Characterization of Turbulence in the Neutral and Stable Surface Layer at Jang Bogo Station, Antarctica
Abstract
1. Introduction
2. Background
2.1. Definitions
2.2. Remarks about MOST
2.3. Some HOST Suggestions
2.4. Remarks about Second-Order Moments
3. Site and Dataset
4. Results
4.1. Effect of the Averaging Time Interval
4.2. Vertical Structure (Divergence) of the Layer
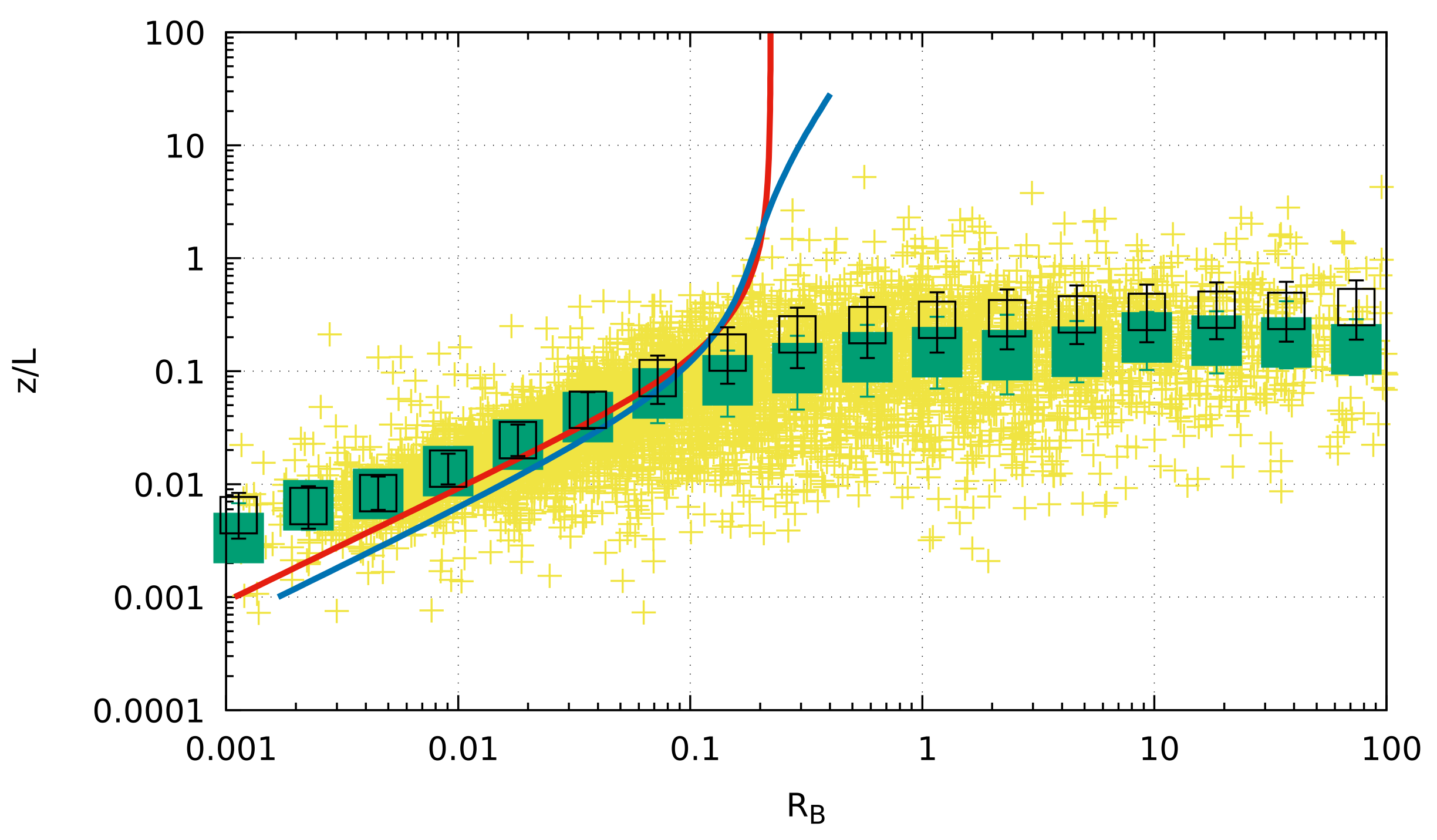
4.3. The Obukhov Length and the Richardson Number
4.4. Turbulence Characterization
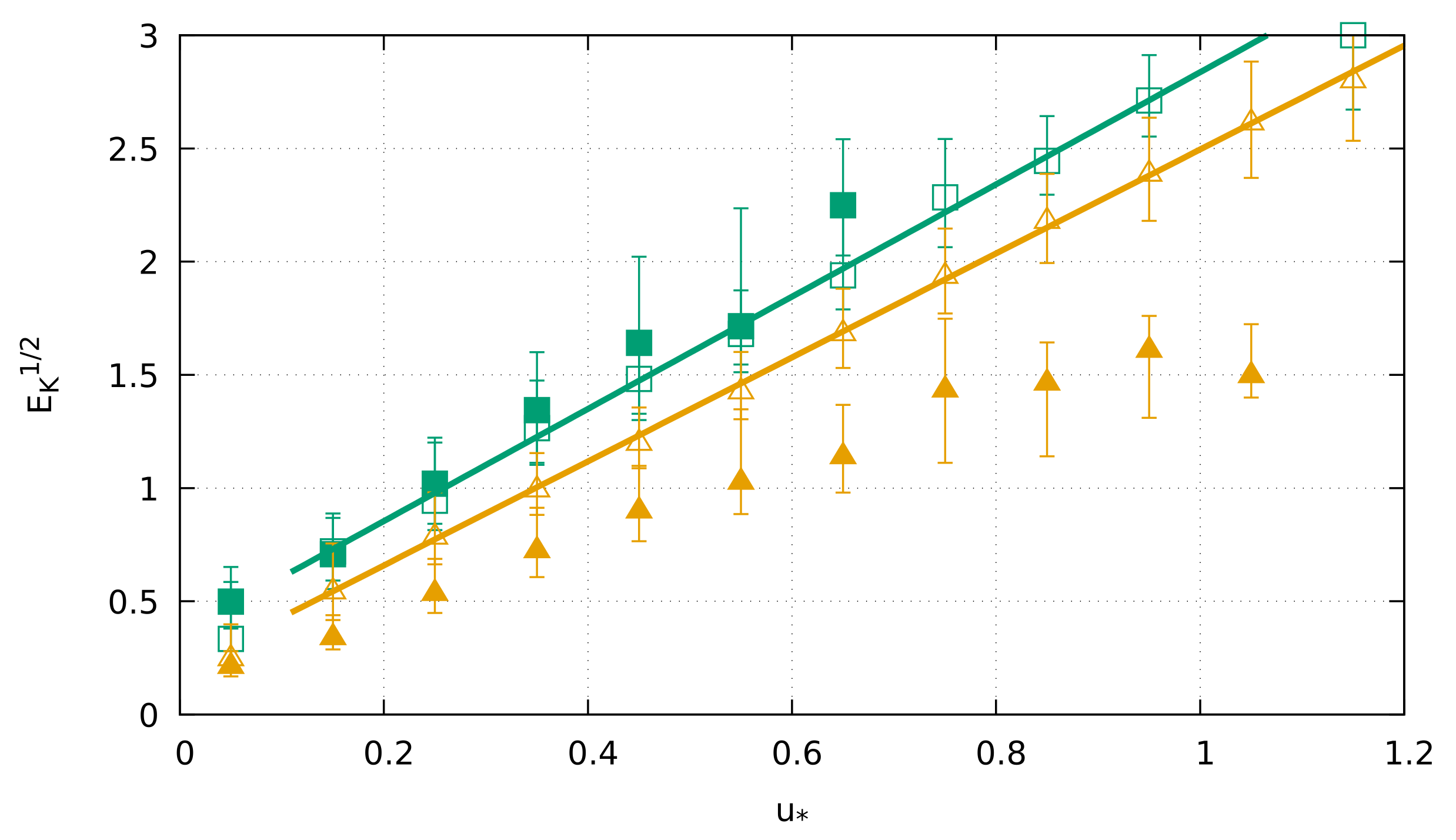
4.5. The Behavior of the Turbulence Velocities
- For near-neutral conditions:
- For all the stability conditions, and for both the averaging times, as .
5. Conclusions
Author Contributions
Funding
Data Availability Statement
Acknowledgments
Conflicts of Interest
References
- Nieuwstadt, F.T.M. The turbulent structure of the stable, nocturnal boundary layer. J. Atmos. Sci. 1984, 41, 2202–2216. [Google Scholar] [CrossRef]
- Grachev, A.A.; Andreas, E.L.; Fairall, C.W.; Guest, P.S.; Persson, P.O.G. The Critical Richardson Number and Limits of Applicability of Local Similarity Theory in the Stable Boundary Layer. Bound. Layer Meteorol. 2013, 147, 51–82. [Google Scholar] [CrossRef]
- Sun, J.; Mahrt, L.; Banta, R.M.; Pichugina, Y.L. Turbulence regimes and turbulence intermittency in the stable boundary layer during CASES-99. J. Atmos. Sci. 2012, 69, 338–351. [Google Scholar] [CrossRef]
- Sun, J.; Lenschow, D.H.; LeMone, M.A.; Mahrt, L. The role of large-coherent-eddy transport in the atmospheric surface layer based on CASES-99 observations. Bound. Layer Meteorol. 2016, 160, 83–111. [Google Scholar] [CrossRef]
- Sun, J.; Takle, E.S.; Acevedo, O.C. Understanding Physical Processes Represented by the Monin–Obukhov Bulk Formula for Momentum Transfer. Bound. Layer Meteorol. 2020, 177, 69–95. [Google Scholar] [CrossRef]
- Zilitinkevich, S.S.; Elperin, T.; Kleeorin, N.; Rogachevskii, I.; Esau, I.N. A Hierarchy of Energy- and Flux-Budget (EFB) Turbulence Closure Models for Stably-Stratified Geophysical Flows. Bound. Layer Meteorol. 2013, 146, 341–373. [Google Scholar] [CrossRef]
- Cheng, Y.; Canuto, V.; Howard, A.; Ackerman, A.S.; Kelley, M.; Fridlind, A.M.; Schmidt, G.A.; Yao, M.S.; Del Genio, A.; Elsaesser, G.S. A Second-Order Closure Turbulence Model: New Heat Flux Equations and No Critical Richardson Number. J. Atmos. Sci. 2020, 77, 2743–2759. [Google Scholar] [CrossRef]
- Högström, U.; Hunt, J.C.R.; Smedman, A.S. Theory and measurements for turbulence spectra and variances in the atmospheric neutral surface layer. Bound. Layer Meteorol. 2002, 103, 101–124. [Google Scholar] [CrossRef]
- Mahrt, L.; Vickers, D. Contrasting vertical structures of nocturnal boundary layers. Bound. Layer Meteorol. 2002, 105, 351–363. [Google Scholar] [CrossRef]
- Mahrt, L.; Thomas, C.; Grachev, A.A.; Persson, P.O.G. Near-Surface Vertical Flux Divergence in the Stable Boundary Layer. Bound. Layer Meteorol. 2018, 169, 373–393. [Google Scholar] [CrossRef]
- Tampieri, F. Turbulence and Dispersion in the Planetary Boundary Layer; Springer International: Basel, Switzerland, 2017. [Google Scholar]
- Monin, A.; Obukhov, A. Basic laws of turbulent mixing in the surface layer of the atmosphere. Contrib. Geophys. Inst. Acad. Sci. USSR 1954, 151, e187. [Google Scholar]
- Högström, U. Non-dimensional wind and temperature profiles in the atmospheric surface layer: A re-evaluation. Bound. Layer Meteorol. 1988, 42, 55–78. [Google Scholar] [CrossRef]
- Grachev, A.A.; Fairall, C.W.; Persson, P.O.G.; Andreas, E.L.; Guest, P.S. Stable Boundary-Layer Scaling Regimes: The Sheba Data. Bound. Layer Meteorol. 2005, 116, 201–235. [Google Scholar] [CrossRef]
- van Ulden, A.P.; Holtslag, A.A.M. Estimation of atmospheric boundary layer parameters for diffusion applications. J. Clim. Appl. Meteorol. 1985, 24, 1196–1207. [Google Scholar] [CrossRef]
- Yagüe, C.; Viana, S.; Maqueda, G.; Redondo, J.M. Influence of stability on the flux-profile relationships for wind speed, Φm, and temperature, Φh, for the stable atmospheric boundary layer. Nonlinear Proc. Geophys. 2006, 13, 185–203. [Google Scholar] [CrossRef]
- Gryanik, V.M.; Luepkes, C.; Grachev, A.A.; Sidorenko, D. New modified and extended stability functions for the stable boundary layer based on SHEBA and parametrizations of bulk transfer coefficients for climate models. J. Atmos. Sci. 2020, 77, 2687–2716. [Google Scholar] [CrossRef]
- Basu, S.; He, P.; DeMarco, A.W. Parametrizing the Energy Dissipation Rate in Stably Stratified Flows. Bound. Layer Meteorol. 2021, 178, 167–184. [Google Scholar] [CrossRef]
- Grachev, A.A.; Leo, L.S.; Di Sabatino, S.; Fernando, H.J.S.; Pardyjak, E.R.; Fairall, C.W. Structure of Turbulence in Katabatic Flows Below and Above the Wind-Speed Maximum. Bound. Layer Meteorol. 2016, 159, 469–494. [Google Scholar] [CrossRef]
- Wyngaard, J.C.; Coté, O.R. Cospectral similarity in the atmospheric surface layer. Q. J. R. Meteorol. Soc. 1972, 98, 590–603. [Google Scholar] [CrossRef]
- Mauritsen, T.; Svensson, G. Observations of Stably Stratified Shear-Driven Atmospheric Turbulence at Low and High Richardson Numbers. J. Atmos. Sci. 2007, 64, 645–655. [Google Scholar] [CrossRef]
- Li, D.; Katul, G.G.; Zilitinkevich, S.S. Closure schemes for stably stratified atmospheric flows without turbulence cutoff. J. Atmos. Sci. 2016, 73, 4817–4832. [Google Scholar] [CrossRef]
- Juang, J.Y.; Katul, G.G.; Siqueira, M.B.; Stoy, P.C.; McCarthy, H.R. Investigating a hierarchy of Eulerian closure models for scalar transfer inside forested canopies. Bound. Layer Meteorol. 2008, 128, 1–32. [Google Scholar] [CrossRef][Green Version]
- Pope, S. Turbulent Flows; Cambridge University Press: Cambridge, UK, 2000. [Google Scholar]
- Lindborg, E. The energy cascade in a strongly stratified fluid. J. Fluid Mech. 2006, 550, 207–242. [Google Scholar] [CrossRef]
- Anfossi, D.; Oettl, D.; Degrazia, G.; Ferrero, E.; Goulart, A. An analysis of sonic anemometer observations in low wind speed conditions. Bound. Layer Meteorol. 2005, 114, 179–203. [Google Scholar] [CrossRef]
- Mortarini, L.; Cava, D.; Giostra, U.; Costa, F.D.; Degrazia, G.; Anfossi, D.; Acevedo, O. Horizontal meandering as a distinctive feature of the Stable Boundary Layer. J. Atmos. Sci. 2019, 76, 3029–3046. [Google Scholar] [CrossRef]
- Schiavon, M.; Tampieri, F.; Bosveld, F.; Mazzola, M.; Castelli, S.T.; Viola, A.; Yagüe, C. The Share of the Mean Turbulent Kinetic Energy in the Near-Neutral Surface Layer for High and Low Wind Speeds. Bound. Layer Meteorol. 2019, 172, 81–106. [Google Scholar] [CrossRef]
- Barberis, E. Analisi Statistiche Nello Strato Limite Turbolento. Ph.D. Thesis, Dipartimento di Fisica Teorica, Università degli Studi di Torino, Torino, Italy, 2007. [Google Scholar]
- Higgins, C.W.; Meneveau, C.; Parlange, M. The effect of filter dimension on the subgrid-scale stress, heat flux, and tensor alignements in the atmospheric surface layer. J. Atmos. Ocean Technol. 2007, 24, 360–375. [Google Scholar] [CrossRef]









| 30 min | 10 min | 2 min | |
|---|---|---|---|
| (2 m) | 4.2 | 3.8 | 3.0 |
| (9 m) | 4.5 | 3.9 | 2.6 |
| (2 m) | 0.28 | 0.29 | 0.29 |
| (9 m) | 0.33 | 0.33 | 0.33 |
| (2 m) | 0.80 | 0.40 | 0.13 |
| (9 m) | 1.04 | 0.48 | 0.14 |
| (2 m) | 0.015 | 0.014 | 0.012 |
| (9 m) | 0.035 | 0.029 | 0.019 |
| 30 min | 10 min | 2 min | |
|---|---|---|---|
| (2 m) | 0.22 | 0.22 | 0.22 |
| (9 m) | 0.19 | 0.19 | 0.18 |
| (2 m) | −0.016 | −0.016 | −0.018 |
| (9 m) | −0.028 | −0.028 | −0.029 |
| (2 m) | 0.009 | 0.008 | 0.006 |
| (9 m) | 0.024 | 0.018 | 0.011 |
| (2 m) | −0.008 | −0.008 | −0.007 |
| (9 m) | −0.010 | −0.009 | −0.006 |
Publisher’s Note: MDPI stays neutral with regard to jurisdictional claims in published maps and institutional affiliations. |
© 2021 by the authors. Licensee MDPI, Basel, Switzerland. This article is an open access article distributed under the terms and conditions of the Creative Commons Attribution (CC BY) license (https://creativecommons.org/licenses/by/4.0/).
Share and Cite
Mazzola, M.; Viola, A.P.; Choi, T.; Tampieri, F. Characterization of Turbulence in the Neutral and Stable Surface Layer at Jang Bogo Station, Antarctica. Atmosphere 2021, 12, 1095. https://doi.org/10.3390/atmos12091095
Mazzola M, Viola AP, Choi T, Tampieri F. Characterization of Turbulence in the Neutral and Stable Surface Layer at Jang Bogo Station, Antarctica. Atmosphere. 2021; 12(9):1095. https://doi.org/10.3390/atmos12091095
Chicago/Turabian StyleMazzola, Mauro, Angelo Pietro Viola, Taejin Choi, and Francesco Tampieri. 2021. "Characterization of Turbulence in the Neutral and Stable Surface Layer at Jang Bogo Station, Antarctica" Atmosphere 12, no. 9: 1095. https://doi.org/10.3390/atmos12091095
APA StyleMazzola, M., Viola, A. P., Choi, T., & Tampieri, F. (2021). Characterization of Turbulence in the Neutral and Stable Surface Layer at Jang Bogo Station, Antarctica. Atmosphere, 12(9), 1095. https://doi.org/10.3390/atmos12091095

