Quantitative Analysis of Indoor Gaseous Semi-Volatile Organic Compounds Using Solid-Phase Microextraction: Active Sampling and Calibration
Abstract
:1. Introduction
2. Materials and Methods
2.1. SPME-Based Active Sampler
2.2. Calibration Method of SPME
2.3. Experimental System
2.4. Experimental Procedure
2.5. Chemical Analysis
3. Results and Discussion
3.1. Gaseous Concentrations Measured by Sorbent Tubes
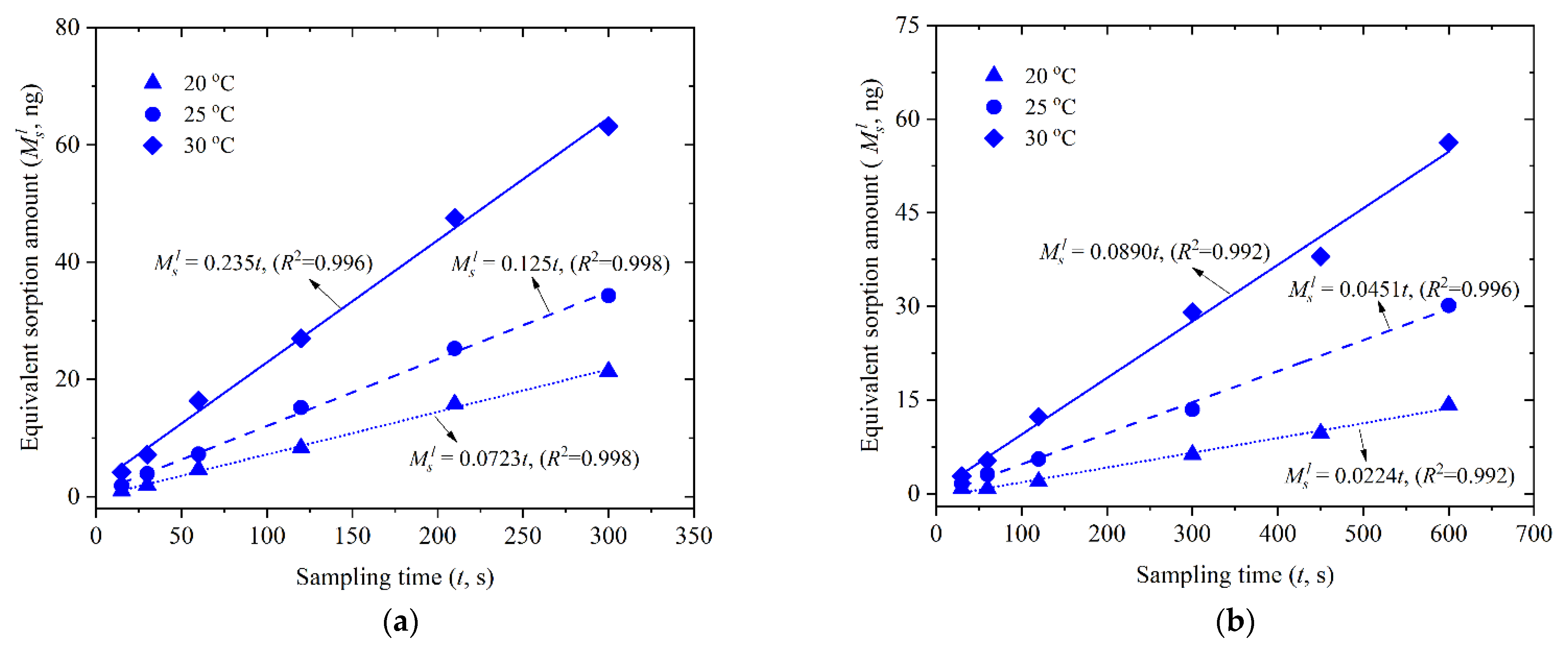
3.2. Calibration Constant of SPME (β)
3.3. Comparison between SPME and Sorbent Tubes
3.4. Application of SPME to Low Volatile SVOCs
4. Discussions
5. Conclusions
Supplementary Materials
Author Contributions
Funding
Institutional Review Board Statement
Informed Consent Statement
Data Availability Statement
Conflicts of Interest
References
- Weschler, C.J.; Nazaroff, W.W. Semivolatile organic compounds in indoor environments. Atmos. Environ. 2008, 42, 9018–9040. [Google Scholar] [CrossRef]
- Salthammer, T.; Zhang, Y.; Mo, J.; Koch, H.M.; Weschler, C.J. Assessing human exposure to organic pollutants in the indoor environment. Angew. Chem. Int. Edit. 2018, 57, 12228–12263. [Google Scholar] [CrossRef] [PubMed]
- Bu, Z.M.; Dong, C.; Mmereki, D.; Ye, Y.H.; Cheng, Z. Modeled exposure to phthalates via inhalation and dermal pathway in children’s sleeping environment: A preliminary study and its implications. Build. Simul. 2021, 14, 1785–1794. [Google Scholar] [CrossRef]
- Huang, L.; Micolier, A.; Gavin, H.P.; Jolliet, O. Modeling chemical releases from building materials: The search for extended validity domain and parsimony. Build. Simul. 2021, 14, 1277–1293. [Google Scholar] [CrossRef]
- Bornehag, C.-G.; Sundell, J.; Weschler, C.J.; Sigsgaard, T.; Lundgren, B.; Hasselgren, M.; Hägerhed-Engman, L. The association between asthma and allergic symptoms in children and phthalates in house dust: A nested case-control study. Environ. Health Perspect. 2004, 112, 1393–1397. [Google Scholar] [CrossRef] [Green Version]
- Rudel, R.A.; Camann, D.E.; Spengler, J.D.; Korn, L.R.; Brody, J.G. Phthalates, alkylphenols, pesticides, polybrominated diphenyl ethers, and other endocrine-disrupting compounds in indoor air and dust. Environ. Sci. Technol. 2003, 37, 4543–4553. [Google Scholar] [CrossRef]
- Meeker, J.D.; Calafat, A.M.; Hauser, R. Di(2-ethylhexyl) phthalate metabolites may alter thyroid hormone levels in men. Environ. Health Perspect. 2007, 115, 1029–1034. [Google Scholar] [CrossRef]
- Crobeddu, B.; Ferraris, E.; Kolasa, E.; Plante, I. Di(2-ethylhexyl) phthalate (DEHP) increases proliferation of epithelial breast cancer cells through progesterone receptor dysregulation. Environ. Res. 2019, 173, 165–173. [Google Scholar] [CrossRef]
- Król, S.; Zabiegala, B.; Namiesnik, J. Monitoring and analytics of semivolatile organic compounds (SVOCs) in indoor air. Anal. Bioanal. Chem. 2011, 400, 1751–1769. [Google Scholar] [CrossRef]
- Liang, Y.; Xu, Y. Emission of phthalates and phthalate alternatives from vinyl flooring and crib mattress covers: The influence of temperature. Environ. Sci. Technol. 2014, 48, 14228–14237. [Google Scholar] [CrossRef]
- Isetun, S.; Nilsson, U.; Colmsjo, A.; Johansson, R. Air sampling of organophosphate triesters using SPME under non-equilibrium conditions. Anal. Bioanal. Chem. 2004, 378, 1847–1853. [Google Scholar] [CrossRef]
- Isetun, S.; Nilsson, U. Dynamic field sampling of airborne organophosphate triesters using solid-phase microextraction under equilibrium and non-equilibrium conditions. Analyst 2005, 130, 94–98. [Google Scholar] [CrossRef]
- Cao, J.; Xiong, J.; Wang, L.; Xu, Y.; Zhang, Y. Transient method for determining indoor chemical concentrations based on SPME: Model development and calibration. Environ. Sci. Technol. 2016, 50, 9452–9459. [Google Scholar] [CrossRef]
- Pawliszyn, J. Theory of solid-phase microextraction. J. Chromatogr. Sci. 2000, 38, 270–278. [Google Scholar] [CrossRef] [Green Version]
- Ouyang, G.; Pawliszyn, J. A critical review in calibration methods for solid-phase microextraction. Anal. Chim. Acta 2008, 627, 184–197. [Google Scholar] [CrossRef]
- Tuduri, L.; Desauziers, V.; Fanlo, J.L. Dynamic versus static sampling for the quantitative analysis of volatile organic compounds in air with polydimethylsiloxane–Carboxen solid-phase microextraction fibers. J. Chromatogr. A 2002, 963, 49–56. [Google Scholar] [CrossRef]
- Ai, J. Solid phase microextraction for quantitative analysis in nonequilibrium situations. Anal. Chem. 1997, 69, 1230–1236. [Google Scholar] [CrossRef]
- Ouyang, G.; Cui, S.; Qin, Z.; Pawliszyn, J. One-calibrant kinetic calibration for on-site water sampling with solid-phase microextraction. Anal. Chem. 2009, 81, 5629–5636. [Google Scholar] [CrossRef]
- Koziel, J.; Jia, M.; Pawliszyn, J. Air sampling with porous solidphase microextraction fibers. Anal. Chem. 2000, 72, 5178–5186. [Google Scholar] [CrossRef]
- Chen, Y.; Koziel, J.A.; Pawliszyn, J. Calibration for on-site analysis of hydrocarbons in aqueous and gaseous samples using solid-phase microextraction. Anal. Chem. 2003, 75, 6485–6493. [Google Scholar] [CrossRef]
- Fung, A.G.; Yamaguchi, M.S.; McCartney, M.M.; Aksenov, A.A.; Pasamontes, A.; Davis, C.E. SPME-based mobile field device for active sampling of volatiles. Microchem. J. 2019, 146, 407–413. [Google Scholar] [CrossRef]
- Razote, E.; Jeon, I.; Maghirang, R.; Chobpattana, W. Dynamic air sampling of volatile organic compounds using solid phase microextraction. J. Environ. Sci. Health B 2002, 37, 365–378. [Google Scholar] [CrossRef]
- Cao, J.; Zhang, X.; Little, J.C.; Zhang, Y. A SPME-based method for rapidly and accurately measuring the characteristic parameter for DEHP emitted from PVC floorings. Indoor Air 2017, 27, 417–426. [Google Scholar] [CrossRef]
- Shi, S.; Cao, J.; Zhang, Y.; Zhao, B. Emissions of phthalates from indoor flat materials in Chinese residences. Environ. Sci. Technol. 2018, 52, 13166–13173. [Google Scholar] [CrossRef]
- Ouyang, G.; Chen, Y.; Setkova, L.; Pawliszyn, J. Calibration of solid-phase micro-extraction for quantitative analysis by gas chromatography. J. Chromatogr. A 2005, 1097, 9–16. [Google Scholar] [CrossRef]
- Gong, M.; Poppendieck, D.G. An improved method for calibrating solid-phase microextraction by direct loading. In Proceedings of the Healthy Buildings 2017 Asia, Tianan, Taiwan, 2–5 September 2017. [Google Scholar]
- Zhao, W.; Ouyang, G.; Pawliszyn, J. Preparation and application of in-fibre internal standardization solid-phase microextraction. Analyst 2007, 132, 256–261. [Google Scholar] [CrossRef]
- Wu, Y.; Eichler, C.M.; Chen, S.; Little, J.C. Simple method to measure the vapor pressure of phthalates and their aternatives. Environ. Sci. Technol. 2016, 50, 10082–10088. [Google Scholar] [CrossRef]
- Wu, Y.; Eichler, C.M.A.; Cao, J.; Benning, J.L.; Olson, A.; Chen, S.; Liu, C.; Vejerano, E.W.; Marr, L.C.; Little, J.C. Particle/gas partitioning of phthalates to organic and inorganic airborne particles in the indoor environment. Environ. Sci. Technol. 2018, 52, 3583–3590. [Google Scholar] [CrossRef]
- Liang, Y.; Xu, Y. Improved method for measuring and characterizing phthalate emissions from building materials and its application to exposure assessment. Environ. Sci. Technol. 2014, 48, 4475–4484. [Google Scholar] [CrossRef]
- Cao, J.; Eichler, C.M.A.; Wu, Y.; Little, J.C. Dynamic method to measure partition coefficient and mass accommodation coefficient for gas–particle interaction of phthalates. Aerosol Sci. Technol. 2019, 53, 1158–1171. [Google Scholar] [CrossRef]
- Ni, Y.; Kumagai, K.; Yanagisawa, Y. Measuring emissions of organophosphate flame retardants using a passive flux sampler. Atmos. Environ. 2007, 41, 3235–3240. [Google Scholar] [CrossRef]
- Wang, X.; Tao, W.; Xu, Y.; Feng, J.; Wang, F. Indoor phthalate concentration and exposure in residential and office buildings in Xi’an, China. Atmos. Environ. 2014, 87, 146–152. [Google Scholar] [CrossRef]
- Liu, X.; Allen, M.R.; Roache, N.F. Characterization of organophosphorus flame retardants’ sorption on building materials and consumer products. Atmos. Environ. 2016, 140, 333–341. [Google Scholar] [CrossRef]
- Gao, D.; Li, Z.; Wang, H.; Liang, H. An overview of phthalate acid ester pollution in China over the last decade: Environmental occurrence and human exposure. Sci. Total Environ. 2018, 645, 1400–1409. [Google Scholar] [CrossRef] [PubMed]
- Cao, J.; Xie, S.; Cheng, Z.; Li, R.; Xu, Y.; Huang, H. Impacts of sampling-tube loss on quantitative analysis of gaseous semi-volatile organic compounds (SVOCs) using an SPME-based active sampler. Chemosphere, 2022; submitted. [Google Scholar]
- Schwarzenbach, R.P.; Gschwend, P.M.; Imboden, D.M. Environmental Organic Chemistry; John Wiley & Sons: New York, NY, USA, 2005. [Google Scholar]
- Bergman, T.L.; Incropera, F.P.; DeWitt, D.P.; Lavine, A.S. Fundamentals of Heat and Mass Transfer; John Wiley & Sons: Hoboken, NJ, USA, 2011. [Google Scholar]
- Cao, J.; Weschler, C.J.; Luo, J.; Zhang, Y. Cm-history method, a novel approach to simultaneously measure source and sink parameters important for estimating indoor exposures to phthalates. Environ. Sci. Technol. 2016, 50, 825–834. [Google Scholar] [CrossRef] [PubMed]
- Ai, J. Headspace solid phase microextraction. Dynamics and quantitative analysis before reaching a partition equilibrium. Anal. Chem. 1997, 69, 3260–3266. [Google Scholar] [CrossRef]
- Wang, Q.; Zhao, H.; Wang, Y.; Xie, Q.; Chen, J.; Quan, X. Determination and prediction for vapor pressures of organophosphate flame retardants by gas chromatography. Chin. J. Chromatogr. 2017, 35, 1008–1013. (In Chinese) [Google Scholar] [CrossRef]



| T (°C) | DiBP | TCPP | ||||||||
|---|---|---|---|---|---|---|---|---|---|---|
| Tenax TA | SPME | RD c | Tenax TA | SPME | RD c | |||||
| Cg (μg/m3) a | RSD b | Cg (μg/m3) a | RSD b | Cg (μg/m3) a | RSD b | Cg (μg/m3) a | RSD b | |||
| 20 | 246 | 9.5% | – d | – | – | 250 | 19% | – | – | – |
| 23 | 372 | 20% | 353 | 5.0% | 5.1% | 341 | 8.6% | 355 | 11% | 4.1% |
| 25 | 456 | 8.0% | – | – | – | 520 | 3.7% | – | – | – |
| 27 | 586 | 19% | 575 | 2.3% | 1.9% | 566 | 16% | 664 | 2.3% | 17% |
| 30 | 767 | 9.8% | – | – | – | 1035 | 11% | – | – | – |
| SVOCs | Temperature (°C) | βT × 104 (m3/s) a | β × 104 (m3/s) b | RSD (%) c |
|---|---|---|---|---|
| DiBP | 20 | 2.94 | 2.92 | 5.6 |
| 25 | 2.74 | |||
| 30 | 3.07 | |||
| TCPP | 20 | 0.895 | 0.874 | 2.1 |
| 25 | 0.867 | |||
| 30 | 0.860 |
Publisher’s Note: MDPI stays neutral with regard to jurisdictional claims in published maps and institutional affiliations. |
© 2022 by the authors. Licensee MDPI, Basel, Switzerland. This article is an open access article distributed under the terms and conditions of the Creative Commons Attribution (CC BY) license (https://creativecommons.org/licenses/by/4.0/).
Share and Cite
Cao, J.; Zhang, L.; Cheng, Z.; Xie, S.; Li, R.; Xu, Y.; Huang, H. Quantitative Analysis of Indoor Gaseous Semi-Volatile Organic Compounds Using Solid-Phase Microextraction: Active Sampling and Calibration. Atmosphere 2022, 13, 693. https://doi.org/10.3390/atmos13050693
Cao J, Zhang L, Cheng Z, Xie S, Li R, Xu Y, Huang H. Quantitative Analysis of Indoor Gaseous Semi-Volatile Organic Compounds Using Solid-Phase Microextraction: Active Sampling and Calibration. Atmosphere. 2022; 13(5):693. https://doi.org/10.3390/atmos13050693
Chicago/Turabian StyleCao, Jianping, Li Zhang, Zhibin Cheng, Siqi Xie, Runze Li, Ying Xu, and Haibao Huang. 2022. "Quantitative Analysis of Indoor Gaseous Semi-Volatile Organic Compounds Using Solid-Phase Microextraction: Active Sampling and Calibration" Atmosphere 13, no. 5: 693. https://doi.org/10.3390/atmos13050693
APA StyleCao, J., Zhang, L., Cheng, Z., Xie, S., Li, R., Xu, Y., & Huang, H. (2022). Quantitative Analysis of Indoor Gaseous Semi-Volatile Organic Compounds Using Solid-Phase Microextraction: Active Sampling and Calibration. Atmosphere, 13(5), 693. https://doi.org/10.3390/atmos13050693

