Characteristics and Provenance Implications of Rare Earth Elements and Nd Isotope in PM2.5 in a Coastal City of Southeastern China
Abstract
:1. Introduction
2. Materials and Methods
2.1. Study Area
2.2. Sampling and Preparation
2.3. Analysis Method and Quality Assurance
3. Results and Discussion
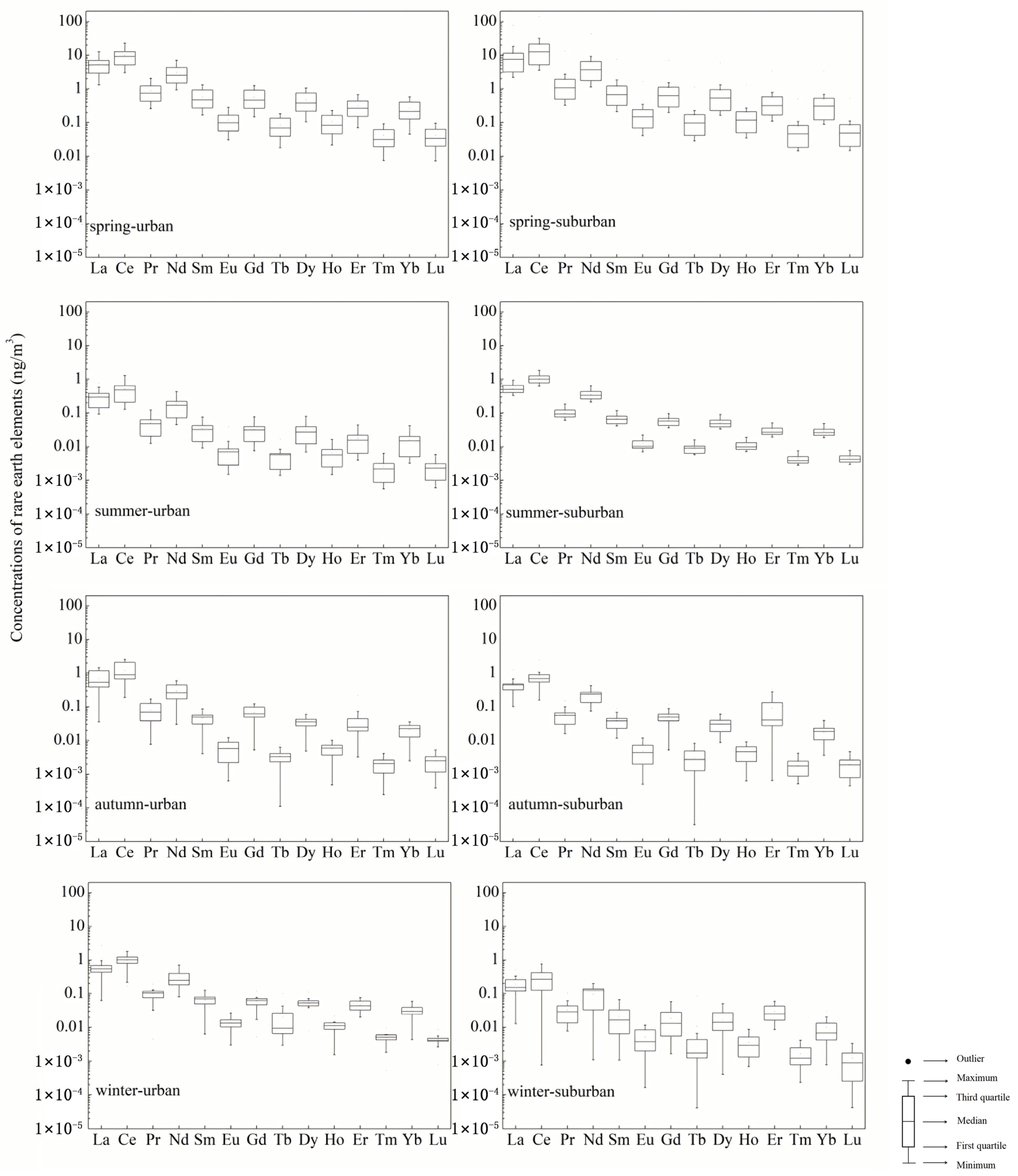
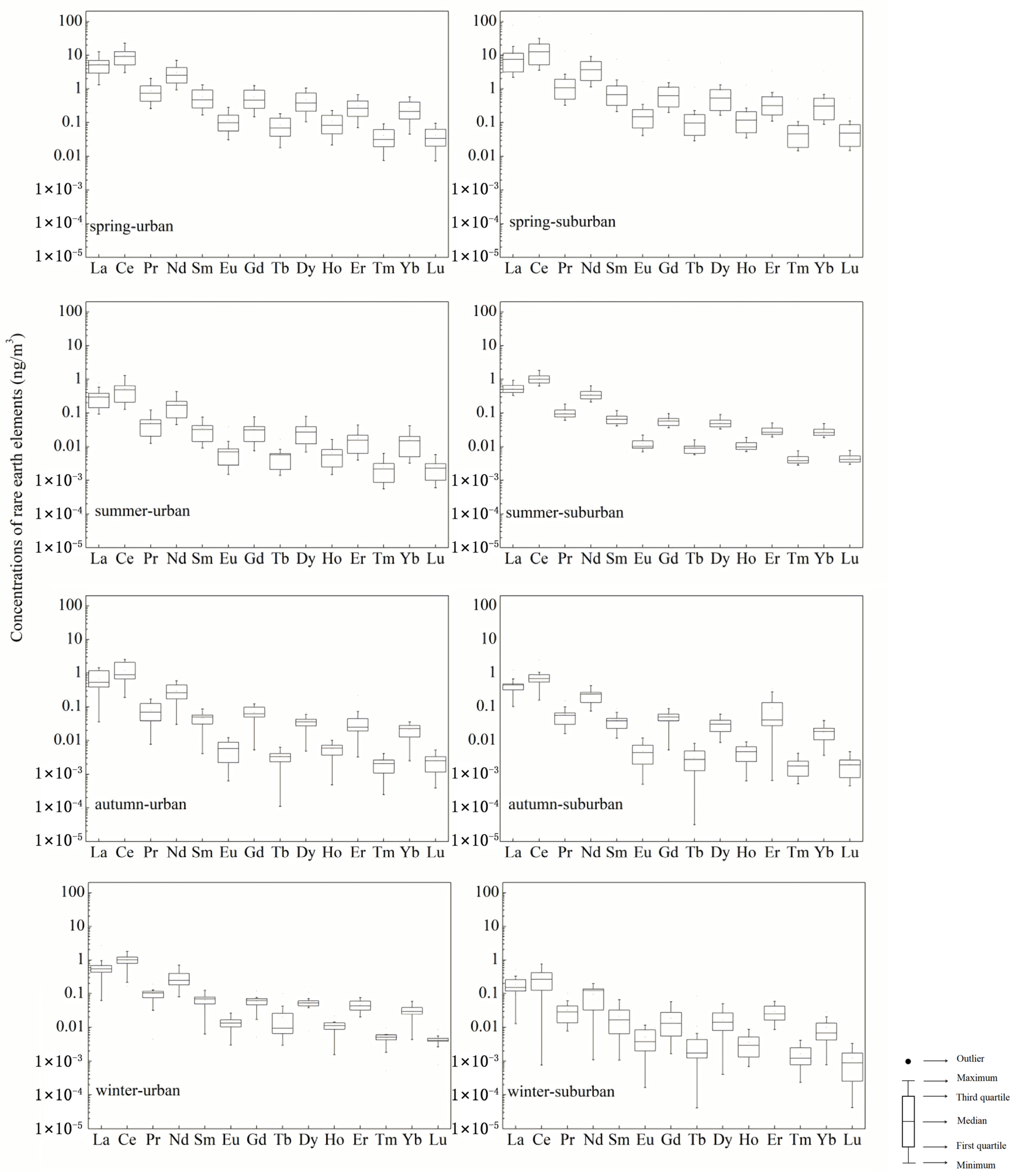
3.1. REE Concentrations in PM2.5
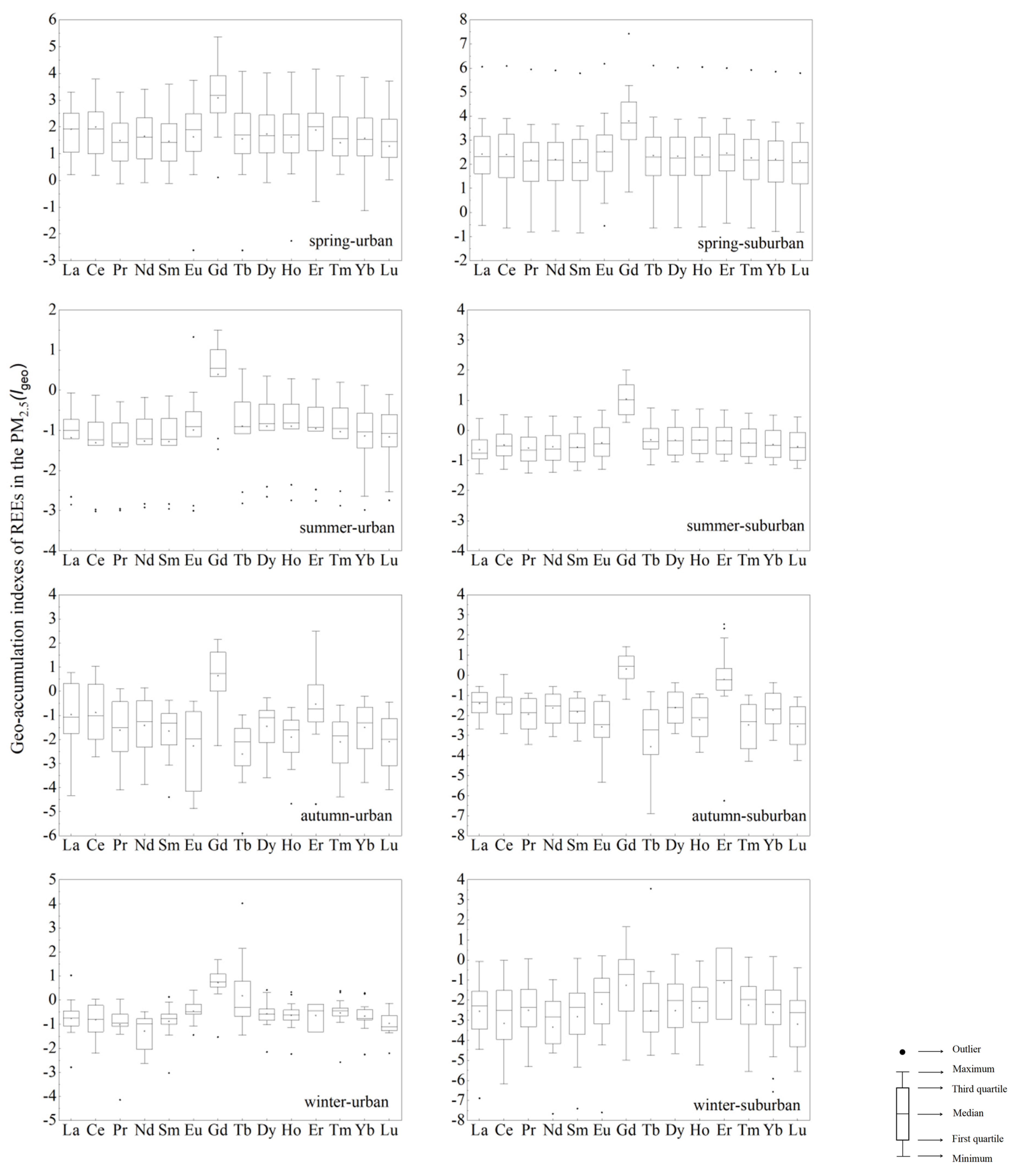
3.2. REEs’ Geoaccumulation Indices in the PM2.5
3.3. Distribution Patterns and Characteristic Parameters of REEs in PM2.5
3.4. Source Analysis of REEs by Ternary Plots
3.5. Nd Isotope Tracing of Rare Earth Elements in PM2.5
4. Conclusions
Author Contributions
Funding
Institutional Review Board Statement
Informed Consent Statement
Data Availability Statement
Conflicts of Interest
References
- Huang, R.J.; Zhang, Y.; Bozzetti, C.; Ho, K.F.; Cao, J.J.; Han, Y.; Daellenbach, K.R.; Slowik, J.G.; Platt, S.M.; Canonaco, F.; et al. High secondary aerosol contribution to particulate pollution during haze events in China. Nature 2014, 514, 218–222. [Google Scholar] [CrossRef] [PubMed]
- Sulong, N.A.; Latif, M.T.; Khan, M.F.; Amil, N.; Ashfold, M.J.; Wahab, M.I.A.; Chan, K.M.; Sahani, M. Source apportionment and health risk assessment among specific age groups during haze and non-haze episodes in Kuala Lumpur, Malaysia. Sci. Total Environ. 2017, 601, 556–570. [Google Scholar] [CrossRef] [PubMed]
- Wei, W.; Li, Y.; Wang, Y.; Cheng, S.; Wang, L. Characteristics of VOCs during haze and non-haze days in Beijing, China: Concentration, chemical degradation and regional transport impact. Atmos. Environ. 2018, 194, 134–145. [Google Scholar] [CrossRef]
- Dong, Z.; Su, F.; Zhang, Z.; Wang, S. Observation of chemical components of PM2.5 and secondary inorganic aerosol formation during haze and sandy haze days in Zhengzhou, China. J. Environ. Sci. 2020, 88, 316–325. [Google Scholar] [CrossRef] [PubMed]
- Zeng, W.; Liu, T.; Du, Q.; Li, J.; Xiao, J.; Guo, L.; Li, X.; Xu, Y.; Xu, X.; Wan, D.; et al. The interplay of haze characteristics on mortality in the Pearl River Delta of China. Environ. Res. 2020, 184, 109279. [Google Scholar] [CrossRef]
- Yang, S.Y.; Yu, X.Y.; Zhao, X.Y.; Li, Y.Y.; Shun, H.P.; Tian, Z.J.; Li, Y.; Wu, S.; Wang, Z.H. Characteristics of Key Size Spectrum of PM2.5 Affecting Winter Haze Pollution in Taiyuan. Environ. Sci. 2018, 39, 2512–2520. [Google Scholar]
- Nakhlé, M.M.; Farah, W.; Ziade, N.; Abboud, M.; Salameh, D.; Annesi-Maesano, I. Short-term relationships between emergency hospital admissions for respiratory and cardiovascular diseases and fine particulate air pollution in Beirut, Lebanon. Environ. Monit. Assess. 2015, 187, 196. [Google Scholar] [CrossRef] [PubMed]
- Chow, W.S.; Huang, X.H.H.; Leung, K.F.; Huang, L.; Wu, X.; Yu, J.Z. Molecular and elemental marker-based source apportionment of fine particulate matter at six sites in Hong Kong, China. Sci. Total Environ. 2022, 813, 152652. [Google Scholar] [CrossRef] [PubMed]
- Oh, H.R.; Ho, C.H.; Kim, J.; Chen, D.; Lee, S.; Choi, Y.S.; Chang, L.S.; Song, C.K. Long-range transport of air pollutants originating in China: A possible major cause of multi-day high-PM10 episodes during cold season in Seoul, Korea. Atmos. Environ. 2015, 109, 23–30. [Google Scholar] [CrossRef]
- Wang, L.; Liu, Z.; Sun, Y.; Ji, D.; Wang, Y. Long-range transport and regional sources of PM2.5 in Beijing based on long-term observations from 2005 to 2010. Atmos. Res. 2015, 157, 37–48. [Google Scholar] [CrossRef]
- Zhang, R.; Jing, J.; Tao, J.; Hsu, S.-C.; Wang, G.; Cao, J.; Lee, C.S.L.; Zhu, L.; Chen, Z.; Zhao, Y. Chemical characterization and source apportionment of PM2.5 in Beijing: Seasonal perspective. Atmos. Chem. Phys. 2013, 13, 7053–7074. [Google Scholar] [CrossRef] [Green Version]
- Liu, B.; Wu, J.; Zhang, J.; Wang, L.; Yang, J.; Liang, D.; Dai, Q.; Bi, X.; Feng, Y.; Zhang, Y. Characterization and source apportionment of PM2.5 based on error estimation from EPA PMF 5.0 model at a medium city in China. Environ. Pollut. 2017, 222, 10–22. [Google Scholar] [CrossRef] [PubMed]
- Akinlua, A.; Olise, F.S.; Akomolafe, A.O.; McCrindle, R.I. Rare earth element geochemistry of petroleum source rocks from northwestern Niger Delta. Mar. Pet. Geol. 2016, 77, 409–417. [Google Scholar] [CrossRef]
- Atibu, E.K.; Devarajan, N.; Laffite, A.; Giuliani, G.; Salumu, J.A.; Muteb, R.C.; Mulaji, C.K.; Otamonga, J.P.; Elongo, V.; Mpiana, P.T.; et al. Assessment of trace metal and rare earth elements contamination in rivers around abandoned and active mine areas. The case of Lubumbashi River and Tshamilemba Canal, Katanga, Democratic Republic of the Congo. Geochemistry 2016, 76, 353–362. [Google Scholar] [CrossRef]
- Zhu, B.; Ge, L.; Yang, T.; Jiang, S.; Lv, X. Stable isotopes and rare earth element compositions of ancient cold seep carbonates from Enza River, northern Apennines (Italy): Implications for fluids sources and carbonate chimney growth. Mar. Pet. Geol. 2019, 109, 434–448. [Google Scholar] [CrossRef]
- Censi, P.; Tamburo, E.; Speziale, S.; Zuddas, P.; Randazzo, L.; Punturo, R.; Cuttitta, A.; Aricò, P. Yttrium and lanthanides in human lung fluids, probing the exposure to atmospheric fallout. J. Hazard. Mater. 2011, 186, 1103–1110. [Google Scholar] [CrossRef]
- Zhang, H.; Feng, J.; Zhu, W.; Liu, C.; Xu, S.; Shao, P.; Wu, D.; Yang, W.; Gu, J. Chronic toxicity of rare-earth elements on human beings. Biol. Trace Elem. Res. 2000, 73, 1–17. [Google Scholar] [CrossRef]
- Zhu, W.; Xu, S.; Shao, P.; Zhang, H.; Wu, D.; Yang, W.; Feng, J.; Feng, L. Investigation on liver function among population in high background of rare earth area in South China. Biol. Trace Elem. Res. 2005, 104, 1–7. [Google Scholar] [CrossRef]
- McDonald, J.W.; Ghio, A.J.; Sheehan, C.E.; Bernhardt, P.F.; Roggli, V.L. Rare earth (cerium oxide) pneumoconiosis: Analytical scanning electron microscopy and literature review. Mod. Pathol. Off. J. U. S. Can. Acad. Pathol. Inc. 1995, 8, 859–865. [Google Scholar]
- Gwenzi, W.; Mangori, L.; Danha, C.; Chaukura, N.; Dunjana, N.; Sanganyado, E. Sources, behaviour, and environmental and human health risks of high-technology rare earth elements as emerging contaminants. Sci. Total Environ. 2018, 636, 299–313. [Google Scholar] [CrossRef]
- Wang, L.; Han, X.; Ding, S.; Liang, T.; Zhang, Y.; Xiao, J.; Dong, L.; Zhang, H. Combining multiple methods for provenance discrimination based on rare earth element geochemistry in lake sediment. Sci. Total Environ. 2019, 672, 264–274. [Google Scholar] [CrossRef] [PubMed]
- Grousset, F.E.; Biscaye, P.E. Tracing dust sources and transport patterns using Sr, Nd and Pb isotopes. Chem. Geol. 2005, 222, 149–167. [Google Scholar] [CrossRef]
- Grobéty, B.; Gieré, R.; Dietze, V.; Stille, P. Airborne particles in the urban environment. Elements 2010, 6, 229–234. [Google Scholar] [CrossRef]
- Xiao, B.; Chen, H.; Hollings, P.; Han, J.; Wang, Y.; Yang, J.; Cai, K. Magmatic evolution of the Tuwu-Yandong porphyry Cu belt, NW China: Constraints from geochronology, geochemistry and Sr–Nd–Hf isotopes. Gondwana Res. 2017, 43, 74–91. [Google Scholar] [CrossRef]
- Nakano, T.; Nishikawa, M.; Mori, I.; Shin, K.; Hosono, T.; Yokoo, Y. Source and evolution of the “perfect Asian dust storm” in early April 2001: Implications of the Sr-Nd isotope ratios. Atmos. Environ. 2005, 39, 5568–5575. [Google Scholar] [CrossRef]
- Moragues-Quiroga, C.; Juilleret, J.; Gourdol, L.; Pelt, E.; Perrone, T.; Aubert, A.; Morvan, G.; Chabaux, F.; Legout, A.; Stille, P.; et al. Genesis and evolution of regoliths: Evidence from trace and major elements and Sr-Nd-Pb-U isotopes. Catena 2017, 149, 185–198. [Google Scholar] [CrossRef]
- Chu, Z.Y.; Wang, M.J.; Li, C.F.; Yang, Y.H.; Xu, J.J.; Wang, W.; Guo, J.H. Separation of Nd from geological samples by a single TODGA resin column for high precision Nd isotope analysis as NdO+ by TIMS. J. Anal. At. Spectrom. 2019, 34, 2053–2060. [Google Scholar] [CrossRef]
- Lee, M.K.; Lee, Y.I.; Yi, H.I. Provenances of atmospheric dust over Korea from Sr-Nd isotopes and rare earth elements in early 2006. Atmos. Environ. 2010, 44, 2401–2414. [Google Scholar] [CrossRef]
- Yan, Y.; Yu, R.l.; Hu, G.R.; Wang, S.S.; Huang, H.B.; Cui, J.Y.; Yan, Y. Characteristics and provenances of rare earth elements in the atmospheric particles of a coastal city with large-scale optoelectronic industries. Atmos. Environ. 2019, 214, 116836. [Google Scholar] [CrossRef]
- Yan, Y.; Zheng, Q.; Yu, R.L.; Hu, G.R.; Huang, H.B.; Lin, C.Q.; Cui, J.Y.; Yan, Y. Characteristics and provenance implications of rare earth elements and Sr-Nd isotopes in PM2.5 aerosols and PM2.5 fugitive dusts from an inland city of southeastern China. Atmos. Environ. 2020, 220, 117069. [Google Scholar] [CrossRef]
- Pang, X.; Li, D.; Peng, A. Application of rare-earth elements in the agriculture of China and its environmental behavior in soil. Environ. Sci. Pollut. Res. 2002, 9, 143–148. [Google Scholar] [CrossRef] [PubMed]
- Liang, T.; Li, K.; Wang, L. State of rare earth elements in different environmental components in mining areas of China. Environ. Monit. Assess. 2014, 186, 1499–1513. [Google Scholar] [CrossRef] [PubMed]
- Dushyantha, N.; Batapola, N.; Ilankoon, I.; Rohitha, S.; Premasiri, R.; Abeysinghe, B.; Ratnayake, N.; Dissanayake, K. The story of rare earth elements (REEs): Occurrences, global distribution, genesis, geology, mineralogy and global production. Ore Geol. Rev. 2020, 122, 103521. [Google Scholar] [CrossRef]
- Migaszewski, Z.M.; Gałuszka, A. The characteristics, occurrence, and geochemical behavior of rare earth elements in the environment: A review. Crit. Rev. Environ. Sci. Technol. 2015, 45, 429–471. [Google Scholar] [CrossRef]
- Lin, J.; Kang, J.; Khanna, N.; Shi, L.; Zhao, X.; Liao, J. Scenario analysis of urban GHG peak and mitigation co-benefits: A case study of Xiamen City, China. J. Clean. Prod. 2018, 171, 972–983. [Google Scholar] [CrossRef]
- Li, X.; Gao, L.; Dai, L.; Zhang, G.; Zhuang, X.; Wang, W.; Zhao, Q. Understanding the relationship among urbanisation, climate change and human health: A case study in Xiamen. Int. J. Sustain. Dev. World Ecol. 2010, 17, 304–310. [Google Scholar] [CrossRef]
- Wang, S.; Hao, J. Air quality management in China: Issues, challenges, and options. J. Environ. Sci. 2012, 24, 2–13. [Google Scholar] [CrossRef]
- Li, T.-C.; Chen, W.-H.; Yuan, C.-S.; Wu, S.-P.; Wang, X.-H. Physicochemical characteristics and source apportionment of atmospheric aerosol particles in Kinmen-Xiamen Airshed. Aerosol Air Qual. Res. 2013, 13, 308–323. [Google Scholar] [CrossRef]
- Chen, J.; Qiu, S.; Shang, J.; Wilfrid, O.M.; Liu, X.; Tian, H.; Boman, J. Impact of relative humidity and water soluble constituents of PM2.5 on visibility impairment in Beijing, China. Aerosol Air Qual. Res. 2014, 14, 260–268. [Google Scholar] [CrossRef]
- Deng, J.; Zhang, Y.; Hong, Y.; Xu, L.; Chen, Y.; Du, W.; Chen, J. Optical properties of PM2.5 and the impacts of chemical compositions in the coastal city Xiamen in China. Sci. Total Environ. 2016, 557, 665–675. [Google Scholar] [CrossRef]
- Chang, W.; Zhan, J. The association of weather patterns with haze episodes: Recognition by PM2.5 oriented circulation classification applied in Xiamen, Southeastern China. Atmos. Res. 2017, 197, 425–436. [Google Scholar] [CrossRef]
- Ma, Y.; Wang, Z.; Tan, Y.; Xu, S.; Kong, S.; Wu, G.; Wu, X.; Li, H. Comparison of inorganic chemical compositions of atmospheric TSP, PM10 and PM2.5 in northern and southern Chinese coastal cities. J. Environ. Sci. 2017, 55, 339–353. [Google Scholar] [CrossRef] [PubMed]
- Zhang, N.; Cao, J.; Li, L.; Ho, S.S.H.; Wang, Q.; Zhu, C.; Wang, L. Characteristics and source identification of polycyclic aromatic hydrocarbons and n-alkanes in PM2.5 in Xiamen. Aerosol Air Qual. Res. 2018, 18, 1673–1683. [Google Scholar] [CrossRef]
- Wang, S.; Yan, Y.; Yu, R.; Shen, H.; Hu, G.; Wang, S. Influence of pollution reduction interventions on atmospheric PM2.5: A case study from the 2017 Xiamen. Atmos. Pollut. Res. 2021, 12, 101137. [Google Scholar] [CrossRef]
- Wang, S.; Hu, G.; Yu, R.; Shen, H.; Yan, Y. Bioaccessibility and source-specific health risk of heavy metals in PM2.5 in a coastal city in China. Environ. Adv. 2021, 4, 100047. [Google Scholar] [CrossRef]
- Yang, Z.; Ruilian, Y.; Gongren, H.; Xiaohui, L.; Xianrong, L. Characteristics and environmental significance of rare earth elements in PM2.5 of Nanchang, China. J. Rare Earths 2017, 35, 98–106. [Google Scholar]
- Gao, P.; Jian, H.; Xing, Y.; Tianxing, X.; Chen, X.; Jia, L.; Hang, J. Bioaccessiblity and exposure assessment of PM2.5-and PM10-bound rare earth elements in Oil City, Northeast China. J. Hazard. Mater. 2020, 396, 122520. [Google Scholar] [CrossRef] [PubMed]
- Hu, G.; Wang, S.; Yu, R.; Zhang, Z.; Wang, X. Source Apportionment of Rare Earth Elements in PM2.5 in a Southeast Coastal City of China. Aerosol Air Qual. Res. 2019, 19, 92–102. [Google Scholar] [CrossRef]
- Muller, G. Die Schwermetallbelastung der sedimente des Neckars und seiner Nebenflusse: Eine Bestandsaufnahme. Chem. Ztg. 1981, 105, 157–164. [Google Scholar]
- Masuda, A.; Nakamura, N.; Tanaka, T. Fine structures of mutually normalized rare-earth patterns of chondrites. Geochim. Cosmochim. Acta 1973, 37, 239–248. [Google Scholar] [CrossRef]
- Wang, S.-S.; Cheng, Y.-F.; Yan, J.-P.; Hu, G.-R. Distribution Characteristics and Sources of Metal Elements in Rainwater in Xiamen. Huan Jing Ke Xue 2019, 40, 4783–4790. [Google Scholar] [PubMed]
- Yin, K.; Xu, S.; Zhu, X.; Huang, W.; Liu, S. Estimation of spatial extreme sea levels in Xiamen seas by the quadrature JPM-OS method. Nat. Hazards 2021, 106, 327–348. [Google Scholar] [CrossRef]
- Li, K.; Liang, T.; Wang, L.; Tian, S. Inhalation exposure and potential health risk estimation of lanthanides elements in PM2.5 associated with rare earth mining areas: A case of Baotou city, northern China. Environ. Geochem. Health. 2018, 40, 2795–2805. [Google Scholar] [CrossRef]
- Zhou, H.; Chun, X.; Lü, C.; He, J.; Du, D. Geochemical characteristics of rare earth elements in windowsill dust in Baotou, China: Influence of the smelting industry on levels and composition. Environ. Sci. Processes Impacts 2020, 22, 2398–2405. [Google Scholar] [CrossRef]
- Liu, C.Q.; Masuda, A.; Okada, A.; Yabuki, S.; Fan, Z.L. Isotope geochemistry of Quaternary deposits from the arid lands in northern China. Earth Planet. Sci. Lett. 1994, 127, 25–38. [Google Scholar] [CrossRef]
- Biscaye, P.E.; Grousset, F.E.; Revel, M.; Van der Gaast, S.; Zielinski, G.; Vaars, A.; Kukla, G. Asian provenance of glacial dust (stage 2) in the Greenland Ice Sheet Project 2 ice core, Summit, Greenland. J. Geophys. Res. Oceans 1997, 102, 26765–26781. [Google Scholar] [CrossRef]
- Nakano, T.; Yokoo, Y.; Nishikawa, M.; Koyanagi, H. Regional Sr-Nd isotopic ratios of soil minerals in northern China as Asian dust fingerprints. Atmos. Environ. 2004, 38, 3061–3067. [Google Scholar] [CrossRef]
- Chen, J.; Li, G.; Yang, J.; Rao, W.; Lu, H.; Balsam, W.; Sun, Y.; Ji, J. Nd and Sr isotopic characteristics of Chinese deserts: Implications for the provenances of Asian dust. Geochim. Cosmochim. Acta 2007, 71, 3904–3914. [Google Scholar] [CrossRef]
- Rao, W.; Chen, J.; Yang, J.; Ji, J.; Li, G.; Tan, H. Sr-Nd isotopic characteristics of eolian deposits in the Erdos Desert and Chinese Loess Plateau: Implications for their provenances. Geochem. J. 2008, 42, 273–282. [Google Scholar] [CrossRef] [Green Version]





| Spring | Summer | Autumn | Winter | |||||
|---|---|---|---|---|---|---|---|---|
| Urban | Suburban | Urban | Suburban | Urban | Suburban | Urban | Suburban | |
| ΣLREE | 20.38 | 42.83 | 1.13 | 2.12 | 2.31 | 1.64 | 2.1 | 0.59 |
| ΣHREE | 1.92 | 3.56 | 0.12 | 0.2 | 0.19 | 0.19 | 0.2 | 0.07 |
| ΣREE | 22.3 | 46.4 | 1.25 | 2.33 | 2.5 | 1.83 | 2.29 | 0.65 |
| ΣREE/PM2.5 × 10−5 | 36.31 | 80.58 | 4.07 | 6.33 | 5.68 | 3.76 | 5.37 | 1.92 |
| Ce/Ce* a | Eu/Eu* b | ΣLREE/ΣHREE c | (La/Yb)N | ||
|---|---|---|---|---|---|
| PM2.5 | Spring | 1.05 | 0.65 | 11.24 | 14.85 |
| Summer | 1.01 | 0.58 | 9.80 | 11.81 | |
| Autumn | 1.19 | 0.33 | 10.74 | 19.29 | |
| Winter | 0.93 | 0.69 | 9.65 | 13.36 | |
| Potentialsources | Background soil | 0.96 | 0.54 | 11.60 | 13.79 |
| Automotive gasoline dust | 1.21 | 0.78 | 11.96 | 19.65 | |
| Automotive diesel dust | 1.19 | 0.85 | 9.91 | 14.62 | |
| Coal combustion dust | 0.89 | 0.63 | 10.97 | 12.92 | |
| Cement dust | 0.98 | 0.68 | 7.76 | 7.89 | |
| Road dust | 1.07 | 0.82 | 10.14 | 10.95 | |
| Waste incineration dust | 0.88 | 0.88 | 9.88 | 13.72 | |
| Steel dust | 1.11 | 1.07 | 9.30 | 8.80 | |
| Firework dust | 1.06 | 10.33 | 13.98 | 16.98 |
Publisher’s Note: MDPI stays neutral with regard to jurisdictional claims in published maps and institutional affiliations. |
© 2022 by the authors. Licensee MDPI, Basel, Switzerland. This article is an open access article distributed under the terms and conditions of the Creative Commons Attribution (CC BY) license (https://creativecommons.org/licenses/by/4.0/).
Share and Cite
Li, Y.; Wang, S.; Yan, Y.; Yan, J.; Yu, R.; Hu, G. Characteristics and Provenance Implications of Rare Earth Elements and Nd Isotope in PM2.5 in a Coastal City of Southeastern China. Atmosphere 2022, 13, 1367. https://doi.org/10.3390/atmos13091367
Li Y, Wang S, Yan Y, Yan J, Yu R, Hu G. Characteristics and Provenance Implications of Rare Earth Elements and Nd Isotope in PM2.5 in a Coastal City of Southeastern China. Atmosphere. 2022; 13(9):1367. https://doi.org/10.3390/atmos13091367
Chicago/Turabian StyleLi, Yihong, Shanshan Wang, Yu Yan, Jinpei Yan, Ruilian Yu, and Gongren Hu. 2022. "Characteristics and Provenance Implications of Rare Earth Elements and Nd Isotope in PM2.5 in a Coastal City of Southeastern China" Atmosphere 13, no. 9: 1367. https://doi.org/10.3390/atmos13091367
APA StyleLi, Y., Wang, S., Yan, Y., Yan, J., Yu, R., & Hu, G. (2022). Characteristics and Provenance Implications of Rare Earth Elements and Nd Isotope in PM2.5 in a Coastal City of Southeastern China. Atmosphere, 13(9), 1367. https://doi.org/10.3390/atmos13091367

