Resilience of Pinus durangensis Martínez in Extreme Drought Periods: Vertical and Horizontal Response of Tree Rings
Abstract
1. Introduction
2. Materials and Methods
2.1. Study Area
2.2. Dendrochronological Information
2.3. Identification of Extreme Droughts
2.4. Resilience of Pinus durangensis to Drought
3. Results
3.1. Development of Chronologies
3.2. Relationship between Growth and SPEI
3.3. Identification of Extreme Droughts
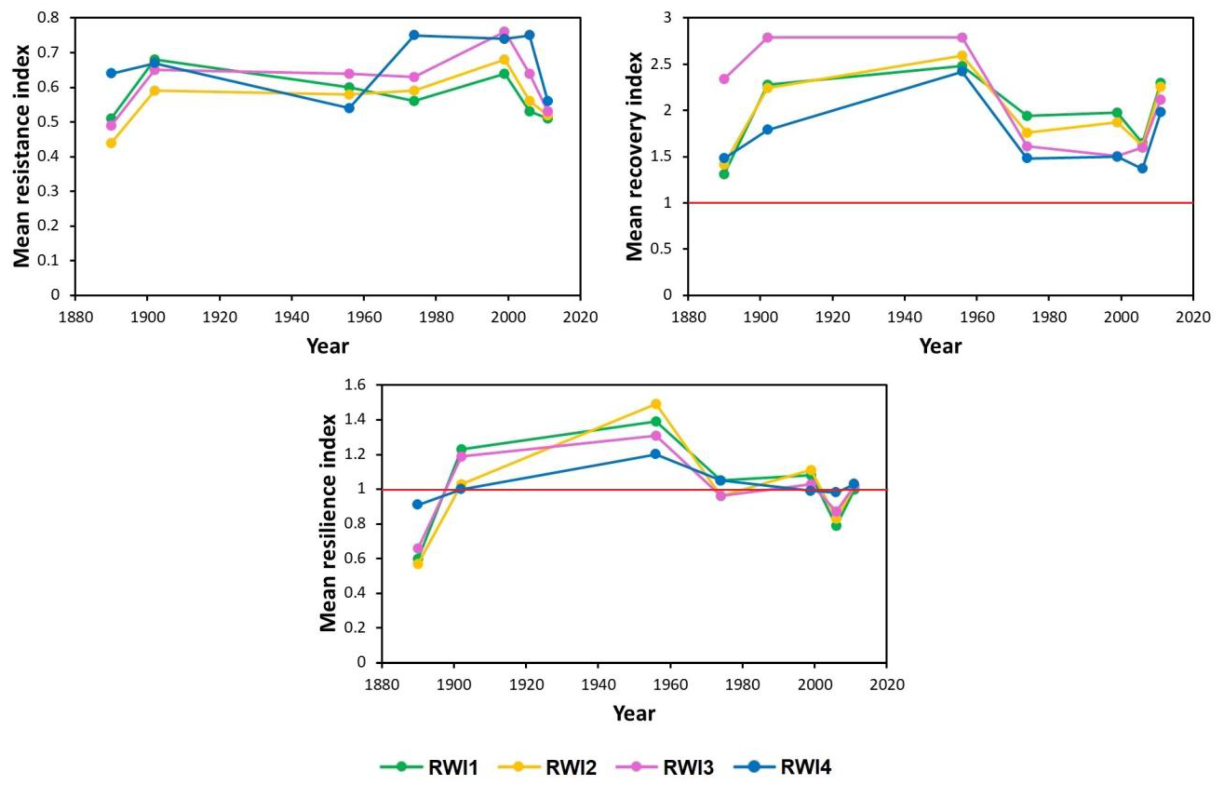
3.4. Resilience Components
3.5. Line of Full Resilience
3.6. Growth Response of P. durangensis to Drought
4. Discussion
4.1. Dendrochronological Statistics
4.2. Growth-Climate Relationship along the Stem
4.3. Resilience Indices along the Stem
4.4. Management Implications
5. Conclusions
Author Contributions
Funding
Institutional Review Board Statement
Informed Consent Statement
Data Availability Statement
Acknowledgments
Conflicts of Interest
References
- Fritts, H.C.; Swetnam, T.W. Dendroecology: A Tool for Evaluating Variations in Past and Present Forest Environments. Adv. Ecol. Res. 1989, 19, 111–188. [Google Scholar]
- Bolte, A.; Ammer, C.; Löf, M.; Madsen, P.; Nabuurs, G.-J.; Schall, P.; Spathelf, P.; Rock, J. Adaptive Forest Management in Central Europe: Climate Change Impacts, Strategies and Integrative Concept. Scand. J. For. Res. 2009, 24, 473–482. [Google Scholar] [CrossRef]
- IPCC. Climate Change 2014: Impacts, Adaptation, and Vulnerability. Part A: Global and Sectoral Aspects; IPCC: Cambridge, MA, USA, 2014. [Google Scholar]
- Roshani; Sajjad, H.; Kumar, P.; Masroor, M.; Rahaman, M.H.; Rehman, S.; Ahmed, R.; Sahana, M. Forest Vulnerability to Climate Change: A Review for Future Research Framework. Forests 2022, 13, 917. [Google Scholar] [CrossRef]
- Doughty, C.E.; Metcalfe, D.B.; Girardin, C.A.J.; Amézquita, F.F.; Cabrera, D.G.; Huasco, W.H.; Silva-Espejo, J.E.; Araujo-Murakami, A.; da Costa, M.C.; Rocha, W.; et al. Drought Impact on Forest Carbon Dynamics and Fluxes in Amazonia. Nature 2015, 519, 78–82. [Google Scholar] [CrossRef]
- Allen, C.D.; Macalady, A.K.; Chenchouni, H.; Bachelet, D.; McDowell, N.; Vennetier, M.; Kitzberger, T.; Rigling, A.; Breshears, D.D.; Hogg, E.H. (Ted); et al. A Global Overview of Drought and Heat-Induced Tree Mortality Reveals Emerging Climate Change Risks for Forests. For. Ecol. Manag. 2010, 259, 660–684. [Google Scholar] [CrossRef]
- Camarero, J.J.; Gazol, A.; Sangüesa-Barreda, G.; Oliva, J.; Vicente-Serrano, S.M. To Die or Not to Die: Early Warnings of Tree Dieback in Response to a Severe Drought. J. Ecol. 2015, 103, 44–57. [Google Scholar] [CrossRef]
- Ruiz-Benito, P.; Ratcliffe, S.; Zavala, M.A.; Martínez-Vilalta, J.; Vilà-Cabrera, A.; Lloret, F.; Madrigal-González, J.; Wirth, C.; Greenwood, S.; Kändler, G.; et al. Climate- and Successional-Related Changes in Functional Composition of European Forests Are Strongly Driven by Tree Mortality. Glob. Chang. Biol. 2017, 23, 4162–4176. [Google Scholar] [CrossRef] [PubMed]
- Anderegg, W.R.L.; Schwalm, C.; Biondi, F.; Camarero, J.J.; Koch, G.; Litvak, M.; Ogle, K.; Shaw, J.D.; Shevliakova, E.; Williams, A.P.; et al. Pervasive Drought Legacies in Forest Ecosystems and Their Implications for Carbon Cycle Models. Science 2015, 349, 528–532. [Google Scholar] [CrossRef]
- Castagneri, D.; Vacchiano, G.; Hacket-Pain, A.; DeRose, R.J.; Klein, T.; Bottero, A. Meta-Analysis Reveals Different Competition Effects on Tree Growth Resistance and Resilience to Drought. Ecosystems 2022, 25, 30–43. [Google Scholar] [CrossRef]
- Gómez-Guerrero, A.; Correa-Díaz, A.; Castruita-Esparza, L.U. Cambio Climático y Dinámica de Los Ecosistemas Forestales. Rev. Fitotec. Mex. 2021, 44, 673. [Google Scholar] [CrossRef]
- González-Elizondo, M.S.; González-Elizondo, M.; Tena-Flores, J.A.; Ruacho-González, L.; López-Enríquez, I.L. Vegetación de La Sierra Madre Occidental, México: Una Síntesis. Acta Bot. Mex. 2012, 100, 351–403. [Google Scholar] [CrossRef]
- Sánchez-González, A. Una Visión Actual de La Diversidad y Distribución de Los Pinos de México. Madera y Bosques 2008, 14, 107–120. [Google Scholar] [CrossRef]
- Graciano-Ávila, G.; Alanís-Rodríguez, E.; Rubio-Camacho, E.A.; Valdecantos-Dema, A.; Aguirre-Calderón, O.A.; González-Tagle, M.A. Composición y Estructura Espacial de Cinco Asociaciones de Bosques de Pinus Durangensis. Madera y Bosques 2020, 26, 1–14. [Google Scholar] [CrossRef]
- Monarrez-Gonzalez, J.C.; Gonzalez-Elizondo, M.S.; Marquez-Linares, M.A.; Gutierrez-Yurrita, P.J.; Perez-Verdin, G. Effect of Forest Management on Tree Diversity in Temperate Ecosystem Forests in Northern Mexico. PLoS ONE 2020, 15, e0233292. [Google Scholar] [CrossRef]
- Hernández-Velasco, J.; Hernández-Díaz, J.C.; Fladung, M.; Cañadas-López, Á.; Prieto-Ruíz, J.Á.; Wehenkel, C. Spatial Genetic Structure in Four Pinus Species in the Sierra Madre Occidental, Durango, Mexico. Can. J. For. Res. 2016, 47, 73–80. [Google Scholar] [CrossRef]
- Villanueva-Díaz, J.; Cerano-Paredes, J.; Rosales-Mata, S.; Arrocena-López, J.C.; Stahle, D.W.; Ruiz-Corral, J.A.; Martínez-Sifuentes, A.R. Hydro-Climatic Variability Reconstructed from Tree Rings for the Upper Watershed of the Mezquital River, Durango. Rev. Mex. Ciencias Agrícolas 2014, 5, 1897–1912. [Google Scholar]
- Martínez-Sifuentes, A.R.; Villanueva-Díaz, J.; Estrada-Ávalos, J.; Trucíos-Caciano, R.; Carlón-Allende, T.; Castruita-Esparza, L.U. Two Centuries of Drought History in the Center of Chihuahua, Mexico. Forests 2022, 13, 921. [Google Scholar] [CrossRef]
- González-Cásares, M.; Pompa-García, M.; Camarero, J.J. Differences in Climate–Growth Relationship Indicate Diverse Drought Tolerances among Five Pine Species Coexisting in Northwestern Mexico. Trees 2017, 31, 531–544. [Google Scholar] [CrossRef]
- Fang, O.; Zhang, Q.-B. Tree Resilience to Drought Increases in the Tibetan Plateau. Glob. Chang. Biol. 2019, 25, 245–253. [Google Scholar] [CrossRef]
- Camarero, J.J.; Gazol, A.; Sangüesa-Barreda, G.; Cantero, A.; Sánchez-Salguero, R.; Sánchez-Miranda, A.; Granda, E.; Serra-Maluquer, X.; Ibáñez, R. Forest Growth Responses to Drought at Short- and Long-Term Scales in Spain: Squeezing the Stress Memory from Tree Rings. Front. Ecol. Evol. 2018, 6, 9. [Google Scholar] [CrossRef]
- Bottero, A.; Forrester, D.I.; Cailleret, M.; Kohnle, U.; Gessler, A.; Michel, D.; Bose, A.K.; Bauhus, J.; Bugmann, H.; Cuntz, M.; et al. Growth Resistance and Resilience of Mixed Silver Fir and Norway Spruce Forests in Central Europe: Contrasting Responses to Mild and Severe Droughts. Glob. Chang. Biol. 2021, 27, 4403–4419. [Google Scholar] [CrossRef] [PubMed]
- Wang, Y.; Zhang, H.; Wang, H.; Guo, J.; Zhang, E.; Wang, J.; Li, X.; Wei, H.; Zhou, C. Tree-Ring-Based Drought Reconstruction in Northern North China over the Past Century. Atmosphere 2022, 13, 482. [Google Scholar] [CrossRef]
- Piraino, S.; Molina, J.A.; Hadad, M.A.; Juñent, F.A.R. Resilience Capacity of Araucaria Araucana to Extreme Drought Events. Dendrochronologia 2022, 75, 125996. [Google Scholar] [CrossRef]
- Schwarz, J.; Skiadaresis, G.; Kohler, M.; Kunz, J.; Schnabel, F.; Vitali, V.; Bauhus, J. Quantifying Growth Responses of Trees to Drought—A Critique of Commonly Used Resilience Indices and Recommendations for Future Studies. Curr. For. Rep. 2020, 6, 185–200. [Google Scholar] [CrossRef]
- Lloret, F.; Keeling, E.G.; Sala, A. Components of Tree Resilience: Effects of Successive Low-Growth Episodes in Old Ponderosa Pine Forests. Oikos 2011, 120, 1909–1920. [Google Scholar] [CrossRef]
- Hodgson, D.; McDonald, J.L.; Hosken, D.J. What Do You Mean, ‘Resilient’? Trends Ecol. Evol. 2015, 30, 503–506. [Google Scholar] [CrossRef]
- Du, D.; Jiao, L.; Chen, K.; Liu, X.; Qi, C.; Xue, R.; Wu, X. Response Stability of Radial Growth of Chinese Pine to Climate Change at Different Altitudes on the Southern Edge of the Tengger Desert. Glob. Ecol. Conserv. 2022, 35, e02091. [Google Scholar] [CrossRef]
- Belokopytova, L.V.; Zhirnova, D.F.; Krutovsky, K.V.; Mapitov, N.B.; Vaganov, E.A.; Babushkina, E.A. Species- and Age-Specific Growth Reactions to Extreme Droughts of the Keystone Tree Species across Forest-Steppe and Sub-Taiga Habitats of South Siberia. Forests 2022, 13, 1027. [Google Scholar] [CrossRef]
- Manrique-Alba, À.; Beguería, S.; Camarero, J.J. Long-Term Effects of Forest Management on Post-Drought Growth Resilience: An Analytical Framework. Sci. Total Environ. 2022, 810, 152374. [Google Scholar] [CrossRef]
- Gazol, A.; Camarero, J.J.; Anderegg, W.R.L.; Vicente-Serrano, S.M. Impacts of Droughts on the Growth Resilience of Northern Hemisphere Forests. Glob. Ecol. Biogeogr. 2017, 26, 166–176. [Google Scholar] [CrossRef]
- Urrutia-Jalabert, R.; Barichivich, J.; Rozas, V.; Lara, A.; Rojas, Y.; Bahamondez, C.; Rojas-Badilla, M.; Gipoulou-Zuñiga, T.; Cuq, E. Climate Response and Drought Resilience of Nothofagus Obliqua Secondary Forests across a Latitudinal Gradient in South-Central Chile. For. Ecol. Manag. 2021, 485, 118962. [Google Scholar] [CrossRef]
- Sohn, J.A.; Kohler, M.; Gessler, A.; Bauhus, J. Interactions of Thinning and Stem Height on the Drought Response of Radial Stem Growth and Isotopic Composition of Norway Spruce (Picea Abies). Tree Physiol. 2012, 32, 1199–1213. [Google Scholar] [CrossRef] [PubMed]
- Quiñonez-Barraza, G.; Dehai, Z.; De los Santos-Posadas, H.M. Height-Diameter-Age Equation Systems for Pinus Arizonica Engelmann and Pinus Durangensis Martinez in Mixed-Species Stands in Durango, Mexico. Rev. Chapingo Ser. Cienc. For. Ambiente 2020, 26, 221–240. [Google Scholar] [CrossRef]
- FAO. World Reference Base for Soil Resources 2014; FAO: Rome, Italy, 2015. [Google Scholar]
- García, E. Modificaciones Al Sistema de Clasificación Climática de Kóppen (5.a Ed.). México; Instituto de Geografía, Ed.; Universidad Autónoma Nacional de México: Ciudad de México, México, 2004. [Google Scholar]
- Téllez-Valdés, O.; Miguel-Talonia, C.; Suárez-Mota, M.; Álvarez-Espino, R.X.; Hernández-Moreno, M.M. Distribución Potencial de Las Especies Pinaceae (Pinus) y Fagaceae (Quercus) de México; Comisión Nacional para el Conocimiento y Uso de la Biodiversidad (CONABIO): Ciudad de México, Mexico, 2019. [Google Scholar]
- Stokes, M.A.; Smiley, T.L. An Introduction to Tree Ring Dating; University of Chicago Press: Chicago, IL, USA, 1968. [Google Scholar]
- Holmes, R.L.; Adams, R.K.; Fritts, H.C. Tree-Ring Chronologies of Western North America: California, Eastern Oregon and Northern Great Basin with Procedures Used in the Chronology Development Work Including Users Manuals for Computer Programs COFECHA and ARSTAN; Laboratory of Tree-Ring Research, University of Arizona: Tucson, AZ, USA, 1986. [Google Scholar]
- Bunn, A.G. A Dendrochronology Program Library in R (DplR). Dendrochronologia 2008, 26, 115–124. [Google Scholar] [CrossRef]
- R Core Team. R: A Language and Environment for Statistical Computing; R Foundation for Statistical Computing: Vienna, Austria, 2020. [Google Scholar]
- Fritts, H.C. Tree Rings and Climate; Elsevier: London, UK; New York, NY, USA, 1976. [Google Scholar]
- Wigley, T.M.L.; Briffa, K.R.; Jones, P.D. On the Average Value of Correlated Time Series, with Applications in Dendroclimatology and Hydrometeorology. J. Appl. Meteorol. Climatol. 1984, 23, 201–213. [Google Scholar] [CrossRef]
- Briffa, K.; Jones, P.D. Basic Chronology Statistics and Assessment. In Methods of Dendrochronology: Applications in the Environmental Sciences; Cook, E.R., Kairiukstis, L.A., Eds.; Kluwer Academic Publishers: Dordrech, The Netherlands, 1990; pp. 137–162. [Google Scholar]
- Cook, E.; Briffa, K.; Shiyatov, S.; Mazepa, V.; Jones, P.D. Data Analysis BT. In Methods of Dendrochronology: Applications in the Environmental Sciences; Cook, E.R., Kairiukstis, L.A., Eds.; Springer: Dordrecht, The Netherlands, 1990; pp. 97–162. ISBN 978-94-015-7879-0. [Google Scholar]
- Buras, A. A Comment on the Expressed Population Signal. Dendrochronologia 2017, 44, 130–132. [Google Scholar] [CrossRef]
- Cabral-Alemán, C.; Villanueva-Díaz, J.; Quiñonez-Barraza, G.; Gómez-Guerrero, A.; Arreola-Ávila, J.G. Reconstruction of the Standardized Precipitation-Evapotranspiration Index for the Western Region of Durango State, Mexico. Forests 2022, 13, 1233. [Google Scholar] [CrossRef]
- Sousa, W.P. The Responses of a Community to Disturbance: The Importance of Successional Age and Species’ Life Histories. Oecologia 1980, 45, 72–81. [Google Scholar] [CrossRef]
- van der Maaten-Theunissen, M.; van der Maaten, E.; Bouriaud, O. PointRes: An R Package to Analyze Pointer Years and Components of Resilience. Dendrochronologia 2015, 35, 34–38. [Google Scholar] [CrossRef]
- LeBlanc, D.C. Relationships between Breast-Height and Whole-Stem Growth Indices for Red Spruce on Whiteface Mountain, New York. Can. J. For. Res. 1990, 20, 1399–1407. [Google Scholar] [CrossRef]
- Chhin, S.; Hogg, E.H.; Lieffers, V.J.; Huang, S. Growth–Climate Relationships Vary with Height along the Stem in Lodgepole Pine. Tree Physiol. 2010, 30, 335–345. [Google Scholar] [CrossRef] [PubMed]
- Grissino-Mayer, H.D. Evaluating Crossdating Accuracy: A Manual and Tutorial for the Computer Program COFECHA. Tree-Ring Res. 2001, 57, 205–221. [Google Scholar]
- Martínez-Sifuentes, A.R.; Villanueva-Díaz, J.; Carlón-Allende, T.; Estrada-Ávalos, J. 243 Years of Reconstructed Streamflow Volume and Identification of Extreme Hydroclimatic Events in the Conchos River Basin, Chihuahua, Mexico. Trees 2020, 34, 1347–1361. [Google Scholar] [CrossRef]
- Bouriaud, O.; Leban, J.-M.; Bert, D.; Deleuze, C. Intra-Annual Variations in Climate Influence Growth and Wood Density of Norway Spruce. Tree Physiol. 2005, 25, 651–660. [Google Scholar] [CrossRef]
- Latte, N.; Lebourgeois, F.; Claessens, H. Growth Partitioning within Beech Trees (Fagus Sylvatica L.) Varies in Response to Summer Heat Waves and Related Droughts. Trees 2016, 30, 189–201. [Google Scholar] [CrossRef]
- Villanueva-Díaz, J.; Martínez-Sifuentes, A.R.; Quiñonez-Barraza, G.; Estrada-Ávalos; Perez-Evangelista, E.R.; del Rocío Reyes-Camarillo, F.; Reyes-Camarillo, R. Annual Radial Growth and Climatic Response of Quercus crassifolia Bonpl. in Northwestern Durango, Mexico. Trees 2021, 35, 783–798. [Google Scholar] [CrossRef]
- Martínez-Sifuentes, A.R.; Villanueva-Díaz, J.; Correa-Díaz, A.; Estrada-Ávalos, J.; Trucíos-Caciano, R.; Estrada-Arellano, J.R.; Cardoza-Martínez, G.F.; Garza-Martínez, M.Á. Dendroclimatic Reconstruction of Precipitation and Temperature for the Mayo River Basin in Northwestern Mexico. Trees 2022, 36, 835–847. [Google Scholar] [CrossRef]
- Pompa-García, M.; Camarero, J.J. Reconstructing Evaporation From Pine Tree Rings In Northern Mexico. Tree-Ring Res. 2015, 71, 95–105. [Google Scholar] [CrossRef]
- Cabral-Alemán, C.; Pompa-García, M.; Acosta-Hernández, A.C.; Zúñiga-Vásquez, J.M.; Camarero, J.J. Earlywood and Latewood Widths of Picea Chihuahuana Show Contrasting Sensitivity to Seasonal Climate. Forests 2017, 8, 173. [Google Scholar] [CrossRef]
- Lacointe, A. Carbon Allocation among Tree Organs: A Review of Basic Processes and Representation in Functional-Structural Tree Models. Ann. For. Sci. 2000, 57, 521–533. [Google Scholar] [CrossRef]
- Rubio-Cuadrado, A.; Bravo-Oviedo, A.; Mutke, S.; Del Río, M. Climate Effects on Growth Differ According to Height and Diameter along the Stem in Pinus Pinaster Ait. iForest-Biogeosciences For. 2018, 11, 237–242. [Google Scholar] [CrossRef]
- Stahle, D.W.; Cook, E.R.; Burnette, D.J.; Villanueva, J.; Cerano, J.; Burns, J.N.; Griffin, D.; Cook, B.I.; Acuña, R.; Torbenson, M.C.A.; et al. The Mexican Drought Atlas: Tree-Ring Reconstructions of the Soil Moisture Balance during the Late Pre-Hispanic, Colonial, and Modern Eras. Quat. Sci. Rev. 2016, 149, 34–60. [Google Scholar] [CrossRef]
- Villanueva-Díaz, J.; Castruita-Esparza, L.U.; Martínez-Sifuentes, A.R.; Loera-Chaparro, R.; Estrada-Ávalos, J. Chihuahua Southwestern Hydroclimatic Variability Inferred with Coniferous Growth Rings. Rev. Chapingo Ser. Cienc. For. Ambiente 2020, 26, 373–389. [Google Scholar] [CrossRef]
- Greenwood, S.; Ruiz-Benito, P.; Martínez-Vilalta, J.; Lloret, F.; Kitzberger, T.; Allen, C.D.; Fensham, R.; Laughlin, D.C.; Kattge, J.; Bönisch, G.; et al. Tree Mortality across Biomes Is Promoted by Drought Intensity, Lower Wood Density and Higher Specific Leaf Area. Ecol. Lett. 2017, 20, 539–553. [Google Scholar] [CrossRef]
- Gazol, A.; Camarero, J.J.; Vicente-Serrano, S.M.; Sánchez-Salguero, R.; Gutiérrez, E.; de Luis, M.; Sangüesa-Barreda, G.; Novak, K.; Rozas, V.; Tíscar, P.A.; et al. Forest Resilience to Drought Varies across Biomes. Glob. Chang. Biol. 2018, 24, 2143–2158. [Google Scholar] [CrossRef] [PubMed]
- Zhang, X.; Fan, Z.; Shi, Z.; Pan, L.; Kwon, S.; Yang, X.; Liu, Y. Tree Characteristics and Drought Severity Modulate the Growth Resilience of Natural Mongolian Pine to Extreme Drought Episodes. Sci. Total Environ. 2022, 830, 154742. [Google Scholar] [CrossRef] [PubMed]
- Carlón Allende, T.; Villanueva Díaz, J.; Soto Castro, G.; Mendoza, M.E.; Macías, J.L. Tree Rings as Indicators of Climatic Variation in the Trans-Mexican Volcanic Belt, Central Mexico. Ecol. Indic. 2021, 120, 106920. [Google Scholar] [CrossRef]
- Castruita-Esparza, L.U.; Silva, L.C.R.; Gómez-Guerrero, A.; Villanueva-Díaz, J.; Correa-Díaz, A.; Horwath, W.R. Coping With Extreme Events: Growth and Water-Use Efficiency of Trees in Western Mexico During the Driest and Wettest Periods of the Past One Hundred Sixty Years. J. Geophys. Res. Biogeosci. 2019, 124, 3419–3431. [Google Scholar] [CrossRef]
- Wu, G.; Liu, X.; Chen, T.; Xu, G.; Wang, B.; Kang, H.; Li, C.; Zeng, X. The Positive Contribution of IWUE to the Resilience of Schrenk Spruce (Picea Schrenkiana) to Extreme Drought in the Western Tianshan Mountains, China. Acta Physiol. Plant. 2020, 42, 168. [Google Scholar] [CrossRef]
- Milne, B.T.; Moore, D.I.; Betancourt, J.L.; Parks, J.A.; Swetnam, T.W.; Parmenter, R.R.; Pockman, W.T. Multidecadal Drought Cycles in South-Central New Mexico: Patterns and Consequences; Oxford University Press: New York, NY, USA, 2003. [Google Scholar]
- Vega-Camarena, J.P.; Brito-Castillo, L.; Farfán, L.M.; Gochis, D.J.; Pineda-Martínez, L.F.; Díaz, S.C. Ocean–Atmosphere Conditions Related to Severe and Persistent Droughts in the Mexican Altiplano. Int. J. Climatol. 2018, 38, 853–866. [Google Scholar] [CrossRef]
- Martínez-Vilalta, J.; López, B.C.; Loepfe, L.; Lloret, F. Stand- and Tree-Level Determinants of the Drought Response of Scots Pine Radial Growth. Oecologia 2012, 168, 877–888. [Google Scholar] [CrossRef] [PubMed]
- Morán-López, T.; Poyatos, R.; Llorens, P.; Sabaté, S. Effects of Past Growth Trends and Current Water Use Strategies on Scots Pine and Pubescent Oak Drought Sensitivity. Eur. J. For. Res. 2014, 133, 369–382. [Google Scholar] [CrossRef]
- Gazol, A.; Camarero, J.J.; Sangüesa-Barreda, G.; Vicente-Serrano, S.M. Post-Drought Resilience After Forest Die-Off: Shifts in Regeneration, Composition, Growth and Productivity. Front. Plant Sci. 2018, 9, 1546. [Google Scholar] [CrossRef] [PubMed]
- Bose, A.K.; Gessler, A.; Bolte, A.; Bottero, A.; Buras, A.; Cailleret, M.; Camarero, J.J.; Haeni, M.; Hereş, A.-M.; Hevia, A.; et al. Growth and Resilience Responses of Scots Pine to Extreme Droughts across Europe Depend on Predrought Growth Conditions. Glob. Change Biol. 2020, 26, 4521–4537. [Google Scholar] [CrossRef]
- Pretzsch, H. Forest Dynamics, Growth, and Yield BT. In Forest Dynamics, Growth and Yield: From Measurement to Model; Pretzsch, H., Ed.; Springer: Berlin/Heidelberg, Germany, 2009; pp. 1–39. ISBN 978-3-540-88307-4. [Google Scholar]
- Rais, A.; van de Kuilen, J.-W.G.; Pretzsch, H. Growth Reaction Patterns of Tree Height, Diameter, and Volume of Douglas-Fir (Pseudotsuga Menziesii [Mirb.] Franco) under Acute Drought Stress in Southern Germany. Eur. J. For. Res. 2014, 133, 1043–1056. [Google Scholar] [CrossRef]





| Chronology | Height (m) | Dendrochronological Statistics | ||||||||
|---|---|---|---|---|---|---|---|---|---|---|
| Mean | SD | Rbar | EPS | SI | MS | AC1 | SSS > 0.85 | |||
| RWI1 | 0.07–0.15 | 1717–2020 | 0.94 | 0.35 | 0.28 | 0.97 | 0.60 | 0.38 | 0.54 | 1801–2020 |
| RWI2 | 1.3 | 1736–2020 | 0.95 | 0.27 | 0.32 | 0.98 | 0.61 | 0.36 | 0.36 | 1797–2020 |
| RWI3 | 6.3 | 1797–2020 | 0.97 | 0.21 | 0.33 | 0.97 | 0.64 | 0.32 | 0.29 | 1831–2020 |
| RWI4 | 11.0–12.0 | 1819–2020 | 1.00 | 0.24 | 0.34 | 0.97 | 0.65 | 0.30 | 0.46 | 1880–2020 |
| Variable | Pearson’s Correlation Coefficient | p-Value |
|---|---|---|
| RWI1 | 0.738 | 0.001 |
| RWI2 | 0.568 | 0.001 |
| RWI3 | 0.803 | 0.001 |
| RWI4 | 0.567 | 0.001 |
| Drought Year | Resistance (Rt) | Recovery (Rc) | Resilience (Rs) | ||||||||||
|---|---|---|---|---|---|---|---|---|---|---|---|---|---|
| RWI1 | RWI2 | RWI3 | RWI4 | RWI1 | RWI2 | RWI3 | RWI4 | RWI1 | RWI2 | RWI3 | RWI4 | ||
| 1890 | Mean | 0.51 | 0.44 | 0.49 | 0.64 | 1.31 | 1.42 | 2.34 | 1.48 | 0.60 | 0.57 | 0.66 | 0.91 |
| SD | 0.23 | 0.16 | 0.13 | 0.22 | 0.45 | 0.67 | 1.65 | 0.35 | 0.27 | 0.17 | 0.19 | 0.29 | |
| 1902 | Mean | 0.68 | 0.59 | 0.65 | 0.67 | 2.28 | 2.24 | 2.79 | 1.79 | 1.23 | 1.03 | 1.19 | 1.00 |
| SD | 0.32 | 0.30 | 0.28 | 0.29 | 1.61 | 1.65 | 2.63 | 0.93 | 0.52 | 0.41 | 0.59 | 0.34 | |
| 1956 | Mean | 0.60 | 0.58 | 0.64 | 0.54 | 2.48 | 2.59 | 2.79 | 2.42 | 1.39 | 1.49 | 1.31 | 1.20 |
| SD | 0.25 | 0.22 | 0.24 | 0.15 | 1.40 | 1.71 | 4.73 | 1.29 | 0.79 | 1.64 | 0.49 | 0.25 | |
| 1974 | Mean | 0.56 | 0.59 | 0.63 | 0.75 | 1.94 | 1.76 | 1.61 | 1.48 | 1.05 | 0.96 | 0.96 | 1.05 |
| SD | 0.17 | 0.21 | 0.23 | 0.26 | 0.85 | 0.75 | 0.57 | 0.52 | 0.43 | 0.28 | 0.28 | 0.27 | |
| 1999 | Mean | 0.64 | 0.68 | 0.76 | 0.74 | 1.98 | 1.87 | 1.51 | 1.50 | 1.08 | 1.11 | 1.03 | 0.99 |
| SD | 0.30 | 0.36 | 0.36 | 0.33 | 1.74 | 1.16 | 0.82 | 0.61 | 0.56 | 0.64 | 0.47 | 0.36 | |
| 2006 | Mean | 0.53 | 0.56 | 0.64 | 0.75 | 1.65 | 1.62 | 1.60 | 1.37 | 0.79 | 0.83 | 0.87 | 0.98 |
| SD | 0.24 | 0.20 | 0.24 | 0.28 | 0.70 | 0.67 | 1.12 | 0.51 | 0.33 | 0.34 | 0.29 | 0.43 | |
| 2011 | Mean | 0.51 | 0.52 | 0.53 | 0.56 | 2.30 | 2.26 | 2.12 | 1.98 | 1.00 | 1.02 | 1.02 | 1.03 |
| SD | 0.20 | 0.26 | 0.19 | 0.23 | 1.52 | 1.15 | 0.98 | 0.86 | 0.41 | 0.35 | 0.39 | 0.35 | |
Disclaimer/Publisher’s Note: The statements, opinions and data contained in all publications are solely those of the individual author(s) and contributor(s) and not of MDPI and/or the editor(s). MDPI and/or the editor(s) disclaim responsibility for any injury to people or property resulting from any ideas, methods, instructions or products referred to in the content. |
© 2022 by the authors. Licensee MDPI, Basel, Switzerland. This article is an open access article distributed under the terms and conditions of the Creative Commons Attribution (CC BY) license (https://creativecommons.org/licenses/by/4.0/).
Share and Cite
Cabral-Alemán, C.; Villanueva-Díaz, J.; Quiñonez-Barraza, G.; Gómez-Guerrero, A. Resilience of Pinus durangensis Martínez in Extreme Drought Periods: Vertical and Horizontal Response of Tree Rings. Atmosphere 2023, 14, 43. https://doi.org/10.3390/atmos14010043
Cabral-Alemán C, Villanueva-Díaz J, Quiñonez-Barraza G, Gómez-Guerrero A. Resilience of Pinus durangensis Martínez in Extreme Drought Periods: Vertical and Horizontal Response of Tree Rings. Atmosphere. 2023; 14(1):43. https://doi.org/10.3390/atmos14010043
Chicago/Turabian StyleCabral-Alemán, Citlalli, José Villanueva-Díaz, Gerónimo Quiñonez-Barraza, and Armando Gómez-Guerrero. 2023. "Resilience of Pinus durangensis Martínez in Extreme Drought Periods: Vertical and Horizontal Response of Tree Rings" Atmosphere 14, no. 1: 43. https://doi.org/10.3390/atmos14010043
APA StyleCabral-Alemán, C., Villanueva-Díaz, J., Quiñonez-Barraza, G., & Gómez-Guerrero, A. (2023). Resilience of Pinus durangensis Martínez in Extreme Drought Periods: Vertical and Horizontal Response of Tree Rings. Atmosphere, 14(1), 43. https://doi.org/10.3390/atmos14010043

