Impact of NOx and NH3 Emission Reduction on Particulate Matter across Po Valley: A LIFE-IP-PREPAIR Study
Abstract
1. Introduction
- To perform a multi-model sensitivity assessment of PM2.5 concentrations to the inorganic precursor (NOx and NH3);
- To investigate spatial and temporal variabilities of the chemical regimes over the Po Valley by considering two seasons, October–March and April–September (including the transition periods that are disregarded in [31,32]). The choice of the two periods follows the time cycle of the regional air quality plans, which impose structural and emergency measures for the period from October to March;
- To analyse the non-linear response of the atmosphere considering different levels of emission reduction.
2. Materials and Methods
2.1. Chemical Transport Models
- PieAMS and SMAL-LO make use of the vertical turbulence coefficients as implemented in the Random Displacement Method [60,61]. Horizontal diffusion coefficients are computed following the formulation of Smagorinsky [62] coefficients depending on the local stability class and the wind speed. Horizontal advection–diffusion operators are solved using the method by Yamartino [63], while the numerical integration of the vertical diffusion equation follows Yamartino et al. [64];
- SPIAIR accounts for vertical turbulent mixing by means of vertical diffusion coefficients [65]. Horizontal diffusion coefficients are determined within CAMx using a deformation approach based on the methods of Smagorinsky [62]. Horizontal advection is solved using the area preserving flux-form advection solver of Bott [66].
| NINFA-ER | PieAMS | SMAL-LO | SPIAIR | |
|---|---|---|---|---|
| CTM | CHIMERE2017 r4v1 | FARM v4.13 | FARM v4.13 | CAMx v6.5 | 
| Operator | Arpae Emilia-Romagna | ARPA Piemonte | ARPA Lombardia | ARPA Veneto | 
| Vertical layers | 9 levels up to 5800 m a.s.l. | 16 levels up to 7500 m a.s.l. | 16 levels up to 7979 m a.s.l. | 11 levels up to 6000 m a.s.l. | 
| Depth of the first vertical layer | ~25 m | 10 m | 20 m | 20 m | 
| Horizontal extension | Lon: 6.25–14.37° Lat: 43.1–47.35° | Lon: 6.25–14.37° Lat: 43.1–47.35° | Lon: ~6.0–16.7° Lat: ~43.4–47.2° | Lon: ~6.5–14.1° Lat: ~ 43.6–47.1° | 
| Horizontal resolution | Lon: 0.07° Lat: 0.05° | Lon: 0.07° Lat: 0.05° | Lon: ~0.05° Lat: ~0.04° | Lon: ~0.05° Lat: ~0.04° | 
| Meteorological driver | COSMO-5M model levels | COSMO-5M model levels | WRF-ARW | COSMO-5M pressure levels (from 1000 hPa to 300 hPa) and surface level (10 m) | 
| Chemical boundary conditions | PREV’AIR | PREV’AIR | QualeAria forecast system | PREV’AIR | 
| Advection scheme | Second-order van Leer scheme [59] | Finite elements method based on Blackman cubic polynomials [63] | Finite elements method based on Blackman cubic polynomials [63] | Horizontal advection uses input horizontal winds fields and is solved using the area preserving flux-form advection solver of Bott [66] | 
| Vertical diffusion | Vertical diffusion coefficient (Kz) approach following Troen and Mahrt [58] | Vertical diffusion coefficient (Kz) approach following RDM model [60,61]. Hybrid semi-implicit/fully implicit scheme [64]. | Vertical diffusion coefficient (Kz) approach following RDM model [60,61]. Hybrid semi-implicit/fully implicit scheme [64]. | Kz approach, with vertical eddy diffusivity taken from CMAQ [65] | 
| Gas-phase chemistry | MELCHIOR2 | SAPRC-99_POPS-Hg | SAPRC-99_POPS-Hg | CB05 | 
| Aerosol model | 10 bins (10 nm–40 µm) | AERO3_NEW [48] | AERO0 [49] | Coarse/Fine (CF) | 
| Ammonium nitrate equilibrium | ISORROPIA II [67] | ISORROPIA II [68] | ISORROPIA II [68] | ISORROPIA [67] | 
| SOA formation | Single-step oxidation scheme | SORGAM [69] | SORGAM [69] | SOAP [70] | 
2.2. Emission Inventory and Temporal Modulations
2.3. Emission Scenarios
2.4. Indicators
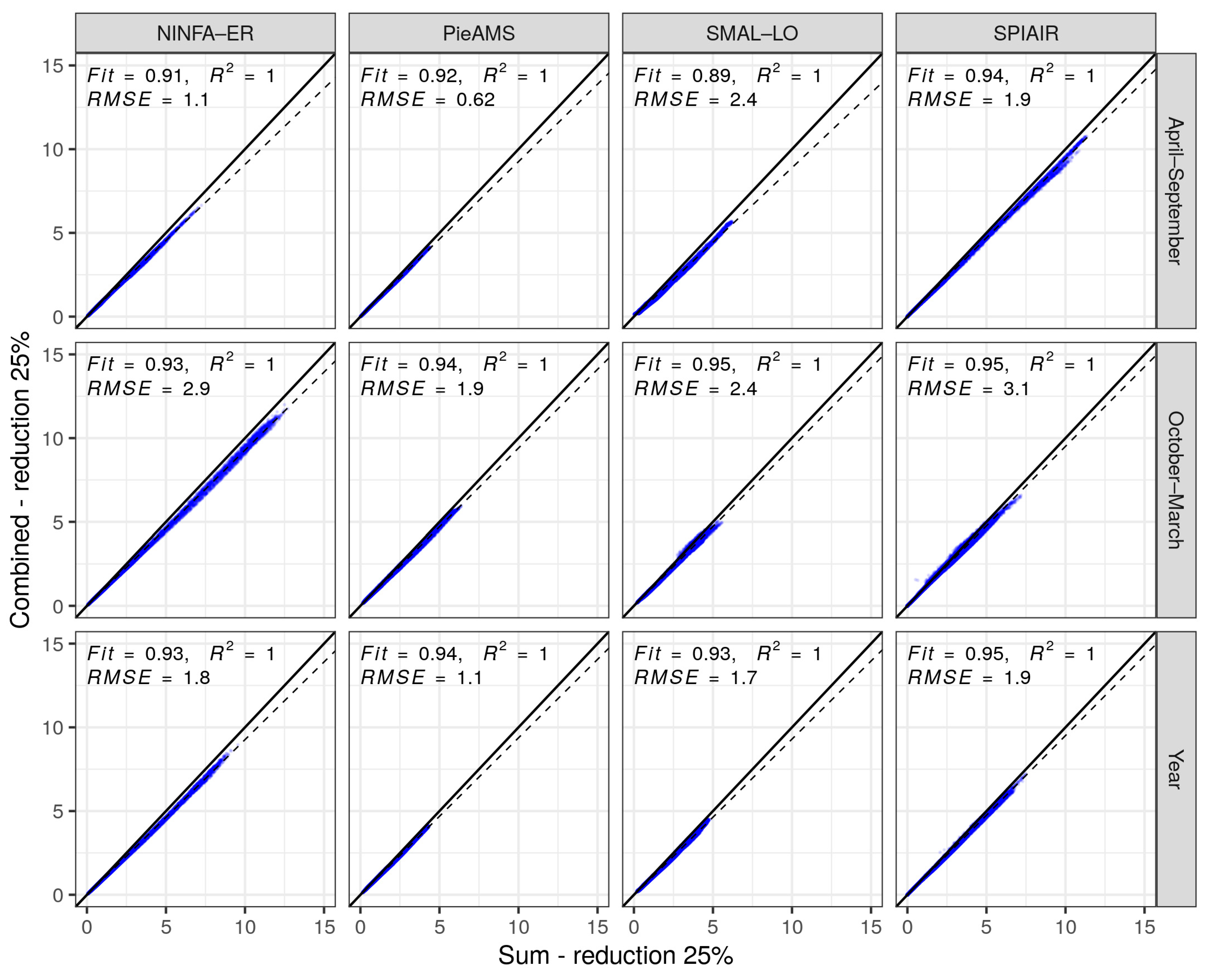
- − Consistency, i.e., the variation in PI across the range of emission reductions;
- − Additivity, i.e., the difference between the sum of the PI of each precursor and the PI resulting from the simultaneous reduction in all precursors.
3. Results
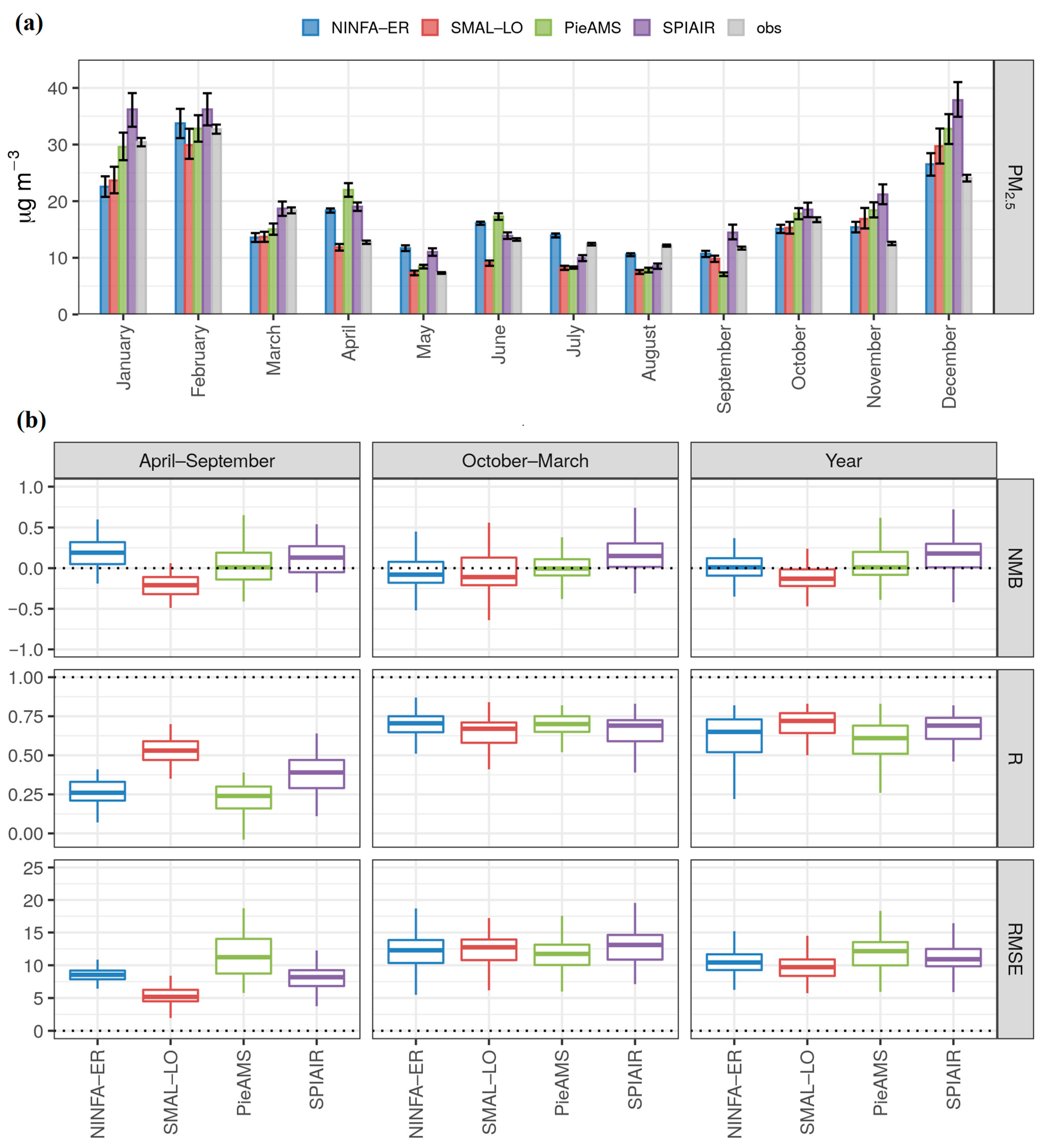
3.1. Base Case Concentrations and Model Validation
3.2. Potential Impacts (PI) of Precursor Reduction
3.3. Analysis of Non-Linearities
4. Discussion and Conclusions
Supplementary Materials
Author Contributions
Funding
Institutional Review Board Statement
Informed Consent Statement
Data Availability Statement
Acknowledgments
Conflicts of Interest
References
- Kim, K.-H.; Kabir, E.; Kabir, S. A Review on the Human Health Impact of Airborne Particulate Matter. Environ. Int. 2015, 74, 136–143. [Google Scholar] [CrossRef]
- Anderson, J.O.; Thundiyil, J.G.; Stolbach, A. Clearing the Air: A Review of the Effects of Particulate Matter Air Pollution on Human Health. J. Med. Toxicol. 2012, 8, 166–175. [Google Scholar] [CrossRef] [PubMed]
- Alemayehu, Y.A.; Asfaw, S.L.; Terfie, T.A. Exposure to Urban Particulate Matter and Its Association with Human Health Risks. Environ. Sci. Pollut. Res. 2020, 27, 27491–27506. [Google Scholar] [CrossRef] [PubMed]
- Loomis, D.; Grosse, Y.; Lauby-Secretan, B.; El Ghissassi, F.; Bouvard, V.; Benbrahim-Tallaa, L.; Guha, N.; Baan, R.; Mattock, H.; Straif, K.; et al. The Carcinogenicity of Outdoor Air Pollution. Lancet Oncol. 2013, 14, 1262–1263. [Google Scholar] [CrossRef]
- West, J.J.; Cohen, A.; Dentener, F.; Brunekreef, B.; Zhu, T.; Armstrong, B.; Bell, M.L.; Brauer, M.; Carmichael, G.; Costa, D.L.; et al. What We Breathe Impacts Our Health: Improving Understanding of the Link between Air Pollution and Health. Environ. Sci. Technol. 2016, 50, 4895–4904. [Google Scholar] [CrossRef] [PubMed]
- Du, Y.; Xu, X.; Chu, M.; Guo, Y.; Wang, J. Air Particulate Matter and Cardiovascular Disease: The Epidemiological, Biomedical and Clinical Evidence. J. Thorac. Dis. 2016, 8, E8–E19. [Google Scholar] [CrossRef]
- Fiordelisi, A.; Piscitelli, P.; Trimarco, B.; Coscioni, E.; Iaccarino, G.; Sorriento, D. The Mechanisms of Air Pollution and Particulate Matter in Cardiovascular Diseases. Heart Fail. Rev. 2017, 22, 337–347. [Google Scholar] [CrossRef]
- Kim, H.; Kim, W.-H.; Kim, Y.-Y.; Park, H.-Y. Air Pollution and Central Nervous System Disease: A Review of the Impact of Fine Particulate Matter on Neurological Disorders. Front. Public Health 2020, 8, 575330. [Google Scholar] [CrossRef]
- Hamra, G.B.; Guha, N.; Cohen, A.; Laden, F.; Raaschou-Nielsen, O.; Samet, J.M.; Vineis, P.; Forastiere, F.; Saldiva, P.; Yorifuji, T.; et al. Outdoor Particulate Matter Exposure and Lung Cancer: A Systematic Review and Meta-Analysis. Environ. Health Perspect. 2014, 122, 906–911. [Google Scholar] [CrossRef]
- Wei, Y.; Wang, Y.; Di, Q.; Choirat, C.; Wang, Y.; Koutrakis, P.; Zanobetti, A.; Dominici, F.; Schwartz, J.D. Short Term Exposure to Fine Particulate Matter and Hospital Admission Risks and Costs in the Medicare Population: Time Stratified, Case Crossover Study. BMJ 2019, 367, l6258. [Google Scholar] [CrossRef]
- Pearson, J.F.; Bachireddy, C.; Shyamprasad, S.; Goldfine, A.B.; Brownstein, J.S. Association Between Fine Particulate Matter and Diabetes Prevalence in the U.S. Diabetes Care 2010, 33, 2196–2201. [Google Scholar] [CrossRef]
- Chen, H.; Burnett, R.T.; Kwong, J.C.; Villeneuve, P.; Goldberg, M.S.; Brook, R.D.; Van Donkelaar, A.; Jerrett, M.; Martin, R.; Brook, J.R.; et al. Risk of Incident Diabetes in Relation to Long-Term Exposure to Fine Particulate Matter in Ontario, Canada. Environ. Health Perspect. 2013, 121, 804–810. [Google Scholar] [CrossRef]
- O’Piela, D.R.; Durisek, G.R.; Escobar, Y.-N.H.; Mackos, A.R.; Wold, L.E. Particulate Matter and Alzheimer’s Disease: An Intimate Connection. Trends Mol. Med. 2022, 28, 770–780. [Google Scholar] [CrossRef]
- WHO Global Air Quality Guidelines: Particulate Matter (PM2.5 and PM10), Ozone, Nitrogen Dioxide, Sulfur Dioxide and Carbon Monoxide. Available online: https://www.who.int/publications-detail-redirect/9789240034228 (accessed on 24 January 2023).
- European R Commission. Directive 2008/50/EC of the European Parliament and of the Council of 21 May 2008 on Ambient Air Quality and Cleaner Air for Europe; European Commission: Brussels, Belgium, 2008; Volume 152. [Google Scholar]
- Raffaelli, K.; Deserti, M.; Stortini, M.; Amorati, R.; Vasconi, M.; Giovannini, G. Improving Air Quality in the Po Valley, Italy: Some Results by the LIFE-IP-PREPAIR Project. Atmosphere 2020, 11, 429. [Google Scholar] [CrossRef]
- Bigi, A.; Ghermandi, G. Trends and Variability of Atmospheric PM2.5 and PM10–2.5 Concentration in the Po Valley, Italy. Atmos. Chem. Phys. 2016, 16, 15777–15788. [Google Scholar] [CrossRef]
- Bigi, A.; Bianchi, F.; De Gennaro, G.; Di Gilio, A.; Fermo, P.; Ghermandi, G.; Prévôt, A.S.H.; Urbani, M.; Valli, G.; Vecchi, R.; et al. Hourly Composition of Gas and Particle Phase Pollutants at a Central Urban Background Site in Milan, Italy. Atmos. Res. 2017, 186, 83–94. [Google Scholar] [CrossRef]
- Meroni, A.; Pirovano, G.; Gilardoni, S.; Lonati, G.; Colombi, C.; Gianelle, V.; Paglione, M.; Poluzzi, V.; Riva, G.M.; Toppetti, A. Investigating the Role of Chemical and Physical Processes on Organic Aerosol Modelling with CAMx in the Po Valley during a Winter Episode. Atmos. Environ. 2017, 171, 126–142. [Google Scholar] [CrossRef]
- Tositti, L.; Brattich, E.; Masiol, M.; Baldacci, D.; Ceccato, D.; Parmeggiani, S.; Stracquadanio, M.; Zappoli, S. Source Apportionment of Particulate Matter in a Large City of Southeastern Po Valley (Bologna, Italy). Environ. Sci. Pollut. Res. 2014, 21, 872–890. [Google Scholar] [CrossRef] [PubMed]
- Canepari, S.; Astolfi, M.L.; Farao, C.; Maretto, M.; Frasca, D.; Marcoccia, M.; Perrino, C. Seasonal Variations in the Chemical Composition of Particulate Matter: A Case Study in the Po Valley. Part II: Concentration and Solubility of Micro- and Trace-Elements. Environ. Sci. Pollut. Res. Int. 2014, 21, 4010–4022. [Google Scholar] [CrossRef]
- Perrino, C.; Catrambone, M.; Dalla Torre, S.; Rantica, E.; Sargolini, T.; Canepari, S. Seasonal Variations in the Chemical Composition of Particulate Matter: A Case Study in the Po Valley. Part I: Macro-Components and Mass Closure. Environ. Sci. Pollut. Res. 2014, 21, 3999–4009. [Google Scholar] [CrossRef]
- Błaszczak, B.; Zioła, N.; Mathews, B.; Klejnowski, K.; Słaby, K. The Role of PM2.5 Chemical Composition and Meteorology during High Pollution Periods at a Suburban Background Station in Southern Poland. Aerosol Air Qual. Res. 2020, 20, 2433–2447. [Google Scholar] [CrossRef]
- Vieno, M.; Heal, M.R.; Twigg, M.M.; MacKenzie, I.A.; Braban, C.F.; Lingard, J.J.N.; Ritchie, S.; Beck, R.C.; Móring, A.; Ots, R.; et al. The UK Particulate Matter Air Pollution Episode of March–April 2014: More than Saharan Dust. Environ. Res. Lett. 2016, 11, 044004. [Google Scholar] [CrossRef]
- Harrison, R.M.; Beddows, D.C.S.; Tong, C.; Damayanti, S. Non-Linearity of Secondary Pollutant Formation Estimated from Emissions Data and Measured Precursor-Secondary Pollutant Relationships. Npj Clim. Atmos. Sci. 2022, 5, 71. [Google Scholar] [CrossRef]
- Beekmann, M.; Prévôt, A.S.H.; Drewnick, F.; Sciare, J.; Pandis, S.N.; Denier van der Gon, H.a.C.; Crippa, M.; Freutel, F.; Poulain, L.; Ghersi, V.; et al. In Situ, Satellite Measurement and Model Evidence on the Dominant Regional Contribution to Fine Particulate Matter Levels in the Paris Megacity. Atmos. Chem. Phys. 2015, 15, 9577–9591. [Google Scholar] [CrossRef]
- Petit, J.-E.; Amodeo, T.; Meleux, F.; Bessagnet, B.; Menut, L.; Grenier, D.; Pellan, Y.; Ockler, A.; Rocq, B.; Gros, V.; et al. Characterising an Intense PM Pollution Episode in March 2015 in France from Multi-Site Approach and near Real Time Data: Climatology, Variabilities, Geographical Origins and Model Evaluation. Atmos. Environ. 2017, 155, 68–84. [Google Scholar] [CrossRef]
- Wang, Q.; Li, S. Nonlinear Impact of COVID-19 on Pollutions—Evidence from Wuhan, New York, Milan, Madrid, Bandra, London, Tokyo and Mexico City. Sustain. Cities Soc. 2021, 65, 102629. [Google Scholar] [CrossRef]
- Ciarelli, G.; Jiang, J.; Haddad, I.E.; Bigi, A.; Aksoyoglu, S.; Prévôt, A.S.H.; Marinoni, A.; Shen, J.; Yan, C.; Bianchi, F. Modeling the Effect of Reduced Traffic Due to COVID-19 Measures on Air Quality Using a Chemical Transport Model: Impacts on the Po Valley and the Swiss Plateau Regions. Environ. Sci. Atmos. 2021, 1, 228–240. [Google Scholar] [CrossRef] [PubMed]
- Clappier, A.; Pisoni, E.; Thunis, P. A New Approach to Design Source–Receptor Relationships for Air Quality Modelling. Environ. Model. Softw. 2015, 74, 66–74. [Google Scholar] [CrossRef]
- Thunis, P.; Clappier, A.; Beekmann, M.; Putaud, J.P.; Cuvelier, C.; Madrazo, J.; de Meij, A. Non-Linear Response of PM2.5 to Changes in NOx and NH3 Emissions in the Po Basin (Italy): Consequences for Air Quality Plans. Atmos. Chem. Phys. 2021, 21, 9309–9327. [Google Scholar] [CrossRef]
- Clappier, A.; Thunis, P.; Beekmann, M.; Putaud, J.P.; de Meij, A. Impact of SOx, NOx and NH3 Emission Reductions on PM2.5 Concentrations across Europe: Hints for Future Measure Development. Environ. Int. 2021, 156, 106699. [Google Scholar] [CrossRef]
- Mailler, S.; Menut, L.; Khvorostyanov, D.; Valari, M.; Couvidat, F.; Siour, G.; Turquety, S.; Briant, R.; Tuccella, P.; Bessagnet, B.; et al. CHIMERE-2017: From Urban to Hemispheric Chemistry-Transport Modeling. Geosci. Model Dev. 2017, 10, 2397–2423. [Google Scholar] [CrossRef]
- Menut, L.; Bessagnet, B.; Briant, R.; Cholakian, A.; Couvidat, F.; Mailler, S.; Pennel, R.; Siour, G.; Tuccella, P.; Turquety, S.; et al. The CHIMERE V2020r1 Online Chemistry-Transport Model. Geosci. Model Dev. 2021, 14, 6781–6811. [Google Scholar] [CrossRef]
- Gariazzo, C.; Silibello, C.; Finardi, S.; Radice, P.; Piersanti, A.; Calori, G.; Cecinato, A.; Perrino, C.; Nussio, F.; Cagnoli, M.; et al. A Gas/Aerosol Air Pollutants Study over the Urban Area of Rome Using a Comprehensive Chemical Transport Model. Atmos. Environ. 2007, 41, 7286–7303. [Google Scholar] [CrossRef]
- Silibello, C.; Calori, G.; Brusasca, G.; Giudici, A.; Angelino, E.; Fossati, G.; Peroni, E.; Buganza, E. Modelling of PM10 Concentrations over Milano Urban Area Using Two Aerosol Modules. Environ. Model. Softw. 2008, 23, 333–343. [Google Scholar] [CrossRef]
- Dalla-Fontana, A.; Pillon, S.; Patti, S. A Performance Evaluation of the CAMx Air Quality Model to Forecast Ozone and PM10 over the Italian Region of Veneto. Tethys J. Weather Clim. West. Mediterrania 2021, 18, 1–13. [Google Scholar] [CrossRef]
- Ciarelli, G.; Aksoyoglu, S.; Crippa, M.; Jimenez, J.-L.; Nemitz, E.; Sellegri, K.; Äijälä, M.; Carbone, S.; Mohr, C.; O’Dowd, C.; et al. Evaluation of European Air Quality Modelled by CAMx Including the Volatility Basis Set Scheme. Atmos. Chem. Phys. 2016, 16, 10313–10332. [Google Scholar] [CrossRef]
- Nopmongcol, U.; Koo, B.; Tai, E.; Jung, J.; Piyachaturawat, P.; Emery, C.; Yarwood, G.; Pirovano, G.; Mitsakou, C.; Kallos, G. Modeling Europe with CAMx for the Air Quality Model Evaluation International Initiative (AQMEII). Atmos. Environ. 2012, 53, 177–185. [Google Scholar] [CrossRef]
- Marongiu, A.; Angelino, E.; Moretti, M.; Malvestiti, G.; Fossati, G. Atmospheric Emission Sources in the Po-Basin from the LIFE-IP PREPAIR Project. Open J. Air Pollut. 2022, 11, 70–83. [Google Scholar] [CrossRef]
- Stortini, M.; Arvani, B.; Deserti, M. Operational Forecast and Daily Assessment of the Air Quality in Italy: A Copernicus-CAMS Downstream Service. Atmosphere 2020, 11, 447. [Google Scholar] [CrossRef]
- Derognat, C.; Beekmann, M.; Baeumle, M.; Martin, D.; Schmidt, H. Effect of Biogenic Volatile Organic Compound Emissions on Tropospheric Chemistry during the Atmospheric Pollution Over the Paris Area (ESQUIF) Campaign in the Ile-de-France Region. J. Geophys. Res. Atmos. 2003, 108, D17. [Google Scholar] [CrossRef]
- Carter, W.P.L. Documentation of the Saprc-99 Chemical Mechanism for Voc Reactivity Assessment Volume 1 of 2 Documentation Text. Available online: https://intra.engr.ucr.edu/~carter/pubs/s99doc.pdf (accessed on 2 March 2023).
- Yarwood, G.; Rao, S.; Way, R.; Yocke, M.; Whitten, G.Z.; Reyes, S. Luecken, Updates to the carbon bond chemical mechanism: CB05. D. U.S. Environmental Protection Agency Research Triangle Park: NC, USA, 2005. Available online: https://camx-wp.azurewebsites.net/Files/CB05_Final_Report_120805.pdf (accessed on 3 March 2023).
- Simpson, D. Long-Period Modelling of Photochemical Oxidants in Europe. Model Calculations for July 1985. Atmos. Environ. Part Gen. Top. 1992, 26, 1609–1634. [Google Scholar] [CrossRef]
- DeMore, W.B.; Sander, S.P.; Howard, C.J.; Ravishankara, A.R. Chemical Kinetics and Photochemical Data for Use in Stratospheric Modeling. Available online: https://jpldataeval.jpl.nasa.gov/pdf/Atmos97_Anotated.pdf (accessed on 4 March 2023).
- Atkinson, R.; Baulch, D.L.; Cox, R.A.; Hampson, R.F.; Kerr, J.A.; Rossi, M.J.; Troe, J. Evaluated Kinetic, Photochemical and Heterogeneous Data for Atmospheric Chemistry: Supplement V. IUPAC Subcommittee on Gas Kinetic Data Evaluation for Atmospheric Chemistry. J. Phys. Chem. Ref. Data 1997, 26, 521–1011. [Google Scholar] [CrossRef]
- Binkowski, F.S.; Roselle, S.J. Models-3 Community Multiscale Air Quality (CMAQ) Model Aerosol Component 1. Model Description. J. Geophys. Res. Atmospheres 2003, 108, D6. [Google Scholar] [CrossRef]
- Emep_Report_1_Part1_2003.pdf. Available online: https://www.emep.int/publ/reports/2003/emep_report_1_part1_2003.pdf (accessed on 24 January 2023).
- Whitby, K.T. The Physical Characteristics of Sulfur Aerosols. Atmos. Environ. 1978, 12, 135–159. [Google Scholar] [CrossRef]
- Marsigli, C.; Boccanera, F.; Montani, A.; Paccagnella, T. The COSMO-LEPS Mesoscale Ensemble System: Validation of the Methodology and Verification. Nonlinear Process. Geophys. 2005, 12, 527–536. [Google Scholar] [CrossRef]
- Gastaldo, T.; Poli, V.; Marsigli, C.; Cesari, D.; Alberoni, P.P.; Paccagnella, T. Assimilation of Radar Reflectivity Volumes in a Pre-Operational Framework. Q. J. R. Meteorol. Soc. 2021, 147, 1031–1054. [Google Scholar] [CrossRef]
- Skamarock, C.; Klemp, B.; Dudhia, J.; Gill, O.; Barker, D.; Duda, G.; Huang, X.; Wang, W.; Powers, G. A Description of the Advanced Research WRF Version 3; University Corporation for Atmospheric Research: Boulder, CO, USA, 2008. [Google Scholar] [CrossRef]
- Pernigotti, D.; Georgieva, E.; Thunis, P.; Bessagnet, B. Impact of Meteorology on Air Quality Modeling over the Po Valley in Northern Italy. Atmos. Environ. 2012, 51, 303–310. [Google Scholar] [CrossRef]
- Kong, X.; Forkel, R.; Sokhi, R.S.; Suppan, P.; Baklanov, A.; Gauss, M.; Brunner, D.; Barò, R.; Balzarini, A.; Chemel, C.; et al. Analysis of Meteorology–Chemistry Interactions during Air Pollution Episodes Using Online Coupled Models within AQMEII Phase-2. Atmos. Environ. 2015, 115, 527–540. [Google Scholar] [CrossRef]
- Brunner, D.; Savage, N.; Jorba, O.; Eder, B.; Giordano, L.; Badia, A.; Balzarini, A.; Baró, R.; Bianconi, R.; Chemel, C.; et al. Comparative Analysis of Meteorological Performance of Coupled Chemistry-Meteorology Models in the Context of AQMEII Phase 2. Atmos. Environ. 2015, 115, 470–498. [Google Scholar] [CrossRef]
- Im, U.; Bianconi, R.; Solazzo, E.; Kioutsioukis, I.; Badia, A.; Balzarini, A.; Baró, R.; Bellasio, R.; Brunner, D.; Chemel, C.; et al. Evaluation of Operational Online-Coupled Regional Air Quality Models over Europe and North America in the Context of AQMEII Phase 2. Part II: Particulate Matter. Atmos. Environ. 2015, 115, 421–441. [Google Scholar] [CrossRef]
- Troen, I.B.; Mahrt, L. A Simple Model of the Atmospheric Boundary Layer; Sensitivity to Surface Evaporation. Bound.-Layer Meteorol. 1986, 37, 129–148. [Google Scholar] [CrossRef]
- Van Leer, B. Towards the Ultimate Conservative Difference Scheme. IV. A New Approach to Numerical Convection. J. Comput. Phys. 1977, 23, 276–299. [Google Scholar] [CrossRef]
- Lange, R. Transferability of a Three-Dimensional Air Quality Model between Two Different Sites in Complex Terrain. J. Appl. Meteorol. Climatol. 1989, 28, 665–679. [Google Scholar] [CrossRef]
- Nasstrom, J.S. Turbulence Parameterizations for the Random Displacement Method (RDM) Version of ADPIC; Lawrence Livermore National Lab. (LLNL): Livermore, CA, USA; EG and G Energy Measurements, Inc.: Las Vegas, NV, USA, 1995. [Google Scholar]
- Smagorinsky, J. General Circulation Experiments with the Primitive Equations: I. The Basic Experiment. Mon. Weather Rev. 1963, 91, 99–164. [Google Scholar] [CrossRef]
- Yamartino, R.J. Nonnegative, Conserved Scalar Transport Using Grid-Cell-Centered, Spectrally Constrained Blackman Cubics for Applications on a Variable-Thickness Mesh. Mon. Weather Rev. 1993, 121, 753–763. [Google Scholar] [CrossRef]
- Yamartino, R.J.; Scire, J.S.; Carmichael, G.R.; Chang, Y.S. The CALGRID Mesoscale Photochemical Grid Model—I. Model Formulation. Atmos. Environ. Part Gen. Top. 1992, 26, 1493–1512. [Google Scholar] [CrossRef]
- LeDuc, S.; Fine, S. Models-3/Community multiscale air quality (CMAQ) modeling system. In Air Pollution Modeling and Its Application XV; Borrego, C., Schayes, G., Eds.; Springer US: Boston, MA, USA, 2004; pp. 307–310. ISBN 978-0-306-47294-7. [Google Scholar]
- Bott, A. A Positive Definite Advection Scheme Obtained by Nonlinear Renormalization of the Advective Fluxes. Mon. Weather Rev. 1989, 117, 1006–1016. [Google Scholar] [CrossRef]
- Nenes, A.; Pandis, S.N.; Pilinis, C. ISORROPIA: A New Thermodynamic Equilibrium Model for Multiphase Multicomponent Inorganic Aerosols. Aquat. Geochem. 1998, 4, 123–152. [Google Scholar] [CrossRef]
- Fountoukis, C.; Nenes, A.; Sullivan, A.; Weber, R.; Van Reken, T.; Fischer, M.; Matías, E.; Moya, M.; Farmer, D.; Cohen, R.C. Thermodynamic Characterization of Mexico City Aerosol during MILAGRO 2006. Atmos. Chem. Phys. 2009, 9, 2141–2156. [Google Scholar] [CrossRef]
- Schell, B.; Ackermann, I.J.; Hass, H.; Binkowski, F.S.; Ebel, A. Modeling the Formation of Secondary Organic Aerosol within a Comprehensive Air Quality Model System. J. Geophys. Res. Atmospheres 2001, 106, 28275–28293. [Google Scholar] [CrossRef]
- Strader, R.; Lurmann, F.; Pandis, S.N. Evaluation of Secondary Organic Aerosol Formation in Winter. Atmos. Environ. 1999, 33, 4849–4863. [Google Scholar] [CrossRef]
- EMEP/EEA Air Pollutant Emission Inventory Guidebook—2016—European Environment Agency. Available online: https://www.eea.europa.eu/publications/emep-eea-guidebook-2016 (accessed on 24 January 2023).
- EMEP/EEA Air Pollutant Emission Inventory Guidebook 2019—European Environment Agency. Available online: https://www.eea.europa.eu/publications/emep-eea-guidebook-2019 (accessed on 24 January 2023).
- Inemar (Inemar.WebHome)—XWiki. Available online: https://www.inemar.eu/xwiki/bin/view/Inemar/WebHome (accessed on 24 January 2023).
- Guenther, A.B.; Jiang, X.; Heald, C.L.; Sakulyanontvittaya, T.; Duhl, T.; Emmons, L.K.; Wang, X. The Model of Emissions of Gases and Aerosols from Nature Version 2.1 (MEGAN2.1): An Extended and Updated Framework for Modeling Biogenic Emissions. Geosci. Model Dev. 2012, 5, 1471–1492. [Google Scholar] [CrossRef]
- Bigi, A.; Ghermandi, G.; Harrison, R.M. Analysis of the Air Pollution Climate at a Background Site in the Po Valley. J. Environ. Monit. 2012, 14, 552–563. [Google Scholar] [CrossRef]
- Ramacher, M.O.P.; Karl, M.; Bieser, J.; Jalkanen, J.-P.; Johansson, L. Urban Population Exposure to NOx Emissions from Local Shipping in Three Baltic Sea Harbour Cities—A Generic Approach. Atmos. Chem. Phys. 2019, 19, 9153–9179. [Google Scholar] [CrossRef]
- Ghermandi, G.; Fabbi, S.; Veratti, G.; Bigi, A.; Teggi, S. Estimate of Secondary NO2 Levels at Two Urban Traffic Sites Using Observations and Modelling. Sustainability 2020, 12, 7897. [Google Scholar] [CrossRef]
- Gsella, A.; de Meij, A.; Kerschbaumer, A.; Reimer, E.; Thunis, P.; Cuvelier, C. Evaluation of MM5, WRF and TRAMPER Meteorology over the Complex Terrain of the Po Valley, Italy. Atmos. Environ. 2014, 89, 797–806. [Google Scholar] [CrossRef]
- Veratti, G.; Fabbi, S.; Bigi, A.; Lupascu, A.; Tinarelli, G.; Teggi, S.; Brusasca, G.; Butler, T.M.; Ghermandi, G. Towards the Coupling of a Chemical Transport Model with a Micro-Scale Lagrangian Modelling System for Evaluation of Urban NOx Levels in a European Hotspot. Atmos. Environ. 2020, 223, 117285. [Google Scholar] [CrossRef]
- Paglione, M.; Gilardoni, S.; Rinaldi, M.; Decesari, S.; Zanca, N.; Sandrini, S.; Giulianelli, L.; Bacco, D.; Ferrari, S.; Poluzzi, V.; et al. The Impact of Biomass Burning and Aqueous-Phase Processing on Air Quality: A Multi-Year Source Apportionment Study in the Po Valley, Italy. Atmos. Chem. Phys. 2020, 20, 1233–1254. [Google Scholar] [CrossRef]
- Brege, M.; Paglione, M.; Gilardoni, S.; Decesari, S.; Facchini, M.C.; Mazzoleni, L.R. Molecular Insights on Aging and Aqueous-Phase Processing from Ambient Biomass Burning Emissions-Influenced Po Valley Fog and Aerosol. Atmos. Chem. Phys. 2018, 18, 13197–13214. [Google Scholar] [CrossRef]
- Hakimzadeh, M.; Soleimanian, E.; Mousavi, A.; Borgini, A.; De Marco, C.; Ruprecht, A.A.; Sioutas, C. The Impact of Biomass Burning on the Oxidative Potential of PM2.5 in the Metropolitan Area of Milan. Atmos. Environ. 2020, 224, 117328. [Google Scholar] [CrossRef]
- Vautard, R.; Builtjes, P.H.J.; Thunis, P.; Cuvelier, C.; Bedogni, M.; Bessagnet, B.; Honoré, C.; Moussiopoulos, N.; Pirovano, G.; Schaap, M.; et al. Evaluation and Intercomparison of Ozone and PM10 Simulations by Several Chemistry Transport Models over Four European Cities within the CityDelta Project. Atmos. Environ. 2007, 41, 173–188. [Google Scholar] [CrossRef]
- Solazzo, E.; Bianconi, R.; Pirovano, G.; Matthias, V.; Vautard, R.; Moran, M.D.; Wyat Appel, K.; Bessagnet, B.; Brandt, J.; Christensen, J.H.; et al. Operational Model Evaluation for Particulate Matter in Europe and North America in the Context of AQMEII. Atmos. Environ. 2012, 53, 75–92. [Google Scholar] [CrossRef]
- Pirovano, G.; Colombi, C.; Balzarini, A.; Riva, G.M.; Gianelle, V.; Lonati, G. PM2.5 Source Apportionment in Lombardy (Italy): Comparison of Receptor and Chemistry-Transport Modelling Results. Atmos. Environ. 2015, 106, 56–70. [Google Scholar] [CrossRef]
- Thunis, P.; Pederzoli, A.; Pernigotti, D. Performance Criteria to Evaluate Air Quality Modeling Applications. Atmos. Environ. 2012, 59, 476–482. [Google Scholar] [CrossRef]
- Pernigotti, D.; Gerboles, M.; Belis, C.A.; Thunis, P. Model Quality Objectives Based on Measurement Uncertainty. Part II: NO2 and PM10. Atmos. Environ. 2013, 79, 869–878. [Google Scholar] [CrossRef]
- Pernigotti, D.; Thunis, P.; Cuvelier, C.; Georgieva, E.; Gsella, A.; De Meij, A.; Pirovano, G.; Balzarini, A.; Riva, G.M.; Carnevale, C.; et al. POMI: A Model Inter-Comparison Exercise over the Po Valley. Air Qual. Atmos. Health 2013, 6, 701–715. [Google Scholar] [CrossRef]
- Thunis, P.; Clappier, A.; Pisoni, E.; Degraeuwe, B. Quantification of Non-Linearities as a Function of Time Averaging in Regional Air Quality Modeling Applications. Atmos. Environ. 2015, 103, 263–275. [Google Scholar] [CrossRef]
- Carnevale, C.; Pisoni, E.; Volta, M. A Non-Linear Analysis to Detect the Origin of PM10 Concentrations in Northern Italy. Sci. Total Environ. 2010, 409, 182–191. [Google Scholar] [CrossRef]
- Bessagnet, B.; Beauchamp, M.; Guerreiro, C.; de Leeuw, F.; Tsyro, S.; Colette, A.; Meleux, F.; Rouïl, L.; Ruyssenaars, P.; Sauter, F.; et al. Can Further Mitigation of Ammonia Emissions Reduce Exceedances of Particulate Matter Air Quality Standards? Environ. Sci. Policy 2014, 44, 149–163. [Google Scholar] [CrossRef]












| Reduction (%) | NOx | NH3 | NOx-NH3 | 
|---|---|---|---|
| 0 | SC1 (base case) | ||
| 25 | SC2 | SC3 | SC4 | 
| 50 | SC5 | SC6 | SC7 | 
| 75 | SC8 | SC9 | SC10 | 
| Statistics | Period | NINFA-ER (μg m−3) | PieAMS (μg m−3) | SMAL-LO (μg m−3) | SPIAIR (μg m−3) | 
|---|---|---|---|---|---|
| 25th percentile | Apr–Sep | 9 | 8 | 5 | 7 | 
| average | Apr–Sep | 11 | 10 | 6 | 10 | 
| median | Apr–Sep | 11 | 10 | 6 | 10 | 
| 75th percentile | Apr–Sep | 12 | 13 | 8 | 12 | 
| 25th percentile | Oct–Mar | 6 | 6 | 4 | 7 | 
| average | Oct–Mar | 11 | 13 | 10 | 15 | 
| median | Oct–Mar | 9 | 10 | 7 | 12 | 
| 75th percentile | Oct–Mar | 16 | 19 | 14 | 21 | 
| 25th percentile | Year | 8 | 7 | 4 | 7 | 
| average | Year | 12 | 12 | 8 | 12 | 
| median | Year | 11 | 11 | 7 | 11 | 
| 75th percentile | Year | 14 | 12 | 11 | 16 | 
| Disclaimer/Publisher’s Note: The statements, opinions and data contained in all publications are solely those of the individual author(s) and contributor(s) and not of MDPI and/or the editor(s). MDPI and/or the editor(s) disclaim responsibility for any injury to people or property resulting from any ideas, methods, instructions or products referred to in the content. | 
© 2023 by the authors. Licensee MDPI, Basel, Switzerland. This article is an open access article distributed under the terms and conditions of the Creative Commons Attribution (CC BY) license (https://creativecommons.org/licenses/by/4.0/).
Share and Cite
Veratti, G.; Stortini, M.; Amorati, R.; Bressan, L.; Giovannini, G.; Bande, S.; Bissardella, F.; Ghigo, S.; Angelino, E.; Colombo, L.; et al. Impact of NOx and NH3 Emission Reduction on Particulate Matter across Po Valley: A LIFE-IP-PREPAIR Study. Atmosphere 2023, 14, 762. https://doi.org/10.3390/atmos14050762
Veratti G, Stortini M, Amorati R, Bressan L, Giovannini G, Bande S, Bissardella F, Ghigo S, Angelino E, Colombo L, et al. Impact of NOx and NH3 Emission Reduction on Particulate Matter across Po Valley: A LIFE-IP-PREPAIR Study. Atmosphere. 2023; 14(5):762. https://doi.org/10.3390/atmos14050762
Chicago/Turabian StyleVeratti, Giorgio, Michele Stortini, Roberta Amorati, Lidia Bressan, Giulia Giovannini, Stefano Bande, Francesca Bissardella, Stefania Ghigo, Elisabetta Angelino, Loris Colombo, and et al. 2023. "Impact of NOx and NH3 Emission Reduction on Particulate Matter across Po Valley: A LIFE-IP-PREPAIR Study" Atmosphere 14, no. 5: 762. https://doi.org/10.3390/atmos14050762
APA StyleVeratti, G., Stortini, M., Amorati, R., Bressan, L., Giovannini, G., Bande, S., Bissardella, F., Ghigo, S., Angelino, E., Colombo, L., Fossati, G., Malvestiti, G., Marongiu, A., Dalla Fontana, A., Intini, B., & Pillon, S. (2023). Impact of NOx and NH3 Emission Reduction on Particulate Matter across Po Valley: A LIFE-IP-PREPAIR Study. Atmosphere, 14(5), 762. https://doi.org/10.3390/atmos14050762
 
        




 
       