PM2.5 Magnetic Properties in Relation to Urban Combustion Sources in Southern West Africa
Abstract
1. Introduction
2. Materials and Methods
2.1. Sampling Sites
2.2. Sampling
2.3. Magnetic Methods
2.4. Scanning Electronic Microscopy
3. Results
3.1. Magnetic Mineralogy
3.2. Particulate Matter Magnetic Properties
3.3. Time Series of Concentration (Volume Normalized) Parameters
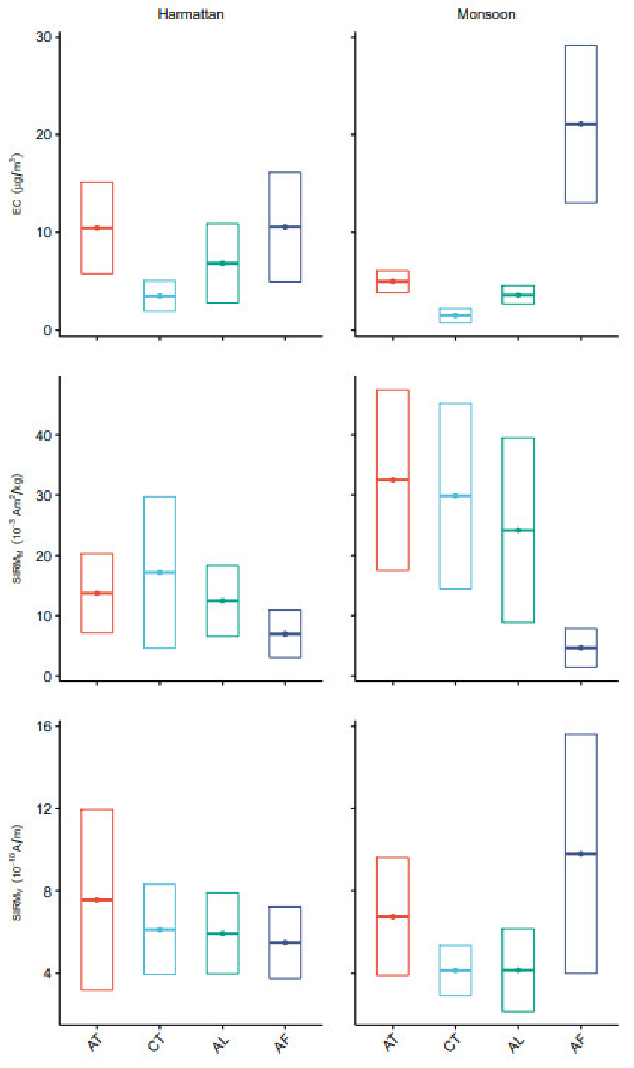
3.4. Seasonal Influence of Harmattan Wind and West African Monsoon
3.5. Grain Size Parameters
3.6. Scanning Electronic Microscopy
4. Discussion
5. Conclusions
- Iron oxide spherules (fly-ash), among other particle shapes and compositions have been detected on PM2.5 pumped-air filters in Abidjan and Cotonou cities. This particular shape is an evidence of anthropogenic origin for the iron oxides that originate from the combustion sources (traffic and wood burning) in the vicinity of the sampling locations. The granulometry of the iron oxides in all sites has a narrow distribution, showing that the different sources of emissions are not selective for size in the PM2.5.
- The magnetic mineralogy is composed of a mix of low (magnetite-like) and high coercivity minerals (hematite, goethite). The influence of the high coercivity minerals is stronger in the dry season in the traffic sites. The waste burning site has a stronger influence from dust since the observation is considerably further from the source of emission.
- Weekly SIRMV and ARMV measured over a 2-years period follows the same seasonal pattern as the PM2.5 and EC (elemental carbon) mass concentrations although the correlation between the time series remains moderate. Both mass and volume SIRM for African cities are in a similar range as previously published values for Europe or Asia.
- Although the samples were acquired in the vicinity of major combustion sources, the alternance of the northeasterly Harmattan wind and the southwesterly Monsoon flow has a significant impact on the magnetic properties. The Harmattan period shows a higher contribution of high coercivity material and increase in PM2.5 concentrations indicating a supply of aelian mineral dust. During the Monsoon, the local source has an enhanced effect in the PM2.5 composition.
- SIRMM for wood burning activities are lower than for traffic due to the large emission of organic carbon during biomass combustion.
- We found a robust correlation between elemental carbon mass concentrations and SIRMV and ARMV both for the traffic sites and for the domestic fire site.
Author Contributions
Funding
Data Availability Statement
Acknowledgments
Conflicts of Interest
References
- Seinfeld, J.; Pandis, S. Atmospheric Chemistry and Physics: From Air Pollution to Climate Change; Wiley: Hoboken, NJ, USA, 2016. [Google Scholar]
- Pope, C.A., III; Dockery, D.W. Health effects of fine particulate air pollution: Lines that connect. J. Air Waste Manag. Assoc. 2006, 56, 709–742. [Google Scholar] [CrossRef] [PubMed]
- Dockery, D.W.; Pope, C.A. Acute Respiratory Effects of Particulate Air Pollution. Annu. Rev. Public Health 1994, 15, 107–132. [Google Scholar] [CrossRef] [PubMed]
- Cohen, A.J.; Brauer, M.; Burnett, R.; Anderson, H.R.; Frostad, J.; Estep, K.; Balakrishnan, K.; Brunekreef, B.; Dandona, L.; Dandona, R.; et al. Estimates and 25-Year Trends of the Global Burden of Disease Attributable to Ambient Air Pollution: An Analysis of Data from the Global Burden of Diseases Study 2015. Lancet 2017, 389, 1907–1918. [Google Scholar] [CrossRef]
- Burnett, R.; Chen, H.; Szyszkowicz, M.; Fann, N.; Hubbell, B.; Pope, C.A.; Apte, J.S.; Brauer, M.; Cohen, A.; Weichenthal, S.; et al. Global Estimates of Mortality Associated with Long-Term Exposure to Outdoor Fine Particulate Matter. Proc. Natl. Acad. Sci. USA 2018, 9592–9597. [Google Scholar] [CrossRef]
- Martins, V.; Faria, T.; Diapouli, E.; Manousakas, M.I.; Eleftheriadis, K.; Viana, M.; Almeida, S.M. Relationship between indoor and outdoor size-fractionated particulate matter in urban microenvironments: Levels, chemical composition and sources. Environ. Res. 2020, 183, 109203. [Google Scholar] [CrossRef] [PubMed]
- Yin, P.; Brauer, M.; Cohen, A.J.; Wang, H.; Li, J.; Burnett, R.T.; Stanaway, J.D.; Causey, K.; Larson, S.; Godwin, W.; et al. The Effect of Air Pollution on Deaths, Disease Burden, and Life Expectancy across China and Its Provinces, 1990–2017: An Analysis for the Global Burden of Disease Study 2017. Lancet Planet. Health 2020, 4, e386–e398. [Google Scholar] [CrossRef]
- McClure, C.D.; Jaffe, D.A. US Particulate Matter Air Quality Improves except in Wildfire-Prone Areas. Proc. Natl. Acad. Sci. USA 2018, 115, 7901–7906. [Google Scholar] [CrossRef]
- Anenberg, S.C.; Achakulwisut, P.; Brauer, M.; Moran, D.; Apte, J.S.; Henze, D.K. Particulate Matter-Attributable Mortality and Relationships with Carbon Dioxide in 250 Urban Areas Worldwide. Sci. Rep. 2019, 9, 11552. [Google Scholar] [CrossRef]
- United Nations, Department of Economic and Social Affairs. World Population Prospects 2019: Ten Key Findings; Technical Report; United Nations: New York, NY, USA, 2019. [Google Scholar]
- United Nations, Department of Economic and Social Affairs. World Urbanization Prospects: The 2014 Revision: Highlights; United Nations: New York, NY, USA, 2014; Volume 32. [Google Scholar]
- Liousse, C.; Assamoi, E.; Criqui, P.; Granier, C.; Rosset, R. Explosive Growth in African Combustion Emissions from 2005 to 2030. Environ. Res. Lett. 2014, 9, 035003. [Google Scholar] [CrossRef]
- Keita, S.; Liousse, C.; Yoboué, V.; Dominutti, P.; Guinot, B.; Assamoi, E.M.; Borbon, A.; Haslett, S.L.; Bouvier, L.; Colomb, A.; et al. Particle and VOC Emission Factor Measurements for Anthropogenic Sources in West Africa. Atmos. Chem. Phys. 2018, 18, 7691–7708. [Google Scholar] [CrossRef]
- Junker, C.; Liousse, C. A global emission inventory of carbonaceous aerosol from historic records of fossil fuel and biofuel consumption for the period 1860–1997. Atmos. Chem. Phys. 2008, 8, 1195–1207. [Google Scholar] [CrossRef]
- Menut, L.; Flamant, C.; Turquety, S.; Deroubaix, A.; Chazette, P.; Meynadier, R. Impact of Biomass Burning on Pollutant Surface Concentrations in Megacities of the Gulf of Guinea. Atmos. Chem. Phys. 2018, 18, 2687–2707. [Google Scholar] [CrossRef]
- Afeti, G.M.; Resch, F.J. Physical Characteristics of Saharan Dust near the Gulf of Guinea. Atmos. Environ. 2000, 34, 1273–1279. [Google Scholar] [CrossRef]
- Adon, A.J.; Liousse, C.; Doumbia, E.T.; Baeza-Squiban, A.; Cachier, H.; Léon, J.F.; Yoboué, V.; Akpo, A.B.; Galy-Lacaux, C.; Guinot, B.; et al. Physico-Chemical Characterization of Urban Aerosols from Specific Combustion Sources in West Africa at Abidjan in Côte d’Ivoire and Cotonou in Benin in the Frame of the DACCIWA Program. Atmos. Chem. Phys. 2020, 20, 5327–5354. [Google Scholar] [CrossRef]
- Djossou, J.; Léon, J.F.; Akpo, A.B.; Liousse, C.; Yoboué, V.; Bedou, M.; Bodjrenou, M.; Chiron, C.; Galy-Lacaux, C.; Gardrat, E.; et al. Mass Concentration, Optical Depth and Carbon Composition of Particulate Matter in the Major Southern West African Cities of Cotonou (Benin) and Abidjan (Côte d’Ivoire). Atmos. Chem. Phys. 2018, 18, 6275–6291. [Google Scholar] [CrossRef]
- Léon, J.F.; Akpo, A.B.; Bedou, M.; Djossou, J.; Bodjrenou, M.; Yoboué, V.; Liousse, C. PM2.5 Surface Concentrations in Southern West African Urban Areas Based on Sun Photometer and Satellite Observations. Atmos. Chem. Phys. 2021, 21, 1815–1834. [Google Scholar] [CrossRef]
- Knippertz, P.; Coe, H.; Chiu, J.C.; Evans, M.J.; Fink, A.H.; Kalthoff, N.; Liousse, C.; Mari, C.; Allan, R.P.; Brooks, B.; et al. The DACCIWA Project: Dynamics–Aerosol–Chemistry–Cloud Interactions in West Africa. Bull. Am. Meteorol. Soc. 2015, 96, 1451–1460. [Google Scholar] [CrossRef]
- Xu, H.; Léon, J.F.; Liousse, C.; Guinot, B.; Yoboué, V.; Akpo, A.B.; Adon, J.; Ho, K.F.; Ho, S.S.H.; Li, L.; et al. Personal Exposure to PM2.5 Emitted from Typical Anthropogenic Sources in Southern West Africa: Chemical Characteristics and Associated Health Risks. Atmos. Chem. Phys. 2019, 19, 6637–6657. [Google Scholar] [CrossRef]
- Dekkers, M.J.; Evans, M.E.; Heller, F. Environmental Magnetism—Principles and Applications of Enviromagnetics; Academic Press: Cambridge, MA, USA, 2003; ISBN 0-12-243851- 5. [Google Scholar] [CrossRef]
- Hofman, J.; Maher, B.A.; Muxworthy, A.R.; Wuyts, K.; Castanheiro, A.; Samson, R. Biomagnetic Monitoring of Atmospheric Pollution: A Review of Magnetic Signatures from Biological Sensors. Environ. Sci. Technol. 2017, 51, 6648–6664. [Google Scholar] [CrossRef]
- Sagnotti, L.; Macrì, P.; Egli, R.; Mondinio, M. Magnetic properties of atmospheric particulate matter from automatic air sampler stations in Latium (Italy): Toward a definition of magnetic fingerprints for natural and anthropogenic PM10 sources. J. Geophys. Res. Solid Earth 2006, 111, 1–17. [Google Scholar] [CrossRef]
- Castañeda-Miranda, A.G.; Böhnel, H.N.; Molina-Garza, R.S.; Chaparro, M.A. Magnetic evaluation of TSP-filters for air quality monitoring. Atmos. Environ. 2014, 96, 163–174. [Google Scholar] [CrossRef]
- Muxworthy, A.R.; Matzka, J.; Petersen, N. Comparison of magnetic parameters of urban atmospheric particulate matter with pollution and meteorological data. Atmos. Environ. 2001, 35, 4379–4386. [Google Scholar] [CrossRef]
- Mitchell, R.; Maher, B.A. Evaluation and application of biomagnetic monitoring of traffic-derived particulate pollution. Atmos. Environ. 2009, 43, 2095–2103. [Google Scholar] [CrossRef]
- McIntosh, G.; Gómez-Paccard, M.; Osete, M.L. The magnetic properties of particles deposited on Platanus × hispanica leaves in Madrid, Spain, and their temporal and spatial variations. Sci. Total Environ. 2007, 382, 135–146. [Google Scholar] [CrossRef] [PubMed]
- Spassov, S.; Egli, R.; Heller, F.; Nourgaliev, D.K.; Hannam, J. Magnetic quantification of urban pollution sources in atmospheric particulate matter. Geophys. J. Int. 2004, 159, 555–564. [Google Scholar] [CrossRef]
- Saragnese, F.; Lanci, L.; Lanza, R. Nanometric-sized atmospheric particulate studied by magnetic analyses. Atmos. Environ. 2011, 45, 450–459. [Google Scholar] [CrossRef]
- Revuelta, M.A.; McIntosh, G.; Pey, J.; Pérez, N.; Querol, X.; Alastuey, A. Partitioning of magnetic particles in PM10, PM2.5 and PM1 aerosols in the urban atmosphere of Barcelona (Spain). Environ. Pollut. 2014, 188, 109–117. [Google Scholar] [CrossRef] [PubMed]
- Jordanova, D.; Jordanova, N.; Petrov, P. Magnetic susceptibility of road deposited sediments at a national scale—Relation to population size and urban pollution. Environ. Pollut. 2014, 189, 239–251. [Google Scholar] [CrossRef]
- Mantovani, L.; Tribaudino, M.; Solzi, M.; Barraco, V.; De Munari, E.; Pironi, C. Magnetic and SEM-EDS analyses of Tilia cordata leaves and PM10 filters as a complementary source of information on polluted air: Results from the city of Parma (Northern Italy). Environ. Pollut. 2018, 239, 777–787. [Google Scholar] [CrossRef] [PubMed]
- Hunt, A.; Jones, J.; Oldfield, F. Magnetic measurements and heavy metals in atmospheric particulates of anthropogenic origin. Sci. Total Environ. 1984, 33, 129–139. [Google Scholar] [CrossRef]
- Chester, R.; Sharples, E.J.; Sanders, G.; Oldfield, F. The distribution of natural and non-crustal ferrimagnetic minerals in soil-sized particulates from the Mediterranean atmosphere. Water Air Soil Pollut. 1984, 23, 25–35. [Google Scholar] [CrossRef]
- Hunt, A. The application of mineral magnetic methods to atmospheric aerosol discrimination. Phys. Earth Planet. Inter. 1986, 42, 10–21. [Google Scholar] [CrossRef]
- Shu, J.; Dearing, J.A.; Morse, A.P.; Yu, L.; Yuan, N. Determining the sources of atmospheric particles in Shanghai, China, from magnetic and geochemical properties. Atmos. Environ. 2001, 35, 2615–2625. [Google Scholar] [CrossRef]
- Di Gilio, A.; Farella, G.; Marzocca, A.; Giua, R.; Assennato, G.; Tutino, M.; De Gennaro, G. Indoor/outdoor air quality assessment at school near the steel plant in Taranto (Italy). Adv. Meteorol. 2017, 2017. [Google Scholar] [CrossRef]
- Shi, Y.; Ji, Y.; Sun, H.; Hui, F.; Hu, J.; Wu, Y.; Fang, J.; Lin, H.; Wang, J.; Duan, H.; et al. Nanoscale characterization of PM 2.5 airborne pollutants reveals high adhesiveness and aggregation capability of soot particles. Sci. Rep. 2015, 5, 1–11. [Google Scholar] [CrossRef]
- Hoffmann, V.; Knab, M.; Appel, E. Magnetic susceptibility mapping of roadside pollution. J. Geochem. Explor. 1999, 66, 313–326. [Google Scholar] [CrossRef]
- Sagnotti, L.; Winkler, A. On the magnetic characterization and quantification of the superparamagnetic fraction of traffic-related urban airborne PM in Rome, Italy. Atmos. Environ. 2012, 59, 131–140. [Google Scholar] [CrossRef]
- Maher, B. The magnetic properties of Quaternary aeolian dusts and sediments, and their palaeoclimatic significance. Aeolian Res. 2011, 3, 87–144. [Google Scholar] [CrossRef]
- Knippertz, P.; Evans, M.J.; Field, P.R.; Fink, A.H.; Liousse, C.; Marsham, J.H. The Possible Role of Local Air Pollution in Climate Change in West Africa. Nat. Clim. Chang. 2015, 5, 815–822. [Google Scholar] [CrossRef]
- Lélé, M.I.; Leslie, L.M.; Lamb, P.J. Analysis of Low-Level Atmospheric Moisture Transport Associated with the West African Monsoon. J. Clim. 2015, 28, 4414–4430. [Google Scholar] [CrossRef]
- Adetunji, J.; McGregor, J.; Ong, C.K. Harmattan Haze. Weather 1979, 34, 430–436. [Google Scholar] [CrossRef]
- Bajamgnigni Gbambie, A.S.; Steyn, D.G. Sea Breezes at Cotonou and Their Interaction with the West African Monsoon: SEA BREEZES AT COTONOU. Int. J. Climatol. 2013, 33, 2889–2899. [Google Scholar] [CrossRef]
- Marais, E.A.; Jacob, D.J.; Wecht, K.; Lerot, C.; Zhang, L.; Yu, K.; Kurosu, T.P.; Chance, K.; Sauvage, B. Anthropogenic Emissions in Nigeria and Implications for Atmospheric Ozone Pollution: A View from Space. Atmos. Environ. 2014, 99, 32–40. [Google Scholar] [CrossRef]
- Dominutti, P.; Keita, S.; Bahino, J.; Colomb, A.; Liousse, C.; Yoboué, V.; Galy-Lacaux, C.; Morris, E.; Bouvier, L.; Sauvage, S.; et al. Anthropogenic VOCs in Abidjan, Southern West Africa: From Source Quantification to Atmospheric Impacts. Atmos. Chem. Phys. 2019, 19, 11721–11741. [Google Scholar] [CrossRef]
- Adjiri, O.A.; Mafou, C.K.; Konan, P.K. Impact of Akouedo landfill (Abidjan - Côte d’Ivoire) on the populations: Socio-economic and environmental study. Int. J. Innov. Appl. Stud. 2015, 13, 979–989. [Google Scholar]
- Chow, J.C.; Watson, J.G.; Pritchett, L.C.; Pierson, W.R.; Frazier, C.A.; Purcell, R.G. The Dri Thermal/Optical Reflectance Carbon Analysis System: Description, Evaluation and Applications in U.S. Air Quality Studies. Atmos. Environ. Part A Gen. Top. 1993, 27, 1185–1201. [Google Scholar] [CrossRef]
- Chow, J.C.; Watson, J.G.; Fujita, E.M.; Lu, Z.; Lawson, D.R.; Ashbaugh, L.L. Temporal and Spatial Variations of PM2.5 and PM10 Aerosol in the Southern California Air Quality Study. Atmos. Environ. 1994, 28, 2061–2080. [Google Scholar] [CrossRef]
- Chow, J.C.; Watson, J.G.; Kuhns, H.; Etyemezian, V.; Lowenthal, D.H.; Crow, D.; Kohl, S.D.; Engelbrecht, J.P.; Green, M.C. Source Profiles for Industrial, Mobile, and Area Sources in the Big Bend Regional Aerosol Visibility and Observational Study. Chemosphere 2004, 54, 185–208. [Google Scholar] [CrossRef]
- Chow, J.C.; Chen, L.W.A.; Watson, J.G.; Lowenthal, D.H.; Magliano, K.A.; Turkiewicz, K.; Lehrman, D.E. PM2.5 Chemical Composition and Spatiotemporal Variability during the California Regional PM10/PM2.5 Air Quality Study (CRPAQS). J. Geophys. Res. Atmos. 2006, 111, D10S04. [Google Scholar] [CrossRef]
- Chiappini, L.; Verlhac, S.; Aujay, R.; Maenhaut, W.; Putaud, J.P.; Sciare, J.; Jaffrezo, J.L.; Liousse, C.; Galy-Lacaux, C.; Alleman, L.Y.; et al. Clues for a Standardised Thermal-Optical Protocol for the Assessment of Organic and Elemental Carbon within Ambient Air Particulate Matter. Atmos. Meas. Tech. 2014, 7, 1649–1661. [Google Scholar] [CrossRef]
- Egli, R. Characterization of individual rock magnetic components by analysis of remanence curves, 1. Unmixing natural sediments. Stud. Geophys. Geod. 2004, 48, 391–446. [Google Scholar] [CrossRef]
- Evans, M.E.; Heller, F. Environmental Magnetism; Academic Press: San Diego, CA, USA, 2003; Volume 11, p. 34. [Google Scholar] [CrossRef]
- Dankers, P. Relationship between median destructive field and remanent coercive forces for dispersed natural magnetite, titanomagnetite and hematite. Geophys. J. Int. 1981, 64, 447–461. [Google Scholar] [CrossRef]
- King, J.W.; Channell, J.E. Sedimentary Magnetism, Environmental Magnetism, and Magnetostrarigraphy. Rev. Geophys. 1991, 29, 358–370. [Google Scholar] [CrossRef]
- Maher, B.A. Magnetic properties of some synthetic sub-micron magnetites. Geophys. J. Int. 1988, 94, 83–96. [Google Scholar] [CrossRef]
- Dankers, P.H.M. Magnetic Properties of Dispersed Natural Iron-Oxides of Known Grain-Size. Ph.D. Thesis, University of Utrecht, Utrecht, The Netherlands, 1978. [Google Scholar]
- Özden, Ö.; Banerjee, S.K. A preliminary magnetic study of soil samples from west-central Minnesota. Earth Planet. Sci. Lett. 1982, 59, 393–403. [Google Scholar] [CrossRef]
- Sagnotti, L.; Taddeucci, J.; Winkler, A.; Cavallo, A. Compositional, morphological, and hysteresis characterization of magnetic airborne particulate matter in Rome, Italy. Geochem. Geophys. Geosyst. 2009, 10. [Google Scholar] [CrossRef]
- Shi, M.; Wu, H.; Zhang, S.; Li, H.; Yang, T.; Liu, W.; Liu, H. Weekly cycle of magnetic characteristics of the daily PM2.5 and PM2.5-10 in Beijing, China. Atmos. Environ. 2014, 98, 357–367. [Google Scholar] [CrossRef]
- Pattammattel, A.; Leppert, V.J.; Aronstein, P.; Robinson, M.; Mousavi, A.; Sioutas, C.; Forman, H.J.; O’Day, P.A. Iron speciation in particulate matter (PM2.5) from urban Los Angeles using spectro-microscopy methods. Atmos. Environ. 2021, 245, 117988. [Google Scholar] [CrossRef]
- Liu, H.; Yan, Y.; Chang, H.; Chen, H.; Liang, L.; Liu, X.; Qiang, X.; Sun, Y. Magnetic signatures of natural and anthropogenic sources of urban dust aerosol. Atmos. Chem. Phys. 2019, 19, 731–745. [Google Scholar] [CrossRef]
- Gonet, T.; Maher, B.A. Airborne, Vehicle-Derived Fe-Bearing Nanoparticles in the Urban Environment: A Review. Environ. Sci. Technol. 2019, 53, 9970–9991. [Google Scholar] [CrossRef]
- Gonet, T.; Maher, B.A.; Kukutschová, J. Source apportionment of magnetite particles in roadside airborne particulate matter. Sci. Total Environ. 2021, 752, 141828. [Google Scholar] [CrossRef]
- Liati, A.; Pandurangi, S.S.; Boulouchos, K.; Schreiber, D.; Arroyo Rojas Dasilva, Y. Metal nanoparticles in diesel exhaust derived by in-cylinder melting of detached engine fragments. Atmos. Environ. 2015, 101, 34–40. [Google Scholar] [CrossRef]
- Bardelli, F.; Cattaruzza, E.; Gonella, F.; Rampazzo, G.; Valotto, G. Characterization of road dust collected in Traforo del San Bernardo highway tunnel: Fe and Mn speciation. Atmos. Environ. 2011, 45, 6459–6468. [Google Scholar] [CrossRef]
- Chaparro, M.A.; Chaparro, M.A.; Castañeda-Miranda, A.G.; Marié, D.C.; Gargiulo, J.D.; Lavornia, J.M.; Natal, M.; Böhnel, H.N. Fine air pollution particles trapped by street tree barks: In situ magnetic biomonitoring. Environ. Pollut. 2020, 266, 115229. [Google Scholar] [CrossRef]
- Wang, J.; Li, S.; Li, H.; Qian, X.; Li, X.; Liu, X.; Lu, H.; Wang, C.; Sun, Y. Trace metals and magnetic particles in PM 2.5: Magnetic identification and its implications. Sci. Rep. 2017, 7, 1–11. [Google Scholar] [CrossRef]
- Frank, U.; Nowaczyk, N.R. Mineral magnetic properties of artificial samples systematically mixed from haematite and magnetite. Geophys. J. Int. 2008, 175, 449–461. [Google Scholar] [CrossRef]
- Yahi, H.; Marticorena, B.; Thiria, S.; Chatenet, B.; Schmechtig, C.; Rajot, J.L.; Crepon, M. Statistical relationship between surface PM10 concentration and aerosol optical depth over the Sahel as a function of weather type, using neural network methodology. J. Geophys. Res. Atmos. 2013, 118, 13,265–13,281. [Google Scholar] [CrossRef]
- Schroth, A.W.; Crusius, J.; Sholkovitz, E.R.; Bostick, B.C. Iron solubility driven by speciation in dust sources to the ocean. Nat. Geosci. 2009, 2, 337–340. [Google Scholar] [CrossRef]
- Formenti, P.; Caquineau, S.; Chevaillier, S.; Klaver, A.; Desboeufs, K.; Rajot, J.L.; Belin, S.; Briois, V. Dominance of goethite over hematite in iron oxides of mineral dust from Western Africa: Quantitative partitioning by X-ray absorption spectroscopy. J. Geophys. Res. Atmos. 2014, 119, 12,740–12,754. [Google Scholar] [CrossRef]
- Lyons, R.; Oldfield, F.; Williams, E. Mineral magnetic properties of surface soils and sands across four North African transects and links to climatic gradients. Geochem. Geophys. Geosyst. 2010, 11. [Google Scholar] [CrossRef]
- McClean, R.G.; Kean, W. Contributions of wood ash magnetism to archaeomagnetic properties of fire pits and hearths. Earth Planet. Sci. Lett. 1993, 119, 387–394. [Google Scholar] [CrossRef]
- Jordanova, N.; Jordanova, D.; Henry, B.; Le Goff, M.; Dimov, D.; Tsacheva, T. Magnetism of cigarette ashes. J. Magn. Magn. Mater. 2006, 301, 50–66. [Google Scholar] [CrossRef]
- Ghafghazi, S.; Sowlati, T.; Sokhansanj, S.; Bi, X.; Melin, S. Particulate matter emissions from combustion of wood in district heating applications. Renew. Sustain. Energy Rev. 2011, 15, 3019–3028. [Google Scholar] [CrossRef]







| Whole Period | AT | CT | AL | AF |
|---|---|---|---|---|
| SIRMV (10−10 A m−1) | 6.32 (±3.09) | 4.90 (±1.91) | 4.88 (±1.98 ) | 6.83 (±4.24 ) |
| SIRMM (10−2 A m2 kg−1) | 2.23 (±1.18) | 2.28 (±1.31) | 2.21 (±1.31) | 0.53 (±0.38) |
| S-ratio | 0.97 (±0.05) | 0.97 (±0.03) | 0.96 (±0.04) | 0.96 (±0.02 ) |
| MDF (mT) | 33.55 (±4.46) | 33.76 (±2.76) | 35.08 (±2.95 ) | 33.55 (±2.58 ) |
| xARM/SIRM (10−4 m A−1) | 7.32 (±2.78) | 6.57 (±1.82) | 6.93 (±4.22) | 7.24 (±2.38) |
| EC (μg m−3 ☆ | 7.64 (±4.02) | 2.15 (±1.26) | 4.22 (±2.60 ) | 13.01 (±6.77) |
| PM2.5 (μg m−3 ☆ | 37.01 (±29.70) | 30.64 (±32.01) | 28.44 (±19.79) | 153.55 (±73.29) |
| OC/EC ☆ | 1.93 (±1.07) | 3.72 (±1.37 ) | 2.54 (±1.49) | 6.00 (±2.66) |
| Harmattan period | ||||
| SIRMV (10−10 A m−1) | 7.57 (±4.38) | 6.13 (±2.19) | 5.94 (±1.97) | 5.50 (±1.74) |
| SIRMM (10−2 A m2 kg−1) | 1.37 (±0.66) | 1.72 (±1.25) | 1.24 (±0.58) | 0.70 (±0.39) |
| S-ratio | 0.97 (±0.02) | 0.95 (±0.04) | 0.97 (±0.02) | 0.97 (±0.01) |
| EC (μg m−3) ☆ | 10.45 (±4.69) | 3.51 (±1.54) | 6.84 (±4.04) | 10.56 (±5.59) |
| Monsoon season | ||||
| SIRMV (10−10 A m−1) | 6.76 (±2.86) | 4.14 (±1.23) | 4.16 (±2.01) | 9.81 (±5.81) |
| SIRMM (10−2 A m2 kg−1) | 3.25 (±1.50) | 2.98 (±1.54) | 2.41 (±1.53) | 0.46 (±0.32) |
| S-ratio | 0.98 (±0.01) | 0.97 (±0.01) | 0.96 (±0.02) | 0.95 (±0.03) |
| EC (μg m−3) ☆ | 4.99 (±1.12) | 1.52 (±0.74) | 3.61 (±0.93) | 21.08 (±8.06) |
Publisher’s Note: MDPI stays neutral with regard to jurisdictional claims in published maps and institutional affiliations. |
© 2021 by the authors. Licensee MDPI, Basel, Switzerland. This article is an open access article distributed under the terms and conditions of the Creative Commons Attribution (CC BY) license (https://creativecommons.org/licenses/by/4.0/).
Share and Cite
Leite, A.d.S.; Léon, J.-F.; Macouin, M.; Rousse, S.; Trindade, R.I.F.d.; Proietti, A.; Drigo, L.; Antonio, P.Y.J.; Akpo, A.B.; Yoboué, V.; et al. PM2.5 Magnetic Properties in Relation to Urban Combustion Sources in Southern West Africa. Atmosphere 2021, 12, 496. https://doi.org/10.3390/atmos12040496
Leite AdS, Léon J-F, Macouin M, Rousse S, Trindade RIFd, Proietti A, Drigo L, Antonio PYJ, Akpo AB, Yoboué V, et al. PM2.5 Magnetic Properties in Relation to Urban Combustion Sources in Southern West Africa. Atmosphere. 2021; 12(4):496. https://doi.org/10.3390/atmos12040496
Chicago/Turabian StyleLeite, Aruã da Silva, Jean-François Léon, Melina Macouin, Sonia Rousse, Ricardo Ivan Ferreira da Trindade, Arnaud Proietti, Loïc Drigo, Paul Yves Jean Antonio, Aristide Barthélémy Akpo, Véronique Yoboué, and et al. 2021. "PM2.5 Magnetic Properties in Relation to Urban Combustion Sources in Southern West Africa" Atmosphere 12, no. 4: 496. https://doi.org/10.3390/atmos12040496
APA StyleLeite, A. d. S., Léon, J.-F., Macouin, M., Rousse, S., Trindade, R. I. F. d., Proietti, A., Drigo, L., Antonio, P. Y. J., Akpo, A. B., Yoboué, V., & Liousse, C. (2021). PM2.5 Magnetic Properties in Relation to Urban Combustion Sources in Southern West Africa. Atmosphere, 12(4), 496. https://doi.org/10.3390/atmos12040496

