Assessment of a Fusion Sea Surface Temperature Product for Numerical Weather Predictions in China: A Case Study
Abstract
1. Introduction
2. Methods and Data
2.1. Fusion SST Product for China
2.2. Multi-Scale Fusion Method
2.3. SST Data Used For Numerical Simulations
3. Comparison of CODAS Fusion SSTs with Buoy SSTs
3.1. Information on the CODAS Fusion SST and Verification Method for SST Accuracy
3.1.1. Verification Region for CODAS Fusion SSTs
3.1.2. Verification Method for CODAS Fusion SSTs
3.2. Quality Assessment of CODAS Fusion SSTs
3.2.1. Quality Assessment Procedure for CODAS Fusion SSTs
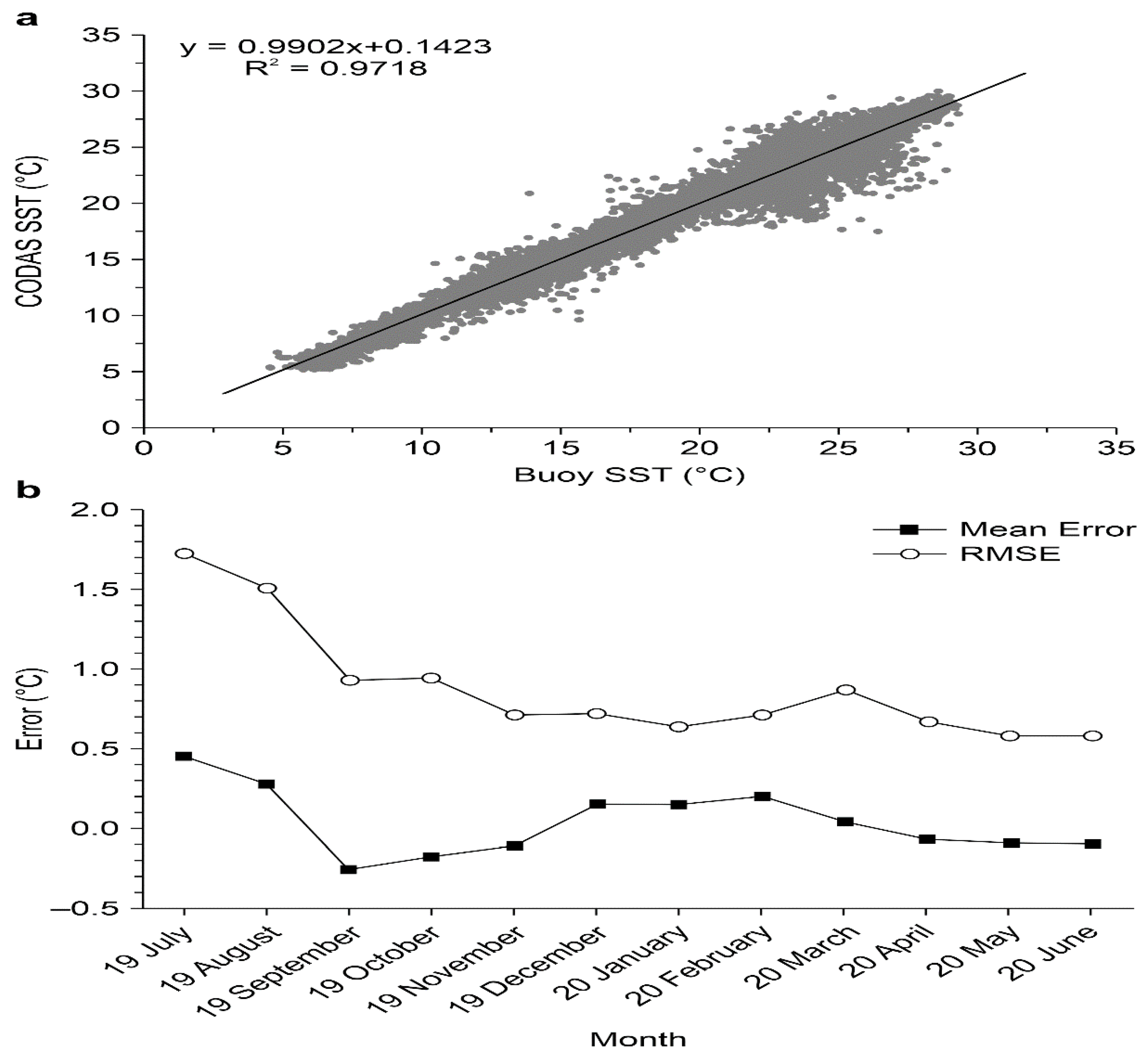
3.2.2. Assessment Results for the Daily Fusion SSTs of CODAS
3.2.3. Assessment Results for the 6 h Fusion SSTs of CODAS
4. Influence of Different SSTs on the Simulation Results for Sea Fog
4.1. Characteristics of Fog Events around Bohai Bay
4.2. Information on Fog Events and the Simulation Scheme
4.3. Simulation Results of Daily CODAS SST
4.3.1. SST Field for Simulations
4.3.2. Influence of SST Differences on Sensible Heat Flux between the Air and Sea
4.3.3. Influence of SST Differences on Temperature in the Fog Region
4.3.4. Influence of SST Differences on Specific Humidity and Liquid Water in the Fog Region
4.4. Simulation Result of CODAS 6 h SST
4.4.1. Comparison of Sea Fog Simulation with the Three SST Schemes
4.4.2. Spatial Differences of the Three SST Schemes
4.4.3. Effect of Different SSTs on Sensible Heat Flux at Air–Sea Interface
4.4.4. Difference in Temperatures Simulated Using Three Schemes in Foggy Area
4.4.5. Difference in Specific Humidity and Liquid Water Content between the Three SST Schemes
4.5. Summary of CODAS SST Simulation
5. Conclusions
- (1)
- The simulation results show that the three SST schemes can greatly affect the sensible heat flux in the Yellow Sea and Bohai Sea. CODAS 6 h SST can provide a more detailed view of the variation in the sensible heat flux. All three SST schemes are significantly and positively correlated with the 2-m air temperature.
- (2)
- The CODAS 6 h SST scheme is better than the FNL SST scheme as regards the value and location distribution of the liquid water content in the modeled lower layer of the fog area. In particular, the lower 6 h SST more than other schemes is favorable for increasing the liquid water content, which fits the mechanisms of advection fog formation of warm air flowing over colder water.
- (3)
- The high spatial and temporal resolution SST in the Yellow Sea and Bohai Sea can significantly impact the fog forecast near the sea.
Author Contributions
Funding
Data Availability Statement
Acknowledgments
Conflicts of Interest
References
- Khan, M.Z.K.; Sharma, A.; Mehrotra, R. Global seasonal precipitation forecasts using improved sea surface temperature predictions. J. Geophys. Res. Atmos. 2017, 122, 4773–4785. [Google Scholar] [CrossRef]
- Booth, J.F.; Thompson, L.A.; Patoux, J.; Kelly, K.A. Sensitivity of midlatitude storm intensification to perturbations in the sea surface temperature near the Gulf Stream. Mon. Weather Rev. 2012, 140, 1241–1256. [Google Scholar] [CrossRef]
- Cione, J.J.; Uhlhorn, E.W. Sea surface temperature variability in hurricanes: Implications with respect to intensity change. Mon. Weather Rev. 2003, 131, 1783–1796. [Google Scholar] [CrossRef]
- Tuleya, R.E.; Kurihara, Y.A. Note on the sea surface temperature sensitivity of a numerical model of tropical storm genesis. Mon. Weather Rev. 1982, 110, 2063–2069. [Google Scholar] [CrossRef]
- Wang, J.H.; Shao, C.X.; Miao, C.S.; Zhong, Q.; Wu, Y.R. Near-shore SST’s impact on typhoon return to the sea in numerical simulation. J. Trop. Oceanogr. 2012, 31, 106–115. [Google Scholar]
- Kim, C.K.; Yum, S.S. A numerical study of sea-fog formation over cold sea surface. Bound. Layer Meteorol. 2012, 143, 481–505. [Google Scholar] [CrossRef]
- Lenderink, G.; Meijgaard, E.V.; Selten, F. Intense coastal rainfall in the Netherlands in response to high sea surface temperatures: Analysis of the event of August 2006 from the perspective of a changing climate. Clim. Dyn. 2009, 32, 19–33. [Google Scholar] [CrossRef]
- Lombardo, K.; Sinsky, E.; Edson, J.; Whitney, M.M.; Jia, Y. Sensitivity of offshore surface fluxes and sea breezes to the spatial distribution of sea surface temperature. Bound. Layer Meteorol. 2018, 166, 475–502. [Google Scholar] [CrossRef]
- Wang, W.; Wu, D.Z.; Qu, P.; Li, Y.; Liu, L.L.; Wu, B.G. The retrieve and data fusion of the sea surface temperature with FengYun geostationary satellite data. J. Water Res. Ocean Sci. 2016, 5, 53–63. [Google Scholar]
- Khaleghi, B.; Khamis, A.; Karray, F.O.; Karray, F.O.; Razavi, S.N. Multisensor data fusion: A review of the state-of-the-art. Inform. Fusion 2013, 14, 28–44. [Google Scholar]
- Hilker, T.; Wulder, M.A.; Coops, N.C.; Linke, J.; McDermid, G.; Masek, J.G.; Gao, F.; White, J.C. A new data fusion model for high spatial-and temporal-resolution mapping of forest disturbance based on Landsat and MODIS. Remote Sens. Environ. 2009, 113, 1613–1627. [Google Scholar] [CrossRef]
- Zhang, W.; Li, A.N.; Jin, H.A.; Bian, J.; Zhang, Z.; Lei, G.; Qin, Z.; Huang, C. An enhanced spatial and temporal data fusion model for fusing Landsat and Modis surface reflectance to generate high temporal Landsat-like Data. Remote Sens. 2013, 5, 5346–5368. [Google Scholar] [CrossRef]
- Reynolds, R.W. A real-time global sea surface temperature analysis. J. Clim. 1988, 1, 75–86. [Google Scholar] [CrossRef]
- Reynolds, R.W.; Smith, T.M.; Liu, C.Y.; Chelton, D.B.; Casey, K.S.; Schlax, M.G. Daily high-resolution-blended analyses for sea surface temperature. J. Clim. 2007, 20, 5473–5496. [Google Scholar]
- Tang, S.L.; Yang, X.F.; Dong, D.; Li, Z. Merging daily sea surface temperature data from multiple satellite using a Bayesian maximum entropy method. Front. Earth Sci. 2015, 9, 722–731. [Google Scholar]
- Hosoda, K.; Kawamura, H.; Sakaida, F. Improvement of New Generation Sea Surface Temperature for Open ocean (NGSST-O): A new sub-sampling method of blending microwave observations. J. Oceanogr. 2015, 71, 205–220. [Google Scholar]
- Wang, G.; Sheng, S.X.; Liu, H.L.; Wu, R.; Yang, Y. Discontinuous data 3D/4D variation fusion based on the constraint of L1 norm regularization term. Adv. Earth Sci. 2017, 32, 757–768. [Google Scholar]
- Wu, Y.M.; Shen, H.; Cui, X.S.; Yang, S.L.; Fan, W. Evaluation and fusion of SST data from MTSAT and TMI in East China Sea, Yellow Sea and Bohai Sea in 2008. Chin. J. Oceanol. Limnol. 2012, 30, 697–702. [Google Scholar]
- Kumar, B.P.; Cronin, M.F.; Joseph, S.; Ravichandran, M.; Sureshkumar, N. Latent heat flux sensitivity to sea surface temperature: Regional perspectives. J. Clim. 2017, 30, 129–143. [Google Scholar]
- Tory, K.J.; Montgomery, M.T.; Davidson, N.E. Prediction and diagnosis of tropical cyclone formation in an NWP system. Part I: The critical role of vortex enhancement in deep convection. J. Atmos. Sci. 2006, 63, 3077–3090. [Google Scholar] [CrossRef]
- Tang, Y. The effect of variable sea surface temperature on forecasting sea fog and sea breezes: A case study. J. Appl. Meteor. Climatol. 2012, 51, 986–990. [Google Scholar] [CrossRef]
- Yamamoto, M. Mesoscale structures of two types of cold-air outbreaks over the East China Sea and the effect of coastal sea surface temperature. Meteorol. Atmos. Phys. 2012, 115, 89–112. [Google Scholar] [CrossRef]
- Jeong, J.I.; Park, R.J.; Cho, Y.K. Effect of sea surface temperature errors on snowfall in WRF: A case study of a heavy snowfall event in Korea in December 2012. Terr. Atmos. Ocean. Sci. 2014, 25, 827–837. [Google Scholar] [CrossRef]
- Wang, W.; Wang, Y.; Qu, P.; Liu, L.L.; Wang, Q.L. Diurnal variation of SST in relation to season and weather phenomena in the Bohai region. J. Trop. Meteor. 2019, 25, 399–413. [Google Scholar]
- Miyazawa, Y.; Varlamov, S.M.; Miyama, T.; Guo, X.; Hihara, T.; Kiyomatsu, K.; Kachi, M.; Kurihara, Y.; Murakami, H. Assimilation of high-resolution sea surface temperature data into an operational nowcast/forecast system around Japan using a multi-scale three-dimensional variational scheme. Ocean Dyn. 2017, 67, 713–728. [Google Scholar] [CrossRef]
- Wang, W.; Liu, Z.-J.; Zhao, Y.; Gong, X.-Q. The application of data fusion method in the analysis of ocean and meteorology observation data. Int. J. Hydrol. 2019, 3, 205–208. [Google Scholar]
- Sakaida, F.; Hosoda, K.; Moriyama, M.; Murakami, H.; Mukaida, A.; Kawamura, H. Sea surface temperature observation by global imager (GLI)/ADEOS-II: Algorithm and accuracy of the product. J. Oceanogr. 2006, 62, 311–319. [Google Scholar] [CrossRef]
- Wang, W.Q.; Xie, P.P. A multiplatform-merged (MPM) SST analysis. J. Clim. 2007, 20, 1662–1679. [Google Scholar] [CrossRef]
- Vazquez-Cuervo, J.; Armstrong, E.M.; Harris, A. The effect of aerosols and clouds on the retrieval of infrared sea surface temperatures. J. Clim. 2004, 17, 3921–3933. [Google Scholar] [CrossRef]
- Zheng, Y.; Li, R.; Shi, D.D.; Wang, Y.N.; Sun, M.N. Characteristics of offshore and coastal sea fog in the mid-west Bohai Sea. Mar. Forecast. 2016, 33, 74–80. [Google Scholar]
- Wang, B.H. Sea Fog, 1st ed.; China Ocean Press: Beijing, China, 1985; pp. 1–330. [Google Scholar]
- Gao, S.H.; Lin, H.; Shen, B.; Fu, G. A heavy sea fog event over the Yellow Sea in March 2005: Analysis and numerical modeling. Adv. Atmos. Sci. 2007, 24, 65–81. [Google Scholar] [CrossRef]
- Fu, G.; Wang, J.Q.; Zhang, M.G.; Guo, J.T.; Guo, M.K.; Guo, K.C. An observational and numerical study of a sea fog event over the Yellow Sea on 11 April 2004. J. Ocean Univ. China 2004, 34, 720–726. (In Chinese) [Google Scholar]
- Fu, G.; Li, P.; Crompton, J.G.; Guo, J.; Gao, S.; Zhang, S. An observational and modeling study of a sea fog event over the Yellow Sea on 1 August 2003. Meteorol. Atmos. Phys. 2010, 107, 149–159. [Google Scholar] [CrossRef]
- Bang, C.H.; Lee, J.W.; Hong, S.Y. Predictability experiments of fog and visibility in local airports over Korea using the WRF model. J. Korean Soc. Atmos. Environ. 2008, 24, 92–101. [Google Scholar]
- Yang, Y.; Gao, S. The impact of turbulent diffusion driven by fog-top cooling on sea fog development. J. Geophys. Res. Atmos. 2020, 125, e2019JD031562. [Google Scholar] [CrossRef]
Short Biography of Authors
















| Period of Simulation (UTC) | Initial Field | Control Set | Comparative Set |
|---|---|---|---|
| 18 February 2020 00:00–21 February 2020 12:00 | FNL Data | FNL SST | CODAS SST |
| Schemes | Air Temperature/SST °C/°C | Specific Humidity/SST g/(kg·°C) | Sensible Heat Flux/SST W/(m2·°C) | Liquid Water Content/SST g/(kg·°C) |
|---|---|---|---|---|
| Between 6 h scheme and FNL scheme | 0.534 | 0.187 | 6.462 | 0.0153 |
| Between 6 h scheme and daily scheme | 0.522 | 0.182 | 5.721 | 0.0132 |
Publisher’s Note: MDPI stays neutral with regard to jurisdictional claims in published maps and institutional affiliations. |
© 2021 by the authors. Licensee MDPI, Basel, Switzerland. This article is an open access article distributed under the terms and conditions of the Creative Commons Attribution (CC BY) license (https://creativecommons.org/licenses/by/4.0/).
Share and Cite
Qu, P.; Wang, W.; Liu, Z.; Gong, X.; Shi, C.; Xu, B. Assessment of a Fusion Sea Surface Temperature Product for Numerical Weather Predictions in China: A Case Study. Atmosphere 2021, 12, 604. https://doi.org/10.3390/atmos12050604
Qu P, Wang W, Liu Z, Gong X, Shi C, Xu B. Assessment of a Fusion Sea Surface Temperature Product for Numerical Weather Predictions in China: A Case Study. Atmosphere. 2021; 12(5):604. https://doi.org/10.3390/atmos12050604
Chicago/Turabian StyleQu, Ping, Wei Wang, Zhijie Liu, Xiaoqing Gong, Chunxiang Shi, and Bin Xu. 2021. "Assessment of a Fusion Sea Surface Temperature Product for Numerical Weather Predictions in China: A Case Study" Atmosphere 12, no. 5: 604. https://doi.org/10.3390/atmos12050604
APA StyleQu, P., Wang, W., Liu, Z., Gong, X., Shi, C., & Xu, B. (2021). Assessment of a Fusion Sea Surface Temperature Product for Numerical Weather Predictions in China: A Case Study. Atmosphere, 12(5), 604. https://doi.org/10.3390/atmos12050604

