PM2.5 Concentration Prediction in Six Major Chinese Urban Agglomerations: A Comparative Study of Various Machine Learning Methods Based on Meteorological Data
Abstract
1. Introduction
2. Research Area, Data, and Methods
2.1. Research Area
2.2. Research Data and Description
2.3. Research Methods
2.3.1. Kernel Density Estimation (KDE)
2.3.2. Standard Deviation Ellipse (SDE)
2.3.3. Pearson Correlation Coefficient
2.3.4. Machine Learning Prediction
2.3.5. Machine Learning Model Evaluation
3. Spatiotemporal Characteristics of PM2.5 in Six Major Urban Agglomerations
3.1. Annual Variation in PM2.5 Concentration
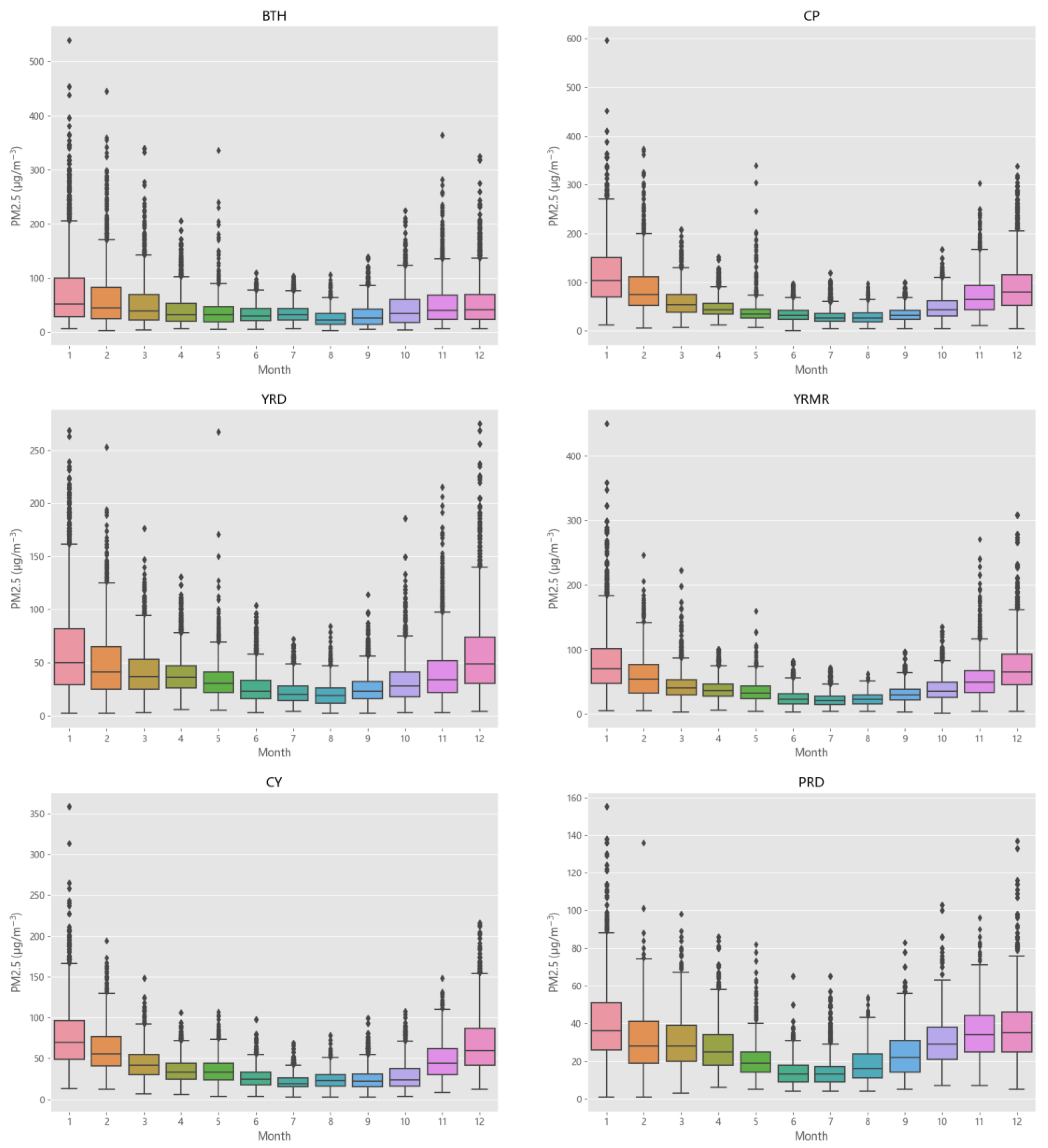
3.2. Monthly Variation in PM2.5 Concentration
3.3. Standard Deviation Ellipse Analysis
4. Relationship between Meteorological Conditions and PM2.5 Concentration
5. PM2.5 Concentration Prediction in China’s Urban Agglomerations Based on Machine Learning Methods
6. Discussion
Author Contributions
Funding
Institutional Review Board Statement
Informed Consent Statement
Data Availability Statement
Acknowledgments
Conflicts of Interest
References
- Yue, H.; He, C.; Huang, Q.; Yin, D.; Bryan, B.A. Stronger Policy Required to Substantially Reduce Deaths from PM2.5 Pollution in China. Nat. Commun. 2020, 11, 1462. [Google Scholar] [CrossRef] [PubMed]
- Wu, X.; Xin, J.; Zhang, X.; Klaus, S.; Wang, Y.; Wang, L.; Wen, T.; Liu, Z.; Si, R.; Liu, G.; et al. A New Approach of the Normalization Relationship between PM2.5 and Visibility and the Theoretical Threshold, a Case in North China. Atmos. Res. 2020, 245, 105054. [Google Scholar] [CrossRef]
- Zhou, L.; Chen, X.; Tian, X. The Impact of Fine Particulate Matter (PM2.5) on China’s Agricultural Production from 2001 to 2010. J. Clean. Prod. 2018, 178, 133–141. [Google Scholar] [CrossRef]
- Burnett, R.; Chen, H.; Szyszkowicz, M.; Fann, N.; Hubbell, B.; Pope, C.A.; Apte, J.S.; Brauer, M.; Cohen, A.; Weichenthal, S.; et al. Global Estimates of Mortality Associated with Long-Term Exposure to Outdoor Fine Particulate Matter. Proc. Natl. Acad. Sci. USA 2018, 115, 9592–9597. [Google Scholar] [CrossRef] [PubMed]
- Shou, Y.; Huang, Y.; Zhu, X.; Liu, C.; Hu, Y.; Wang, H. A Review of the Possible Associations between Ambient PM2.5 Exposures and the Development of Alzheimer’s Disease. Ecotoxicol. Environ. Saf. 2019, 174, 344–352. [Google Scholar] [CrossRef] [PubMed]
- Yang, X.; Jiang, L.; Zhao, W.; Xiong, Q.; Zhao, W.; Yan, X. Comparison of Ground-Based PM2.5 and PM10 Concentrations in China, India, and the U.S. Int. J. Environ. Res. Public Health 2018, 15, 1382. [Google Scholar] [CrossRef]
- Geng, G.; Xiao, Q.; Liu, S.; Liu, X.; Cheng, J.; Zheng, Y.; Xue, T.; Tong, D.; Zheng, B.; Peng, Y.; et al. Tracking Air Pollution in China: Near Real-Time PM 2.5 Retrievals from Multisource Data Fusion. Environ. Sci. Technol. 2021, 55, 12106–12115. [Google Scholar] [CrossRef]
- Huang, C.; Hu, J.; Xue, T.; Xu, H.; Wang, M. High-Resolution Spatiotemporal Modeling for Ambient PM 2.5 Exposure Assessment in China from 2013 to 2019. Environ. Sci. Technol. 2021, 55, 2152–2162. [Google Scholar] [CrossRef]
- Wong, Y.J.; Yeganeh, A.; Chia, M.Y.; Shiu, H.Y.; Ooi, M.C.G.; Chang, J.H.W.; Shimizu, Y.; Ryosuke, H.; Try, S.; Elbeltagi, A. Quantification of COVID-19 Impacts on NO2 and O3: Systematic Model Selection and Hyperparameter Optimization on AI-Based Meteorological-Normalization Methods. Atmos. Environ. 2023, 301, 119677. [Google Scholar] [CrossRef]
- Wong, Y.J.; Shiu, H.-Y.; Chang, J.H.-H.; Ooi, M.C.G.; Li, H.-H.; Homma, R.; Shimizu, Y.; Chiueh, P.-T.; Maneechot, L.; Nik Sulaiman, N.M. Spatiotemporal Impact of COVID-19 on Taiwan Air Quality in the Absence of a Lockdown: Influence of Urban Public Transportation Use and Meteorological Conditions. J. Clean. Prod. 2022, 365, 132893. [Google Scholar] [CrossRef]
- Wu, W.; Zhang, M.; Ding, Y. Exploring the Effect of Economic and Environment Factors on PM2.5 Concentration: A Case Study of the Beijing-Tianjin-Hebei Region. J. Environ. Manag. 2020, 268, 110703. [Google Scholar] [CrossRef] [PubMed]
- Chen, Z.; Chen, D.; Zhao, C.; Kwan, M.; Cai, J.; Zhuang, Y.; Zhao, B.; Wang, X.; Chen, B.; Yang, J.; et al. Influence of Meteorological Conditions on PM2.5 Concentrations across China: A Review of Methodology and Mechanism. Environ. Int. 2020, 139, 105558. [Google Scholar] [CrossRef] [PubMed]
- Qi, L.; Zheng, H.; Ding, D.; Ye, D.; Wang, S. Effects of Meteorology Changes on Inter-Annual Variations of Aerosol Optical Depth and Surface PM2.5 in China—Implications for PM2.5 Remote Sensing. Remote Sens. 2022, 14, 2762. [Google Scholar] [CrossRef]
- Chen, Y.; Fung, J.C.H.; Chen, D.; Shen, J.; Lu, X. Source and Exposure Apportionments of Ambient PM2.5 under Different Synoptic Patterns in the Pearl River Delta Region. Chemosphere 2019, 236, 124266. [Google Scholar] [CrossRef]
- Liu, Y.; Shi, G.; Zhan, Y.; Zhou, L.; Yang, F. Characteristics of PM2.5 Spatial Distribution and Influencing Meteorological Conditions in Sichuan Basin, Southwestern China. Atmos. Environ. 2021, 253, 118364. [Google Scholar] [CrossRef]
- Cheng, Y.; He, K.; Du, Z.; Zheng, M.; Duan, F.; Ma, Y. Humidity Plays an Important Role in the PM2.5 Pollution in Beijing. Environ. Pollut. 2015, 197, 68–75. [Google Scholar] [CrossRef]
- Chen, Z.; Xie, X.; Cai, J.; Chen, D.; Gao, B.; He, B.; Cheng, N.; Xu, B. Understanding Meteorological Influences on PM2.5; Concentrations across China: A Temporal and Spatial Perspective. Atmos. Chem. Phys. 2018, 18, 5343–5358. [Google Scholar] [CrossRef]
- Ouyang, X.; Wei, X.; Li, Y.; Wang, X.-C.; Klemeš, J.J. Impacts of Urban Land Morphology on PM2.5 Concentration in the Urban Agglomerations of China. J. Environ. Manag. 2021, 283, 112000. [Google Scholar] [CrossRef]
- Li, G.; Fang, C.; Wang, S.; Sun, S. The Effect of Economic Growth, Urbanization, and Industrialization on Fine Particulate Matter (PM2.5) Concentrations in China. Environ. Sci. Technol. 2016, 50, 11452–11459. [Google Scholar] [CrossRef]
- Cheng, Z.; Li, L.; Liu, J. Identifying the Spatial Effects and Driving Factors of Urban PM2.5 Pollution in China. Ecol. Indic. 2017, 82, 61–75. [Google Scholar] [CrossRef]
- Yan, D.; Lei, Y.; Shi, Y.; Zhu, Q.; Li, L.; Zhang, Z. Evolution of the Spatiotemporal Pattern of PM2.5 Concentrations in China—A Case Study from the Beijing-Tianjin-Hebei Region. Atmos. Environ. 2018, 183, 225–233. [Google Scholar] [CrossRef]
- Xu, G.; Ren, X.; Xiong, K.; Li, L.; Bi, X.; Wu, Q. Analysis of the Driving Factors of PM2.5 Concentration in the Air: A Case Study of the Yangtze River Delta, China. Ecol. Indic. 2020, 110, 105889. [Google Scholar] [CrossRef]
- Pan, Y.; Zhu, Y.; Jang, J.; Wang, S.; Xing, J.; Chiang, P.-C.; Zhao, X.; You, Z.; Yuan, Y. Source and Sectoral Contribution Analysis of PM2.5 Based on Efficient Response Surface Modeling Technique over Pearl River Delta Region of China. Sci. Total Environ. 2020, 737, 139655. [Google Scholar] [CrossRef]
- Bai, Y.; Zhao, T.; Hu, W.; Zhou, Y.; Xiong, J.; Wang, Y.; Liu, L.; Shen, L.; Kong, S.; Meng, K.; et al. Meteorological Mechanism of Regional PM2.5 Transport Building a Receptor Region for Heavy Air Pollution over Central China. Sci. Total Environ. 2022, 808, 151951. [Google Scholar] [CrossRef] [PubMed]
- Liu, X.; Zhao, C.; Shen, X.; Jin, T. Spatiotemporal Variations and Sources of PM2.5 in the Central Plains Urban Agglomeration, China. Air Qual. Atmos. Health 2022, 15, 1507–1521. [Google Scholar] [CrossRef]
- Cai, K.; Zhang, Q.; Li, S.; Li, Y.; Ge, W. Spatial–Temporal Variations in NO2 and PM2.5 over the Chengdu–Chongqing Economic Zone in China during 2005–2015 Based on Satellite Remote Sensing. Sensors 2018, 18, 3950. [Google Scholar] [CrossRef]
- Li, Z.; Zhang, X.; Liu, X.; Yu, B. PM2.5 Pollution in Six Major Chinese Urban Agglomerations: Spatiotemporal Variations, Health Impacts, and the Relationships with Meteorological Conditions. Atmosphere 2022, 13, 1696. [Google Scholar] [CrossRef]
- Luo, H.; Han, Y.; Cheng, X.; Lu, C.; Wu, Y. Spatiotemporal Variations in Particulate Matter and Air Quality over China: National, Regional and Urban Scales. Atmosphere 2020, 12, 43. [Google Scholar] [CrossRef]
- Chen, L.; Zhu, J.; Liao, H.; Yang, Y.; Yue, X. Meteorological Influences on PM2.5 and O3 Trends and Associated Health Burden since China’s Clean Air Actions. Sci. Total Environ. 2020, 744, 140837. [Google Scholar] [CrossRef]
- Chen, Z.; Cai, J.; Gao, B.; Xu, B.; Dai, S.; He, B.; Xie, X. Detecting the Causality Influence of Individual Meteorological Factors on Local PM2.5 Concentration in the Jing-Jin-Ji Region. Sci. Rep. 2017, 7, 40735. [Google Scholar] [CrossRef]
- Karimian, H.; Li, Q.; Wu, C.; Qi, Y.; Mo, Y.; Chen, G.; Zhang, X.; Sachdeva, S. Evaluation of Different Machine Learning Approaches to Forecasting PM2.5 Mass Concentrations. Aerosol Air Qual. Res. 2019, 19, 1400–1410. [Google Scholar] [CrossRef]
- Tian, H.; Zhao, Y.; Luo, M.; He, Q.; Han, Y.; Zeng, Z. Estimating PM2.5 from Multisource Data: A Comparison of Different Machine Learning Models in the Pearl River Delta of China. Urban Clim. 2021, 35, 100740. [Google Scholar] [CrossRef]
- Zhou, Y.; Chang, F.-J.; Chang, L.-C.; Kao, I.-F.; Wang, Y.-S.; Kang, C.-C. Multi-Output Support Vector Machine for Regional Multi-Step-Ahead PM2.5 Forecasting. Sci. Total Environ. 2019, 651, 230–240. [Google Scholar] [CrossRef] [PubMed]
- He, W.; Meng, H.; Han, J.; Zhou, G.; Zheng, H.; Zhang, S. Spatiotemporal PM2.5 Estimations in China from 2015 to 2020 Using an Improved Gradient Boosting Decision Tree. Chemosphere 2022, 296, 134003. [Google Scholar] [CrossRef] [PubMed]
- Zhao, C.; Wang, Q.; Ban, J.; Liu, Z.; Zhang, Y.; Ma, R.; Li, S.; Li, T. Estimating the Daily PM2.5 Concentration in the Beijing-Tianjin-Hebei Region Using a Random Forest Model with a 0.01° × 0.01° Spatial Resolution. Environ. Int. 2020, 134, 105297. [Google Scholar] [CrossRef] [PubMed]
- Pan, B. Application of XGBoost Algorithm in Hourly PM2.5 Concentration Prediction. IOP Conf. Ser. Earth Environ. Sci. 2018, 113, 012127. [Google Scholar] [CrossRef]
- He, Z.; Guo, Q.; Wang, Z.; Li, X. Prediction of Monthly PM2.5 Concentration in Liaocheng in China Employing Artificial Neural Network. Atmosphere 2022, 13, 1221. [Google Scholar] [CrossRef]
- Chen, G.; Li, S.; Knibbs, L.D.; Hamm, N.A.S.; Cao, W.; Li, T.; Guo, J.; Ren, H.; Abramson, M.J.; Guo, Y. A Machine Learning Method to Estimate PM2.5 Concentrations across China with Remote Sensing, Meteorological and Land Use Information. Sci. Total Environ. 2018, 636, 52–60. [Google Scholar] [CrossRef]
- Wang, M.; Wang, Y.; Teng, F.; Li, S.; Lin, Y.; Cai, H. Estimation and Analysis of PM2.5 Concentrations with NPP-VIIRS Nighttime Light Images: A Case Study in the Chang-Zhu-Tan Urban Agglomeration of China. Int. J. Environ. Res. Public Health 2022, 19, 4306. [Google Scholar] [CrossRef]
- Chen, W.; Ran, H.; Cao, X.; Wang, J.; Teng, D.; Chen, J.; Zheng, X. Estimating PM2.5 with High-Resolution 1-Km AOD Data and an Improved Machine Learning Model over Shenzhen, China. Sci. Total Environ. 2020, 746, 141093. [Google Scholar] [CrossRef]
- Shen, Y.; Zhang, L.; Fang, X.; Ji, H.; Li, X.; Zhao, Z. Spatiotemporal Patterns of Recent PM2.5 Concentrations over Typical Urban Agglomerations in China. Sci. Total Environ. 2019, 655, 13–26. [Google Scholar] [CrossRef] [PubMed]
- Zamani Joharestani, M.; Cao, C.; Ni, X.; Bashir, B.; Talebiesfandarani, S. PM2.5 Prediction Based on Random Forest, XGBoost, and Deep Learning Using Multisource Remote Sensing Data. Atmosphere 2019, 10, 373. [Google Scholar] [CrossRef]
- Tai, A.P.K.; Mickley, L.J.; Jacob, D.J. Correlations between Fine Particulate Matter (PM2.5) and Meteorological Variables in the United States: Implications for the Sensitivity of PM2.5 to Climate Change. Atmos. Environ. 2010, 44, 3976–3984. [Google Scholar] [CrossRef]
- Zhao, D.; Chen, H.; Yu, E.; Luo, T. PM2.5/PM10 Ratios in Eight Economic Regions and Their Relationship with Meteorology in China. Adv. Meteorol. 2019, 2019, 1–15. [Google Scholar] [CrossRef]
- Ma, J.; Yu, Z.; Qu, Y.; Xu, J.; Cao, Y. Application of the XGBoost Machine Learning Method in PM2.5 Prediction: A Case Study of Shanghai. Aerosol Air Qual. Res. 2020, 20, 128–138. [Google Scholar] [CrossRef]
- Danesh Yazdi, M.; Kuang, Z.; Dimakopoulou, K.; Barratt, B.; Suel, E.; Amini, H.; Lyapustin, A.; Katsouyanni, K.; Schwartz, J. Predicting Fine Particulate Matter (PM2.5) in the Greater London Area: An Ensemble Approach Using Machine Learning Methods. Remote Sens. 2020, 12, 914. [Google Scholar] [CrossRef]
- Kumar, V.; Sahu, M. Evaluation of Nine Machine Learning Regression Algorithms for Calibration of Low-Cost PM2.5 Sensor. J. Aerosol Sci. 2021, 157, 105809. [Google Scholar] [CrossRef]
- Masood, A.; Ahmad, K. A Model for Particulate Matter (PM2.5) Prediction for Delhi Based on Machine Learning Approaches. Procedia Comput. Sci. 2020, 167, 2101–2110. [Google Scholar] [CrossRef]
- Feng, X.; Li, Q.; Zhu, Y.; Hou, J.; Jin, L.; Wang, J. Artificial Neural Networks Forecasting of PM2.5 Pollution Using Air Mass Trajectory Based Geographic Model and Wavelet Transformation. Atmos. Environ. 2015, 107, 118–128. [Google Scholar] [CrossRef]
- Ou, C.; Li, F.; Zhang, J.; Hu, Y.; Chen, X.; Kong, S.; Guo, J.; Zhou, Y. Multiple Driving Factors and Hierarchical Management of PM2.5: Evidence from Chinese Central Urban Agglomerations Using Machine Learning Model and GTWR. Urban Clim. 2022, 46, 101327. [Google Scholar] [CrossRef]
- Cai, S.; Ma, Q.; Wang, S.; Zhao, B.; Brauer, M.; Cohen, A.; Martin, R.V.; Zhang, Q.; Li, Q.; Wang, Y.; et al. Impact of Air Pollution Control Policies on Future PM2.5 Concentrations and Their Source Contributions in China. J. Environ. Manag. 2018, 227, 124–133. [Google Scholar] [CrossRef] [PubMed]
- Wang, S.; Sun, P.; Sun, F.; Jiang, S.; Zhang, Z.; Wei, G. The Direct and Spillover Effect of Multi-Dimensional Urbanization on PM2.5 Concentrations: A Case Study from the Chengdu-Chongqing Urban Agglomeration in China. Int. J. Environ. Res. Public Health 2021, 18, 10609. [Google Scholar] [CrossRef] [PubMed]
- Chen, Z.; Chen, D.; Wen, W.; Zhuang, Y.; Kwan, M.-P.; Chen, B.; Zhao, B.; Yang, L.; Gao, B.; Li, R.; et al. Evaluating the “2 + 26” Regional Strategy for Air Quality Improvement during Two Air Pollution Alerts in Beijing: Variations in PM2.5; Concentrations, Source Apportionment, and the Relative Contribution of Local Emission and Regional Transport. Atmos. Chem. Phys. 2019, 19, 6879–6891. [Google Scholar] [CrossRef]
- Zhao, X.; Sun, Y.; Zhao, C.; Jiang, H. Impact of Precipitation with Different Intensity on PM2.5 over Typical Regions of China. Atmosphere 2020, 11, 906. [Google Scholar] [CrossRef]
- Shan, Y.; Wang, X.; Wang, Z.; Liang, L.; Li, J.; Sun, J. The Pattern and Mechanism of Air Pollution in Developed Coastal Areas of China: From the Perspective of Urban Agglomeration. PLoS ONE 2020, 15, e0237863. [Google Scholar] [CrossRef]







| Variables | Symbol | Unit | Period | Source |
|---|---|---|---|---|
| PM2.5 concentration | PM2.5 | µg/m−3 | January 2017–December 2020 | China National Environmental Monitoring Center |
| Air temperature | T | °C | January 2017–December 2020 | National Climatic Data Center |
| Atmospheric pressure | P | hPa | ||
| Dew temperature | TD | °C | ||
| Wind speed | WS | m/s | ||
| Precipitation | Pre | mm |
| BTH-UA | CP-UA | YRD-UA | YRMR-UA | CY-UA | PRD-UA | Mean-ML | |
|---|---|---|---|---|---|---|---|
| XGBT | 35.3 | 35.2 | 21.9 | 25.1 | 23.1 | 14.2 | 25.8 |
| KNN | 36.0 | 36.4 | 23.0 | 26.2 | 24.3 | 14.1 | 26.7 |
| LR | 38.6 | 37.0 | 23.3 | 26.3 | 24.6 | 14.6 | 27.4 |
| RF | 36.8 | 36.4 | 22.9 | 26.1 | 24.2 | 14.3 | 26.8 |
| DT | 46.5 | 47.6 | 30.8 | 36.0 | 30.7 | 18.7 | 35.0 |
| SVM | 40.4 | 38.4 | 24.1 | 27.0 | 25.2 | 15.0 | 28.4 |
| GBDT | 34.5 | 34.2 | 21.8 | 24.9 | 23.0 | 13.4 | 25.3 |
| MLP | 34.0 | 33.7 | 21.7 | 24.7 | 22.4 | 13.3 | 24.9 |
| Mean-UA | 37.8 | 37.4 | 23.7 | 27.0 | 24.7 | 14.7 | 27.5 |
| BTH-UA | CP-UA | YRD-UA | YRMR-UA | CY-UA | PRD-UA | Mean-ML | |
|---|---|---|---|---|---|---|---|
| XGBT | 34.3 | 33.8 | 22.0 | 26.3 | 23.3 | 14.6 | 25.7 |
| KNN | 35.3 | 35.3 | 23.2 | 27.4 | 24.0 | 14.8 | 26.7 |
| LR | 38.3 | 36.1 | 23.3 | 27.3 | 24.6 | 15.3 | 27.5 |
| RF | 35.5 | 35.2 | 23.3 | 27.3 | 24.3 | 14.9 | 26.8 |
| DT | 47.7 | 46.7 | 30.4 | 36.5 | 31.8 | 19.9 | 35.5 |
| SVM | 40.4 | 37.4 | 24.1 | 27.9 | 25.2 | 15.7 | 28.4 |
| GBDT | 33.8 | 33.1 | 21.8 | 25.7 | 22.9 | 14.1 | 25.2 |
| MLP | 33.4 | 32.9 | 21.7 | 25.6 | 22.3 | 13.9 | 25.0 |
| Mean-UA | 37.3 | 36.3 | 23.7 | 28.0 | 24.8 | 15.4 | 27.6 |
Disclaimer/Publisher’s Note: The statements, opinions and data contained in all publications are solely those of the individual author(s) and contributor(s) and not of MDPI and/or the editor(s). MDPI and/or the editor(s) disclaim responsibility for any injury to people or property resulting from any ideas, methods, instructions or products referred to in the content. |
© 2023 by the authors. Licensee MDPI, Basel, Switzerland. This article is an open access article distributed under the terms and conditions of the Creative Commons Attribution (CC BY) license (https://creativecommons.org/licenses/by/4.0/).
Share and Cite
Duan, M.; Sun, Y.; Zhang, B.; Chen, C.; Tan, T.; Zhu, Y. PM2.5 Concentration Prediction in Six Major Chinese Urban Agglomerations: A Comparative Study of Various Machine Learning Methods Based on Meteorological Data. Atmosphere 2023, 14, 903. https://doi.org/10.3390/atmos14050903
Duan M, Sun Y, Zhang B, Chen C, Tan T, Zhu Y. PM2.5 Concentration Prediction in Six Major Chinese Urban Agglomerations: A Comparative Study of Various Machine Learning Methods Based on Meteorological Data. Atmosphere. 2023; 14(5):903. https://doi.org/10.3390/atmos14050903
Chicago/Turabian StyleDuan, Min, Yufan Sun, Binzhe Zhang, Chi Chen, Tao Tan, and Yihua Zhu. 2023. "PM2.5 Concentration Prediction in Six Major Chinese Urban Agglomerations: A Comparative Study of Various Machine Learning Methods Based on Meteorological Data" Atmosphere 14, no. 5: 903. https://doi.org/10.3390/atmos14050903
APA StyleDuan, M., Sun, Y., Zhang, B., Chen, C., Tan, T., & Zhu, Y. (2023). PM2.5 Concentration Prediction in Six Major Chinese Urban Agglomerations: A Comparative Study of Various Machine Learning Methods Based on Meteorological Data. Atmosphere, 14(5), 903. https://doi.org/10.3390/atmos14050903
