Impact of Lidar Data Assimilation on Simulating Afternoon Thunderstorms near Pingtung Airport, Taiwan: A Case Study
Abstract
1. Introduction
2. Methods
2.1. Study Area and Period
2.2. Observational Data
2.3. WRF Model Configuration and Experimental Design in Data Assimilation
2.4. Verification Methods
3. Results
3.1. Overview of the Event Day
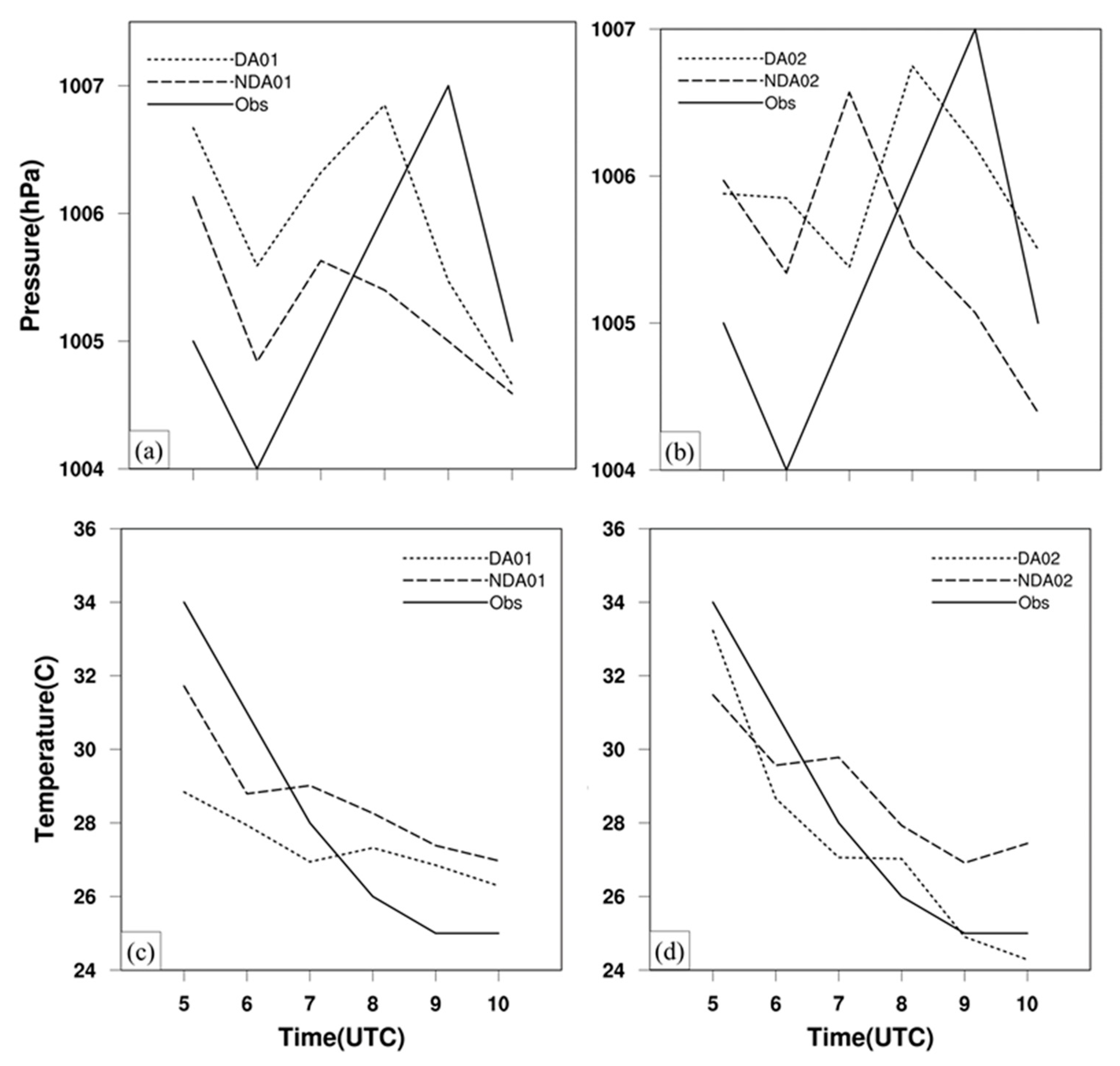
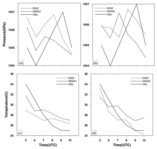
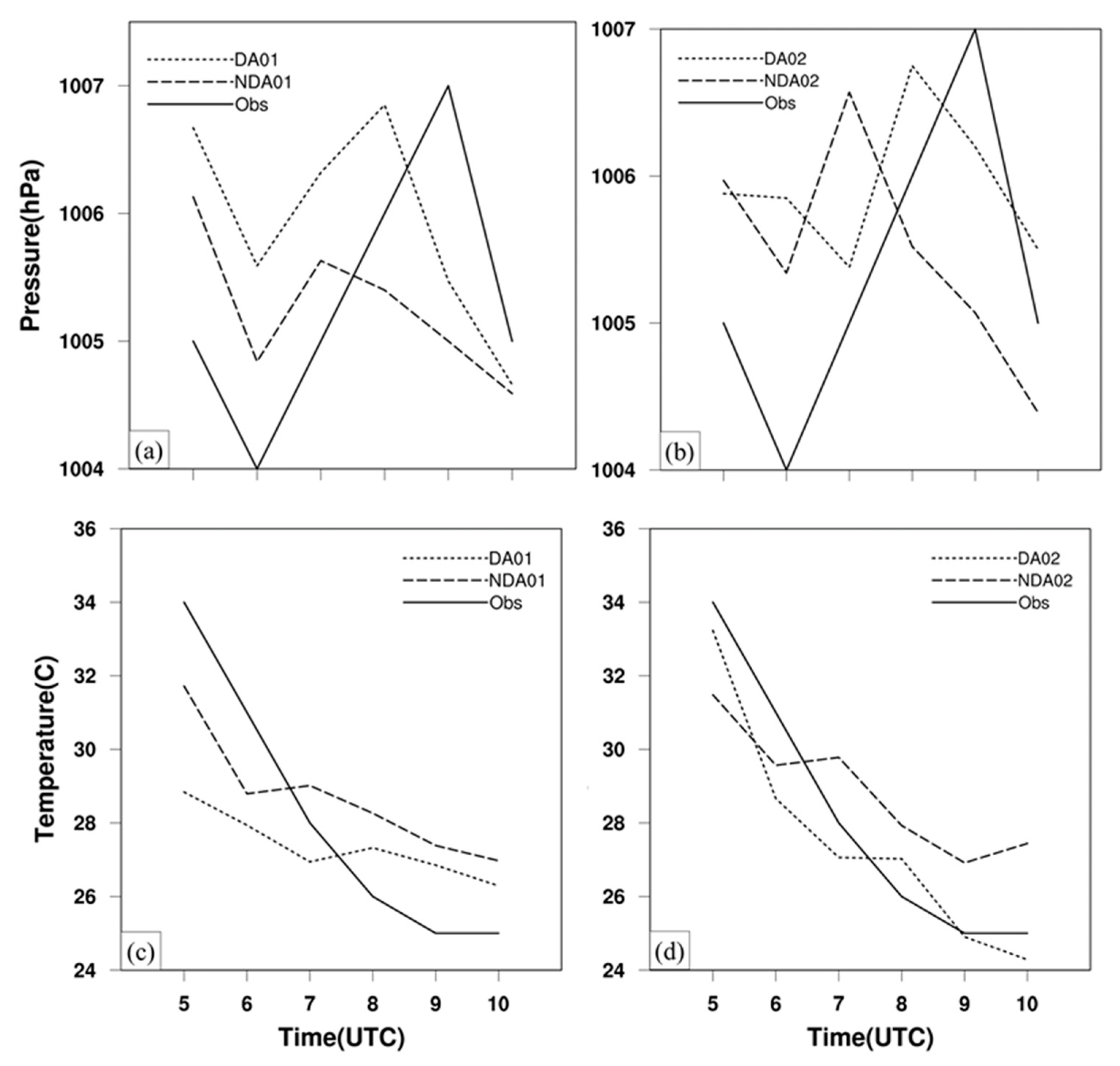
3.2. Verification of the ATs
3.3. Quantitative Analysis for Precipitation Forecast
4. Discussion and Conclusions
Author Contributions
Funding
Institutional Review Board Statement
Informed Consent Statement
Data Availability Statement
Acknowledgments
Conflicts of Interest
References
- Yang, P.; Ren, G.; Yan, P. Evidence for a strong association of short-duration intense rainfall with urbanization in the Beijing urban area. J. Clim. 2017, 30, 5851–5870. [Google Scholar] [CrossRef]
- Fowler, H.J.; Lenderink, G.; Prein, A.F.; Westra, S.; Allan, R.P.; Ban, N.; Barbero, R.; Berg, P.; Blenkinsop, S.; Do, H.X.; et al. Anthropogenic intensification of short-duration rainfall extremes. Nat. Rev. Earth Environ. 2021, 2, 107–122. [Google Scholar] [CrossRef]
- Bouttier, F.; Marchal, H. Probabilistic thunderstorm forecasting by blending multiple ensembles. Tellus A Dyn. Meteorol. Oceanogr. 2020, 72, 1–19. [Google Scholar] [CrossRef]
- Wu, C.-M.; Lin, H.-C.; Cheng, F.-Y.; Chien, M.-H. Implementation of the Land Surface Processes into a Vector Vorticity Equation Model (VVM) to Study its Impact on Afternoon Thunderstorms over Complex Topography in Taiwan. Asia-Pac. J. Atmos. Sci. 2019, 55, 701–717. [Google Scholar] [CrossRef]
- Kerns, B.W.J.; Chen, Y.L.; Chang, M.Y. The diurnal cycle of winds, rain, and clouds over Taiwan during the mei-yu, summer, and autumn rainfall regimes. Mon. Weather Rev. 2010, 138, 497–516. [Google Scholar] [CrossRef]
- Ruppert, J.H.; Johnson, R.H.; Rowe, A.K. Diurnal circulations and rainfall in Taiwan during SoWMEX/TiMREX (2008). Mon. Weather Rev. 2013, 141, 3851–3872. [Google Scholar] [CrossRef][Green Version]
- Huang, W.-R.; Chen, K.-C. Trends in pre-summer frontal and diurnal rainfall activities during 1982–2012 over Taiwan and Southeast China: Characteristics and possible causes. Int. J. Climatol. 2015, 35, 2608–2619. [Google Scholar] [CrossRef]
- Chen, T.-C.; Yen, M.-C.; Tsay, J.-D.; Liao, C.-C.; Takle, E.S. Impact of afternoon thunderstorms on the land-sea breeze in the Taipei basin during summer: An experiment. J. Appl. Meteor. Climatol. 2014, 53, 1714–1738. [Google Scholar] [CrossRef]
- Chen, T.-C.; Tsay, J.-D.; Takle, E.S. Interannual Variation of Summer Rainfall in the Taipei Basin. J. Appl. Meteorol. Climatol. 2016, 55, 1789–1812. [Google Scholar] [CrossRef]
- Miao, J.-E.; Yang, M.-J. A modeling study of the severe afternoon thunderstorm event at Taipei on 14 June 2015: The roles of sea breeze, microphysics, and terrain. J. Meteor. Soc. Jpn. 2020, 98, 129–152. [Google Scholar] [CrossRef]
- Chen, T.C.; Wang, S.Y.; Yen, M.C. Enhancement of afternoon thunderstorm activity by urbanization in a valley: Taipei. J. Appl. Meteor. Climatol. 2007, 46, 1324–1340. [Google Scholar] [CrossRef]
- Chen, T.-C.; Tsay, J.-D.; Takle, E.S. A Forecast Advisory for Afternoon Thunderstorm Occurrence in the Taipei Basin during Summer Developed from Diagnostic Analysis. Weather Forecast. 2016, 31, 531–552. [Google Scholar] [CrossRef]
- Cao, Y.; Wu, Z.; Xu, Z. Effects of rainfall on aircraft aerodynamics. Prog. Aerosp. Sci. 2014, 71, 85–127. [Google Scholar] [CrossRef]
- Tsujino, S.; Kuo, H.-C.; Yu, H.; Chen, B.-F.; Tsuboki, K. Effects of mid-level moisture and environmental flow on the development of afternoon thunderstorms in Taipei. Terr. Atmos. Ocean. Sci. 2021, 32, 497–518. [Google Scholar] [CrossRef]
- Johnson, R.H.; Breach, J.F. Diagnosed characteristics of precipitation systems over Taiwan during the May–June 1987 TAMEX. Mon. Weather Rev. 1991, 119, 2540–2557. [Google Scholar] [CrossRef]
- Chen, Y.-L.; Li, J. Characteristics of surface airflow and pressure patterns over the island of Taiwan during TAMEX. Mon. Weather Rev. 1995, 123, 695–716. [Google Scholar] [CrossRef][Green Version]
- Harding, K. Thunderstorm formation and aviation hazards. In The Front-NWS Aviation Weather Safety Updates; NOAA National Weather Service: Silver Spring, MD, USA, 2011; pp. 1–4. [Google Scholar]
- Oo, K.T.; Oo, K.L. Analysis of the Most Common Aviation Weather Hazard and Its Key Mechanisms over the Yangon Flight Information Region. Adv. Meteorol. 2022, 5356563. [Google Scholar] [CrossRef]
- Mazzarella, V.; Ferretti, R.; Picciotti, E.; Marzano, F.S. Investigating 3D and 4D variational rapid-update-cycling assimilation of weather radar reflectivity for a heavy rain event in central Italy. Nat. Hazards Earth Syst. Sci. 2021, 21, 2849–2865. [Google Scholar] [CrossRef]
- Sun, J.; Wang, H.; Tong, W.; Zhang, Y.; Lin, C.-Y.; Xu, D. Comparison of the impacts of momentum control variables on high-resolution variational data assimilation and precipitation forecasting. Mon. Weather Rev. 2016, 144, 149–169. [Google Scholar] [CrossRef]
- Wang, H.; Sun, J.; Fan, S.; Huang, X.-Y. Indirect assimilation of radar reflectivity with WRF 3D-Var and its impact on prediction of four summertime convective events. J. Appl. Meteorol. Clim. 2013, 52, 889–902. [Google Scholar] [CrossRef]
- Floors, R.; Vincent, C.L.; Gryning, S.E.; Peña, A.; Batchvarova, E. The wind profile in the coastal boundary layer: Wind lidar measurements and numerical modelling. Bound.-Layer Meteorol. 2013, 147, 469–491. [Google Scholar] [CrossRef]
- Ortiz-Amezcua, P.; Martínez-Herrera, A.; Manninen, A.J.; Pentikäinen, P.P.; O’Connor, E.J.; Guerrero-Rascado, J.L.; AladosArboledas, L. Wind and Turbulence Statistics in the Urban Boundary Layer over a Mountain–Valley System in Granada, Spain. Remote Sens. 2022, 14, 2321. [Google Scholar] [CrossRef]
- Smith, T.L.; Benjamin, S.G. Impact of network wind profiler data on a 3-h Data Assimilation System. Bull. Am. Meteorol. Soc. 1993, 74, 801–807. [Google Scholar] [CrossRef]
- Zhang, Y.; Chen, M.; Zhong, J.A. Quality Control Method for Wind Profiler Observations toward Assimilation applications. J. Atmos. Ocean. Technol. 2017, 34, 1591–1606. [Google Scholar] [CrossRef]
- Wang, C.; Chen, Y.; Chen, M.; Shen, J. Data assimilation of a dense wind profiler network and its impact on convective forecasting. Atmos. Res. 2020, 238, 104880. [Google Scholar] [CrossRef]
- Wang, C.; Chen, M.; Chen, Y. Impact of Combined Assimilation of Wind Profiler and Doppler Radar Data on a Convective-Scale Cycling Forecasting System. Mon. Weather Rev. 2022, 150, 431–450. [Google Scholar] [CrossRef]
- St-James, J.S.; Laroche, S. Assimilation of wind profiler data in the Canadian Meteorological Center’s analysis system. J. Atmos. Ocean. Technol. 2005, 22, 1181–1194. [Google Scholar] [CrossRef]
- Wang, C.-K. Impact of Assimilating the WINDAS Data for Precipitation in Eastern Taiwan-Typhoon MEGI. Master’s Thesis, Institute of Atmospheric Physics, National Central University, Taoyuan, Taiwan, 2013. (In Chinese with English abstract). [Google Scholar]
- Zhang, X.B.; Luo, Y.L.; Wan, Q.L.; Ding, W.Y.; Sun, J.X. Impact of assimilating wind profiling radar observations on convection-permitting quantitative precipitation forecasts during SCMREX. Weather Forecast. 2016, 31, 1271–1292. [Google Scholar] [CrossRef]
- Gregow, E. New Methods Using In-Situ and Remote-Sensing Observations for Improved Meteorological Analysis; Finnish Meteorological Institute: Helsinki, Finland, 2018; pp. 80–91. [Google Scholar]
- Grund, C.J.; Banta, R.M.; George, J.L.; Howell, J.N.; Post, M.J.; Richter, R.A.; Weickmann, A.M. High-resolution Doppler lidar for boundary layer and cloud research. J. Atmos. Ocean. Technol. 2001, 18, 376–393. [Google Scholar]
- Finn, T.S.; Geppert, G.; Ament, F. Towards assimilation of wind profile observations in the atmospheric boundary layer with a sub-kilometre-scale ensemble data assimilation system. Tellus A Dyn. Meteorol. Oceanogr. 2020, 72, 1–14. [Google Scholar]
- Liu, D.; Huang, C.; Feng, J. Influence of Assimilating Wind Profiling Radar Observations in Distinct Dynamic Instability Regions on the Analysis and Forecast of an Extreme Rainstorm Event in Southern China. Remote Sens. 2022, 14, 3478. [Google Scholar] [CrossRef]
- Yeh, N.-C.; Chuang, Y.-C.; Peng, H.-S.; Chen, C.-Y. Application of AIRS soundings to afternoon convection forecasting and nowcasting at Airports. Atmosphere 2021, 13, 61. [Google Scholar] [CrossRef]
- Lin, P.-F.; Chang, P.-L.; Jou, B.J.-D.; Wilson, J.W.; Roberts, R.D. Warm Season Afternoon Thunderstorm Characteristics under Weak Synoptic-Scale Forcing over Taiwan Island. Weather Forecast. 2011, 26, 44–60. [Google Scholar] [CrossRef]
- Bakhoday-Paskyabi, M.; Flügge, M. Predictive Capability of WRF Cycling 3DVAR: LiDAR Assimilation at FINO1. J. Phys. Conf. Ser. 2021, 2018, 012006. [Google Scholar]
- Michalakes, J.; Dudhia, J.; Gill, D.; Henderson, T.; Klemp, J.; Skamarock, W.; Wang, W. The Weather Research and Forecast Model: Software architecture and performance. In Proceedings of the 11th Workshop on the Use of High Performance Computing in Meteorology, Reading, UK, 25–29 October 2004; ECMWF: Reading, UK, 2004; pp. 156–168. [Google Scholar]
- Benjamin, S.G.; Grell, G.A.; Brown, J.M.; Smirnova, T.G.; Bleck, R. Mesoscale weather prediction with the RUC hybrid isentropic–terrain-following coordinate model. Mon. Weather Rev. 2004, 132, 473–494. [Google Scholar]
- Mlawer, E.J.; Taubman, S.J.; Brown, P.D.; Iacono, M.J.; Clough, S.A. Radiative transfer for inhomogeneous atmospheres: RRTM, a validated correlated-k model for the longwave. J. Geophys. Res. 1997, 102, 16663–16682. [Google Scholar] [CrossRef]
- Hong, S.; Noh, Y.; Dudhia, J. A new vertical diffusion package with an explicit treatment of entrainment processes. Mon. Weather Rev. 2006, 134, 2318–2341. [Google Scholar] [CrossRef]
- Mukul Tewari, N.C.A.R.; Tewari, M.; Chen, F.; Wang, W.; Dudhia, J.; LeMone, M.; Mitchell, K.; Ek, M.; Gayno, G.; Wegiel, J.; et al. Implementation and verification of the Unified NOAH land surface model in the WRF model. In Proceedings of the 20th Conference on Weather Analysis and Forecasting/16th Conference on Numerical Weather Prediction, Seattle, WA, USA, 11–15 January 2004; pp. 11–15. [Google Scholar]
- Tao, W.K.; Simpson, J.; McCumber, M. An ice–water saturation adjustment. Mon. Weather Rev. 1989, 117, 231–235. [Google Scholar] [CrossRef]
- Ide, K.; Courtier, P.; Ghil, M.; Lorenc, A. Unified notationfor data assimilation: Operational, sequential and variational. J. Meteor. Soc. Jpn. 1997, 75, 181–197. [Google Scholar] [CrossRef]
- Skamarock, W.C.; Klemp, J.B.; Dudhia, J.; Gill, D.O.; Baker, D.M.; Wang, W.; Powers, J.G. A Description of the Advanced Research WRF Version 2; NCAR Tech. Note NCAR/TN-468+STR; NCAR: Boulder, CO, USA, 2005; pp. 87–95. [Google Scholar]
- Parrish, D.F.; Derber, J.C. The national meteorological center’s spectral statistical-interpolation analysis system. Mon. Weather Rev. 1992, 120, 1747–1763. [Google Scholar] [CrossRef]
- Meng, Z.; Zhang, F. Test of an ensemble Kalman filter for mesoscale and regional-scale data assimilation. Part IV: Comparison with 3DVar in a month-long experiment. Mon. Weather Rev. 2008, 136, 3671–3682. [Google Scholar] [CrossRef]
- Chen, I.-H.; Hong, J.-S.; Tsai, Y.-T.; Fong, C.-T. Improving afternoon thunderstorm prediction over Taiwan through 3DVar-based radar and surface data assimilation. Weather Forecast. 2020, 35, 2603–2620. [Google Scholar] [CrossRef]
- Wang, Q.J.; Pagano, T.C.; Zhou, S.L.; Hapuarachchi, H.A.P.; Zhang, L.; Robertson, D.E. Monthly versus daily water balance models in simulating monthly runoff. J. Hydrol. 2011, 404, 166–175. [Google Scholar] [CrossRef]
- Qian, C.; Zhou, W.; Fong, S.K.; Leong, K.C. Two approaches for statistical prediction of non-Gaussian climate extremes: A case study of Macao hot extremes during 1912–2012. J. Clim. 2015, 28, 623–636. [Google Scholar] [CrossRef]
- Schaefer, J.T. The Critical Success Index as an Indicator of Warning Skill. Weather Forecast. 1990, 5, 570–575. [Google Scholar] [CrossRef]
- Lin, P.-F.; Chang, P.-L.; Ben, J.-D. Warm season afternoon thunderstorm characteristics under weak synoptic-scale forcing over Taiwan island and its objective prediction. Atmos. Sci. 2012, 40, 77–108, (In Chinese with English abstract). [Google Scholar]
- Houze, R.A., Jr. Cloud Dynamics, 2nd ed.; Elsevier/Academic Press: Oxford, UK, 2014; pp. 237–243. [Google Scholar]
- Houze, R.A., Jr. 100 years of research on mesoscale convective systems. Meteor. Monogr. 2018, 59, 17.1–17.54. [Google Scholar] [CrossRef]
- Wang, D.; Giangrande, S.E.; Feng, Z.; Hardin, J.C.; Prein, A.F. Updraft and downdraft core size and intensity as revealed by radar wind profilers: MCS observations and idealized model comparisons. J. Geophys. Res. Atmos. 2020, 125, e2019JD031774. [Google Scholar] [CrossRef]
- Hristova-Veleva, S.; Zhang, S.; Turk, F.J.; Haddad, Z.S.; Sawaya, R. Assimilation of DAWN Doppler wind lidar data during the 2017 Convective Processes Experiment (CPEX): Impact on precipitation and flow structure. Atmos. Meas. Tech. 2021, 14, 3333–3350. [Google Scholar] [CrossRef]















| Group | Experiments | Assimilation Time | Forecast Time |
|---|---|---|---|
| C1 | NDA01 | Without assimilation | 0100–1300 UTC |
| NDA02 | Without assimilation Without assimilation | 0200–1400 UTC | |
| NDA03 | 0300–1500 UTC | ||
| NDA04 | Without assimilation | 0400–1600 UTC | |
| C2 | DA01 | 0100 UTC | 0100–1300 UTC |
| DA02 | 0200 UTC | 0200–1400 UTC | |
| DA03 | 0300 UTC | 0300–1500 UTC | |
| DA04 | 0400 UTC | 0400–1600 UTC | |
| C3 | CDA01 | 0100–0400 UTC (hourly) | 0400–1300 UTC |
| CDA02 | 0200–0400 UTC (hourly) | 0400–1400 UTC | |
| CDA03 | 0300–0400 UTC (hourly) | 0400–1500 UTC |
Publisher’s Note: MDPI stays neutral with regard to jurisdictional claims in published maps and institutional affiliations. |
© 2022 by the authors. Licensee MDPI, Basel, Switzerland. This article is an open access article distributed under the terms and conditions of the Creative Commons Attribution (CC BY) license (https://creativecommons.org/licenses/by/4.0/).
Share and Cite
Tan, P.-H.; Soong, W.-K.; Tsao, S.-J.; Chen, W.-J.; Chen, I.-H. Impact of Lidar Data Assimilation on Simulating Afternoon Thunderstorms near Pingtung Airport, Taiwan: A Case Study. Atmosphere 2022, 13, 1341. https://doi.org/10.3390/atmos13091341
Tan P-H, Soong W-K, Tsao S-J, Chen W-J, Chen I-H. Impact of Lidar Data Assimilation on Simulating Afternoon Thunderstorms near Pingtung Airport, Taiwan: A Case Study. Atmosphere. 2022; 13(9):1341. https://doi.org/10.3390/atmos13091341
Chicago/Turabian StyleTan, Pei-Hua, Wei-Kuo Soong, Shih-Jie Tsao, Wen-Jou Chen, and I-Han Chen. 2022. "Impact of Lidar Data Assimilation on Simulating Afternoon Thunderstorms near Pingtung Airport, Taiwan: A Case Study" Atmosphere 13, no. 9: 1341. https://doi.org/10.3390/atmos13091341
APA StyleTan, P.-H., Soong, W.-K., Tsao, S.-J., Chen, W.-J., & Chen, I.-H. (2022). Impact of Lidar Data Assimilation on Simulating Afternoon Thunderstorms near Pingtung Airport, Taiwan: A Case Study. Atmosphere, 13(9), 1341. https://doi.org/10.3390/atmos13091341

