Peculiarities of the Vertical Structure of Atmospheric Aerosol Fields in the Basin of Lake Baikal According to Lidar Observations
Abstract
1. Introduction
2. Equipment and Place of the Experiment
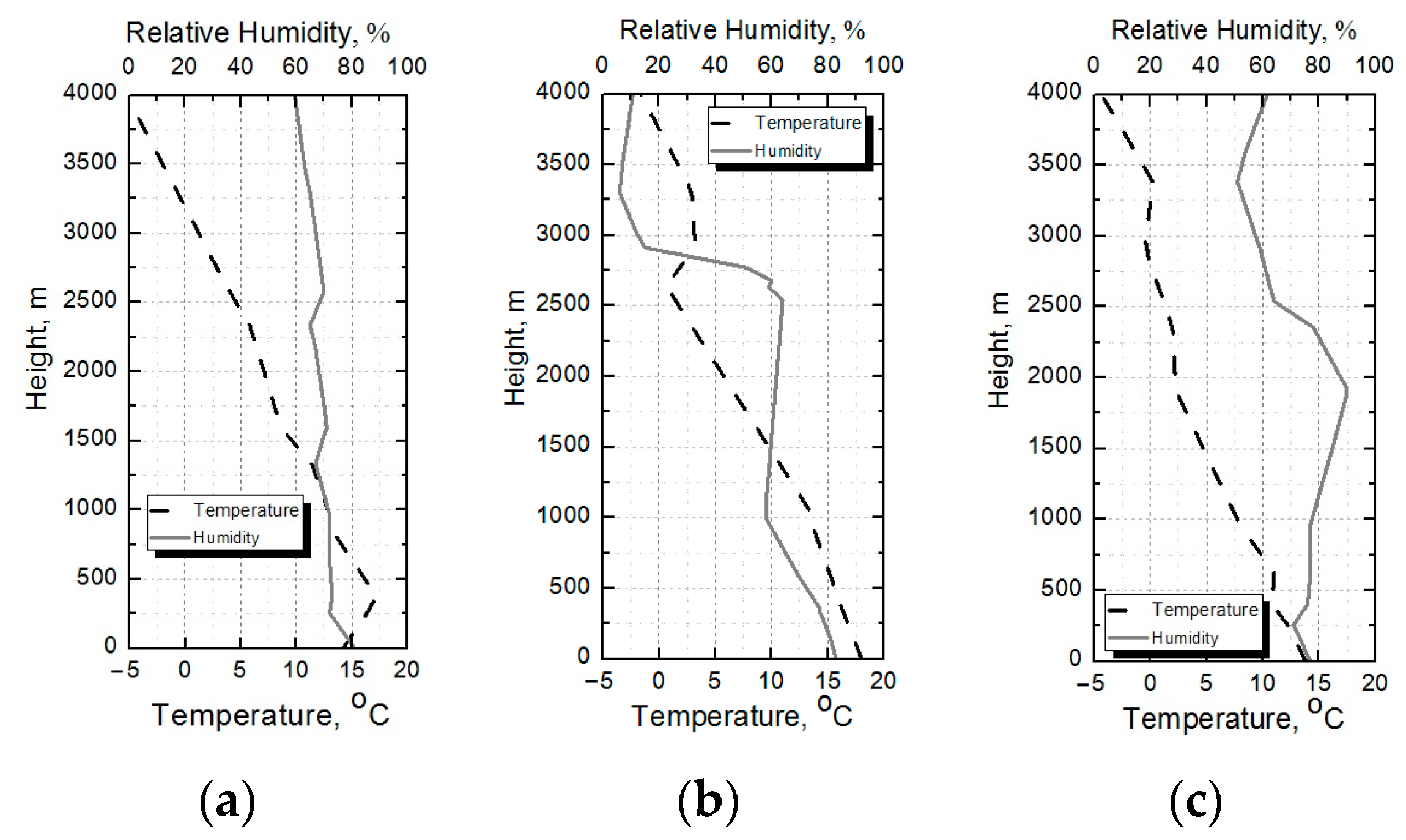
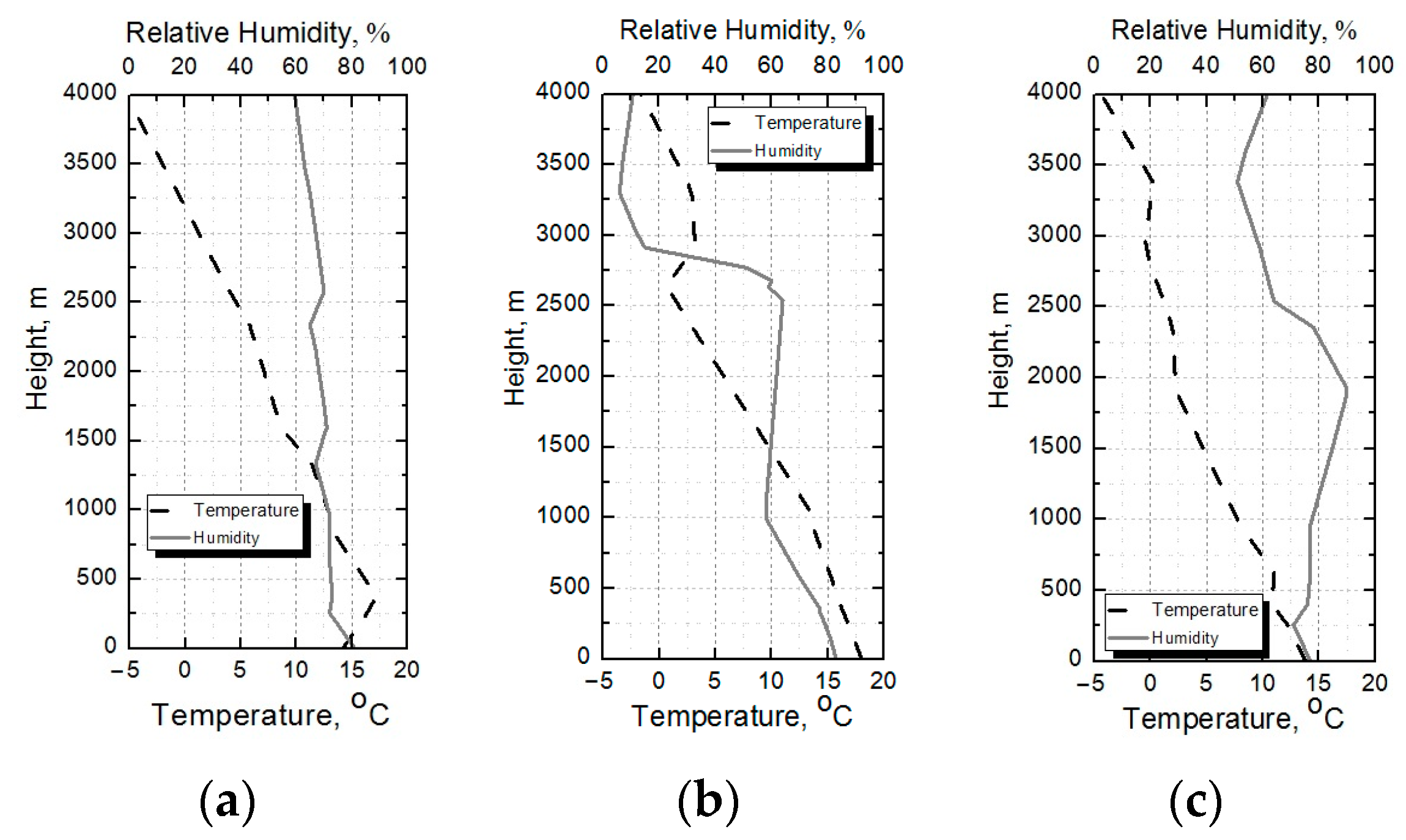
3. Results and Discussion
4. Conclusions
Author Contributions
Funding
Institutional Review Board Statement
Informed Consent Statement
Data Availability Statement
Conflicts of Interest
References
- UNESCO World Heritage Convention. Available online: https://whc.unesco.org/ru/list/754 (accessed on 17 February 2023).
- Banakh, V.A.; Smalikho, I.N. Lidar observations of atmospheric internal waves in the boundary layer of the atmosphere on the coast of Lake Baikal. Atmos. Meas. Tech. 2016, 9, 5239–5248. [Google Scholar] [CrossRef]
- Banakh, V.A.; Smalikho, I.N.; Falits, A.V. Wind-temperature regime and wind turbulence in a stable boundary layer of the atmosphere: Case study. Remote Sens. 2020, 12, 955. [Google Scholar] [CrossRef]
- Zayakhanov, A.S.; Zhamsueva, G.S.; Sungrapova, I.P.; Tsydypov, V.V. Features of diurnal variability of ultrafine aerosol in the air of the Baikal coastal zone and arid zone of Mongolia. Atmos. Ocean. Opt. 2018, 31, 257–262. [Google Scholar] [CrossRef]
- Golobokova, L.P.; Khodzher, T.V.; Obolkin, V.A.; Potemkin, V.L.; Khuriganova, O.I.; Onischuk, N.A. Aerosol in the atmosphere of the Baikal region: History and contemporary researches. Limnol. Freshw. Biol. 2018, 1, 49–57. [Google Scholar] [CrossRef]
- Khodzher, T.V.; Zhamsueva, G.S.; Zayakhanov, A.S.; Dement’eva, A.L.; Tsydypov, V.V.; Balin, Y.S.; Penner, I.E.; Kokhanenko, G.P.; Nasonov, S.V.; Klemasheva, M.G.; et al. Ship-Based Studies of Aerosol-Gas Admixtures over Lake Baikal Basin in Summer 2018. Atmos. Ocean. Opt. 2019, 32, 434–441. [Google Scholar] [CrossRef]
- Popovicheva, O.; Molozhnikova, E.; Nasonov, S.; Potemkin, V.; Penner, I.; Klemasheva, M.; Marinaite, I.; Golobokova, L.; Vratolis, S.; Eleftheriadis, K.; et al. Industrial and wildfire aerosol pollution over world heritage Lake Baikal. J. Environ. Sci. 2021, 107, 49–64. [Google Scholar] [CrossRef] [PubMed]
- Balin, Y.S.; Bairashin, G.S.; Kokhanenko, G.P.; Penner, I.E.; Samoilova, S.V. LOSA-M2 aerosol Raman lidar. Quantum Electron. 2011, 41, 945–949. [Google Scholar] [CrossRef]
- Plakhina, I.N.; Makhotkina, E.L.; Pankratova, N.V. Variations in the atmospheric aerosol optical depth from the data obtained at the Russian actinometric network in 1976–2006. Izv. Atmos. Ocean. Phys. 2009, 45, 456–466. [Google Scholar] [CrossRef]
- Tashchilin, M.A.; Yakovleva, I.P.; Sakerin, S.M. Spatio-temporal variations of the aerosol optical depth in the Baikal region. Sovr. Probl. DZZ Kosm. 2021, 18, 219–226. (In Russian) [Google Scholar] [CrossRef]
- Arctic and Antarctic Research Institute. Available online: http://old.aari.ru/odata/_d0010.php (accessed on 20 February 2023).
- Draxler, R.R.; Rolph, G.D. HYbridSingle-Particle Lagrangian Integrated Trajectory) Model (Dataset). Available online: http://www.arl.noaa.gov/ready/hysplit4.html (accessed on 24 January 2023).
- University of Wyoming. Available online: http://weather.uwyo.edu/upperair/sounding.html (accessed on 25 January 2023).
- Arshinov, M.Y.; Belan, B.D.; Ivlev, G.A.; Rasskazchikova, T.M. Spatiotemporal characteristics of air circulation in the hollow of Lake Baikal. Atmos. Ocean. Opt. 2001, 14, 263–266. (In Russian) [Google Scholar]
- Zuev, V.E. Signals and noise in laser ranging. J. Sov. Laser Res. 1987, 8, 283–426. [Google Scholar] [CrossRef]






Disclaimer/Publisher’s Note: The statements, opinions and data contained in all publications are solely those of the individual author(s) and contributor(s) and not of MDPI and/or the editor(s). MDPI and/or the editor(s) disclaim responsibility for any injury to people or property resulting from any ideas, methods, instructions or products referred to in the content. |
© 2023 by the authors. Licensee MDPI, Basel, Switzerland. This article is an open access article distributed under the terms and conditions of the Creative Commons Attribution (CC BY) license (https://creativecommons.org/licenses/by/4.0/).
Share and Cite
Nasonov, S.; Balin, Y.; Klemasheva, M.; Kokhanenko, G.; Novoselov, M.; Penner, I. Peculiarities of the Vertical Structure of Atmospheric Aerosol Fields in the Basin of Lake Baikal According to Lidar Observations. Atmosphere 2023, 14, 837. https://doi.org/10.3390/atmos14050837
Nasonov S, Balin Y, Klemasheva M, Kokhanenko G, Novoselov M, Penner I. Peculiarities of the Vertical Structure of Atmospheric Aerosol Fields in the Basin of Lake Baikal According to Lidar Observations. Atmosphere. 2023; 14(5):837. https://doi.org/10.3390/atmos14050837
Chicago/Turabian StyleNasonov, Sergei, Yurii Balin, Marina Klemasheva, Grigorii Kokhanenko, Mikhail Novoselov, and Ioganes Penner. 2023. "Peculiarities of the Vertical Structure of Atmospheric Aerosol Fields in the Basin of Lake Baikal According to Lidar Observations" Atmosphere 14, no. 5: 837. https://doi.org/10.3390/atmos14050837
APA StyleNasonov, S., Balin, Y., Klemasheva, M., Kokhanenko, G., Novoselov, M., & Penner, I. (2023). Peculiarities of the Vertical Structure of Atmospheric Aerosol Fields in the Basin of Lake Baikal According to Lidar Observations. Atmosphere, 14(5), 837. https://doi.org/10.3390/atmos14050837
