Self-Organization through the Inner Heliosphere: Insights from Parker Solar Probe
Abstract
1. Introduction
2. The Klimontovich S-Theorem
- how to compare states characterized by different values of a control parameter and
- how to compare their relative degree of chaos or provide a measure of the relative degree of self-organization.
3. Data Description and Methods
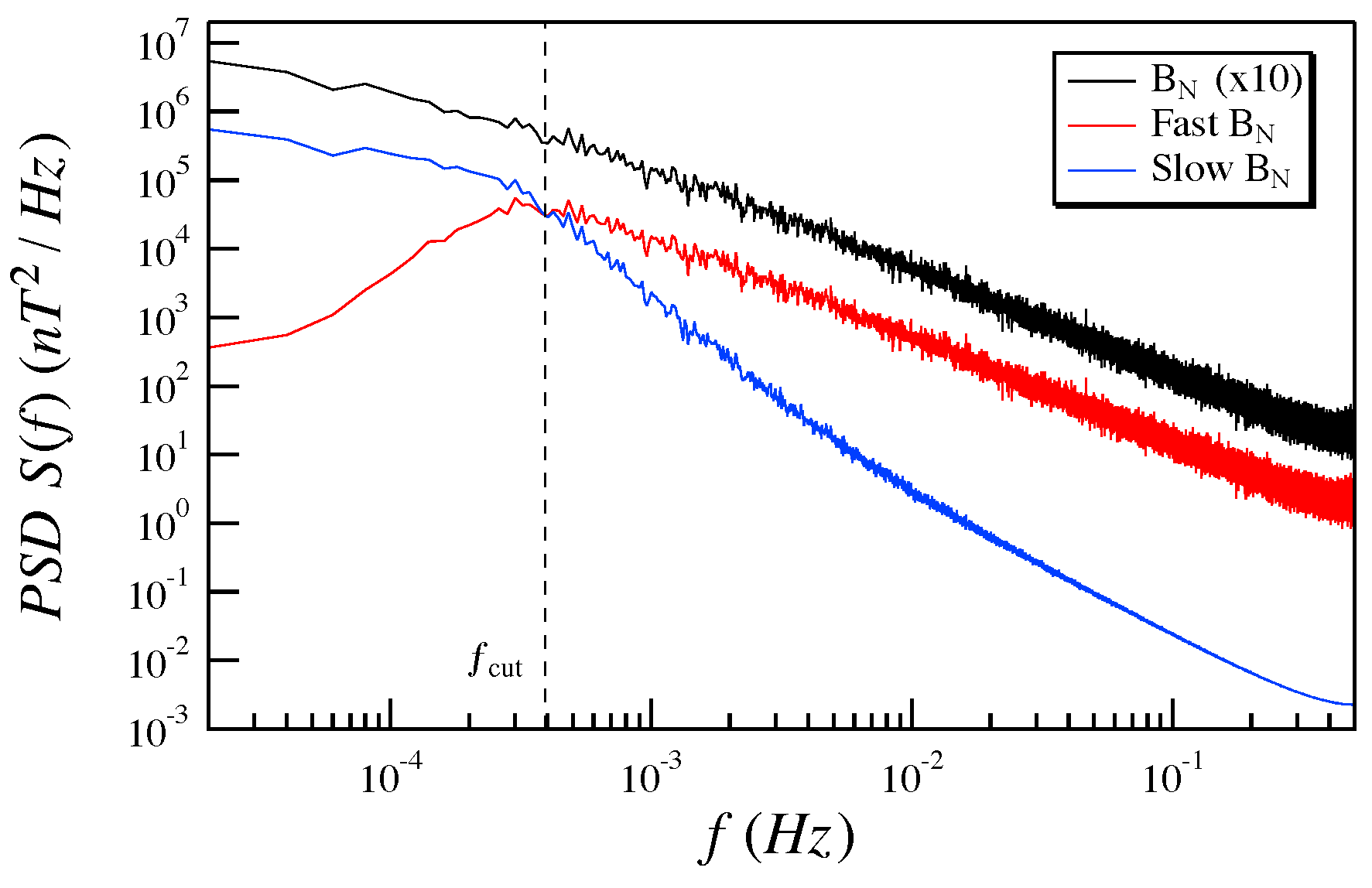
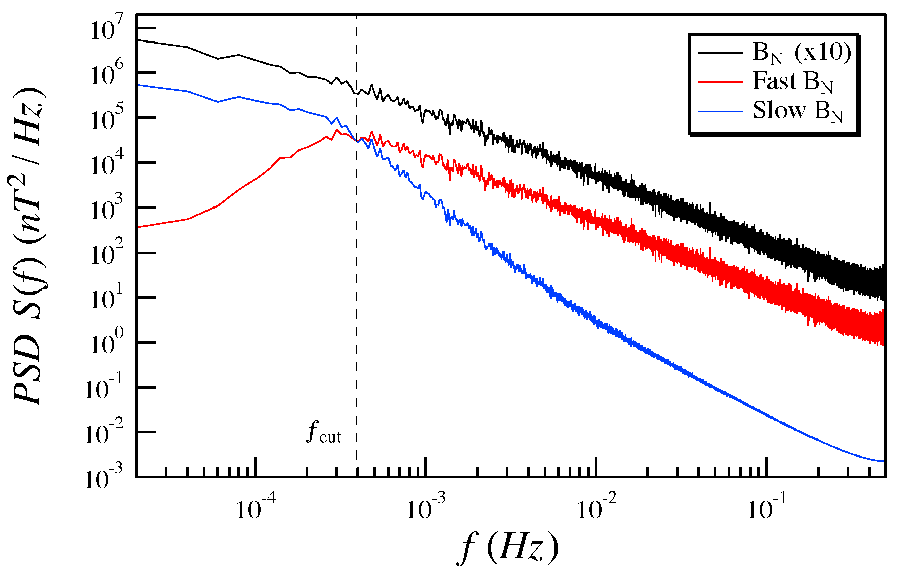
3.1. Data
3.2. Methods
4. Results
5. Discussions
6. Summary and Conclusions
Author Contributions
Funding
Institutional Review Board Statement
Informed Consent Statement
Data Availability Statement
Acknowledgments
Conflicts of Interest
Abbreviations
| AU | Astronomical Unit |
| IMF | Interplanetary Magnetic Field |
| PSP | Parker Solar Probe |
References
- Valentini, F.; Califano, F.; Veltri, P. The kinetic nature of turbulence at short scales in the solar wind. Planet. Space Sci. 2011, 59, 547–555. [Google Scholar] [CrossRef]
- Bruno, R.; Carbone, V. Turbulence in the Solar Wind; Springer: Berlin/Heidelberg, Germany, 2016; Volume 928. [Google Scholar]
- Verscharen, D.; Klein, K.G.; Maruca, B.A. The multi-scale nature of the solar wind. Living Rev. Sol. Phys. 2019, 16, 5. [Google Scholar] [CrossRef] [PubMed]
- Matsumoto, T. Full compressible 3D MHD simulation of solar wind. Mon. Not. R. Soc. 2021, 500, 4779–4787. [Google Scholar] [CrossRef]
- Macek, W.M.; Wawrzaszek, A.; Carbone, V. Observation of the multifractal spectrum in the heliosphere and the heliosheath by Voyager 1 and 2. J. Geophys. Res. (Space Phys.) 2012, 117, A12101. [Google Scholar] [CrossRef]
- Carbone, V. Scalings, Cascade and Intermittency in Solar Wind Turbulence. Space Sci. Rev. 2012, 172, 343–360. [Google Scholar] [CrossRef]
- Sorriso-Valvo, L.; Carbone, V.; Giuliani, P.; Veltri, P.; Bruno, R.; Antoni, V.; Martines, E. Intermittency in plasma turbulence. Planet. Space Sci. 2001, 49, 1193–1200. [Google Scholar] [CrossRef]
- Sorriso-Valvo, L.; De Vita, G.; Fraternale, F.; Gurchumelia, A.; Perri, S.; Nigro, G.; Catapano, F.; Retinò, A.; Chen, C.H.K.; Yordanova, E.; et al. Sign singularity of the local energy transfer in space plasma turbulence. Front. Phys. 2019, 7, 108. [Google Scholar] [CrossRef]
- Martinović, M.M.; Klein, K.G.; Bourouaine, S. Radial Evolution of Stochastic Heating in Low-β Solar Wind. Astrophys. J. 2019, 879, 43. [Google Scholar] [CrossRef]
- Marsch, E. Solar wind and kinetic heliophysics. Ann. Geophys. 2018, 36, 1607–1630. [Google Scholar] [CrossRef]
- Lepping, R.P.; Acũna, M.H.; Burlaga, L.F.; Farrell, W.M.; Slavin, J.A.; Schatten, K.H.; Mariani, F.; Ness, N.F.; Neubauer, F.M.; Whang, Y.C.; et al. The Wind Magnetic Field Investigation. Space Sci. Rev. 1995, 71, 207–229. [Google Scholar] [CrossRef]
- Lin, R.P.; Anderson, K.A.; Ashford, S.; Carlson, C.; Curtis, D.; Ergun, R.; Larson, D.; McFadden, J.; McCarthy, M.; Parks, G.K.; et al. A Three-Dimensional Plasma and Energetic Particle Investigation for the Wind Spacecraft. Space Sci. Rev. 1995, 71, 125–153. [Google Scholar] [CrossRef]
- Stone, E.C.; Frandsen, A.M.; Mewaldt, R.A.; Christian, E.R.; Margolies, D.; Ormes, J.F.; Snow, F. The Advanced Composition Explorer. Space Sci. Rev. 1998, 86, 1–22. [Google Scholar] [CrossRef]
- Balogh, A.; Carr, C.M.; Acuña, M.H.; Dunlop, M.W.; Beek, T.J.; Brown, P.; Fornaçon, K.H.; Georgescu, E.; Glassmeier, K.H.; Harris, J.; et al. The Cluster Magnetic Field Investigation: Overview of in-flight performance and initial results. Ann. Geophys. 2001, 19, 1207–1217. [Google Scholar] [CrossRef]
- Burch, J.L.; Moore, T.E.; Torbert, R.B.; Giles, B.L. Magnetospheric Multiscale Overview and Science Objectives. Space Sci. Rev. 2016, 199, 5–21. [Google Scholar] [CrossRef]
- Fox, N.J.; Velli, M.C.; Bale, S.D.; Decker, R.; Driesman, A.; Howard, R.A.; Kasper, J.C.; Kinnison, J.; Kusterer, M.; Lario, D.; et al. The Solar Probe Plus Mission: Humanity’s First Visit to Our Star. Space Sci. Rev. 2016, 204, 7–48. [Google Scholar] [CrossRef]
- Velli, M.; Harra, L.K.; Vourlidas, A.; Schwadron, N.; Panasenco, O.; Liewer, P.C.; Müller, D.; Zouganelis, I.; St Cyr, O.C.; Gilbert, H.; et al. Understanding the origins of the heliosphere: Integrating observations and measurements from Parker Solar Probe, Solar Orbiter, and other space- and ground-based observatories. Astron. Astrophys. 2020, 642, A4. [Google Scholar] [CrossRef]
- Dudok de Wit, T.; Krasnoselskikh, V.V.; Bale, S.D.; Bonnell, J.W.; Bowen, T.A.; Chen, C.H.K.; Froment, C.; Goetz, K.; Harvey, P.R.; Jagarlamudi, V.K.; et al. Switchbacks in the Near-Sun Magnetic Field: Long Memory and Impact on the Turbulence Cascade. Astrophys. J. Suppl. Ser. 2020, 246, 39. [Google Scholar] [CrossRef]
- Zank, G.P.; Nakanotani, M.; Zhao, L.L.; Adhikari, L.; Kasper, J. The Origin of Switchbacks in the Solar Corona: Linear Theory. Astrophys. J. 2020, 903, 1. [Google Scholar] [CrossRef]
- Kasper, J.C.; Bale, S.D.; Belcher, J.W.; Berthomier, M.; Case, A.W.; Chandran, B.D.G.; Curtis, D.W.; Gallagher, D.; Gary, S.P.; Golub, L.; et al. Alfvénic velocity spikes and rotational flows in the near-Sun solar wind. Nature 2019, 576, 228–231. [Google Scholar] [CrossRef]
- Chen, C.H.K.; Bale, S.D.; Bonnell, J.W.; Borovikov, D.; Bowen, T.A.; Burgess, D.; Case, A.W.; Chandran, B.D.G.; de Wit, T.D.; Goetz, K.; et al. The Evolution and Role of Solar Wind Turbulence in the Inner Heliosphere. Astrophys. J. Suppl. Ser. 2020, 246, 53. [Google Scholar] [CrossRef]
- Alberti, T.; Laurenza, M.; Consolini, G.; Milillo, A.; Marcucci, M.F.; Carbone, V.; Bale, S.D. On the Scaling Properties of Magnetic-field Fluctuations through the Inner Heliosphere. Astrophys. J. 2020, 902, 84. [Google Scholar] [CrossRef]
- Kolmogorov, A. The Local Structure of Turbulence in Incompressible Viscous Fluid for Very Large Reynolds’ Numbers. Akad. Nauk SSSR Dokl. 1941, 30, 301–305. [Google Scholar]
- Kraichnan, R.H. Inertial-Range Spectrum of Hydromagnetic Turbulence. Phys. Fluids 1965, 8, 1385–1387. [Google Scholar] [CrossRef]
- Frisch, U. From global scaling, a la Kolmogorov, to local multifractal scaling in fully developed turbulence. Proc. R. Soc. Lond. Ser. A 1991, 434, 89–99. [Google Scholar] [CrossRef]
- Katul, G.G.; Parlange, M.B.; Chu, C.R. Intermittency, local isotropy, and non-Gaussian statistics in atmospheric surface layer turbulence. Phys. Fluids 1994, 6, 2480–2492. [Google Scholar] [CrossRef]
- Dubrulle, B. Beyond Kolmogorov cascades. J. Fluid Mech. 2019, 867, P1. [Google Scholar] [CrossRef]
- Donner, R.V.; Zou, Y.; Donges, J.F.; Marwan, N.; Kurths, J. Recurrence networks—A novel paradigm for nonlinear time series analysis. New J. Phys. 2010, 12, 033025. [Google Scholar] [CrossRef]
- Alberti, T.; Consolini, G.; Carbone, V.; Yordanova, E.; Marcucci, M.; De Michelis, P. Multifractal and Chaotic Properties of Solar Wind at MHD and Kinetic Domains: An Empirical Mode Decomposition Approach. Entropy 2019, 21, 320. [Google Scholar] [CrossRef]
- Alberti, T.; Consolini, G.; Carbone, V. A discrete dynamical system: The poor man’s magnetohydrodynamic (PMMHD) equations. Chaos 2019, 29, 103107. [Google Scholar] [CrossRef]
- Donner, R.V.; Heitzig, J.; Donges, J.F.; Zou, Y.; Marwan, N.; Kurths, J. The geometry of chaotic dynamics—A complex network perspective. Eur. Phys. J. B 2011, 84, 653–672. [Google Scholar] [CrossRef]
- Klimontovich, Y. Statistical Theory of Open Systems; Kluwer Academic Pub.: Dordrecht, The Netherlands, 1995; Volume 1. [Google Scholar]
- Klimontovich, Y. Entropy evolution in self-organization process H-theorem and S-theorem. Phys. A Stat. Mech. Its Appl. 1987, 142, 390–404. [Google Scholar] [CrossRef]
- Van Kampen, N. The definition of entropy in non-equilibrium states. Physica 1959, 25, 1294–1302. [Google Scholar] [CrossRef]
- Bale, S.D.; Goetz, K.; Harvey, P.R.; Turin, P.; Bonnell, J.W.; Dudok de Wit, T.; Ergun, R.E.; MacDowall, R.J.; Pulupa, M.; Andre, M.; et al. The FIELDS Instrument Suite for Solar Probe Plus. Measuring the Coronal Plasma and Magnetic Field, Plasma Waves and Turbulence, and Radio Signatures of Solar Transients. Space Sci. Rev. 2016, 204, 49–82. [Google Scholar] [CrossRef] [PubMed]
- Mariani, F.; Ness, N.F.; Burlaga, L.F.; Bavassano, B.; Villante, U. The large-scale structure of the interplanetary magnetic field between 1 and 0.3 AU during the primary mission of Helios 1. J. Geophys. Res. Space Phys. 1978, 83, 5161–5166. [Google Scholar] [CrossRef]
- Parker, E.N. Dynamics of the Interplanetary Gas and Magnetic Fields. Astrophys. J. 1958, 128, 664. [Google Scholar] [CrossRef]
- Biskamp, D. Magnetohydrodynamic Turbulence; Cambridge University Press: Cambridge, UK, 2003. [Google Scholar]
- Consolini, G.; de Michelis, P. Relative ordering in the radial evolution of solar wind turbulence: The S-Theorem approach. Ann. Geophys. 2011, 29, 2317–2326. [Google Scholar] [CrossRef]
- Chen, C.H.K.; Mallet, A.; Yousef, T.A.; Schekochihin, A.A.; Horbury, T.S. Anisotropy of Alfvénic turbulence in the solar wind and numerical simulations. Mon. Not. R. Astron. Soc. 2011, 415, 3219–3226. [Google Scholar] [CrossRef]












Publisher’s Note: MDPI stays neutral with regard to jurisdictional claims in published maps and institutional affiliations. |
© 2021 by the authors. Licensee MDPI, Basel, Switzerland. This article is an open access article distributed under the terms and conditions of the Creative Commons Attribution (CC BY) license (http://creativecommons.org/licenses/by/4.0/).
Share and Cite
Stumpo, M.; Quattrociocchi, V.; Benella, S.; Alberti, T.; Consolini, G. Self-Organization through the Inner Heliosphere: Insights from Parker Solar Probe. Atmosphere 2021, 12, 321. https://doi.org/10.3390/atmos12030321
Stumpo M, Quattrociocchi V, Benella S, Alberti T, Consolini G. Self-Organization through the Inner Heliosphere: Insights from Parker Solar Probe. Atmosphere. 2021; 12(3):321. https://doi.org/10.3390/atmos12030321
Chicago/Turabian StyleStumpo, Mirko, Virgilio Quattrociocchi, Simone Benella, Tommaso Alberti, and Giuseppe Consolini. 2021. "Self-Organization through the Inner Heliosphere: Insights from Parker Solar Probe" Atmosphere 12, no. 3: 321. https://doi.org/10.3390/atmos12030321
APA StyleStumpo, M., Quattrociocchi, V., Benella, S., Alberti, T., & Consolini, G. (2021). Self-Organization through the Inner Heliosphere: Insights from Parker Solar Probe. Atmosphere, 12(3), 321. https://doi.org/10.3390/atmos12030321

