Source Apportionment of Heavy Metals in Wet Deposition in a Typical Industry City Based on Multiple Models
Abstract
1. Introduction
2. Materials and Methods
2.1. Study Area and Sampling
2.2. Chemistry Analysis
2.3. Quality Control and Quality Assurance
3. Data Analysis
3.1. Enrichment Factor
3.2. Unmix Model
3.3. PMF Model
3.4. APCS-MLR Model
4. Result and Discussion
4.1. Heavy Metal Concentration Level in Wet Deposition
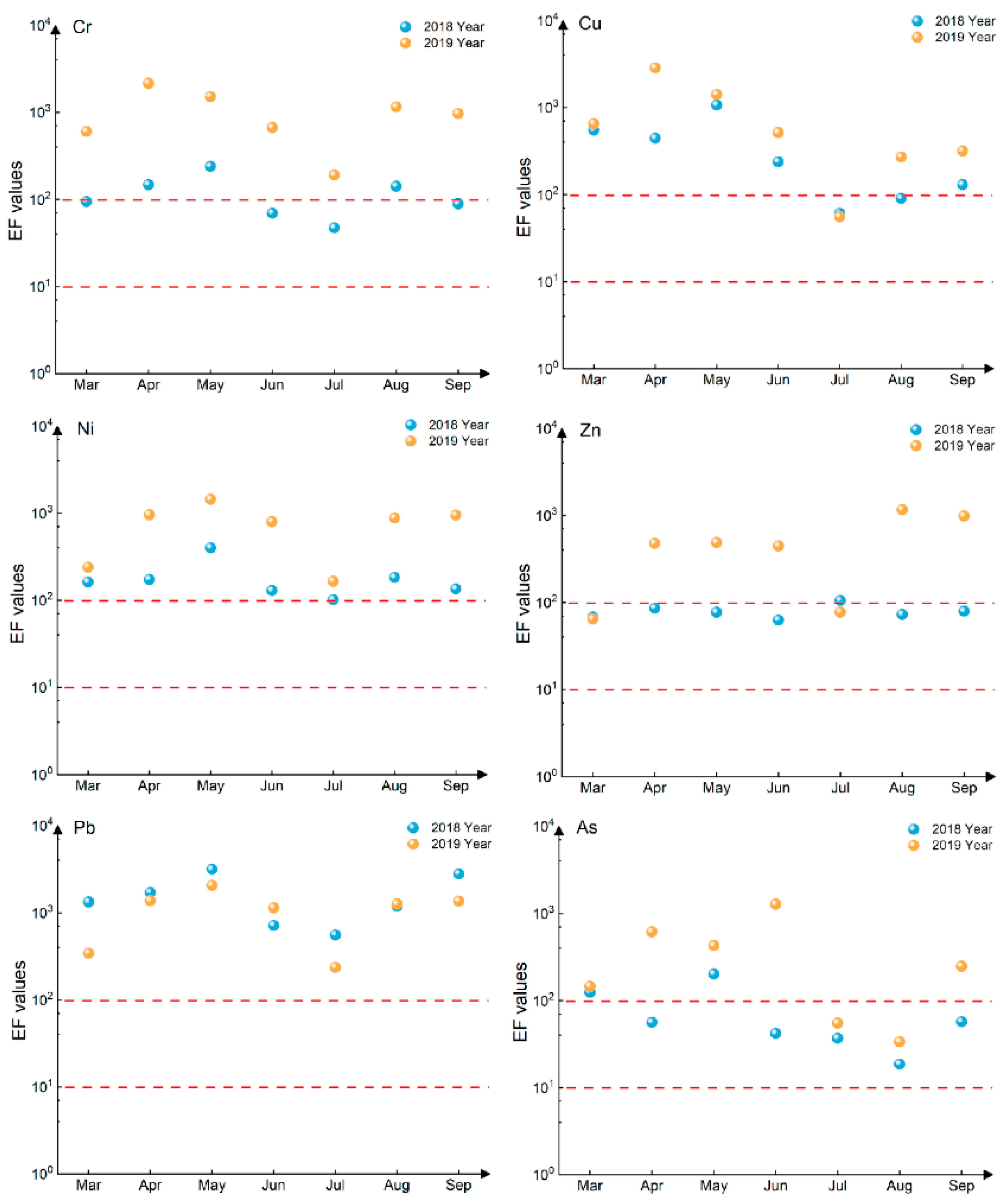
4.2. Enrichment Factor
4.3. Source Apportionment
4.3.1. Results of the PMF Model
4.3.2. Results of the Unmix Model
4.3.3. Results of the APCS-MLR Model
4.3.4. Comparison of Three Receptor Models
4.4. Air Pellet Backward Trace
5. Conclusions
- (1)
- The mean concentrations of Zn, Cr, Pb, Cu, Ni, and As in wet deposition were 29.53, 14.11, 9.18, 7.03, 6.41, and 1.21 μg·L−1, respectively. The concentration of elements in different functional areas varied, indicating that human activity was one of the main reasons affecting the concentration of different heavy metals in wet deposition.
- (2)
- In this study, the EFs of the six heavy metals were above 10, and Pb and Zn were above 100, and the highest values were even above 1000, which were greatly affected by anthropogenic activities and showed moderate enrichment and high enrichment characteristics. In addition, according to the backward trajectory analysis, the wet deposition in Handan was mainly affected by the gas mass from the southwest direction. The coking and power industrial areas through which the gas mass trajectory passed had a greater impact on the wet deposition of heavy metals, the joint prevention and control of the area should be the main improvement measure for the heavy metal pollution of wet deposition in the future, while requiring all regions to strictly implement the emission limit requirements of air pollutants.
- (3)
- By comparing the analytical results of PMF, Unmix, and APCS-MLR multiple receptor models, the analytical results of the three models confirm each other and have a good consistency. In particular, the APCS-MLR model had better analysis results, and its fitting degree and applicability were better than other models, which was more suitable for source analysis of heavy metals in wet deposition in this study.
Author Contributions
Funding
Institutional Review Board Statement
Informed Consent Statement
Data Availability Statement
Acknowledgments
Conflicts of Interest
References
- Zhao, J.; Hua, P.; Krebs, P. Influences of land use and antecedent dry-weather period on pollution level and ecological risk of heavy metals in road-deposited sediment. Environ. Pollut. 2017, 228, 158–168. [Google Scholar]
- Agnan, Y.; Séjalon-Delmas, N.; Probst, A. Comparing early twentieth century and present-day atmospheric pollution in SW France: A story of lichens. Environ. Pollut. 2013, 172, 139–148. [Google Scholar] [CrossRef] [PubMed]
- Jiang, W.Q.; Zhu, X.; Shen, J.L.; Huang, Z.T.; Gong, D.L.; Li, Y.; Wu, J.S. Atmospheric sulfur deposition in a paddy rice region in the hilly region in central China. China Environ. Sci. 2020, 40, 4848–4856. [Google Scholar]
- Vanessa, B.; Jane, K.W. Chemical and physical drivers of beryllium retention in two soil end members. Sci. Total Environ. 2020, 754, 141591. [Google Scholar]
- Li, K.F. Research on the Wet Cleaning Effect of air Pollution in BTH Region. Master’s Thesis, Nanjing University of Information Sience and Technology, Nanjing, China, 2018. [Google Scholar]
- Li, Y.M.; Pan, Y.P.; Wang, Y.S.; Wang, S.F.; Li, X.R. Chemical Characteristics and Sources of Trace Metals in wet deposition Collected from a Typical Industrial City in Northern China. Environ. Sci. 2012, 33, 3712–3717. [Google Scholar]
- Ross, H.B. Trace metals in wet deposition in Sweden. Water Air Soil Pollut. 1987, 36, 349–363. [Google Scholar] [CrossRef]
- Yang, Z.P.; Lu, W.X.; Long, Y.; Liu, X. Current situation of pH and wet deposition of heavy metals in wet deposition in Changchun City. China J. Jilin Univ. (Earth Sci. Ed.) 2009, 39, 887. [Google Scholar]
- Kara, M.; Dumanoglu, Y.; Altiok, H.; Elbir, T.; Odabasi, M.; Bayram, A. Seasonal and spatial variations of atmospheric trace elemental deposition in the Aliaga industrial region, Turkey. Atmos. Res. 2014, 149, 204–216. [Google Scholar] [CrossRef]
- Mijić, Z.; Stojić, A.; Perišić, M.; Rajšić, S.; Tasić, M.; Radenković, M.; Joksić, J. Seasonal variability and source apportionment of metals in the atmospheric deposition in Belgrade. Atmos. Environ. 2010, 44, 3630–3637. [Google Scholar] [CrossRef]
- Saleh, M.Q.; Hamad, Z.A.; Hama, J.R. Assessment of some heavy metals in crude oil workers from Kurdistan Region, northern Iraq. Environ. Monit. Assess. 2021, 193, 1–8. [Google Scholar] [CrossRef]
- Migon, C.; Journel, B.; Nicolas, E. Measurement of trace metal wet, dry and total atmospheric fluxes over the Ligurian Sea. Atmos. Environ. 1997, 31, 889–896. [Google Scholar] [CrossRef]
- Sakata, M.; Marumoto, K.; Narukawa, M.; Asakura, K. Regional variations in wet and dry deposition fluxes of trace elements in Japan. Atmos. Environ. 2006, 40, 521–531. [Google Scholar] [CrossRef]
- Pan, Y.P.; Wang, Y.S. Atmospheric wet and dry deposition of trace elements at 10 sites in Northern China. Atmos. Chem. Phys. 2015, 15, 951–972. [Google Scholar] [CrossRef]
- Wang, H.; Ma, N.; Yang, X.J.; Yang, K.M.; Han, G.L. Heavy metal characteristics of rain water in Chengdu. Earth Environ. 2010, 38, 49–53. [Google Scholar]
- Xu, H.L.; Li, D.Y.; Yang, J.; Zhang, X.; Zhu, L.L. Preliminary Study on Flux of Atmospheric Dry and Wet Deposition of Heavy Metal Elements in Yunmeng County, Hubei Province. Resour. Environ. Eng. 2015, 29, 816–821. [Google Scholar]
- Gong, X.Y.; Qi, S.; Su, Q. Atmospheric Deposition of Heavy Metals to Xinghua Bay, Fujian Province. Res. Environ. Sci. 2006, 19, 31–34. [Google Scholar]
- Pian, W. Individual Particle Characteristics of Depositional and Suspended Particles During the Haze Pollution in Handan City. Master’s Thesis, Hebei University of Engineering, Handan, China, 2016. [Google Scholar]
- Li, H.Y.; Zhang, Q.; Chen, C.R.; Wang, L.T.; Wei, Z.; Zhou, S.; Parworth, C.; Zheng, B.; Canonaco, F.; Prévôt, A.S.H.; et al. Wintertime aerosol chemistry and haze evolution in an extremely polluted city of the North China Plain: Significant contribution from coal and biomass combustion. Atmos. Chem. Phys. 2017, 17, 4751–4768. [Google Scholar] [CrossRef]
- Wu, D.; Liao, B.T.; Wu, M.; Chen, H.Z.; Wang, Y.C.; Liao, X.N.; Sun, D. The long-term trend of haze and fog days and the surface layer transport conditions under haze weather in North China. Acta Sci. Circumstantiae 2014, 34, 1–11. [Google Scholar]
- Xu, Y.X.; Li, X.M.; Yu, H.T. Characteristics of air pollution complex in Handan. Acta Sci. Circumstantiae 2015, 35, 2710–2722. [Google Scholar]
- China Statistics Press. Handan Statistics Bureau, 2012 Handan Statistical Yearbook; China Statistics Press: Beijing, China, 2012. [Google Scholar]
- China Statistics Press. Chinese Statistics Bureau, 2013 China Statistical Yearbook; China Statistics Press: Beijing, China, 2013. [Google Scholar]
- Lynam, M.M.; Dvonch, J.T.; Hall, N.L.; Morishita, M.; Barres, J.A. Trace elements and major ions in atmospheric wet and dry deposition across central Illinois, USA. Air Qual. Atmos. Health 2015, 8, 135–147. [Google Scholar] [CrossRef]
- Pathak, A.K.; Kumar, R.; Kumar, P.; Yaday, S. Sources apportionment and spatio-temporal changes in metal pollution in surface and sub-surface soils of a mixed type industrial area in India. J. Geochem. Explor. 2015, 159, 169–177. [Google Scholar] [CrossRef]
- Thurston, G.D.; Spengler, J.D. A quantitative assessment of source contributions to inhalable particulate matter pollution in metropolitan Boston. Atmos. Environ. 1985, 19, 9–25. [Google Scholar] [CrossRef]
- Paatero, P. Least squares formulation of robust non-negative factor analysis. Chemom. Intell. Lab. Syst. 1997, 37, 23–35. [Google Scholar] [CrossRef]
- Henry, R.C. Multivariate receptor modeling by N-dimensional edge detection. Chemom. Intell. Lab. Syst. 2003, 65, 179–189. [Google Scholar] [CrossRef]
- Wang, Y.Q. MeteoInfo: GIS software for meteorological data visualization and analysis. Meteorol. Appl. 2014, 21, 360–368. [Google Scholar] [CrossRef]
- Zoller, W.H.; Gladney, E.S.; Duce, R.A. Atmospheric concentrations and sources of trace metals at the South Pole. Science 1974, 183, 198–200. [Google Scholar] [CrossRef]
- China Environmental Monitoring Station. Background Value of Soil Elements in China; China Environmental Science Press: Beijing, China, 1990; pp. 334–379. [Google Scholar]
- Cai, A.Z.; Zhang, H.X.; Wang, X.J.; Wu, X.Q. Review on the Pollution Source Apportionment by Unmix Model and Application Prospect. Chin. J. Soil Sci. 2021, 52, 747–756. [Google Scholar]
- Cao, J.Y. Source Analysis and Pollution Loss Assessment of Heavy Metals in Farmland Soil Based on Unmix Model: A Case Study of a Town in South China. Master’s Thesis, China University of Geosciences, Beijing, China, 2019. [Google Scholar]
- Hopke, P.K. Recent developments in receptor modeling. J. Chemometr. 2003, 17, 255–265. [Google Scholar] [CrossRef]
- Paatero, P.; Tapper, U. Positive matrix factorization: A non-negative factor model with optimal utilization of error estimates of data values. Environmetrics 1994, 5, 111–126. [Google Scholar] [CrossRef]
- Rogge, W.F.; Hildemann, L.M.; Mazurek, M.A.; Cass, G.R.; Simoneit, B.R. Sources of fine organic aerosol. 3. Road dust, tire debris, and organometallic brake lining dust: Roads as sources and sinks. Environ. Sci. Technol. 1993, 27, 1892–1904. [Google Scholar] [CrossRef]
- China Statistics Press. Handan Statistics Bureau, 2019 Handan Statistical Yearbook; China Statistics Press: Beijing, China, 2019. [Google Scholar]
- Notice of the Handan Government on Issuing the Development Plan for the Fine Steel Industry of Handan City (2019–2025). March 2020. Available online: https://www.hd.gov.cn/hdzfxxgk/gszbm/auto23692/202003/t20200318_1254763.html (accessed on 6 June 2022).
- Qi, M.Y.; Wang, L.T.; Zhang, C.Y.; Ma, X.; Zhao, L.; Ji, S.P.; Lu, X.H.; Wang, Y. Variation of black carbon aerosol concentration and its influencing factors in Handan Cit, Hebei Province. Acta Sci. Circumstantiae 2018, 38, 1751–1758. [Google Scholar]
- Peng, Y.L.; Wang, Y.M.; Qin, C.Q.; Wang, D.Y. Concentrations and deposition fluxes of heavy metals in wet deposition in core urban areas, Chongqing. Environ. Sci. 2014, 35, 2490–2496. [Google Scholar]
- Lv, J.; Liu, Y. An integrated approach to identify quantitative sources and hazardous areas of heavy metals in soils. Sci. Total Environ. 2019, 646, 19–28. [Google Scholar] [CrossRef] [PubMed]
- Li, W.Q. Chemical Basis of Atmospheric Aerosol Pollution; Yellow River Water Conservancy Press: Zhengzhou, China, 2010; pp. 88–96. [Google Scholar]
- Wang, M.S.; Cao, J.L.; Li, H.; Gui, C.L.; Song, D.Y. Ecological risk assessment and source analysis of heavy metals in dust-fall in Jiaozuo City, China. Ecol. Environ. Sci. 2017, 26, 824–830. [Google Scholar]
- China Statistics Press. Handan Statistics Bureau, 2018 Handan Statistical Yearbook; China Statistics Press: Beijing, China, 2018. [Google Scholar]
- Cheng, K.; Wang, Y.; Tian, H.Z.; Gao, X.; Zhang, Y.X.; Wu, X.C.; Zhu, C.Y.; Gao, J.J. Atmospheric emission characteristics and control policies of five precedent-controlled toxic heavy metals from anthropogenic sources in China. Environ. Sci. Technol. 2015, 49, 1206–1214. [Google Scholar] [CrossRef]
- Ma, Y. Study on the Occupation Health Risk Assessment of Metallurgical Coking Toxic Substances. Master’s Thesis, Jilin University, Changchun, China, 2012. [Google Scholar]
- Manno, E.; Varrica, D.; Dongarra, G. Metal distribution in road dust samples collected in an urban area close to a petrochemical plant at Gela, Sicily. Atmos. Environ. 2006, 40, 5929–5941. [Google Scholar] [CrossRef]
- Das, A.; Kumar, R.; Patel, S.S.; Saha, M.C.; Guha, D. Source apportionment of potentially toxic elements in street dust of a coal mining area in Chhattisgarh, India, using multivariate and lead isotopic ratio analysis. Environ. Monit. Assess. 2020, 192, 396. [Google Scholar] [CrossRef]
- Yu, S.J. Analysis of Heavy Metal Pollution in Groundwater on the Lower Reaches of the Luanhe River Taking Iron Ions as an Example. Master’s Thesis, Hebei University of Geosciences, Shijiazhuang, China, 2019. [Google Scholar]
- Hingorani, R.; Jimenez-Relinque, E.; Grande, M.; Castillo, A.; Nevshupa, R.; Castellote, M. From analysis to decision: Revision of a multifactorial model for the in situ assessment of NOx abatement effectiveness of photocatalytic pavements. Chem. Eng. J. 2020, 402, 126250. [Google Scholar] [CrossRef]
- Cai, A.Z. Source Apportionment and Pollution Assessment of Heavy Metals in Industrial Area Soil in Handan. Master’s Thesis, Hebei University of Engineering, Hebei, China, 2022. [Google Scholar]
- Cai, A.Z.; Zhang, H.X.; Wang, L.T.; Wang, Q.; Wu, X.Q. Source apportionment and health risk assessment of heavy metals in PM2.5 in Handan: A typical heavily polluted city in north China. Atmosphere 2021, 12, 1232. [Google Scholar] [CrossRef]
- Zhang, H.X.; Cai, A.Z.; Wang, X.J.; Wang, L.T.; Wang, Q.; Wu, X.Q.; Ma, Y.Q. Risk assessment and source apportionment of heavy metals in soils from Handan city. Appl. Sci. 2021, 11, 9615. [Google Scholar] [CrossRef]
- Zhao, Y.W. Study on Characteristics of Atmospheric Dry and Wet Deposition and its Influence on Water Body in Handan. Master’s Thesis, Hebei University of Engineering, Hebei, China, 2019. [Google Scholar]
- Zhan, X.; Cui, Y.; Zhang, G.X.; He, Q.S.; Wang, X.M. Charateristics of polycyclic aromatic hydrocarbons in rainwater in Taiyuan. Environ. Chem. 2014, 33, 2144–2151. [Google Scholar]
- Ye, A.L.; Cheng, M.C.; Zhang, L.; He, Q.S.; Guo, L.L.; Wang, X.M. Characteristics and Sources of Dissolved Heavy Metals in Summer wet deposition of Taiyuan City, China. Environ. Sci. 2018, 39, 3075–3081. [Google Scholar]







| Pollution Degree | Enrichment Degree | EF Values | Contamination Source |
|---|---|---|---|
| I | Mild | <10 | Natural |
| Ⅱ | Moderate | 10–100 | Anthropogenic and Natural |
| Ⅲ | Severe | >100 | Anthropogenic |
| Elements | High Parish | Living Area | Industrial Area | Mean Value |
|---|---|---|---|---|
| Cr (μg·L−1) | 16.74 ± 20.13 | 15.16 ± 16.98 | 10.45 ± 9.87 | 14.11 ± 3.27 |
| Cu (μg·L−1) | 7.13 ± 7.53 | 6.49 ± 6.41 | 7.48 ± 7.49 | 7.03± 0.50 |
| Ni (μg·L−1) | 6.65 ± 2.91 | 6.18 ± 3.13 | 6.39 ± 3.69 | 6.41± 0.24 |
| Zn (μg·L−1) | 28.53 ± 18.99 | 27.22 ± 17.81 | 32.83 ± 35.46 | 29.53 ± 2.93 |
| Pb (μg·L−1) | 9.89 ± 11.21 | 9.03 ± 7.24 | 8.61 ± 6.96 | 9.18 ± 0.65 |
| As (μg·L−1) | 1.17 ± 1.23 | 1.33 ± 1.41 | 1.12 ± 1.33 | 1.21 ± 0.11 |
| Species | Factor | Rotation Matrix of Factor | ||||
|---|---|---|---|---|---|---|
| 1 | 2 | 3 | 1 | 2 | 3 | |
| Cr | 0.724 | 0.355 | −0.299 | 0.763 | 0.348 | −0.192 |
| Cu | 0.776 | −0.408 | 0.093 | 0.288 | 0.72 | 0.419 |
| Ni | 0.810 | 0.301 | 0.197 | 0.801 | 0.233 | 0.300 |
| Zn | 0.243 | −0.302 | 0.874 | −0.008 | −0.007 | 0.956 |
| Pb | 0.146 | 0.850 | 0.189 | 0.694 | −0.543 | −0.057 |
| As | 0.566 | −0.416 | −0.452 | 0.116 | 0.817 | −0.131 |
| Characteristic value | 2.183 | 1.369 | 1.414 | 1.800 | 1.656 | 1.237 |
| Total variance explained (%) | 36.39 | 22.82 | 19.01 | 30.01 | 27.60 | 20.61 |
| Elements | Measured Value (μg/L) | Predictive Value (μg/L) | Unmix | Predictive Value (μg/L) | PMF | Predictive Value (μg/L) | APCS-MLR | |||
| R2 | P/M | R2 | P/M | R2 | P/M | |||||
| Cr | 14.11 | 11.69 | 0.87 | 0.83 | 10.13 | 0.70 | 0.72 | 14.11 | 0.74 | 1.00 |
| Cu | 7.035 | 4.726 | 0.69 | 0.67 | 5.619 | 0.67 | 0.80 | 7.035 | 0.78 | 1.00 |
| Ni | 6.407 | 6.329 | 0.58 | 0.99 | 5.540 | 0.54 | 0.86 | 6.407 | 0.79 | 1.00 |
| Zn | 29.52 | 17.80 | 0.58 | 0.61 | 25.52 | 0.77 | 0.86 | 29.52 | 0.91 | 1.00 |
| Pb | 9.174 | 5.480 | 0.35 | 0.60 | 8.166 | 0.77 | 0.89 | 9.174 | 0.78 | 1.00 |
| As | 1.206 | 0.833 | 0.59 | 0.69 | 1.190 | 0.99 | 0.99 | 1.206 | 0.70 | 1.00 |
Publisher’s Note: MDPI stays neutral with regard to jurisdictional claims in published maps and institutional affiliations. |
© 2022 by the authors. Licensee MDPI, Basel, Switzerland. This article is an open access article distributed under the terms and conditions of the Creative Commons Attribution (CC BY) license (https://creativecommons.org/licenses/by/4.0/).
Share and Cite
Zhang, H.; Zhao, Z.; Cai, A.; Liu, B.; Wang, X.; Li, R.; Wang, Q.; Zhao, H. Source Apportionment of Heavy Metals in Wet Deposition in a Typical Industry City Based on Multiple Models. Atmosphere 2022, 13, 1716. https://doi.org/10.3390/atmos13101716
Zhang H, Zhao Z, Cai A, Liu B, Wang X, Li R, Wang Q, Zhao H. Source Apportionment of Heavy Metals in Wet Deposition in a Typical Industry City Based on Multiple Models. Atmosphere. 2022; 13(10):1716. https://doi.org/10.3390/atmos13101716
Chicago/Turabian StyleZhang, Haixia, Zefei Zhao, Angzu Cai, Bo Liu, Xia Wang, Rui Li, Qing Wang, and Hui Zhao. 2022. "Source Apportionment of Heavy Metals in Wet Deposition in a Typical Industry City Based on Multiple Models" Atmosphere 13, no. 10: 1716. https://doi.org/10.3390/atmos13101716
APA StyleZhang, H., Zhao, Z., Cai, A., Liu, B., Wang, X., Li, R., Wang, Q., & Zhao, H. (2022). Source Apportionment of Heavy Metals in Wet Deposition in a Typical Industry City Based on Multiple Models. Atmosphere, 13(10), 1716. https://doi.org/10.3390/atmos13101716
