Development and Evaluation of a Short-Term Ensemble Forecasting Model on Sea Surface Wind and Waves across the Bohai and Yellow Sea
Abstract
1. Introduction
2. Model, Algorithms, and Data
2.1. COAWST Model
2.2. Bias correction Algorithms
2.2.1. Model Output Statistics (MOS)
2.2.2. Back Propagation Neural Network (BPNN)
2.2.3. Long Short-Term Memory Neural Network (LSTM)
2.2.4. Convolutional Neural Network (CNN)
2.3. Ensemble Mean Method
2.4. Operational Flowchart of Forecasting System
2.5. Data Description
3. Experimental Design
3.1. Model Configuration
3.2. Optimization Process Steps for Bias Correction Models
- (a)
- Before creating the training data of bias correction, it is known that the errors of numerical weather models are easy to accumulate in a long-term simulation [43]. Thus, to improve the accuracy of the historical training data, we utilized the COAWST model to construct three groups of sensitivity tests (S1, S2, S3) with different time durations for a single uninterrupted simulation. The simulation in the S1 test lasted for 5 days, and the model was then restarted for the next five-day simulation. The simulation in the S2 test lasted for 15 days at each time, and the simulation in the S3 test lasted for 30 days. The simulation period for the three tests was one month. The difference in bias value was determined to confirm the impacts of simulation durations on accuracy.
- (b)
- According to the sensitivity test outcomes, simulation during the entire year of 2021 using COAWST was conducted over the study domain, in an operation way with the lowest bias. Considering the operation convenience and error accumulation, the simulation at each time lasted for 6 days. The simulation on the first day was used as a spin-up, and the simulation in the next five days was used to create the formal hourly training data for the establishment of bias correction models.
- (c)
- Before the formal training processes for the correction models, this study also constructed five sensitivity tests to investigate the impacts of different training samples on the correction accuracy. Considering the BPNN as a bias correction algorithm, the five tests (T1, T2, T3, T4, T5) used different historical simulation variables from step (b) above and observational data from three buoy stations to train the BPNN correction model. To select appropriate configurations for training variables, the accuracy difference among the five tests was analyzed. The T1 test utilized the simulations of wind speed and wave height to establish the bias correction model. The T2 test analyzed the time correlations between simulated variables at the surface and buoy observation data. All the simulated variables with a correlation coefficient of not less than 0.15 were then selected to establish a multivariate correction model. The training process in the T3 test was similar to the T2 test, but the T3 test utilized the higher correlation variables (not less than 0.4) to establish the correction model. Using the same training strategy as the T2 test, the T4 test further added the observations of the previous day from the same buoy station into the model training process. Although the T5 test followed the T1 test strategy, it also added the observations of the previous day. The T0 test was denoted as the control test without any corrections. By evaluating the accuracy of the corrected forecasts during the validation period, the training strategy with the highest accuracy could be selected for the subsequent formal training of correction models.
- (d)
- Based on the above test results, the formal training process of bias correction models was carried out using the hourly simulations during the entire year of 2021 and observations from three buoy stations as input data.
3.3. Validation Test Design
4. Result
4.1. Sensitivity Analysis Prior to the Formal Correction Model Training
4.1.1. Sensitivity of Bias on the Simulation Time Durations
4.1.2. Sensitivity of Corrected Bias on the Number of Sample Variables for Training
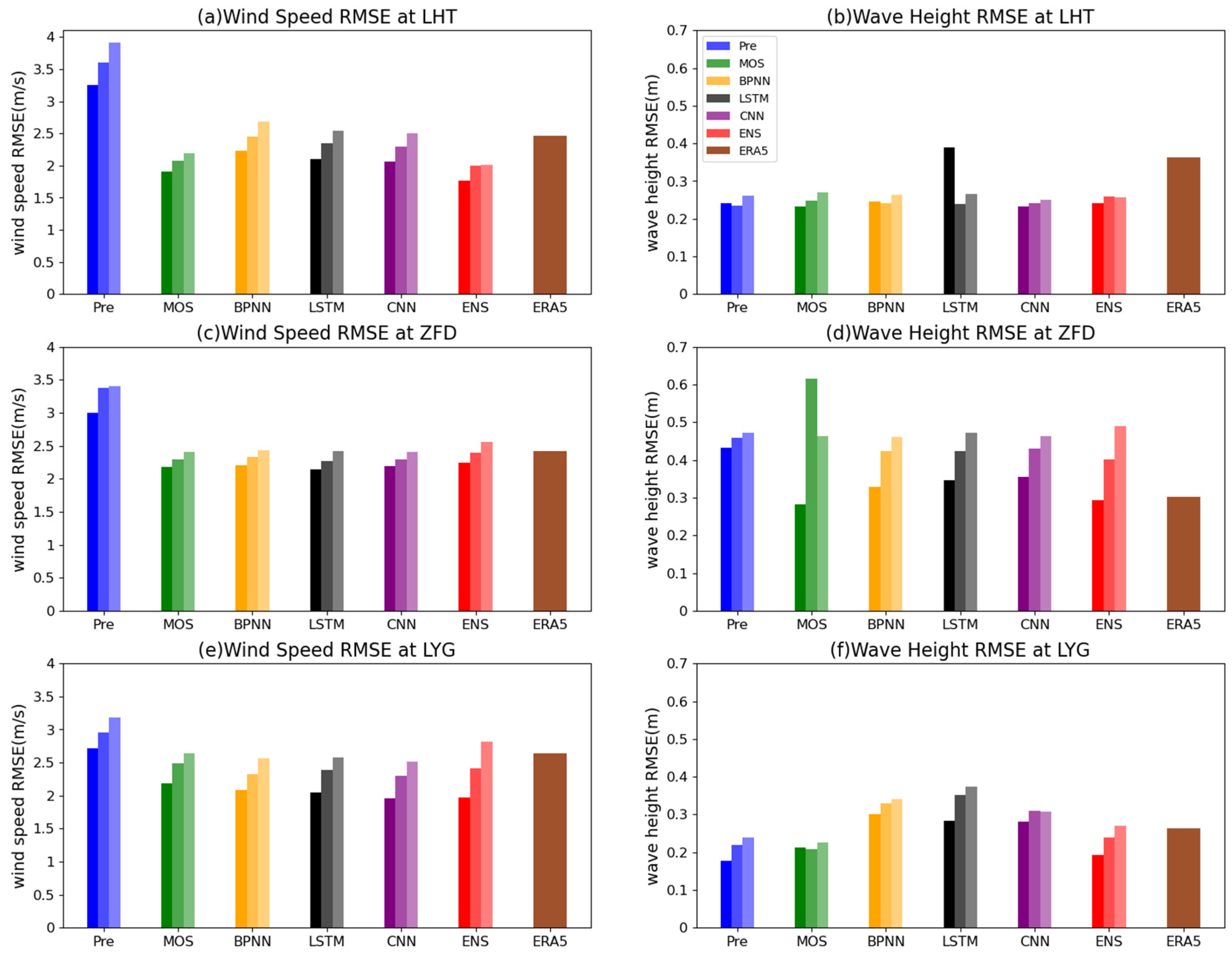
4.2. Bias Evaluation of the Four Correction Models Using Different Algorithms
4.3. Accuracy Changes in the Ensemble Mean Forecasts with Different Forecasting Time
5. Discussion
6. Conclusions
- (1)
- The errors accumulated in the long-term continuous simulations using numerical weather models and the rates of error accumulation for the rapidly changing wind speed were more obvious than that for the wave height at a slower changing rate.
- (2)
- In the correction model training process, the accuracy of the trained models depended on the sample size of training data that was strongly correlated to the target variable. The inclusion of data having a low correlation with the target variable might decrease the accuracy of the correction model. The way of introducing observations of the previous days directly into the training process did not significantly change the accuracy of the correction model.
- (3)
- After bias correction by the four algorithms, the wind speed forecasts were improved in most statistical indices. However, the corrected wave height forecast did not present significant improvements. Certain uncertainties were still present for wave height corrections for different statistical indices at different stations. Due to these uncertainties, none of the four algorithms presented a stable lowest bias at all stations. Relying on the dynamic weight assignment, the final ensemble forecast greatly reduced the uncertainties from different stations. In cases where the accuracy of a certain correction algorithm significantly surpassed other algorithms, the ensemble forecast might not have the lowest bias, but its accuracy was undoubtedly the most stable among all cases. In addition, the ensemble forecasts might slightly reduce the correlation with observations, but the improvement in forecasting bias and standard deviation could compensate for this issue.
- (4)
- In terms of the specific performance of bias correction, the mean bias of wind speed forecasts from COAWST was found to be 2.31 m/s~2.58 m/s at three buoy stations. The 24 h ensemble forecast further reduced the mean absolute bias by approximately 96~99%. When the Typhoon “Muifa” passed across the domain, the representativeness of the model weights calculated using the previous day’s observations was decreased. Their mean absolute bias reduced by 91~98%, and surpassed the statistical indices of ERA5 reanalysis data in most cases. For wave height forecasts with higher uncertainty, the mean bias of original COAWST forecast was −0.19 m~0.07 m, while the 24 h ensemble forecast still reduced the mean by approximately 91~95% even in cases where several correction results increased the bias, and during typhoon periods, it reduced by 16~54%. Within the forecasting period of 72 h, the effectiveness of weight distribution in ensemble forecasts gradually decreased with the extension of time, and the accuracy of the 72 h ensemble forecast was not as good as the individual corrected forecast results. This indicated that for rapidly changing wind speed and wave height, the empirical rules relying on the 24 h bias performance were difficult to apply over longer time periods in this study.
- (5)
- Considering the differences among the four correction models, there was no direct co-relationship between the correction accuracy and the complexity of each algorithm. However, the relatively complex algorithms (CNN and LSTM) presented more conservative correction strategies at different stations, resulting in more stable performance. The MOS correction model with the simplest algorithm presented a more direct and aggressive correction strategy, which resulted in an unstable correction performance. Although the mean bias of wave height corrected by MOS was the lowest, the bias might increase significantly after correction in some cases. In this study, the correction performance of the BPNN algorithm was very similar to that of deep learning algorithms (CNN and LSTM). The BPNN performed slightly better than CNN in correcting wave height and promoting the correlation coefficients with observations.
Author Contributions
Funding
Institutional Review Board Statement
Informed Consent Statement
Data Availability Statement
Conflicts of Interest
References
- Aija, S.; Rogers, W.E.; Babanin, A.V. Wave spectral response to sudden changes in wind direction in finite-depth waters. Ocean Model. 2015, 103, 98–117. [Google Scholar] [CrossRef]
- Huang, F.; Garrison, J.; Leidner, S.; Grieco, G.; Annane, B. Assimilation of GNSS reflectometry delay-Doppler maps with a two-dimensional variational analysis of global ocean surface winds. QJR Meteorol. Soc. 2021, 147, 2469–2489. [Google Scholar] [CrossRef]
- Li, Z. Impact of assimilating Mode-S EHS winds in the Met Office’s high-resolution NWP model. Meteorol. Appl. 2021, 28, e1989. [Google Scholar] [CrossRef]
- Sannasiraj, S.A.; Goldstein, M.G. Optimal interpolation of buoy data into a deterministic wind–wave model. Nat. Hazards 2009, 49, 261–274. [Google Scholar] [CrossRef]
- Sweeney, C.P.; Lynch, P.; Nolan, P. Reducing errors of wind speed forecasts by an optimal combination of post-processing methods. Meteorol. Appl. 2013, 20, 32–40. [Google Scholar] [CrossRef]
- Lakatos, M.; Lerch, S.; Hemri, S.; Baran, S. Comparison of multivariate post-processing methods using global ECMWF ensemble forecasts. Q. J. R. Meteorol. Soc. 2023, 149, 856–877. [Google Scholar] [CrossRef]
- Cuo, L.; Pagano, T.C.; Wang, Q.J. A review of quantitative precipitation forecasts and their use in short- to medium-range streamflow forecasting. J. Hydrometeorol. 2011, 12, 713–728. [Google Scholar] [CrossRef]
- Li, W.; Pan, B.; Xia, J.; Duan, Q. Convolutional neural network-based statistical post-processing of ensemble precipitation forecasts. Hydrology 2022, 605, 127301. [Google Scholar] [CrossRef]
- Kunić, Z.; Ženko, B.; Boshkoska, B.M. FOCUSED–Short-Term Wind Speed Forecast Correction Algorithm Based on Successive NWP Forecasts for Use in Traffic Control Decision Support Systems. Sensors 2021, 21, 3405. [Google Scholar] [CrossRef]
- Bi, K.; Xie, L.; Zhang, H.; Chen, X.; Gu, X.; Tian, Q. Accurate medium-range global weather forecasting with 3D neural networks. Nature 2023, 619, 533–538. [Google Scholar] [CrossRef]
- Zhang, Y.; Long, M.; Chen, K.; Xing, L.; Jin, R.; Jordan, M.I. Skilful nowcasting of extreme precipitation with NowcastNet. Nature 2023, 619, 526–532. [Google Scholar] [CrossRef] [PubMed]
- Kim, H.; Ham, Y.G.; Joo, Y.S.; Son, S.W. Deep learning for bias correction of MJO prediction. Nat Commun. 2021, 12, 3087. [Google Scholar] [CrossRef] [PubMed]
- Wyszogrodzki, A.A.; Liu, Y.; Jacobs, N.; Childs, P.; Zhang, Y.; Roux, G.; Warner, T.T. Analysis of the surface temperature and wind forecast errors of the NCAR-AirDat operational CONUS 4-km WRF forecasting system. Meteorol. Atmos. Phys. 2013, 122, 125–143. [Google Scholar] [CrossRef]
- Jacondino, W.D.; Nascimento, A.L.; Calvetti, L.; Fisch, G.; Beneti, C.A.A.; Paz, S.R. Hourly day-ahead wind power forecasting at two wind farms in northeast Brazil using WRF model. Energy 2021, 230, 120841. [Google Scholar] [CrossRef]
- Han, L.; Chen, M.; Chen, K.; Chen, H.; Zhang, Y. A Deep Learning Method for Bias Correction of ECMWF 24–240h Forecasts. Atmos. Sci. 2021, 38, 1444–1459. [Google Scholar] [CrossRef]
- Chen, Y.; Bai, M.; Zhang, Y.; Liu, J.; Yu, D. Multivariable space-time correction for wind speed in numerical weather prediction (NWP) based on ConvLSTM and the prediction of probability interval. Earth Sci. Inform. 2023, 16, 1953–1974. [Google Scholar] [CrossRef]
- Zou, J.; Zhan, C.; Song, H.; Hu, T.; Qiu, Z.; Wang, B.; Li, Z. Development and evaluation of a hydrometeorological forecasting system using the Coupled Ocean-Atmosphere-Wave-Sediment Transport (COAWST) Model. Adv. Meteorol. 2021, 2021, 6658722. [Google Scholar] [CrossRef]
- Liu, N.; Ling, T.; Wang, H.; Zhang, Y.; Gao, Z. Numerical simulation of Typhoon Muifa (2011) using a Coupled Ocean-Atmosphere-Wave-Sediment Transport (COAWST) modeling system. J. Ocean Univ. 2015, 14, 199–209. [Google Scholar] [CrossRef]
- Ebuchi, N.; Graber, H.C.; Caruso, M.J. Evaluation of Wind Vectors Observed by QuikSCAT/SeaWinds Using Ocean Buoy Data. J. Atmos. Ocean. Technol. 2002, 19, 2049–2062. [Google Scholar] [CrossRef]
- Warner, J.C.; Armstrong, B.; He, R.; Zambon, J.B. Development of a Coupled Ocean–Atmosphere–Wave–Sediment Transport (COAWST) Modeling System. Ocean Model. 2010, 35, 230–244. [Google Scholar] [CrossRef]
- Olabarrieta, M.; Warner, J.C.; Armstrong, B.; Zambon, J.B.; He, R. Ocean–atmosphere dynamics during Hurricane Ida and Nor’Ida: An application of the coupled ocean–atmosphere–wave–sediment transport (COAWST) modeling system. Ocean Model. 2012, 43–44, 112–137. [Google Scholar] [CrossRef]
- Zambon, J.B.; He, R.; Warner, J.C. Investigation of hurricane Ivan using the coupled ocean–atmosphere–wave–sediment transport (COAWST) model. Ocean Dyn. 2014, 64, 1535–1554. [Google Scholar] [CrossRef]
- Bai, P.; Ling, Z.; Liu, C.; Wu, J.; Xie, L. Effects of tidal currents on winter wind waves in the Qiongzhou Strait: A numerical study. Acta Oceanol. 2020, 39, 33–43. [Google Scholar] [CrossRef]
- Lazić, L.; Pejanović, G.; Živković, M.; Ilić, L. Improved wind forecasts for wind power generation using the Eta model and MOS (Model Output Statistics) method. Energy 2014, 73, 567–574. [Google Scholar] [CrossRef]
- Rumelhart, D.E.; Hinton, G.E.; Williams, R.J. Learning representations by back-propagating errors. Nature 1986, 323, 533–536. [Google Scholar] [CrossRef]
- Li, T. Back-propagation neural network for long-term tidal predictions. Ocean Eng. 2004, 31, 225–238. [Google Scholar]
- Hochreiter, S.; Schmidhuber, J. Long Short-Term Memory. Neural Comput. 1997, 9, 1735–1780. [Google Scholar] [CrossRef]
- Zarándy, Á.; Rekeczky, C.; Szolgay, P.; Chua, L.O. Overview of CNN research: 25 years history and the current trends. In Proceedings of the IEEE International Symposium on Circuits and Systems (ISCAS), Lisbon, Portugal, 24–27 May 2015; pp. 401–404. [Google Scholar]
- Ince, T.; Kiranyaz, S.; Eren, L.; Askar, M.; Gabbouj, M. Real-Time Motor Fault Detection by 1-D Convolutional Neural Networks. IEEE Trans. Ind. Electron. 2016, 63, 7067–7075. [Google Scholar] [CrossRef]
- Napoli, C.D.; Barnard, C.; Prudhomme, C.; Cloke, H.L.; Pappenberger, F. ERA5-HEAT: A global gridded historical dataset of human thermal comfort indices from climate reanalysis. Geosci. Data J. 2021, 8, 2–10. [Google Scholar] [CrossRef]
- Urban, A.; Napoli, C.D.; Cloke, H.L.; Kyselý, J. Evaluation of the ERA5 reanalysis-based Universal Thermal Climate Index on mortality data in Europe. Environ. Res. 2021, 198, 111227. [Google Scholar] [CrossRef]
- He, Y.; Wang, K.; Feng, F. Improvement of ERA5 over ERA-Interim in Simulating Surface Incident Solar Radiation throughout China. J. Clim. 2021, 34, 3853–3867. [Google Scholar] [CrossRef]
- Yang, S.; Li, D.; Chen, L.; Liu, Z.; Huang, X.; Pan, X. The Regularized WSM6 Microphysical Scheme and Its Validation in WRF 4D-Var. Adv. Atmos. Sci. 2023, 40, 483–500. [Google Scholar] [CrossRef]
- Hong, S.; Noh, Y.; Dudhia, J. A New Vertical Diffusion Package with an Explicit Treatment of Entrainment Processes. Mon. Weather Rev. 2006, 134, 2318–2341. [Google Scholar] [CrossRef]
- Beljaars, C.M. The parametrization of surface fluxes in large-scale models under free convection. Q. J. R. Meteorol. Soc. 1995, 121, 255–270. [Google Scholar]
- Mlawer, E.J.; Taubman, S.J.; Brown, P.D.; Iacono, M.J.; Clough, S.A. Radiative transfer for inhomogeneous atmospheres: RRTM, a validated correlated-k model for the longwave. J. Geophys. Res. 1997, 102, 16663–16682. [Google Scholar] [CrossRef]
- Dudhia, J. Numerical Study of Convection Observed during the Winter Monsoon Experiment Using a Mesoscale Two-Dimensional Model. J. Atmos. Sci. 1989, 46, 3077–3107. [Google Scholar] [CrossRef]
- Chen, F.; Dudhia, J. Coupling an Advanced Land Surface–Hydrology Model with the Penn State–NCAR MM5 Modeling System, Part I: Model Implementation and Sensitivity. Mon. Weather Rev. 2001, 129, 569–585. [Google Scholar] [CrossRef]
- Gao, Y.; Leung, L.R.; Zhao, C.; Hagos, S. Sensitivity of U.S. summer precipitation to model resolution and convective parameterizations across gray zone resolutions. J. Geophys. Res. Atmos. 2017, 122, 2714–2733. [Google Scholar] [CrossRef]
- Mellor, G.L.; Yamada, T. Development of a turbulence closure model for geophysical fluid problems. Rev. Geophys. 1982, 20, 851–875. [Google Scholar] [CrossRef]
- Flather, R.A. A tidal model of the north-west European continental shelf. M´emoires de la Soci´et´e Royale des Sciences de Li’ege 1976, 6, 141–164. [Google Scholar]
- Kavzoglu, K. Increasing the accuracy of neural network classification using refined training data. Environ. Model. Softw. 2009, 24, 850–858. [Google Scholar] [CrossRef]
- Brunetti, M.; Vérard, C. How to reduce long-term drift in present-day and deep-time simulations? Clim Dyn. 2018, 50, 4425–4436. [Google Scholar] [CrossRef]
- Wu, Q.; Peng, C. Wind Power Generation Forecasting Using Least Squares Support Vector Machine Combined with Ensemble Empirical Mode Decomposition, Principal Component Analysis and a Bat Algorithm. Energies 2016, 9, 261. [Google Scholar] [CrossRef]









| Laohutan | Zhifudao | Lianyungang | ||||
|---|---|---|---|---|---|---|
| Wind Speed | Wave Height | Wind Speed | Wave Height | Wind Speed | Wave Height | |
| S1 | −1.52 m/s | 0.13 m | −1.19 m/s | 0.08 m | −0.91 m/s | 0.02 m |
| S2 | −1.67 m/s | 0.09 m | −1.53 m/s | 0.09 m | −0.86 m/s | −0.01 m |
| S3 | −1.78 m/s | 0.15 m | −1.76 m/s | 0.13 m | −0.96 m/s | −0.02 m |
| Variable | Applied Test | Laohutan | Zhifudao | Lianyungang | |||
|---|---|---|---|---|---|---|---|
| Wind Speed | Wave Height | Wind Speed | Wave Height | Wind Speed | Wave Height | ||
| T2M * | wind and wave in T2 and T4 | −0.21 | 0.12 | −0.17 | −0.33 | −0.01 | 0.2 |
| SST | wind and wave in T2 and T4 | −0.2 | 0.1 | −0.15 | −0.23 | 0.04 | 0.26 |
| SLP | wave in T2 and T4 | 0.05 | −0.24 | 0.02 | 0.34 | −0.05 | 0.1 |
| RH2M | wind in T2 and T4 | −0.25 | 0.08 | −0.23 | −0.23 | −0.04 | 0.04 |
| HFX | wind in T2 and T4 | 0.24 | −0.01 | 0.31 | 0.7 | 0.28 | 0.26 |
| LH | wind in T2 and T4 | 0.33 | 0.14 | 0.35 | 0.58 | 0.25 | 0.33 |
| OLR | None | −0.15 | −0.09 | −0.12 | −0.22 | −0.09 | 0.09 |
| LWAVEP | wave in T2 and T4 | 0.09 | 0.47 | 0.05 | 0.3 | 0.1 | 0.41 |
| PWAVE | wave in T2 and T4 | 0.06 | 0.41 | −0.01 | 0.22 | 0.07 | 0.38 |
| UST | wind in T2, T3, and T4, wave in T3 | 0.54 | 0.43 | 0.53 | 0.69 | 0.67 | 0.69 |
| PSFC | wave in T2 and T4 | 0.05 | −0.24 | 0.02 | 0.34 | −0.05 | −0.1 |
| GSW | None | 0.001 | −0.03 | −0.07 | −0.1 | −0.08 | −0.06 |
| Wind Speed | wind in T1, T2, T3, T4, and T5, wave in T3 | 0.55 | 0.47 | 0.53 | 0.61 | 0.67 | 0.64 |
| HWAVE | wind in T3, wave in T1, T2, T3, T4, and T5 | 0.49 | 0.72 | 0.51 | 0.73 | 0.65 | 0.8 |
| Laohutan | Zhifudao | Lianyungang | ||||
|---|---|---|---|---|---|---|
| Wind Speed | Wave Height | Wind Speed | Wave Height | Wind Speed | Wave Height | |
| T1 | 2.03 m/s | 0.24 m | 2.20 m/s | 0.38 m | 2.07 m/s | 0.23 m |
| T2 | 2.66 m/s | 1.57 m | 2.56 m/s | 1.58 m | 2.40 m/s | 4.44 m |
| T3 | 2.22 m/s | 0.24 m | 2.20 m/s | 0.32 m | 2.08 m/s | 0.30 m |
| T4 | 2.74 m/s | 0.30 m | 2.77 m/s | 0.49 m | 2.56 m/s | 0.31 m |
| T5 | 1.99 m/s | 0.24 m | 2.20 m/s | 0.39 m | 2.14 m/s | 0.24 m |
| Promotion Value | Algorithm | Laohutan | Zhifudao | Lianyungang | |||
|---|---|---|---|---|---|---|---|
| Wind Speed | Wave Height | Wind Speed | Wave Height | Wind Speed | Wave Height | ||
| 24 h forecasts | MOS | −0.003 | 0.008 | 0.022 | 0.004 | 0.02 | −0.04 |
| BPNN | 0.06 | 0.022 | 0.028 | 0.007 | 0.09 | 0.1 | |
| LSTM | 0.039 | 0.01 | 0.015 | 0.01 | 0.108 | −0.01 | |
| CNN | 0.033 | 0.025 | 0.018 | 0.003 | 0.105 | 0.007 | |
| ENS | −0.007 | −0.01 | −0.04 | −0.02 | 0.08 | −0.03 | |
| 48 h forecasts | MOS | 0.003 | −0.018 | 0.01 | 0 | 0.002 | −0.008 |
| BPNN | 0.05 | −0.012 | 0.03 | 0.008 | 0.05 | 0.012 | |
| LSTM | 0.03 | −0.0006 | 0.0002 | −0.006 | 0.041 | −0.1 | |
| CNN | 0.02 | −0.014 | −0.018 | 0.02 | 0.043 | 0.011 | |
| ENS | −0.02 | −0.04 | −0.04 | −0.06 | 0.005 | −0.048 | |
| 72 h forecasts | MOS | 0.006 | −0.009 | 0.013 | −0.03 | 0 | −0.006 |
| BPNN | 0.06 | 0.016 | 0.025 | 0.008 | 0.04 | 0.009 | |
| LSTM | 0.009 | −0.006 | 0.007 | 0.01 | 0.01 | −0.13 | |
| CNN | −0.005 | 0.014 | 0.014 | 0.02 | 0.03 | 0.006 | |
| ENS | −0.01 | 0 | −0.06 | −0.08 | −0.03 | −0.07 | |
Disclaimer/Publisher’s Note: The statements, opinions and data contained in all publications are solely those of the individual author(s) and contributor(s) and not of MDPI and/or the editor(s). MDPI and/or the editor(s) disclaim responsibility for any injury to people or property resulting from any ideas, methods, instructions or products referred to in the content. |
© 2024 by the authors. Licensee MDPI, Basel, Switzerland. This article is an open access article distributed under the terms and conditions of the Creative Commons Attribution (CC BY) license (https://creativecommons.org/licenses/by/4.0/).
Share and Cite
Zang, T.; Zou, J.; Li, Y.; Qiu, Z.; Wang, B.; Cui, C.; Li, Z.; Hu, T.; Guo, Y. Development and Evaluation of a Short-Term Ensemble Forecasting Model on Sea Surface Wind and Waves across the Bohai and Yellow Sea. Atmosphere 2024, 15, 197. https://doi.org/10.3390/atmos15020197
Zang T, Zou J, Li Y, Qiu Z, Wang B, Cui C, Li Z, Hu T, Guo Y. Development and Evaluation of a Short-Term Ensemble Forecasting Model on Sea Surface Wind and Waves across the Bohai and Yellow Sea. Atmosphere. 2024; 15(2):197. https://doi.org/10.3390/atmos15020197
Chicago/Turabian StyleZang, Tonghui, Jing Zou, Yunzhou Li, Zhijin Qiu, Bo Wang, Chaoran Cui, Zhiqian Li, Tong Hu, and Yanping Guo. 2024. "Development and Evaluation of a Short-Term Ensemble Forecasting Model on Sea Surface Wind and Waves across the Bohai and Yellow Sea" Atmosphere 15, no. 2: 197. https://doi.org/10.3390/atmos15020197
APA StyleZang, T., Zou, J., Li, Y., Qiu, Z., Wang, B., Cui, C., Li, Z., Hu, T., & Guo, Y. (2024). Development and Evaluation of a Short-Term Ensemble Forecasting Model on Sea Surface Wind and Waves across the Bohai and Yellow Sea. Atmosphere, 15(2), 197. https://doi.org/10.3390/atmos15020197

