Effect of Temperature on Sowing Dates of Wheat under Arid and Semi-Arid Climatic Regions and Impact Quantification of Climate Change through Mechanistic Modeling with Evidence from Field
Abstract
:1. Introduction
2. Materials and Methods
2.1. Experimental Sites and Environmental Conditions
2.2. Experimental and Crop Management Details
2.3. Temperature Calculations
2.4. Climate and Crop Modeling
3. Results
3.1. Current Weather Conditions during the Experimental PERIOD
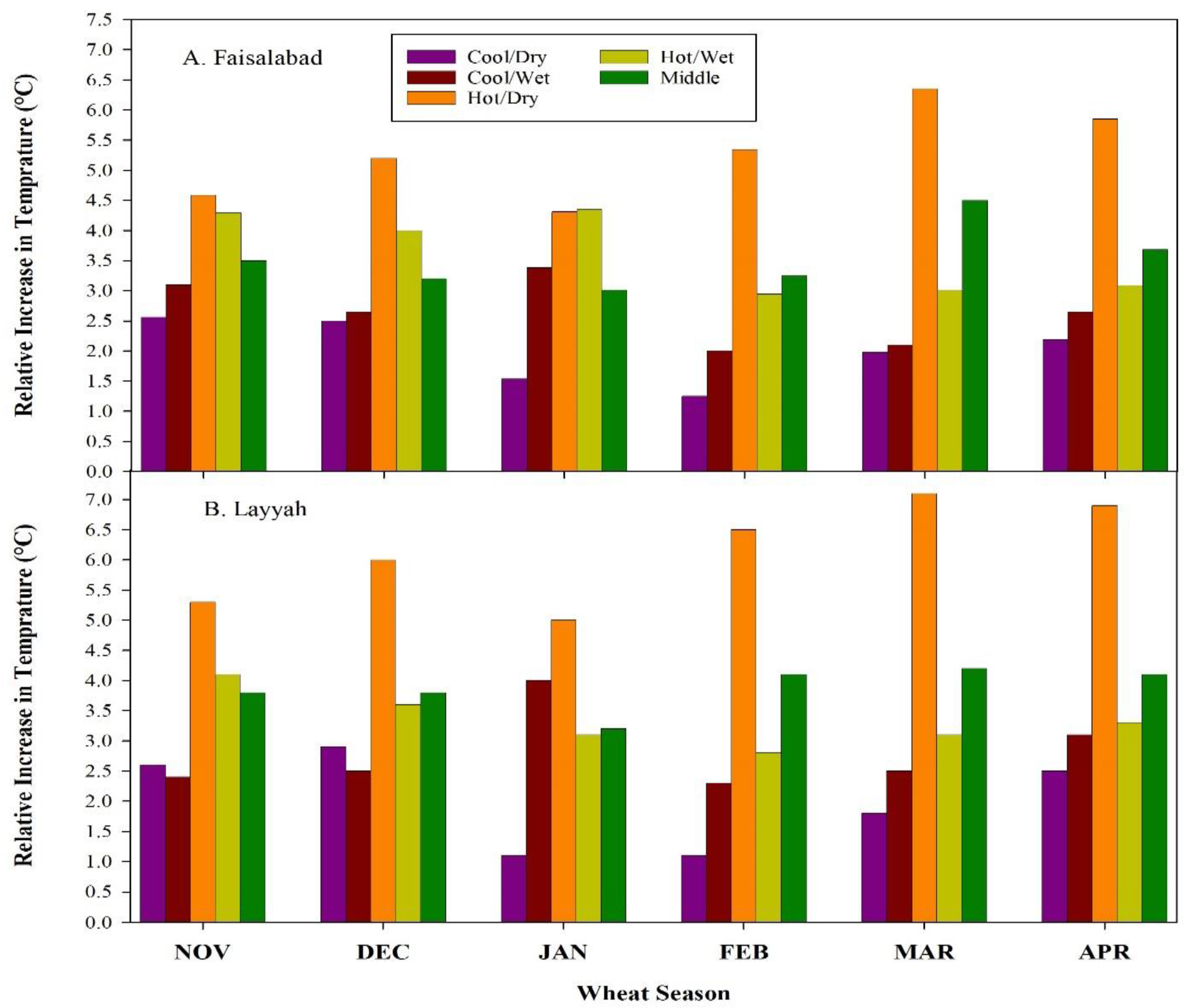
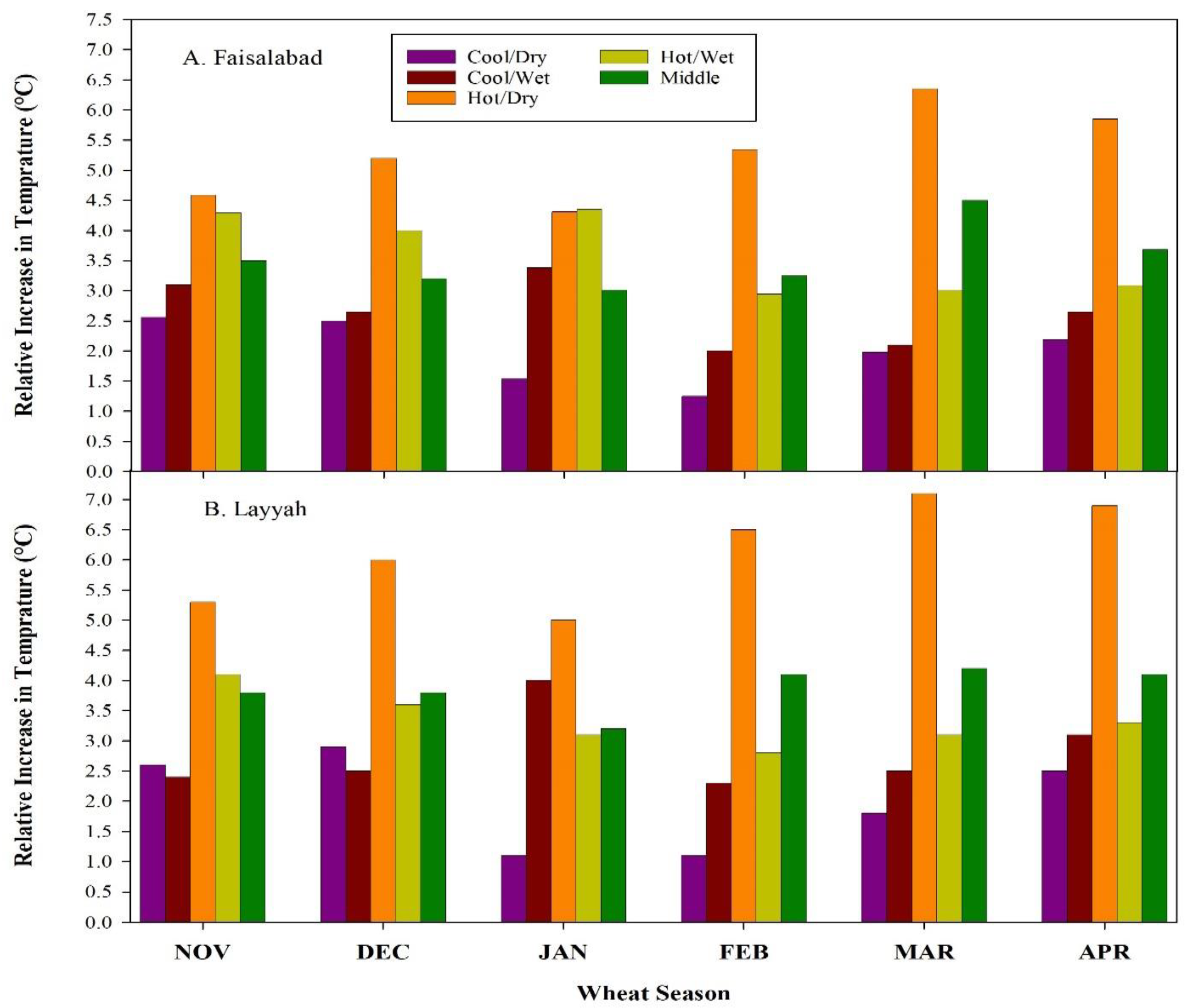
3.2. Future Climatic Conditions
3.3. High Temperature and Wheat Morphology
3.4. Simulated Grain Yield for Future Climate
4. Discussion
4.1. Future Climate Projections
4.2. Elevated Temperature and Wheat Morphology
4.3. Future Climate and Wheat Grain Yield
5. Conclusions
Author Contributions
Funding
Institutional Review Board Statement
Informed Consent Statement
Data Availability Statement
Acknowledgments
Conflicts of Interest
References
- FAO. FAOSTAT; Food and Agriculture Organization of the United Nations: Rome, Italy, 2017; Available online: http://www.fao.org/faostat/en/ (accessed on 1 June 2017).
- Government of Pakistan. Economy Survey of Pakistan. In Ministry of Food Agriculture and Livestock Federal Bureau of Statistics Pakistan; Government of Pakistan: Islamabad, Pakistan, 2014; pp. 21–22. [Google Scholar]
- Asseng, S.; Zhu, Y.; Wang, E.; Zhang, W. Crop Modeling for Climate Change Impact and Adaptation, 2nd ed.; Academic Press: Cambridge, UK, 2015; ISBN 9780124171046. [Google Scholar]
- IPCC. Climate Change 2013: The Physical Science Basis. Contribution of Working Group I to the Fifth Assessment Report of the Intergovernmental Panel on Climate Change; Stocker, T.F., Qin, D., Plattner, G.-K., Tignor, M., Allen, S.K., Boschung, J., Nauels, A., Xia, Y., Bex, V., Midgley, P.M., Eds.; Cambridge University Press: Cambridge, UK; New York, NY, USA, 2013; p. 1535. [Google Scholar] [CrossRef] [Green Version]
- Sultana, H.; Ali, N.; Iqbal, M.M.; Khan, A.M. Vulnerability and adaptability of wheat production in different climatic zones of Pakistan under climate change scenarios. Clim. Chang. 2009, 94, 123–142. [Google Scholar] [CrossRef]
- Ahmad, A.; Ashfaq, M.; Rasul, G.; Wajid, S.A.; Khaliq, T.; Rasul, F.; Saeed, U.; Rahman, M.H.U.; Hussain, J.; Baig, I.A.; et al. Impact of Climate Change on the Rice–Wheat Cropping System of Pakistan. In Handbook of Climate Change and Agroecosystems; The Agricultural Model Intercomparison and Improvement Project Integrated Crop and Economic Assessments, Part 2; Imperial College Press: London, UK; pp. 219–258.
- Farooq, M.; Bramley, H.; Palta, J.; Siddique, K. Heat Stress in Wheat during Reproductive and Grain-Filling Phases. Crit. Rev. Plant Sci. 2011, 30, 491–507. [Google Scholar] [CrossRef]
- Hussain, J.; Khaliq, T.; Ahmad, A.; Akhtar, J. Performance of four crop model for simulations of wheat phenology, leaf growth, biomass and yield across planting dates. PLoS ONE 2018, 13, e0197546. [Google Scholar] [CrossRef] [PubMed]
- Asseng, S.; Foster, I.; Turner, N. The impact of temperature variability on wheat yields. Glob. Chang. Biol. 2011, 17, 997–1012. [Google Scholar] [CrossRef]
- Hatfield, J.L.; Boote, K.J.; Kimball, B.A.; Ziska, L.H.; Izaurralde, R.C.; Ort, D.; Thomson, A.M.; Wolfe, D. Climate Impacts on Agriculture: Implications for Crop Production. Agron. J. 2011, 103, 351–370. [Google Scholar] [CrossRef] [Green Version]
- Jones, J.W.; Hoogenboom, G.; Porter, C.H.; Boote, K.J.; Batchelor, W.D.; Hunt, L.A.; Wilkens, P.W.; Singh, U.; Gijsman, A.J.; Ritchie, J.T. The DSSAT cropping system model. Eur. J. Agron. 2003, 18, 235–265. [Google Scholar] [CrossRef]
- Asseng, S.; Ewert, F.; Martre, P.; Rotter, R.P.; Lobell, D.B.; Cammarano, D.; Kimball, B.A.; Ottman, M.J.; Wall, G.W.; White, J.W.; et al. Rising temperatures reduce global wheat production. Nat. Clim. Chang. 2015, 5, 143–147. [Google Scholar] [CrossRef]
- Ahmed, I.; Rahman, M.H.U.; Ahmed, S.; Hussain, J.; Ullah, A.; Judge, J. Assessing the impact of climate variability on maize using simulation modeling under semi-arid environment of Punjab, Pakistan. Environ. Sci. Pollut. Res. 2018, 25, 28413–28430. [Google Scholar] [CrossRef] [PubMed]
- Ullah, A.; Ahmad, A.; Khaliq, T.; Saeed, U.; Rahman, M.H.U.; Hussain, J.; Ullah, S.; Hoogenboom, G. Assessing climate change impacts on pearl millet under arid and semi-arid environments using CSM-CERES-Millet model. Environ. Sci. Pollut. Res. 2019, 26, 6745–6757. [Google Scholar] [CrossRef] [PubMed]
- Hussain, J.; Khaliq, T.; Asseng, S.; Saeed, U.; Ahmad, A.; Ahmad, B.; Fahad, M.; Awais, M.; Ullah, A.; Hoogenboom, G. Climate change impacts and adaptations for wheat employing multiple climate and crop modelsin Pakistan. Clim. Chang. 2020, 163, 253–266. [Google Scholar] [CrossRef]
- Rahman, M.H.U.; Ahmad, A.; Wajid, A.; Hussain, M.; Rasul, F.; Ishaque, W.; Islam, A.; Shelia, V.; Awais, M.; Ullah, A.; et al. Application of CSM-CROPGRO-Cotton model for cultivars and optimum planting dates: Evaluation in changing semi-arid climate. Field Crop. Res. 2019, 238, 139–152. [Google Scholar] [CrossRef]
- Hoogenboom, G. Contribution of agrometeorology to the simulation of crop production and its applications. Agric. For. Meteorol. 2000, 103, 137–157. [Google Scholar] [CrossRef]
- Hoogenboom, G.; Jones, J.W.; Wilkens, P.W.; Porter, C.H.; Boote, K.J.; Hunt, L.A.; Singh, U.; Lizaso, J.I.; White, J.W.; Uryasev, O.; et al. Decision Support System for Agrotechnology Transfer (DSSAT) Version 4.6. DSSAT Foundation. Prosser 2015, 15–19. [Google Scholar]
- Hoogenboom, G.; Porter, C.H.; Boote, K.J.; Shelia, V.; Wilkens, P.W.; Singh, U.; White, J.W.; Asseng, S.; Lizaso, J.I.; Moreno, L.P.; et al. The DSSAT crop modeling ecosystem. In Advances in Measuring Soil Health; Boote, K.J., Ed.; Burleigh Dodds Science Publishing: Cambridge, UK, 2019; pp. 173–216. [Google Scholar]
- Andarzian, B.; Hoogenboom, G.; Bannayan, M.; Shirali, M.; Andarzian, B. Determining optimum sowing date of wheat using CSM-CERES-Wheat model. J. Saudi Soc. Agric. Sci. 2015, 14, 189–199. [Google Scholar] [CrossRef] [Green Version]
- Attia, A.; Rajan, N.; Xue, Q.; Nair, S.; Ibrahim, A.; Hays, D. Application of DSSAT-CERES-Wheat model to simulate winter wheat response to irrigation management in the Texas High Plains. Agric. Water Manag. 2016, 165, 50–60. [Google Scholar] [CrossRef]
- Ruane, A.C.; Goldberg, R.; Chryssanthacopoulos, J. Climate forcing datasets for agricultural modeling: Merged products for gap-filling and historical climate series estimation. Agric. For. Meteorol. 2015, 200, 233–248. [Google Scholar] [CrossRef] [Green Version]
- Ruane, A.C.; McDermid, S.P. Selection of a representative subset of global climate models that captures the profile of regional changes for integrated climate impacts assessment. Earth Perspect. 2017, 4, 1. [Google Scholar] [CrossRef] [Green Version]
- Rahman, M.H.U.; Ahmad, I.; Wang, X.; Wajid, A.; Nasim, W.; Hussain, M.; Ahmad, B.; Ali, Z.; Ishaque, W.; Awais, M.; et al. Multi-model projections of future climate and climate change impacts uncertainty assessment for cotton production in Pakistan. Agric. For. Meteorol. 2018, 253-254, 94–113. [Google Scholar] [CrossRef]
- Ahmed, I.; Ullah, A.; Rahman, M.H.U.; Ahmad, B.; Wajid, S.A.; Ahmad, A.; Ahmed, S. Climate Change Impacts and Adaptation Strategies for Agronomic Crops. In Climate Change and Agriculture; IntechOpen: London, UK, 2019; pp. 1–15. [Google Scholar]
- Tebaldi, C.; Smith, R.L.; Nychka, D.; Mearns, L.O. Quantifying Uncertainty in Projections of Regional Climate Change: A Bayesian Approach to the Analysis of Multimodel Ensembles. J. Clim. 2005, 18, 1524–1540. [Google Scholar] [CrossRef] [Green Version]
- Iqbal, M.A.; Shen, Y.; Stričević, R.; Pei, H.; Sun, H.; Amiri, E.; Penas, A.; Del Rio, S. Evaluation of the FAO AquaCrop model for winter wheat on the North China Plain under deficit irrigation from field experiment to regional yield simulation. Agric. Water Manag. 2014, 135, 61–72. [Google Scholar] [CrossRef]
- Islam, S.U.; Rehman, N.; Sheikh, M.M. Future change in the frequency of warm and cold spells over Pakistan simulated by the PRECIS regional climate model. Clim. Chang. 2009, 94, 35–45. [Google Scholar] [CrossRef]
- Acevedo, E.; Silva, P.; Silva, H. Wheat growth and physiology. In Bread Wheat Improvement and Production; Curtis, B.C., Rajaram, S., Gomez Macpherson, H., Eds.; Food and Agriculture Organization of the United Nations: Rome, Italy, 2002. [Google Scholar]
- Siebert, S.; Ewert, F.; Rezaei, E.E.; Kage, H.; Graß, R. Impact of heat stress on crop yield—on the importance of considering canopy temperature. Environ. Res. Lett. 2014, 9, 044012. [Google Scholar] [CrossRef] [Green Version]
- Rezaei, E.E.; Webber, H.; Gaiser, T.; Naab, J.; Ewert, F. Heat stress in cereals: Mechanisms and modelling. Eur. J. Agron. 2015, 64, 98–113. [Google Scholar] [CrossRef]
- Liu, L.; Cang, J.; Yu, J.; Wang, X.; Huang, R.; Wang, J.; Lu, B. Effects of Exogenous Abscisic Acid on Carbohydrate Metabolism and the Expression Levels of Correlative Key Enzymes in Winter Wheat under Low Temperature. Biosci. Biotechnol. Biochem. 2013, 77, 516–525. [Google Scholar] [CrossRef] [PubMed]
- Baloch, M.S.; Nadim, M.A.; Zubair, M.; Awan, I.U.; Khan, E.A.; Ali, S. Evaluation of wheat under normal and late sowing conditions. Pak. J. Bot. 2012, 44, 1727–1732. [Google Scholar]
- Sattar, A.; Cheema, M.A.; Farooq, M.; Wahid, M.A.; Wahid, A.; Babar, B.H. Evaluating the performance of wheat cultivars under late sown conditions. Int. J. Agric. Biol. 2010, 12, 561–565. [Google Scholar]
- Sial, M.A.; Arain, M.A.; Khanzada, S.; Naqvi, M.H.; Dahot, M.U.; Nizamani, N.A. Yield and quality parameters of wheat genotypes as affected by sowing dates and high temperature stress. Pak. J. Bot. 2005, 37, 575–584. [Google Scholar]
- Ahmed, M.; Aslam, M.A.; Fayyaz-ul-Hassan; Hayat, R.; Ahmad, S. Biochemical, physiological and agronomic response of wheat to changing climate of rainfed Pakistan. Pak. J. Bot. 2019, 51, 535–551. [Google Scholar] [CrossRef]
- Ahmed, A.; Fayyaz-ul-Hassan; Ahmad, S. Climate variability impact on rice production: Adaptation and mitigation strategies. In Quantification of Climate Variability, Adaptation and Mitigation for Agricultural Sustainability; Ahmad, M., Stockle, C., Eds.; Springer: Cham, Switzerland, 2017; pp. 91–111. [Google Scholar]
- Ahmad, S.; Abbas, G.; Ahmed, M.; Fatima, Z.; Anjum, M.A.; Rasul, G.; Khan, M.A.; Hoogenboom, G. Climate warming and management impact on the change of rice-wheat phenology in Punjab, Pakistan. Field Crops Res. 2019, 230, 46–61. [Google Scholar] [CrossRef]
- Ahmad, S.; Hussain, S.; Fatima, Z.; Abbas, G.; Khan, M.R.; Younis, H.; Naz, S.; Sohail, M.; Ajmal, M.; Abbas, N.; et al. Application of DSSAT model for sowing date management of C4 summer cereals for fodder and grain crops under irrigated arid environment. Pak. J. Life Soc. Sci. 2016, 14, 104–114. [Google Scholar]
- Khan, M.A.; Tahir, A.; Khurshid, N.; Husnain, M.I.U.; Ahmed, M.; Boughanmi, H. Economic Effects of Climate Change-Induced Loss of Agricultural Production by 2050: A Case Study of Pakistan. Sustainability 2020, 12, 1216. [Google Scholar] [CrossRef] [Green Version]
- Ahmed, M.; Stöckle, C.O.; Nelson, R.; Higgins, S.; Ahmad, S.; Raza, M.A. Novel multimodel ensemble approach to evaluate the sole effect of elevated CO2 on winter wheat productivity. Sci. Rep. 2019, 9, 1–15. [Google Scholar] [CrossRef] [Green Version]
- Khan, Z.; Rahman, M.; Haider, G.; Amir, R.; Ikram, R.; Ahmad, S.; Schofield, H.; Riaz, B.; Iqbal, R.; Fahad, S.; et al. Chemical and Biological Enhancement Effects of Biochar on Wheat Growth and Yield under Arid Field Conditions. Sustainability 2021, 13, 5890. [Google Scholar] [CrossRef]
- Ghafoor, I.; Habib-Ur-Rahman, M.; Ali, M.; Afzal, M.; Ahmed, W.; Gaiser, T.; Ghaffar, A. Slow-release nitrogen fertilizers enhance growth, yield, NUE in wheat crop and reduce nitrogen losses under an arid environment. Environ. Sci. Pollut. Res. 2021, 1–16. [Google Scholar] [CrossRef]
- Saddique, Q.; Khan, M.; Rahman, M.H.U.; Jiatun, X.; Waseem, M.; Gaiser, T.; Waqas, M.M.; Ahmad, I.; Chong, L.; Cai, H. Effects of Elevated Air Temperature and CO2 on Maize Production and Water Use Efficiency under Future Climate Change Scenarios in Shaanxi Province, China. Atmosphere 2020, 11, 843. [Google Scholar] [CrossRef]
- Saddique, Q.; Zou, Y.; Ajaz, A.; Ji, J.; Xu, J.; Azmat, M.; Rahman, M.H.U.; He, J.; Cai, H. Analyzing the Performance and Application of CERES-Wheat and APSIM in the Guanzhong Plain, China. Trans. ASABE 2020, 63, 1879–1893. [Google Scholar] [CrossRef]
- Ahmed, M.; Hassan, F.-U. Response of Spring Wheat (Triticum aestivum L.) Quality Traits and Yield to Sowing Date. PLoS ONE 2015, 10, e0126097. [Google Scholar] [CrossRef]
- Ahmed, M.; Hassan, F.U.; Aslam, M.; Aslam, M.A. Physiological attributes based resilience of wheat to climate change. Int. J. Agric. Biol. 2012, 14, 3. [Google Scholar]







| ||
| Locations | Faisalabad | Layyah |
| Soil type/Soil series | Sandy clay loam/fine loam, shallow/Lyallpur series brown on color along with the % of sand (62%), silt (16%), and clay (24%). | Sandy clay loam/fine loam, shallow/Khumbi series brown on color along with the % of sand (44.70%), silt (37%), and clay (19%). |
| ||
| Organic matter | 1.28% | 0.85% |
| TTS (Total soluble salt) | 12.29% | 10.29% |
| pH | 7.54 | 8.1 |
| Nitrogen (N) | 0.64% | 0.34% |
| Phosphorus (P2O5) | 6.93 ppm | 4.93 ppm |
| Potassium (K) | 19.4 ppm | 12.4 ppm |
| Cultivars | Yield Potential (kg ha−1) | 1000-Grain Weight (g) |
|---|---|---|
| Galaxy-2013 | 7904 | 45.63 |
| Punjab-2011 | 6916 | 44.7 |
| Lasani-2008 | 6125 | 41.73 |
| Source of Variance | DF | Plant Height (cm) | Spike Length (cm) | Spikelets per Spike |
|---|---|---|---|---|
| Year (Y) | 1 | 552.6 ** | 13.8 ** | 32.2 ** |
| Location (L) | 1 | 2.8 NS | 6.4 ** | 17.6 ** |
| Y × L | 1 | 2.9 NS | 6.4 ** | 17.8 ** |
| Planting Dates (A) | 10 | 322,521 ** | 718.1 ** | 1341.1 ** |
| Y × A | 10 | 75.9 ** | 5.8 ** | 10.6 ** |
| L × A | 10 | 42.7 * | 0.8 NS | 2.5 ** |
| Y × L × A | 10 | 42.6 * | 0.8 NS | 2.5 ** |
| Cultivars (B) | 2 | 1811.3 ** | 3.4 ** | 3.2 ** |
| Y × B | 2 | 42.7 NS | 4.1 ** | 2.8 * |
| L × B | 2 | 36.1 NS | 2.9 * | 0.7 NS |
| Y × L × B | 2 | 35.9 NS | 2.9 * | 0.6 NS |
| A × B | 20 | 63.6 ** | 0.7NS | 0.9 NS |
| Y × A × B | 20 | 42.2 NS | 1.3 ** | 1.2 ** |
| L × A × B | 20 | 17.0 NS | 0.3 NS | 0.4 NS |
| Y × L × A × B | 20 | 17.0 NS | 0.3 NS | 0.4 NS |
| Locations | Years | Plant Height (cm) | Spike Length (cm) | Spikelets per Spike | |||
|---|---|---|---|---|---|---|---|
| Slope | R2 | Slope | R2 | Slope | R2 | ||
| Faisalabad (semi-arid) | 2013–2014 | −8.78 | 0.93 ** | −1.06 | 0.91 ** | −1.48 | 0.94 ** |
| 2014–2015 | −5.40 | 0.94 ** | −0.95 | 0.96 ** | −1.21 | 0.92 ** | |
| Layyah (arid climate) | 2013–2014 | −8.99 | 0.90 ** | −1.07 | 0.92 ** | −1.32 | 0.84 ** |
| 2014–2015 | −11.2 | 0.84 ** | −0.77 | 0.86 ** | −0.70 | 0.86 ** | |
Publisher’s Note: MDPI stays neutral with regard to jurisdictional claims in published maps and institutional affiliations. |
© 2021 by the authors. Licensee MDPI, Basel, Switzerland. This article is an open access article distributed under the terms and conditions of the Creative Commons Attribution (CC BY) license (https://creativecommons.org/licenses/by/4.0/).
Share and Cite
Hussain, J.; Khaliq, T.; Rahman, M.H.u.; Ullah, A.; Ahmed, I.; Srivastava, A.K.; Gaiser, T.; Ahmad, A. Effect of Temperature on Sowing Dates of Wheat under Arid and Semi-Arid Climatic Regions and Impact Quantification of Climate Change through Mechanistic Modeling with Evidence from Field. Atmosphere 2021, 12, 927. https://doi.org/10.3390/atmos12070927
Hussain J, Khaliq T, Rahman MHu, Ullah A, Ahmed I, Srivastava AK, Gaiser T, Ahmad A. Effect of Temperature on Sowing Dates of Wheat under Arid and Semi-Arid Climatic Regions and Impact Quantification of Climate Change through Mechanistic Modeling with Evidence from Field. Atmosphere. 2021; 12(7):927. https://doi.org/10.3390/atmos12070927
Chicago/Turabian StyleHussain, Jamshad, Tasneem Khaliq, Muhammad Habib ur Rahman, Asmat Ullah, Ishfaq Ahmed, Amit Kumar Srivastava, Thomas Gaiser, and Ashfaq Ahmad. 2021. "Effect of Temperature on Sowing Dates of Wheat under Arid and Semi-Arid Climatic Regions and Impact Quantification of Climate Change through Mechanistic Modeling with Evidence from Field" Atmosphere 12, no. 7: 927. https://doi.org/10.3390/atmos12070927
APA StyleHussain, J., Khaliq, T., Rahman, M. H. u., Ullah, A., Ahmed, I., Srivastava, A. K., Gaiser, T., & Ahmad, A. (2021). Effect of Temperature on Sowing Dates of Wheat under Arid and Semi-Arid Climatic Regions and Impact Quantification of Climate Change through Mechanistic Modeling with Evidence from Field. Atmosphere, 12(7), 927. https://doi.org/10.3390/atmos12070927

