, Q.; Murakami, H.; Huang, F. Climate control of the global tropical storm days (1965–2008). Geophys. Res. Lett. 2010, 37, 7. [Google Scholar] [CrossRef]
- Duchon, C.E. Lanczos filtering in one and two dimensions. J. Appl. Meteorol. 1979, 18, 1016–1022. [Google Scholar] [CrossRef]
- Zhao, H.; Jiang, X.; Wu, L. Modulation of northwest Pacific tropical cyclone genesis by the intraseasonal variability. J. Meteorol. Soc. Jpn. Ser. II 2015, 93, 81–97. [Google Scholar] [CrossRef]
- Jiang, X.; Zhao, M.; Waliser, D.E. Modulation of tropical cyclones over the eastern Pacific by the intraseasonal variability simulated in an AGCM. J. Clim. 2012, 25, 6524–6538. [Google Scholar] [CrossRef]
- Chen, G.; Huang, R. Dynamical effects of low frequency oscillation on tropical cyclogenesis over the western North Pacific and the physical mechanisms. Chin. Atmos. Sci. 2009, 33, 205–214. [Google Scholar]
- Wu, L.; Wen, Z.; Huang, R.; Wu, R. Possible linkage between the monsoon trough variability and the tropical cyclone activity over the western North Pacific. Mon. Weather Rev. 2012, 140, 140–150. [Google Scholar] [CrossRef]
- Qin, W.; Dang, G. The relationship between Madden-Julian Osiuation and the development of tropical cyclone in Guangxi. J. Meteorol. Res. Appl. 2020, 41, 1865–1870. [Google Scholar]
- Ding, Y.H. Advanced Synoptic Meteorology; China Meteorological Press: Beijing, China, 2005; p. 585. [Google Scholar]
- Gray, W.M. Global view of the origin of tropical disturbances and storms. Mon. Weather Rev. 1968, 96, 669–700. [Google Scholar] [CrossRef]
- Gray, W.M. Tropical Cyclone Genesis; Colorado State University, Libraries: Fort Collins, CO, USA, 1975. [Google Scholar]
- Cheung, K.K.W. Large-scale environmental parameters associated with tropical cyclone formations in the western North Pacific. J. Clim. 2004, 17, 466–484. [Google Scholar] [CrossRef]
- Ge, X.; Li, T.; Peng, M. Effects of vertical shears and midlevel dry air on tropical cyclone developments. J. Atmos. Sci. 2013, 70, 3859–3875. [Google Scholar] [CrossRef]
- He, J.L.; Duan, A.M.; Huang, Y.S. On the relationship between MJO and clustering of tropical cyclone activities over the western North Pacific. Adv. Meteor. Sci. Tech. 2013, 3, 46–51. [Google Scholar]
- Sun, Z.; Mao, J.Y.; Wu, G.X. Influences of intraseasonal oscillations on the clustering of tropical cyclone activities over the western North Pacific during boreal summer. Chin. Atmos. Sci. 2009, 33, 950–9581. [Google Scholar]
- Klotzbach, P.J.; Oliver, E.C. Modulation of Atlantic Basin Tropical Cyclone Activity by the Madden-Julian Oscillation (MJO) from 1905 to 2011. J. Clim. 2015, 28, 204–217. [Google Scholar] [CrossRef]
- Li, R.C.; Zhou, W.; Chan, J.C.; Huang, P. Asymmetric Modulation of Western North Pacific Cyclogenesis by the Madden-Julian Oscillation under ENSO Conditions. J. Clim. 2012, 25, 5374–5385. [Google Scholar] [CrossRef]












| I High-Value Years (11a) | I Low-Value Years (12a) |
| 1988, 1989, 1995, 1996, 1998, 1999, 2007, 2008, 2010, 2020, 2021 | 1978, 1980, 1982, 1986, 1991, 2001, 2002, 2009, 2012, 2014, 2015, 2019 |
| The I High-Value Years | The I Low-Value Years | |
| 100° E–140° E | 106 (77% of the total) | 101 (56% of the total) |
| 140° E–180° E | 31 (23% of the total) | 80 (44% of the total) |
| Total | 137 | 181 |
Disclaimer/Publisher’s Note: The statements, opinions and data contained in all publications are solely those of the individual author(s) and contributor(s) and not of MDPI and/or the editor(s). MDPI and/or the editor(s) disclaim responsibility for any injury to people or property resulting from any ideas, methods, instructions or products referred to in the content. |
© 2024 by the authors. Licensee MDPI, Basel, Switzerland. This article is an open access article distributed under the terms and conditions of the Creative Commons Attribution (CC BY) license (https://creativecommons.org/licenses/by/4.0/).
Share and Cite
Lin, C.-q.; Fan, L.-l.; Chen, X.-z.; Li, J.-H.; Xu, J.-j. Modulation of the Madden–Julian Oscillation Center Stagnation on Typhoon Genesis over the Western North Pacific. Atmosphere 2024, 15, 373. https://doi.org/10.3390/atmos15030373
Lin C-q, Fan L-l, Chen X-z, Li J-H, Xu J-j. Modulation of the Madden–Julian Oscillation Center Stagnation on Typhoon Genesis over the Western North Pacific. Atmosphere. 2024; 15(3):373. https://doi.org/10.3390/atmos15030373
Chicago/Turabian StyleLin, Chun-qiao, Ling-li Fan, Xu-zhe Chen, Jia-Hao Li, and Jian-jun Xu. 2024. "Modulation of the Madden–Julian Oscillation Center Stagnation on Typhoon Genesis over the Western North Pacific" Atmosphere 15, no. 3: 373. https://doi.org/10.3390/atmos15030373
APA StyleLin, C.-q., Fan, L.-l., Chen, X.-z., Li, J.-H., & Xu, J.-j. (2024). Modulation of the Madden–Julian Oscillation Center Stagnation on Typhoon Genesis over the Western North Pacific. Atmosphere, 15(3), 373. https://doi.org/10.3390/atmos15030373

