Simulations in the Topography Effects of Tianshan Mountains on an Extreme Precipitation Event in the Ili River Valley, China
Abstract
1. Introduction
2. Data and Models
2.1. Data
2.2. WRF Model Configuration
2.3. Design of Terrain Sensitivity Experiment
3. Precipitation and Synoptic Conditions
4. Simulation and Sensitivity Experiments
4.1. Verification of Control Experimental Results
4.1.1. Precipitation
4.1.2. Wind Simulation
4.2. Topographic Effects
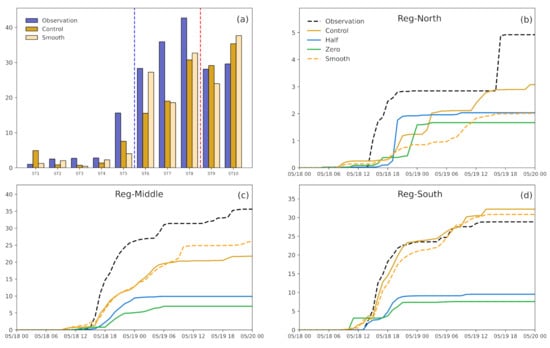
4.2.1. The Impact of Topographic Effects on Precipitation
4.2.2. Analysis of Topographic Effects on the Cause of Heavy Rain
4.2.3. Impact of Smooth Terrain on Simulation Results
5. Conclusions and Discussion
Author Contributions
Funding
Institutional Review Board Statement
Informed Consent Statement
Data Availability Statement
Acknowledgments
Conflicts of Interest
References
- Houze, R.A. Orographic effects on precipitating clouds. Rev. Geophys. 2012, 50. [Google Scholar] [CrossRef]
- Wang, Y.; Yang, K.; Zhou, X.; Chen, D.; Lu, H.; Ouyang, L.; Chen, Y.; Lazhu; Wang, B. Synergy of orographic drag parameterization and high resolution greatly reduces biases of WRF-simulated precipitation in central Himalaya. Clim. Dyn. 2020, 54, 1729–1740. [Google Scholar] [CrossRef]
- Ntwali, D.; Ogwang, B.A.; Ongoma, V. The Impacts of Topography on Spatial and Temporal Rainfall Distribution over Rwanda Based on WRF Model. Atmos. Clim. Sci. 2016, 6, 145–157. [Google Scholar] [CrossRef]
- Saha, U.; Singh, T.; Sharma, P.; Gupta, M.D.; Prasad, V.S. Deciphering the extreme rainfall scenario over Indian landmass using satellite observations, reanalysis and model forecast: Case studies. Atmos. Res. 2020, 240, 104943. [Google Scholar] [CrossRef]
- Kang, Y.; Peng, X.; Wang, S.; Hu, Y.; Shang, K.; Lu, S. Observational analyses of topographic effects on convective systems in an extreme rainfall event in Northern China. Atmos. Res. 2019, 229, 127–144. [Google Scholar] [CrossRef]
- Sarmadi, F.; Huang, Y.; Thompson, G.; Steven; Siems, T.; Manton, M.J. Simulations of orographic precipitation in the Snowy Mountains of Southeastern Australia. Atmos. Res. 2019, 219, 183–199. [Google Scholar] [CrossRef]
- Li, H.; Wan, Q.; Peng, D.; Liu, X.; Xiao, H. Multiscale analysis of a record-breaking heavy rainfall event in Guangdong, China. Atmos. Res. 2020, 232, 104703. [Google Scholar] [CrossRef]
- Basist, A.; Gerald, D.B.; Meentemeyer, V. Statistical Relationship between Topography and Precipitation Patterns. J. Clim. 1993, 7, 1305–1315. [Google Scholar] [CrossRef]
- Huang, J.; Ma, J.; Guan, X.; Li, Y.; He, Y. Progress in Semi-arid Climate Change Studies in China. Adv. Atmos. Sci. 2019, 36, 922–937. [Google Scholar] [CrossRef]
- Sato, T. Influences of subtropical jet and Tibetan Plateau on precipitation pattern in Asia: Insights from regional climate modeling. Quat. Int. 2009, 194, 148–158. [Google Scholar] [CrossRef]
- Sun, J.; Gong, Z.; Tian, Z.; Jia, Y.; Windley, B. Late Miocene stepwise aridification in the Asian interior and the interplay between tectonics and climate. Palaeogeogr. Palaeoclim. Palaeoecol. 2015, 421, 48–59. [Google Scholar] [CrossRef]
- Guo, L.; Li, L. Variation of the proportion of precipitation occurring as snow in the Tian Shan Mountains, China. Int. J. Climatol. 2015, 35, 1379–1393. [Google Scholar] [CrossRef]
- Baldwin, J.; Vecchi, G. Influence of the Tian Shan on Arid Extratropical Asia. J. Clim. 2016, 29, 5741–5762. [Google Scholar] [CrossRef]
- Sha, Y.; Shi, Z.; Liu, X.; An, Z.; Li, X.; Chang, H. Role of the Tian Shan Mountains and Pamir Plateau in Increasing Spatiotemporal Differentiation of Precipitation over Interior Asia. J. Clim. 2018, 31, 8141–8162. [Google Scholar] [CrossRef]
- Shi, Z.; Sha, Y.; Liu, X.; Xie, X.; Li, X. Effect of marginal topography around the Tibetan Plateau on the evolution of central Asian arid climate: Yunnan–Guizhou and Mongolian Plateaux as examples. Clim. Dyn. 2019, 53, 4433–4445. [Google Scholar] [CrossRef]
- Bothe, O.; Fraedrich, K.; Zhu, X. Precipitation climate of Central Asia and the large-scale atmospheric circulation. Theor. Appl. Clim. 2012, 108, 345–354. [Google Scholar] [CrossRef]
- Zhong, Y.; Wang, B.; Zou, C.B.; Hu, B.X.; Liu, Y.; Hao, Y. On the teleconnection patterns to precipitation in the eastern Tianshan Mountains, China. Clim. Dyn. 2017, 49, 3123–3139. [Google Scholar] [CrossRef]
- Zhou, Y.-S.; Xie, Z.-M.; Liu, X. An Analysis of Moisture Sources of Torrential Rainfall Events over Xinjiang, China. J. Hydrometeorol. 2019, 20, 2109–2122. [Google Scholar] [CrossRef]
- Fan, X.; Liu, H.; Chen, X.; Wang, L. Effect of Sunny/Shady Slopes on Phases of Precipitation in China’s Tianshan Mountains. Pol. J. Environ. Stud. 2019, 28, 1651–1663. [Google Scholar] [CrossRef]
- An, L.; Hao, Y.; Yeh, T.-C.J.; Zhang, B. Annual to multidecadal climate modes linking precipitation of the northern and southern slopes of the Tianshan Mts. Theor. Appl. Clim. 2020, 140, 453–465. [Google Scholar] [CrossRef]
- Shi, X.; Xu, X. Interdecadal trend turning of global terrestrial temperature and precipitation during 1951–2002. Prog. Nat. Sci. 2008, 18, 1383–1393. [Google Scholar] [CrossRef]
- Kutuzov, S.; Shahgedanova, M. Glacier retreat and climatic variability in the eastern Terskey–Alatoo, inner Tien Shan between the middle of the 19th century and beginning of the 21st century. Glob. Planet. Chang. 2009, 69, 59–70. [Google Scholar] [CrossRef]
- Nuissier, O.; Ducrocq, V.; Ricard, D.; Lebeaupin, C.; Anquetin, S. A numerical study of three catastrophic precipitating events over southern France. I: Numerical framework and synoptic ingredients. Q. J. R. Meteorol. Soc. 2008, 134, 111–130. [Google Scholar] [CrossRef]
- Houze, R.A.; Rasmussen, K.L.; Medina, S.; Brodzik, S.R.; Romatschke, U. Anomalous Atmospheric Events Leading to the Summer 2010 Floods in Pakistan. Bull. Am. Meteorol. Soc. 2011, 92, 291–298. [Google Scholar] [CrossRef]
- Liu, J.; Zhou, Y.; Yang, L.; Zeng, Y.; Liu, W. The Instability and its Trigger Mechanism of Extreme Precipitation Event in the Yili River Valley on 31 July 2016. Chin. J. Atmos. Sci. 2016, 43, 1204–1218. [Google Scholar]
- National Centers for Environmental Prediction; National Weather Service; National Oceanic and Atmospheric Administration; U.S. Department of Commerce. NCEP FNL Operational Model Global Tropospheric Analyses, Continuing from July 1999; Research Data Archive; National Center for Atmospheric Research: Boulder, CO, USA, 2000.
- Li, L.; Li, J.; Yu, R. Characteristics of summer regional rainfall events over Ili River Valley in Northwest China. Atmos. Res. 2020, 243, 104996. [Google Scholar] [CrossRef]











| Parameterisation | Option | Scheme |
|---|---|---|
| Microphysics | mp_physics = 6 | WSM6 |
| Longwave Radiation | ra_lw_physics = 1 | RRTM |
| Shortwave Radiation | ra_sw_physics = 1 | Dudhia |
| Land Surfacs | sf_surface_physics = 2 | Noah Land Surface Model |
| Planetary Boundary layer | bl_pbl_physics = 2 | MYJ |
| Cumulus Parameterization | cu_physics = 2 (d01, d02 only) | Betts-Miller-Janjic |
| Sensitivity Experiments | Scheme |
|---|---|
| Control | Real terrain |
| Half | Reduce the terrain in the d03 area to 0.5 times the original terrain |
| Zero Smooth | Reduce the terrain above 1.5 km in the d03 area to 1.5 km Smooth the terrain in the d03 area with five points |
| Elements | Pearson Correlation | p-Value | RMSE |
|---|---|---|---|
| Precipitation | 0.87798 | 0.00083 | 8.45833 |
| Wind | 0.54707 | 0.00878 | 2.85 |
| Experiment | Station | |||||||||
|---|---|---|---|---|---|---|---|---|---|---|
| ST1 | ST2 | ST3 | ST4 | ST5 | ST6 | ST7 | ST8 | ST9 | ST10 | |
| Smooth | 0.25 | 2.38 | 0.65 | 1.67 | 0.53 | 1.75 | 0.98 | 1.06 | 0.82 | 1.07 |
| Half | 0.00 | 0.48 | 1.95 | 1.04 | 0.92 | 0.61 | 0.24 | 0.51 | 0.39 | 0.21 |
| Zero | 0.04 | 0.15 | 0.12 | 1.21 | 3.96 | 0.23 | 0.33 | 0.34 | 0.43 | 0.24 |
Publisher’s Note: MDPI stays neutral with regard to jurisdictional claims in published maps and institutional affiliations. |
© 2021 by the authors. Licensee MDPI, Basel, Switzerland. This article is an open access article distributed under the terms and conditions of the Creative Commons Attribution (CC BY) license (https://creativecommons.org/licenses/by/4.0/).
Share and Cite
Min, Y.; Huang, W.; Ma, M.; Zhang, Y. Simulations in the Topography Effects of Tianshan Mountains on an Extreme Precipitation Event in the Ili River Valley, China. Atmosphere 2021, 12, 750. https://doi.org/10.3390/atmos12060750
Min Y, Huang W, Ma M, Zhang Y. Simulations in the Topography Effects of Tianshan Mountains on an Extreme Precipitation Event in the Ili River Valley, China. Atmosphere. 2021; 12(6):750. https://doi.org/10.3390/atmos12060750
Chicago/Turabian StyleMin, Yufang, Wanlong Huang, Minjin Ma, and Yaonan Zhang. 2021. "Simulations in the Topography Effects of Tianshan Mountains on an Extreme Precipitation Event in the Ili River Valley, China" Atmosphere 12, no. 6: 750. https://doi.org/10.3390/atmos12060750
APA StyleMin, Y., Huang, W., Ma, M., & Zhang, Y. (2021). Simulations in the Topography Effects of Tianshan Mountains on an Extreme Precipitation Event in the Ili River Valley, China. Atmosphere, 12(6), 750. https://doi.org/10.3390/atmos12060750

