Tropopause Characteristics Based on Long-Term ARM Radiosonde Data: A Fine-Scale Comparison at the Extratropical SGP Site and Arctic NSA Site
Abstract
1. Introduction
2. Sites, Data and Methods
2.1. Sites and Data
2.2. Methods
3. Results
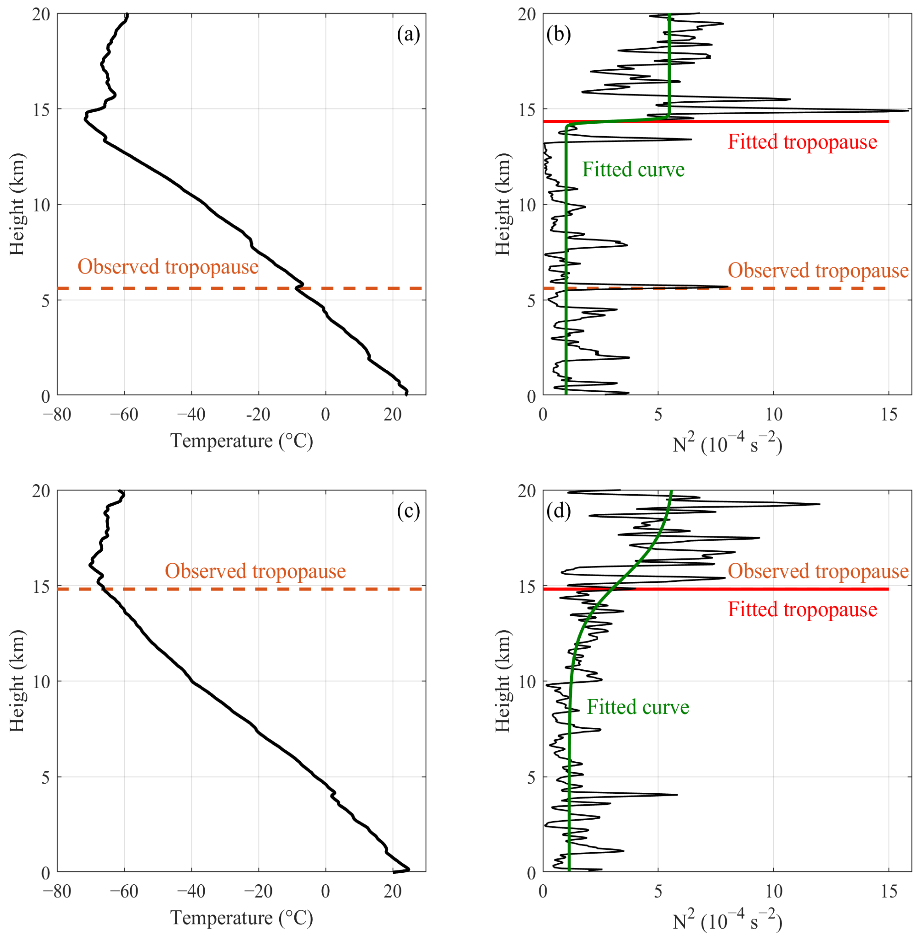
3.1. Climatology of the Tropopause Structure on Various Temporal Scales
3.2. Fitting-Derived Tropopause Features
3.3. Variation Trend of the Tropopause Height
4. Conclusions
Funding
Institutional Review Board Statement
Informed Consent Statement
Data Availability Statement
Acknowledgments
Conflicts of Interest
References
- Zängl, G.; Hoinka, K.P. The tropopause in the polar regions. J. Clim. 2001, 14, 3117–3139. [Google Scholar] [CrossRef]
- Seidel, D.J.; Randel, W.J. Variability and trends in the global tropopause estimated from radiosonde data. J. Geophys. Res. 2006, 111, D21101. [Google Scholar] [CrossRef]
- Shepherd, T.G. Issues in stratosphere-troposphere coupling. J. Meteorol. Soc. Jpn. 2002, 80, 769–792. [Google Scholar] [CrossRef]
- Santer, B.D.; Wehner, M.F.; Wigley, T.M.L.; Sausen, R.; Meehl, G.A.; Taylor, K.E.; Ammann, C.; Arblaster, J.; Washington, W.M.; Boyle, J.S.; et al. Contributions of anthropogenic and natural forcing to recent tropopause height changes. Science 2003, 301, 479–483. [Google Scholar] [CrossRef]
- Randel, W.J.; Wu, F.; Forster, P. The extratropical tropopause inversion layer: Global observations with GPS data, and a radiative forcing mechanism. J. Atmos. Sci. 2007, 64, 4489–4496. [Google Scholar] [CrossRef]
- World Meteorological Organization (WMO). Meteorology—A three-dimensional science. WMO Bull. 1957, 6, 134–138. [Google Scholar]
- Hoskins, B.J. Towards a PV-Theta view of the general-circulation. Tellus Ser. AB 1991, 43, 27–35. [Google Scholar]
- Hoerling, M.P.; Schaack, T.K.; Lenzen, A.J. Global objective tropopause analysis. Mon. Weather Rev. 1991, 119, 1816–1831. [Google Scholar] [CrossRef][Green Version]
- Bethan, S.; Vaughan, G.; Reid, S.J. A comparison of ozone and thermal tropopause heights and the impact of tropopause definition on quantifying the ozone content of the troposphere. Q. J. R. Meteorol. Soc. 1996, 122, 929–944. [Google Scholar] [CrossRef]
- Pan, L.L.; Randel, W.J.; Gary, B.L.; Mahoney, M.J.; Hintsa, E.J. Definitions and sharpness of the extratropical tropopause: A trace gas perspective. J. Geophys. Res. 2004, 109, D23103. [Google Scholar] [CrossRef]
- Birner, T.; Dornbrack, A.; Schumann, U. How sharp is the tropopause at midlatitudes? Geophys. Res. Lett. 2002, 29, 1700. [Google Scholar] [CrossRef]
- Birner, T. Fine-scale structure of the extratropical tropopause region. J. Geophys. Res. 2006, 111, D04104. [Google Scholar] [CrossRef]
- Bell, S.W.; Geller, M.A. Tropopause inversion layer: Seasonal and latitudinal variations and representation in standard radiosonde data and global models. J. Geophys. Res. 2008, 113, D05109. [Google Scholar] [CrossRef]
- Birner, T.; Sankey, D.; Shepherd, T.G. The tropopause inversion layer in models and analyses. Geophys. Res. Lett. 2006, 33, L14804. [Google Scholar] [CrossRef]
- Hegglin, M.I.; Gettelman, A.; Hoor, P.; Krichevsky, R.; Manney, G.L.; Pan, L.L.; Son, S.W.; Stiller, G.; Tilmes, S.; Walker, K.A.; et al. Multimodel assessment of the upper troposphere and lower stratosphere: Extratropics. J. Geophys. Res. 2010, 115, D00M09. [Google Scholar] [CrossRef]
- Hegglin, M.I.; Boone, C.D.; Manney, G.L.; Walker, K.A. A global view of the extratropical tropopause transition layer from Atmospheric Chemistry Experiment Fourier Transform Spectrometer O3, H2O, and CO. J. Geophys. Res. 2009, 114, D00B11. [Google Scholar] [CrossRef]
- Grise, K.M.; Thompson, D.W.J.; Birner, T. A global survey of static stability in the stratosphere and upper troposphere. J. Clim. 2010, 23, 2275–2292. [Google Scholar] [CrossRef]
- Wirth, V. Static stability in the extratropical tropopause region. J. Atmos. Sci. 2003, 60, 1395–1409. [Google Scholar] [CrossRef]
- Wirth, V.; Szabo, T. Sharpness of the extratropical tropopause in baroclinic life cycle experiments. Geophys. Res. Lett. 2007, 34, L02809. [Google Scholar] [CrossRef]
- Son, S.W.; Polvani, L.M. Dynamical formation of an extra-tropical tropopause inversion layer in a relatively simple general circulation model. Geophys. Res. Lett. 2007, 34, L17806. [Google Scholar] [CrossRef]
- Randel, W.J.; Wu, F. The polar summer tropopause inversion layer. J. Atmos. Sci. 2010, 67, 2572–2581. [Google Scholar] [CrossRef]
- Kunz, A.; Konopka, P.; Mueller, R.; Pan, L.; Schiller, C.; Rohrer, F. High static stability in the mixing layer above the extratropical tropopause. J. Geophys. Res. 2009, 114, D16305. [Google Scholar] [CrossRef]
- Miyazaki, K.; Sato, K.; Watanabe, S.; Tomikawa, Y.; Kawatani, Y.; Takahashi, M. Transport and mixing in the extratropical tropopause region in a high-vertical-resolution GCM. Part II: Relative importance of large-scale and small-scale dynamics. J. Atmos. Sci. 2010, 67, 1315–1336. [Google Scholar] [CrossRef]
- Gettelman, A.; Hoor, P.; Pan, L.L.; Randel, W.J.; Hegglin, M.I.; Birner, T. The extratropical upper troposphere and lower stratosphere. Rev. Geophys. 2011, 49, RG3003. [Google Scholar] [CrossRef]
- Schmidt, T.; Cammas, J.P.; Smit, H.G.J.; Heise, S.; Wickert, J.; Haser, A. Observational characteristics of the tropopause inversion layer derived from CHAMP/GRACE radio occultations and MOZAIC aircraft data. J. Geophys. Res. 2010, 115, D24304. [Google Scholar] [CrossRef]
- Homeyer, C.R.; Bowman, K.P.; Pan, L.L. Extratropical tropopause transition layer characteristics from high-resolution sounding data. J. Geophys. Res. 2010, 115, D13108. [Google Scholar] [CrossRef]
- Bian, J.; Chen, H. Statistics of the tropopause inversion layer over Beijing. Adv. Atmos. Sci. 2008, 25, 381–386. [Google Scholar] [CrossRef]
- Bai, Z.; Bian, J.; Chen, H. Variation in the tropopause transition layer over China through analyzing high vertical resolution radiosonde data. Atmos. Ocean. Sci. Lett. 2017, 10, 114–121. [Google Scholar] [CrossRef]
- Zhang, J. Cloud-top temperature inversion derived from long-term radiosonde measurements at the ARM TWP and NSA sites. Atmos. Res. 2020, 246, 1051. [Google Scholar] [CrossRef]
- Dong, X.; Xi, B.; Crosby, K.; Long, C.N.; Stone, R.S.; Shupe, M.D. A 10 year climatology of Arctic cloud fraction and radiative forcing at Barrow, Alaska. J. Geophys. Res. 2010, 115, D17212. [Google Scholar] [CrossRef]
- Niu, X.; Pinker, R.T. Radiative fluxes at Barrow, Alaska: A satellite view. J. Clim. 2011, 24, 5494–5505. [Google Scholar] [CrossRef]
- Zhang, J.; Li, D.; Bian, J.; Bai, Z. Deep stratospheric intrusion and Russian wildfire induce enhanced tropospheric ozone pollution over the northern Tibetan Plateau. Atmos. Res. 2021, 259, 105662. [Google Scholar] [CrossRef]
- Fueglistaler, S.; Dessler, A.E.; Dunkerton, T.J.; Folkins, I.; Fu, Q.; Mote, P.W. Tropical tropopause layer. Rev. Geophys. 2009, 47, RG1004. [Google Scholar] [CrossRef]
- Sausen, R.; Santer, B.D. Use of changes in tropopause height to detect human influences on climate. Meteorol. Z. 2003, 12, 131–136. [Google Scholar] [CrossRef]
- Santer, B.D.; Sausen, R.; Wigley, T.M.L.; Boyle, J.S.; AchutaRao, K.; Doutriaux, C.; Hansen, J.E.; Meehl, G.A.; Roeckner, E.; Ruedy, R.; et al. Behavior of tropopause height and atmospheric temperature in models, reanalyses, and observations: Decadal changes. J. Geophys. Res. 2003, 108, 4002. [Google Scholar] [CrossRef]
- Francis, J.A.; Vavrus, S.J.; Cohen, J. Amplified Arctic warming and mid-latitude weather: New perspectives on emerging connections. WIREs Clim. Change 2017, 8, e474. [Google Scholar] [CrossRef]
- Comiso, C.; Parkinson, L.; Gersten, R.; Stock, L. Accelerated decline in the Arctic sea ice cover. Geophys. Res. Lett. 2008, 35, L01703. [Google Scholar] [CrossRef]
- Pearce, F. Meltdown: The Arctic armageddon. New Sci. 2009, 201, 32–36. [Google Scholar] [CrossRef]










Publisher’s Note: MDPI stays neutral with regard to jurisdictional claims in published maps and institutional affiliations. |
© 2022 by the author. Licensee MDPI, Basel, Switzerland. This article is an open access article distributed under the terms and conditions of the Creative Commons Attribution (CC BY) license (https://creativecommons.org/licenses/by/4.0/).
Share and Cite
Zhang, J. Tropopause Characteristics Based on Long-Term ARM Radiosonde Data: A Fine-Scale Comparison at the Extratropical SGP Site and Arctic NSA Site. Atmosphere 2022, 13, 965. https://doi.org/10.3390/atmos13060965
Zhang J. Tropopause Characteristics Based on Long-Term ARM Radiosonde Data: A Fine-Scale Comparison at the Extratropical SGP Site and Arctic NSA Site. Atmosphere. 2022; 13(6):965. https://doi.org/10.3390/atmos13060965
Chicago/Turabian StyleZhang, Jinqiang. 2022. "Tropopause Characteristics Based on Long-Term ARM Radiosonde Data: A Fine-Scale Comparison at the Extratropical SGP Site and Arctic NSA Site" Atmosphere 13, no. 6: 965. https://doi.org/10.3390/atmos13060965
APA StyleZhang, J. (2022). Tropopause Characteristics Based on Long-Term ARM Radiosonde Data: A Fine-Scale Comparison at the Extratropical SGP Site and Arctic NSA Site. Atmosphere, 13(6), 965. https://doi.org/10.3390/atmos13060965