Optical and Microphysical Properties of the Aerosol Field over Sofia, Bulgaria, Based on AERONET Sun-Photometer Measurements
Abstract
1. Introduction
2. Site, Instrumentation and Research Approach
2.1. Sofia Site
2.2. Cimel CE318-TS9 Operation and AERONET Capabilities
2.3. Research Approach and Procedures
3. Results and Discussion
3.1. Climatology Features of AOD and AE
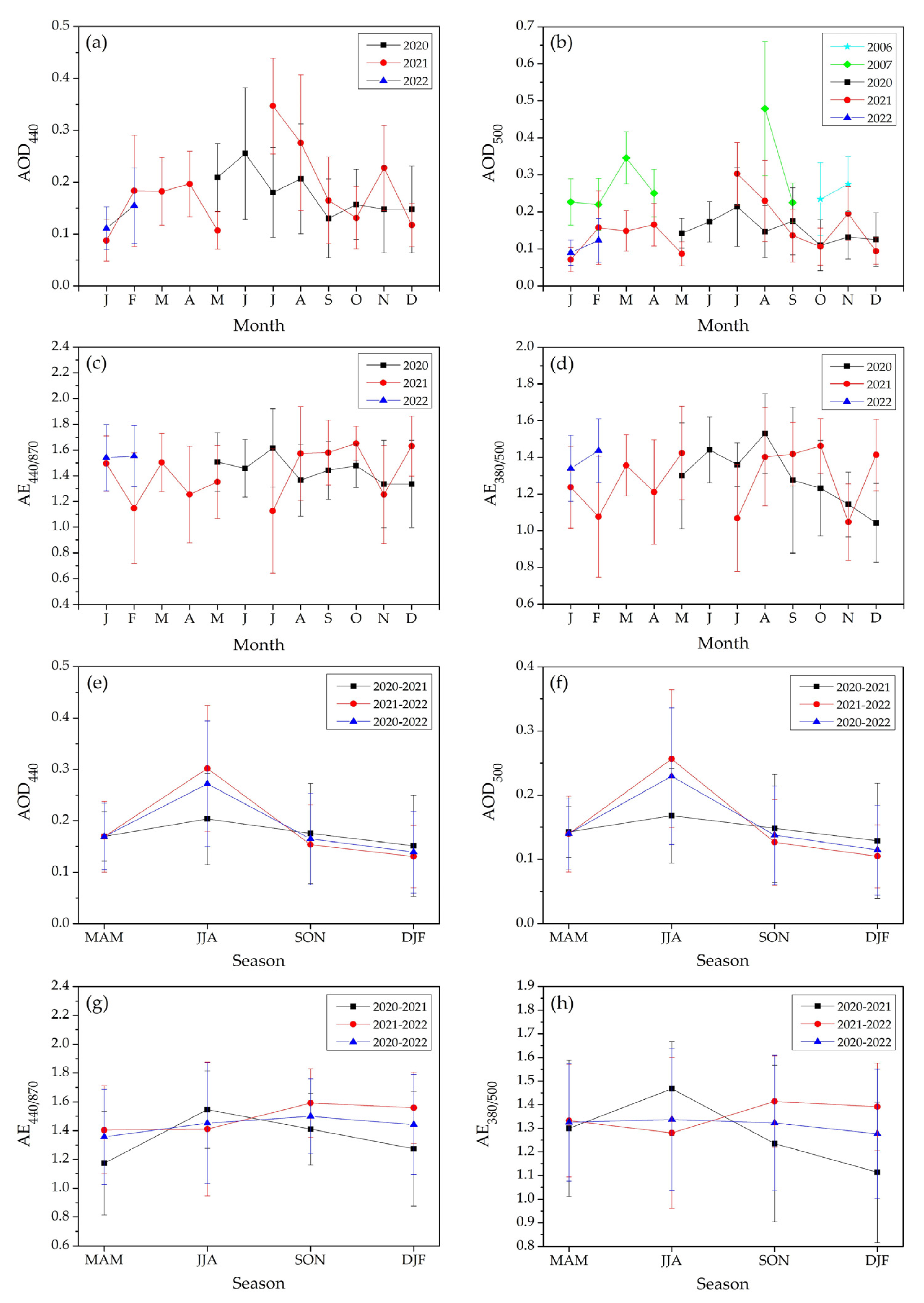
3.1.1. Temporal Behavior
3.1.2. Statistics of AOD and AE
3.2. Aerosol Typology
3.2.1. AOD–AE Scatter Plots
3.2.2. Aerosol Situations
Biomass-Burning Aerosols
Saharan Dust Intrusions
Urban Aerosols
Marine Aerosols
Mixed Aerosols
4. Conclusions
Author Contributions
Funding
Institutional Review Board Statement
Informed Consent Statement
Data Availability Statement
Acknowledgments
Conflicts of Interest
References
- Seinfeld, J.H.; Pandis, S.N. Atmospheric Chemistry and Physics: From Air Pollution to Climate Change, 3rd ed.; Wiley: Hoboken, NJ, USA, 2016. [Google Scholar]
- Fuzzi, S.; Baltensperger, U.; Carslaw, K.; Decesari, S.; van der Gon, H.D.; Facchini, M.C.; Fowler, D.; Koren, I.; Langford, B.; Lohmann, U.; et al. Particulate matter, air quality and climate: Lessons learned and future needs. Atmos. Chem. Phys. 2015, 15, 8217–8299. [Google Scholar] [CrossRef]
- Schmid, B.; Redemann, J.; Russell, P.B.; Hobbs, P.V.; Hlavka, D.L.; McGill, M.J.; Holben, B.N.; Welton, E.J.; Campbell, J.R.; Torres, O.; et al. Coordinated airborne, spaceborne, and ground-based measurements of massive thick aerosol layers during the dry season in southern Africa. J. Geophys. Res. 2003, 108, 8496. [Google Scholar] [CrossRef]
- Yin, Z.; Ansmann, A.; Baars, H.; Seifert, P.; Engelmann, R.; Radenz, M.; Jimenez, C.; Herzog, A.; Ohneiser, K.; Hanbuch, K.; et al. Aerosol measurements with a shipborne Sun–sky–lunar photometer and collocated multiwavelength Raman polarization lidar over the Atlantic Ocean. Atmos. Meas. Tech. 2019, 12, 5685–5698. [Google Scholar] [CrossRef]
- Pappalardo, G.; Amodeo, A.; Apituley, A.; Comeron, A.; Freudenthaler, V.; Linné, H.; Ansmann, A.; Bösenberg, J.; D’Amico, G.; Mattis, I.; et al. EARLINET: Towards an advanced sustainable European aerosol lidar network. Atmos. Meas. Tech. 2014, 7, 2389–2409. [Google Scholar] [CrossRef]
- Holben, B.N.; Eck, T.F.; Slutsker, I.; Tanre, D.; Buis, J.P.; Setzer, A.; Vermote, E.; Reagan, J.A.; Kaufman, Y.J.; Nakajima, T.; et al. AERONET—A federated instrument network and data archive for aerosol characterization. Rem. Sens. Environ. 1998, 66, 1–16. [Google Scholar] [CrossRef]
- Sugimoto, N.; Shimizu, A.; Nishizawa, T.; Jin, Y. Recent developments with the Asian dust and aerosol lidar observation network (AD-NET). EPJ Web of Conf. 2018, 176, 09001. [Google Scholar] [CrossRef][Green Version]
- Vaughan, M.A.; Powell, K.A.; Winker, D.M.; Hostetler, C.A.; Kuehn, R.E.; Hunt, W.H.; Getzewich, B.J.; Young, S.A.; Liu, Z.; McGill, M.J. Fully automated detection of cloud and aerosol layers in the CALIPSO lidar measurements. J. Atmos. Ocean. Technol. 2009, 26, 2034–2050. [Google Scholar] [CrossRef]
- MODIS (Moderate Resolution Imaging Spectroradiometer). Available online: https://modis.gsfc.nasa.gov/ (accessed on 25 March 2022).
- Papayannis, A.; Amiridis, V.; Mona, L.; Tsaknakis, G.; Balis, D.; Bösenberg, J.; Chaikovski, A.; De Tomasi, F.; Grigorov, I.; Mattis, I.; et al. Systematic lidar observations of Saharan dust over Europe in the frame of EARLINET (2000–2002). J. Geophys. Res. 2008, 113, D10204. [Google Scholar] [CrossRef]
- Dreischuh, T.; Grigorov, I.; Peshev, Z.; Deleva, A.; Kolarov, G.; Stoyanov, D. Lidar mapping of near-surface aerosol fields. In Aerosols—Science and Case Studies; Volkov, K., Ed.; InTech: Rijeka, Croatia, 2016; pp. 85–107. [Google Scholar]
- University of Wyoming, Upperair Air Data. Available online: http://weather.uwyo.edu/upperair/sounding.html (accessed on 25 March 2022).
- Remer, L.A.; Kaufman, Y.J.; Tanré, D.; Mattoo, S.; Chu, D.A.; Martins, J.V.; Li, R.-R.; Ichoku, C.; Levy, R.C.; Kleidman, R.G.; et al. The MODIS aerosol algorithm, products, and validation. J. Atmos. Sci. 2005, 62, 947–973. [Google Scholar] [CrossRef]
- Levy, R.C.; Remer, L.A.; Mattoo, S.; Vermote, E.F.; Kaufman, Y.J. Second-generation operational algorithm: Retrieval of aerosol properties over land from inversion of moderate resolution imaging spectroradiometer spectral reflectance. J. Geophys. Res.-Atmos. 2007, 112, D13221. [Google Scholar] [CrossRef]
- Chaikovsky, A.; Dubovik, O.; Holben, B.; Bril, A.; Goloub, P.; Tanré, D.; Pappalardo, G.; Wandinger, U.; Chaikovskaya, L.; Denisov, S.; et al. Lidar-Radiometer Inversion Code (LIRIC) for the retrieval of vertical aerosol properties from combined lidar/radiometer data: Development and distribution in EARLINET. Atmos. Meas. Tech. 2016, 9, 1181–1205. [Google Scholar] [CrossRef]
- Dubovik, O.; Fuertes, D.; Litvinov, P.; Lopatin, A.; Lapyonok, T.; Doubovik, I.; Xu, F.; Ducos, F.; Chen, C.; Torres, B.; et al. A comprehensive description of multi-term LSM for applying multiple a priori constraints in problems of atmospheric remote sensing: GRASP algorithm, concept, and applications. Front. Remote Sens. 2021, 2, 706851. [Google Scholar] [CrossRef]
- Stein, A.F.; Draxler, R.R.; Rolph, G.D.; Stunder, B.J.B.; Cohen, M.D.; Ngan, F. NOAA’s HYSPLIT atmospheric transport and dispersion modeling system. Bull. Am. Meteorol. Soc. 2015, 96, 2059–2077. [Google Scholar] [CrossRef]
- Rolph, G.; Stein, A.; and Stunder, B. Real-time environmental applications and display system: READY. Environ. Modell. Softw. 2017, 95, 210–228. [Google Scholar] [CrossRef]
- Pérez, C.; Nickovic, S.; Baldasano, J.M.; Sicard, M.; Rocadenbosch, F.; Cachorro, V.E. A long Saharan dust event over the western Mediterranean: Lidar, Sun photometer observations, and regional dust modeling. J. Geophys. Res. 2006, 111, D15214. [Google Scholar] [CrossRef]
- Basart, S.; Pérez, C.; Nickovic, S.; Cuevas, E.; Baldasano, J. Development and evaluation of the BSC-DREAM8b dust regional model over Northern Africa, the Mediterranean and the Middle East. Tellus B 2012, 64, 18539. [Google Scholar] [CrossRef]
- Haustein, K.; Pérez, C.; Baldasano, J.M.; Jorba, O.; Basart, S.; Miller, R.L.; Janjic, Z.; Black, T.; Nickovic, S.; Todd, M.C.; et al. Atmospheric dust modeling from MESO to global scales with the online NMMB/BSC-dust model—Part 2: Experimental campaigns in Northern Africa. Atmos. Chem. Phys. 2012, 12, 2933–2958. [Google Scholar] [CrossRef]
- World Health Organization (WHO). Review of Evidence on Health Aspects of Air Pollution—REVIHAAP Project: Technical Report; WHO Regional Office for Europe: Copenhagen, Denmark, 2013. [Google Scholar]
- Anderson, J.O.; Thundiyil, J.G.; Stolbach, A. Clearing the air: A review of the effects of particulate matter air pollution on human health. J. Med. Toxicol. 2012, 8, 166–175. [Google Scholar] [CrossRef]
- Gulia, S.; Nagendra, S.M.S.; Khare, M.; Khanna, I. Urban air quality management—A review. Atmos. Pollut. Res. 2015, 6, 286–304. [Google Scholar] [CrossRef]
- IPCC. Climate Change 2013—The Physical Science Basis. Working Group I Contribution to the Fifth Assessment Report of the Intergovernmental Panel on Climate Change; Stocker, T.F., Qin, D., Plattner, G.-K., Tignor, M., Allen, S.K., Boschung, J., Nauels, A., Xia, Y., Bex, V., Midgley, P.M., Eds.; Cambridge University Press: Cambridge, UK; New York, NY, USA, 2013; p. 1535. [Google Scholar]
- Goloub, P.; Li, Z.; Dubovik, O.; Blarela, L.; Podvin, T.; Jankowiak, I.; Lecoq, R.; Deroo, C.; Chatenet, B.; Morel, J.P.; et al. PHOTONS/AERONET sunphotometer network overview. Description—Activities—Results. Proc. SPIE 2008, 6936, 69360V. [Google Scholar]
- Holben, B.N.; Tanre, D.; Smirnov, A.; Eck, T.F.; Slutsker, I. An emerging ground-based aerosol climatology: Aerosol optical depth from AERONET. J. Geophys. Res. 2001, 106, 12067–12097. [Google Scholar] [CrossRef]
- Dubovik, O.; Holben, B.N.; Eck, T.F.; Smirnov, A.; Kaufman, Y.J.; King, M.D.; Tanre, D.; Slutsker, I. Variability of absorption and optical properties of key aerosol types observed in worldwide locations. J. Atmos. Sci. 2002, 59, 590–608. [Google Scholar] [CrossRef]
- Toledano, C.; Cachorro, V.E.; Berjon, A.; de Frutos, A.M.; Sorribas, M.; de la Morena, B.A.; Goloub, P. Aerosol optical depth and Angstrom exponent climatology at El Arenosillo AERONET site (Huelva, Spain). Q. J. R. Meteorol. Soc. 2007, 133, 795–807. [Google Scholar] [CrossRef]
- Nemuc, A.; Belegante, L.; Radulescu, R. One year of sunphotometer measurements in Romania. Rom. J. Phys. 2011, 56, 550–562. [Google Scholar]
- Raptis, I.-P.; Kazadzis, S.; Amiridis, V.; Gkikas, E.G.; Mihalopoulos, N. A decade of aerosol optical properties measurements over Athens, Greece. Atmosphere 2020, 11, 154. [Google Scholar] [CrossRef]
- Kambezidis, H.D.; Kaskaoutis, D.G. Aerosol climatology over four AERONET sites: An overview. Atmos. Environ. 2008, 42, 1892–1906. [Google Scholar] [CrossRef]
- Nicolae, V.; Talianu, C.; Andrei, S.; Antonescu, B.; Ene, D.; Nicolae, D.; Dandocsi, A.; Toader, V.-E.; Stefan, S.; Savu, T.; et al. Multiyear typology of long-range transported aerosols over Europe. Atmosphere 2019, 10, 482. [Google Scholar] [CrossRef]
- Logothetis, S.-A.; Salamalikis, V.; Kazantzidis, A. Aerosol classification in Europe, Middle East, North Africa and Arabian Peninsula based on AERONET Version 3. Atmos. Res. 2020, 239, 104893. [Google Scholar] [CrossRef]
- Evgenieva, T.; Gurdev, L.; Toncheva, E.; Dreischuh, T. Aerosol types identification during different aerosol events over Sofia, Bulgaria, using sun-photometer and satellite data on the aerosol optical depth and Ångström exponent. J. Phys. Conf. Ser. 2022, 2240, 012027. [Google Scholar] [CrossRef]
- Dubovik, O.; King, M.D. A flexible inversion algorithm for retrieval of aerosol optical properties from Sun and sky radiance measurements. J. Geophys. Res. 2000, 105, 20673–20696. [Google Scholar] [CrossRef]
- Dubovik, O.; Smirnov, A.; Holben, B.N.; King, M.D.; Kaufman, Y.J.; Eck, T.F.; Slutsker, I. Accuracy assessments of aerosol optical properties retrieved from AERONET sun and sky-radiometric measurements. J. Geophys. Res. 2000, 105, 9791–9806. [Google Scholar] [CrossRef]
- Dubovik, O.; Sinyuk, A.; Lapyonok, T.; Holben, B.N.; Mishchenko, M.; Yang, P.; Eck, T.F.; Volten, H.; Muñoz, O.; Veihelmann, B.; et al. Application of spheroid models to account for aerosol particle nonsphericity in remote sensing of desert dust. J. Geophys. Res. 2006, 111, D11208. [Google Scholar] [CrossRef]
- O’Neill, N.T.; Eck, T.F.; Smirnov, A.; Holben, B.N.; Thulasiraman, S. Spectral discrimination of coarse and fine mode optical depth. J. Geophys. Res. 2003, 108, 4559–4573. [Google Scholar] [CrossRef]
- Smirnov, A.; Holben, B.N.; Eck, T.F.; Dubovik, O.; Slutsker, I. Cloud screening and quality control algorithms for the AERONET data base. Remote Sens. Environ. 2000, 73, 337–349. [Google Scholar] [CrossRef]
- Giles, D.M.; Sinyuk, A.; Sorokin, M.G.; Schafer, J.S.; Smirnov, A.; Slutsker, I.; Eck, T.F.; Holben, B.N.; Lewis, J.R.; Campbell, J.R.; et al. Advancements in the Aerosol Robotic Network (AERONET) Version 3 database—automated near-real-time quality control algorithm with improved cloud screening for Sun photometer aerosol optical depth (AOD) measurements. Atmos. Meas. Tech. 2019, 12, 169–209. [Google Scholar] [CrossRef]
- Chand, D.; Wood, R.; Anderson, T.L.; Satheesh, S.K.; Charlson, R.J. Satellite derived direct radiative effect of aerosols dependent on cloud cover. Nat. Geosci. 2009, 2, 181–184. [Google Scholar] [CrossRef]
- Patel, P.N.; Dumka, U.C.; Kaskaoutis, D.G.; Babu, K.N.; Mathur, A.K. Optical and radiative properties of aerosols over Desalpar, a remote site in western India: Source identification, modification processes and aerosol type discrimination. Sci. Total Environ. 2017, 575, 612–627. [Google Scholar] [CrossRef]
- Boiyo, R.; Kumar, K.R.; Zhao, T.; Guo, J. A 10-year record of aerosol optical properties and radiative forcing over three environmentally distinct AERONET sites in Kenya, East Africa. J. Geophys. Res. Atmos. 2019, 124, 1596–1617. [Google Scholar] [CrossRef]
- El-Nadry, M.; Li, W.; El-Askary, H.; Awad, M.A.; Mostafa, A.R. Urban health related air quality indicators over the Middle East and North Africa countries using multiple satellites and AERONET data. Remote Sens. 2019, 11, 2096. [Google Scholar] [CrossRef]
- Miller, D.J.; Sun, K.; Zondlo, M.A.; Kanter, D.; Dubovik, O.; Welton, E.J.; Winker, D.M.; Ginoux, P. Assessing boreal forest fire smoke aerosol impacts on U.S. air quality: A case study using multiple data sets. J. Geophys. Res. 2011, 116, D22209. [Google Scholar] [CrossRef]
- Marrero, J.C.A.; Revilla, V.C.; Parrado, F.G.; Baraja, A.F.; Vega, A.R.; Mateos, D.; Arredondo, R.E.; Toledano, C. Comparison of aerosol optical depth from satellite (MODIS), sun photometer and broadband pyrheliometer ground-based observations in Cuba. Atmos. Meas. Tech. 2018, 11, 2279–22938. [Google Scholar] [CrossRef]
- Tripathi, S.N.; Dey, S.; Chandel, A.; Srivastava, S.; Singh, R.P.; Holben, B.N. Comparison of MODIS and AERONET derived aerosol optical depth over the Ganga Basin, India. Ann. Geophys. 2005, 23, 1093–1101. [Google Scholar] [CrossRef]
- Levy, R.C.; Remer, L.A.; Martins, J.; Kaufman, Y.J.; Plana-Fattori, A.; Redemann, J.; Wenny, B. Evaluation of MODIS aerosol retrievals over Ocean and Land during CLAMS. J. Atmos. Sci. 2005, 62, 974–992. [Google Scholar] [CrossRef]
- Mielonen, T.; Arola, A.; Komppula, M.; Kukkonen, J.; Koskinen, J.; de Leeuw, G.; Lehtinen, K.E.J. Comparison of CALIOP level 2 aerosol subtypes to aerosol types derived from AERONET inversion data. Geophys. Res. Lett. 2009, 36, L18804. [Google Scholar] [CrossRef]
- Aerosol, Clouds and Trace Gases (ACTRIS) Research Infrastructure. Available online: https://www.actris.eu (accessed on 30 March 2022).
- Barreto, Á.; Cuevas, E.; Granados-Muñoz, M.-J.; Alados-Arboledas, L.; Romero, P.M.; Gröbner, J.; Kouremeti, N.; Almansa, A.F.; Stone, T.; Toledano, C.; et al. The new sun-sky-lunar Cimel CE318-T multiband photometer—A comprehensive performance evaluation. Atmos. Meas. Tech. 2016, 9, 631–654. [Google Scholar] [CrossRef]
- Cimel. Multiband Photometer CE318–T, User’s Manual (Revision V4.10 October 2021). Available online: https://www.cimel.fr/wp-content/uploads/2022/01/CE318_T_Photometer_UserManual_V4.10.pdf (accessed on 1 April 2022).
- AERONET Aerosol Optical Depth Data Display Interface, Sofia_IEBAS Site. Available online: https://aeronet.gsfc.nasa.gov/cgi-bin/data_display_aod_v3?site=Sofia_IEBAS&nachal=0&year=2022&month=2&day=2&aero_water=0&level=2&if_day=0&if_err=0&place_code=10&year_or_month=0 (accessed on 6 April 2022).
- Toledano, C.; Wiegner, M.; Groß, S.; Freudenthaler, V.; Gasteiger, J.; Müller, D.; Müller, D.; Schladitz, A.; Weinzierl, B.; Torres, B.; et al. Optical properties of aerosol mixtures derived from sun-sky radiometry during SAMUM-2. Tellus B Chem. Phys. Meteorol. 2011, 63, 635–648. [Google Scholar] [CrossRef]
- Filonchyk, M.; Peterson, M.; Yan, H.; Yang, S.; Chaikovsky, A. Columnar optical characteristics and radiative properties of aerosols of the AERONET site in Minsk, Belarus. Atmos. Environ. 2021, 249, 118237. [Google Scholar] [CrossRef]
- Lee, J.; Kim, J.; Song, C.H.; Kim, S.B.; Chun, Y.; Sohn, B.J.; Holben, B.N. Characteristics of aerosol types from AERONET sunphotometer measurements. Atmos. Environ. 2010, 44, 3110–3117. [Google Scholar] [CrossRef]
- Giles, D.M.; Holben, B.N.; Eck, T.F.; Sinyuk, A.; Smirnov, A.; Slutsker, I.; Dickerson, R.; Thompson, A.; Schafer, J. An analysis of AERONET aerosol absorption properties and classifications representative of aerosol source regions. J. Geophys. Res. Atmos. 2012, 117, D17203. [Google Scholar] [CrossRef]
- Eck, T.F.; Holben, B.N.; Sinyuk, A.; Pinker, R.T.; Goloub, P.; Chen, H.; Chatenet, B.; Li, Z.; Singh, R.P.; Tripathi, S.N.; et al. Climatological aspects of the optical properties of fine/coarse mode aerosol mixtures. J. Geophys. Res. 2010, 115, D19205. [Google Scholar] [CrossRef]
- Zuev, V.E.; Kabanov, M.V. Modern Problems of Atmospheric Optics, Vol.4: Optics of Atmospheric Aerosol; Gidrometeoizdat: Leningrad, Russia, 1987. (In Russian) [Google Scholar]
- Cracknell, A.P. Remote Sensing in Meteorology, Oceanography and Hydrology; Ellis Horwood Limited: Chichester, UK; John Wiley & Sons: Chichester, UK, 1981. [Google Scholar]
- Ångström, A. On the atmospheric transmission of Sun radiation and on dust in the air. Geogr. Ann. 1929, 11, 156–166. [Google Scholar]
- Schuster, G.L.; Dubovik, O.; Holben, B.N. Angstrom exponent and bimodal aerosol size distributions. J. Geophys. Res. 2006, 111, D07207. [Google Scholar] [CrossRef]
- Kirova, H.; Batchvarova, E. Mesoscale simulation of meteorological profiles during the Sofia Experiment 2003. Int. J. Environ. Pollut. 2017, 61, 134–147. [Google Scholar] [CrossRef]
- Egova, E.; Dimitrova, R.; Danchovski, V. Numerical study of meso-scale circulation specifics in the Sofia region under different large-scale conditions. Bulg. J. Meteo. Hydr. 2017, 22, 54–72. [Google Scholar]
- Kolev, I.; Savov, P.; Kaprielov, B.; Parvanov, O.; Simeonov, V. Lidar observation of the nocturnal boundary layer formation over Sofia, Bulgaria. Atmos. Environ. 2000, 34, 3223–3235. [Google Scholar] [CrossRef]
- Hristova, E.; Veleva, B. Variation of air particulate concentration in Sofia, 2005–2012. Bulg. J. Meteo. Hydr. 2013, 18, 47–56. [Google Scholar]
- Dimitrova, R.; Velizarova, M. Assessment of the contribution of different particulate matter sources on pollution in Sofia city. Atmosphere 2021, 12, 423. [Google Scholar] [CrossRef]
- Perrone, M.G.; Vratolis, S.; Georgieva, E.; Török, S.; Šega, K.; Veleva, B.; Osánd, J.; Bešliće, I.; Kertészf, Z.; Pernigottig, D.; et al. Sources and geographic origin of particulate matter in urban areas of the Danube macro-region: The cases of Zagreb (Croatia), Budapest (Hungary) and Sofia (Bulgaria). Sci. Total Environ. 2018, 619, 1515–1529. [Google Scholar] [CrossRef]
- National Oceanic and Atmospheric Administration, National Centers for Environmental Information, The World Meteorological Organization (WMO) Climate Normals. Available online: https://www.ncei.noaa.gov/products/wmo-climate-normals (accessed on 1 April 2022).
- Ivanov, V.; Evtimov, S. Wind rose or correspondence analysis biplot. Annu. Sofia Univ. St. Kliment Ohridski-Fac. Phys. 2015, 108, 15–24. (In Bulgarian) [Google Scholar]
- Kokhanovsky, A.A. Atmospheric Optics: Light Absorption and Scattering by Particles in the Atmosphere; Springer Science & Business Media: Berlin/Heidelberg, Germany, 2008. [Google Scholar]
- Eck, T.F.; Holben, B.N.; Reid, J.S.; Dubovik, O.; Smirnov, A.; O’Neill, N.T.; Slutsker, I.; Kinne, S. Wavelength dependence of the optical depth of biomass burning, urban and desert dust aerosols. J. Geophys. Res. 1999, 104, 31333–31350. [Google Scholar] [CrossRef]
- Eck, T.F.; Holben, B.N.; Reid, J.S.; O’Neill, N.T.; Schafer, J.S.; Dubovik, O.; Smirnov, A.; Yamasoe, M.A.; Artaxo, P. High aerosol optical depth biomass burning events: A comparison of optical properties for different source regions. Geophys. Res. Lett. 2003, 30, 2035. [Google Scholar] [CrossRef]
- Smirnov, A.; Holben, B.N.; Kaufman, Y.J.; Dubovik, O.; Eck, T.F.; Slutsker, I.; Pietras, C.; Halthore, R. Optical properties of atmospheric aerosol in maritime environments. J. Atmos. Sci. 2002, 59, 501–523. [Google Scholar] [CrossRef]
- Toledano, C.; Cachorro, V.E.; De Frutos, A.M.; Torres, B.; Berjon, A.; Sorribas, M.; Stone, R.S. Airmass classification and analysis of aerosol types at El Arenosillo (Spain). J. Appl. Meteorol. Climatol. 2009, 48, 962–981. [Google Scholar] [CrossRef]
- Ozdemir, E.; Tuygun, G.T.; Elbir, T. Application of aerosol classification methods based on AERONET version 3 product over eastern Mediterranean and Black Sea. Atmos. Pollut. Res. 2020, 11, 2226–2243. [Google Scholar] [CrossRef]
- NASA’s Fire Information for Resource Management System (FIRMS) Part of NASA’s Earth Observing System Data and Information System (EOSDIS). Available online: https://earthdata.nasa.gov/firms (accessed on 17 March 2022).
- Archived Weather Data for Sofia, Bulgaria, Provided by the Bulgarian National Institute of Meteorology and Hydrology. Available online: https://www.stringmeteo.com/synop/bg_stday.php (accessed on 21 March 2022).
- Eck, T.F.; Holben, B.N.; Ward, D.E.; Mukelabai, M.M.; Dubovik, O.; Smirnov, A.; Schafer, J.S.; Hsu, N.C.; Piketh, S.J.; Queface, A.; et al. Variability of biomass burning aerosol optical characteristics in southern Africa during the SAFARI 2000 dry season campaign and a comparison of single scattering albedo estimates from radiometric measurements. J. Geophys. Res.-Atmos. 2003, 108, D13. [Google Scholar] [CrossRef]
- Cao, X.; Liang, J.; Tian, P.; Zhang, L.; Quan, X.; Liu, W. The mass concentration and optical properties of black carbon aerosols over a semi–arid region in the northwest of China. Atmos. Pollut. Res. 2014, 5, 601–609. [Google Scholar] [CrossRef]
- Luo, J.; Zhang, Y.; Zhang, Q. The Ångström Exponent and Single-Scattering Albedo of Black Carbon: Effects of Different Coating Materials. Atmosphere 2020, 11, 1103. [Google Scholar] [CrossRef]
- Kolev, N.; Grigorov, I.; Kolev, I.; Devara, P.C.S.; Raj, P.E.; Dani, K.K. Lidar and Sun photometer observations of atmospheric boundary-layer characteristics over an urban area in a mountain valley. Bound.-Layer Meteorol. 2007, 124, 99–115. [Google Scholar] [CrossRef]
- Evgenieva, T.T.; Wiman, B.L.B.; Kolev, N.I.; Savov, P.B.; Donev, E.H.; Ivanov, D.I.; Danchovski, V.; Kaprielov, B.K.; Grigorieva, V.N.; Iliev, T.I.; et al. Three-point observation in the troposphere over Sofia-Plana Mountain, Bulgaria. Int. J. Remote Sens. 2011, 32, 9343–9363. [Google Scholar] [CrossRef]
- Ichoku, C.; Levy, R.; Kaufman, Y.J.; Remer, L.A.; Li, R.-R.; Martins, V.J.; Holben, B.N.; Abuhassan, N.; Slutsker, I.; Eck, T.F.; et al. Analysis of the performance characteristics of the five-channel Microtops II Sun photometer for measuring aerosol optical thickness and precipitable water vapor. J. Geophys. Res. 2002, 107, AAC 5-1–AAC 5-17. [Google Scholar] [CrossRef]
- Evgenieva, T.T.; Kolev, N.I.; Iliev, I.T.; Savov, P.B.; Kaprielov, B.K.; Devara, P.C.S.; Kolev, I.N. Lidar and spectroradiometer measurements of atmospheric aerosol optical characteristics over an urban area in Sofia, Bulgaria. Int. J. Remote Sens. 2009, 30, 6381–6401. [Google Scholar] [CrossRef]
- Evgenieva, Ts.; Kolev, N.; Petkov, D. Ångström coefficients calculated from aerosol optical depth data obtained over Sofia, Bulgaria. Proc. SPIE 2015, 9447, 94470P. [Google Scholar]
- Evgenieva, Ts.; Iliev, I.; Kolev, N.; Sobolewski, P.; Pieterczuk, A.; Holben, B.; Kolev, I. Optical characteristics of aerosol determined by Cimel, Prede and Microtops II sun photometers over Belsk (Poland). Proc. SPIE 2008, 7027, 70270V. [Google Scholar]
- Ministry of Environment and Water of the Republic of Bulgaria. National Program for Improvement of Atmospheric Air Quality for the Period 2018–2024, Adopted by Decision №334/07.06.2019 of the Council of Ministers. Available online: https://www.moew.government.bg/static/media/ups/tiny/Air_new/Natzionalna_programa_podobriavane_KAV_2018-2024.pdf (accessed on 6 April 2022). (In Bulgarian)
- Sofia Municipality. Programme for Reduction of Emissions and Attainment of the Established Standards for Fine Particulate Matter PM10 and Nitrogen Dioxide and Atmospheric Air Quality Management of Sofia Municipality for the Period 2011–2014. Available online: https://www.sofia.bg/documents/20182/298121/KAV_new.pdf (accessed on 6 April 2022). (In Bulgarian).
- Sofia Municipality. Programme for Atmospheric Air Quality Management of Sofia Municipality for the Period 2015–2020—Reduction of Emissions and Attainment of the Established Standards for Fine Particulate Matter PM10. Available online: https://www.sofia.bg/documents/20182/298121/Project_Program_KAV_Sofia_2015-2020.pdf/23a572ba-77ac-45a4-b627-c77ea0e225c7 (accessed on 6 April 2022). (In Bulgarian).
- Sofia Municipality. Complex Program for Improving the Atmospheric Air Quality on the Territory of the Sofia Municipality for the Period 2021–2026. Available online: https://www.sofia.bg/documents/20182/12266186/2021-05-05-%D0%9F%D1%80%D0%B8%D0%BB.1.pdf/2835466e-f861-49c0-94f8-a5b9d61755a5 (accessed on 6 April 2022). (In Bulgarian).
- Directive (EU) 2016/2284 of the European Parliament and of the Council of 14 December 2016 on the Reduction of National Emissions of Certain Atmospheric Pollutants, Amending Directive 2003/35/EC and Repealing Directive 2001/81/EC. Available online: http://data.europa.eu/eli/dir/2016/2284/oj (accessed on 9 April 2022).
- Filonchyk, M.; Hurynovich, V.; Yan, H.; Zhou, L.; Gusev, A. Climatology of aerosol optical depth over Eastern Europe based on 19 years (2000–2018) MODIS TERRA data. Int. J. Clim. 2020, 40, 3531–3549. [Google Scholar] [CrossRef]
- Filonchyk, M.; Hurynovich, V.; Yan, H. Trends in aerosol optical properties over Eastern Europe based on MODIS-Aqua. Geosci. Front. 2020, 11, 2169–2181. [Google Scholar] [CrossRef]
- Copernicus Atmosphere Monitoring Service (CAMS). COVID Impact on Air Quality in Europe. A Preliminary Regional Model Analysis. Reading, UK. 2020. Available online: https://policy.atmosphere.copernicus.eu/reports/CAMS71_COVID_20200626_v1.3.pdf (accessed on 15 May 2022).
- Garofalide, S.; Postolachi, C.; Cocean, A.; Cocean, G.; Motrescu, I.; Cocean, I.; Munteanu, B.S.; Prelipceanu, M.; Gurlui, S.; Leontie, L. Saharan Dust Storm Aerosol Characterization of the Event (9–13 May 2020) over European AERONET Sites. Atmosphere 2022, 13, 493. [Google Scholar] [CrossRef]
- Schkolnik, G.; Chand, D.; Hoffer, A.; Andreae, M.O.; Erlick, C.; Swietlicki, E.; Rudich, Y. Constraining the density and complex refractive index of elemental and organic carbon in biomass burning aerosol using optical and chemical measurements. Atmos. Environ. 2007, 41, 1107–1118. [Google Scholar] [CrossRef]
- Konovalov, I.B.; Lvova, D.A.; Beekmann, M. Estimation of the elemental to organic carbon ratio in biomass burning aerosol using AERONET retrievals. Atmosphere 2017, 8, 122. [Google Scholar] [CrossRef]
- Nicolae, D.; Nemuc, A.; Mueler, A.; Talianu, C.; Vasilescu, J.; Belegante, L.; Kolgotin, A. Characterization of fresh and aging biomass burning events using multiwavelength Raman lidar and mass spectrometry. J. Geophys. Res. 2013, 118, 2956–2965. [Google Scholar] [CrossRef]
- Light Scattering from Nonspherical Particles: Theory, Measurements, and Applications; Mishchenko, M.I., Hovenier, J.W., Trvis, L.D., Eds.; Elsevier: San Diego, CA, USA; Academic Press: San Diego, CA, USA, 2000. [Google Scholar]
- Dubovik, O.; Holben, B.N.; Lapyonok, T.; Sinyuk, A.; Mishchenko, M.I.; Yang, P.; Slutsker, I. Non-spherical aerosol retrieval method employing light scattering by spheroids. Geophys. Res. Lett. 2002, 29, 54-1–54-4. [Google Scholar] [CrossRef]
- Roger, J.C.; Vermote, E.; Skakun, S.; Murphy, E.; Dubovik, O.; Kalecinski, N.; Korgo, B.; Holben, B. Aerosol models from the AERONET database: Application to surface reflectance validation. Atmos. Meas. Tech. 2022, 15, 1123–1144. [Google Scholar] [CrossRef]
- Noh, Y.; Müller, D.; Lee, K.; Kim, K.; Lee, K.; Shimizu, A.; Sano, I.; Park, C.B. Depolarization ratios retrieved by AERONET sun–sky radiometer data and comparison to depolarization ratios measured with lidar. Atmos. Chem. Phys. 2017, 17, 6271–6290. [Google Scholar] [CrossRef]
- Toledano, C.; Weigner, M.; Garhammer, M.; Seefeldner, M.; Gasteiger, J.; Muler, D.; Koepke, P. Spectral aerosol optical depth characterization of desert dust during SAMUM 2006. Tellus B Chem. Phys. Meteorol. 2009, 61, 216–228. [Google Scholar] [CrossRef]
- Executive Environment Agency (ExEA), Ministry of Environment and Water—Bulgaria, National System for Environmental Monitoring. Available online: http://www.eea.government.bg/kav/ (accessed on 31 March 2022).
- Salvador, P.; Artíñano, B.; Molero, F.; Viana, M.; Pey, J.; Alastuey, A.; Querol, X. African dust contribution to ambient aerosol levels across central Spain: Characterization of long-range transport episodes of desert dust. Atmos. Res. 2013, 127, 117–129. [Google Scholar] [CrossRef]
- Salvador, P.; Pey, J.; Pérez, N.; Querol, X.; Artíñano, B. Increasing atmospheric dust transport towards the western Mediterranean over 1948–2020. Npj Clim. Atmos. Sci. 2022, 5, 34. [Google Scholar] [CrossRef]
- Kaskaoutis, D.G.; Dumka, U.C.; Rashki, A.; Psiloglou, B.E.; Gavriil, A.; Mofidi, A.; Petrinolia, K.; Karagiannis, D.; Kambezidis, H.D. Analysis of intense dust storms over the eastern Mediterranean in March 2018: Impact on radiative forcing and Athens air quality. Atmos. Environ. 2019, 209, 23–39. [Google Scholar] [CrossRef]
- Yang, L.; Hu, Z.; Huang, Z.; Wang, L.; Han, W.; Yang, Y.; Tao, H.; Wang, J. Detection of a dust storm in 2020 by a multi-observation platform over the Northwest China. Remote Sens. 2021, 13, 1056. [Google Scholar] [CrossRef]















| Period | Parameter | Total Number | Mean | Standard Deviation | Min | Median | Max | Skewness |
|---|---|---|---|---|---|---|---|---|
| 5 May 2020–28 February 2021 | AOD440 | 9678 | 0.18 | 0.09 | 0.03 | 0.16 | 0.66 | 1.20 |
| AE440/870 | 9678 | 1.41 | 0.32 | 0.29 | 1.49 | 2.04 | −1.01 | |
| AOD500 AE380/500 | 9678 9678 | 0.15 1.29 | 0.08 0.31 | 0.02 0.19 | 0.13 1.34 | 0.61 2.10 | 1.27 −0.95 | |
| 1 March 2021–28 February 2022 | AOD440 | 15931 | 0.22 | 0.12 | 0.04 | 0.18 | 0.77 | 0.87 |
| AE440/870 AOD500 AE380/500 | 15931 15931 15931 | 1.48 0.18 1.34 | 0.37 0.11 0.27 | 0.25 0.03 0.36 | 1.61 0.15 1.40 | 2.08 0.64 1.95 | −1.24 0.88 −1.09 | |
| 5 May 2020–28 February 2022 | AOD440 | 25609 | 0.20 | 0.11 | 0.03 | 0.17 | 0.77 | 1.03 |
| AE440/870 | 25609 | 1.45 | 0.35 | 0.25 | 1.56 | 2.08 | −1.13 | |
| AOD500 | 25609 | 0.17 | 0.10 | 0.02 | 0.14 | 0.64 | 1.05 | |
| AE380/500 | 25609 | 1.32 | 0.29 | 0.19 | 1.38 | 2.10 | −1.07 |
| Period | Parameter | AOD < 0.05 (%) | AOD < 0.1 (%) | AOD < 0.2 (%) | AOD < 0.3 (%) | Parameter | AE < 0.8 (%) | AE < 1.4 (%) |
|---|---|---|---|---|---|---|---|---|
| 5 May 2020–28 February 2021 | AOD440 | 2.72 | 19.49 | 67.48 | 89.59 | AE440/870 | 6.19 | 37.74 |
| AOD500 | 5.56 | 27.93 | 78.79 | 93.83 | AE380/500 | 8 | 57.76 | |
| 1 March 2021–28 February 2022 | AOD440 | 0.98 | 18.28 | 54.4 | 77.07 | AE440/870 | 9.46 | 27.46 |
| AOD500 | 2.41 | 28.89 | 65.23 | 83.18 | AE380/500 | 6.92 | 49.68 | |
| 5 May 2020–28 February 2022 | AOD440 | 1.64 | 18.74 | 59.34 | 81.8 | AE440/870 | 8.22 | 31.34 |
| AOD500 | 3.6 | 28.53 | 70.35 | 87.21 | AE380/500 | 7.33 | 52.73 |
| Date | Temperature (°C) | Dew Point (°C) | Wind Speed (m/s) | Visibility (km) | Precipitation 24 h (l/m2) |
|---|---|---|---|---|---|
| 14 September 2020 | 21.2 | 11 | 1.1 | 18–25 | 0 |
| 12 October 2020 | 15.3 | 11.2 | 1 | 12–20 | 0 |
| 1 November 2020 | 8.1 | 2.7 | 0.8 | 8–25 | 2.7 |
| 19 July 2021 | 22.5 | 17.2 | 1.6 | 12–20 | 0 |
| 5 August 2021 | 27.7 | 13.5 | 1.5 | 10–20 | 0 |
| 14 August 2021 | 23.5 | 13.4 | 1.6 | 20–25 | 0 |
| 18 August 2021 | 20.9 | 12.9 | 4 | 15–25 | 1.5 |
| 23 August 2021 | 23.3 | 11.1 | 1.9 | 20–25 | 0 |
| 25 August 2021 | 19.3 | 14.6 | 1.3 | 9–25 | 0 |
| 17 September 2021 | 20.8 | 14.2 | 1.1 | 16–28 | 0 |
| 8 November 2021 | 12.8 | 8.7 | 1.3 | 12–25 | 0 |
| Date | AOD440 | AOD500 | AODf500 | AODc500 | AE440/870 | AE380/500 | SF (%) | DR440 | nr440 |
|---|---|---|---|---|---|---|---|---|---|
| 14 September 2020 | 0.36 ± 0.09 | 0.30 ± 0.08 | 0.24 ± 0.07 | 0.06 ± 0.01 | 1.52 ± 0.04 | 1.40 ± 0.08 | 0.6–67.2 | 0.022–0.133 | 1.35–1.56 |
| 12 October 2020 | 0.23 ± 0.01 | 0.19 ± 0.01 | 0.17 ± 0.01 | 0.01 ± 0.01 | 1.74 ± 0.12 | 1.37 ± 0.04 | 98.6–99.0 | 0.002 | 1.36–1.43 |
| 1 November 2020 | 0.05 ± 0.01 | 0.04 ± 0.01 | 0.03 ± 0.01 | 0.01 ± 0.002 | 1.25 ± 0.11 | 1.12 ± 0.14 | 60.3–99.0 | 0.004–0.033 | 1.43–1.58 |
| 19 July 2021 | 0.46 ± 0.07 | 0.39 ± 0.05 | 0.29 ± 0.07 | 0.10 ± 0.02 | 1.34 ± 0.19 | 1.29 ± 0.09 | 3.7–28.9 | 0.086–0.132 | 1.46–1.51 |
| 5 August 2021 | 0.43 ± 0.02 | 0.39 ± 0.02 | 0.17 ± 0.02 | 0.22 ± 0.01 | 0.67 ± 0.10 | 0.79 ± 0.12 | 1.0–4.4 | 0.091–0.139 | 1.40–1.49 |
| 14 August 2021 | 0.29 ± 0.04 | 0.24 ± 0.03 | 0.22 ± 0.03 | 0.01 ± 0.002 | 1.85 ± 0.02 | 1.51 ± 0.03 | 93.2–99.0 | 0.002–0.005 | 1.44–1.50 |
| 18 August 2021 | 0.43 ± 0.07 | 0.37 ± 0.05 | 0.27 ± 0.05 | 0.09 ± 0.01 | 1.37 ± 0.10 | 1.29 ± 0.07 | 3.0–20.3 | 0.104–0.131 | 1.51–1.54 |
| 23 August 2021 | 0.36 ± 0.02 | 0.30 ± 0.02 | 0.28 ± 0.02 | 0.01 ± 0.002 | 1.90 ± 0.03 | 1.47 ± 0.04 | 91.7–99.0 | 0.002–0.005 | 1.40–1.57 |
| 25 August 2021 | 0.64 ± 0.09 | 0.53 ± 0.07 | 0.51 ± 0.08 | 0.02 ± 0.004 | 1.83 ± 0.03 | 1.37 ± 0.07 | 99.0 | 0.002 | 1.53 |
| 17 September 2021 | 0.29 ± 0.02 | 0.27 ± 0.02 | 0.10 ± 0.004 | 0.17 ± 0.02 | 0.52 ± 0.04 | 0.65 ± 0.05 | 0.4–20.7 | 0.107–0.141 | 1.49–1.51 |
| 8 November 2021 | 0.30 ± 0.05 | 0.26 ± 0.05 | 0.13 ± 0.02 | 0.13 ± 0.04 | 0.78 ± 0.13 | 0.77 ± 0.09 | 5.9–99.0 | 0.002–0.148 | 1.47–1.51 |
Publisher’s Note: MDPI stays neutral with regard to jurisdictional claims in published maps and institutional affiliations. |
© 2022 by the authors. Licensee MDPI, Basel, Switzerland. This article is an open access article distributed under the terms and conditions of the Creative Commons Attribution (CC BY) license (https://creativecommons.org/licenses/by/4.0/).
Share and Cite
Evgenieva, T.; Gurdev, L.; Toncheva, E.; Dreischuh, T. Optical and Microphysical Properties of the Aerosol Field over Sofia, Bulgaria, Based on AERONET Sun-Photometer Measurements. Atmosphere 2022, 13, 884. https://doi.org/10.3390/atmos13060884
Evgenieva T, Gurdev L, Toncheva E, Dreischuh T. Optical and Microphysical Properties of the Aerosol Field over Sofia, Bulgaria, Based on AERONET Sun-Photometer Measurements. Atmosphere. 2022; 13(6):884. https://doi.org/10.3390/atmos13060884
Chicago/Turabian StyleEvgenieva, Tsvetina, Ljuan Gurdev, Eleonora Toncheva, and Tanja Dreischuh. 2022. "Optical and Microphysical Properties of the Aerosol Field over Sofia, Bulgaria, Based on AERONET Sun-Photometer Measurements" Atmosphere 13, no. 6: 884. https://doi.org/10.3390/atmos13060884
APA StyleEvgenieva, T., Gurdev, L., Toncheva, E., & Dreischuh, T. (2022). Optical and Microphysical Properties of the Aerosol Field over Sofia, Bulgaria, Based on AERONET Sun-Photometer Measurements. Atmosphere, 13(6), 884. https://doi.org/10.3390/atmos13060884

