Next Article in Journal
Observation, Simulation and Predictability of Fog: Review and Perspectives
Previous Article in Journal
Quantifying the Northward Spread of Ticks (Ixodida) as Climate Warms in Northern Russia
 
 
Font Type:
Arial Georgia Verdana
Font Size:
Aa Aa Aa
Line Spacing:
Column Width:
Background:
Article

An Investigation of the Quantitative Correlation between Urban Spatial Morphology Indicators and Block Wind Environment

School of Architecture and Urban Planning, Huazhong University of Science and Technology, Wuhan 430074, China
*
Author to whom correspondence should be addressed.
Both authors contributed equally to this work.
Atmosphere 2021, 12(2), 234; https://doi.org/10.3390/atmos12020234
Submission received: 23 November 2020 / Revised: 27 January 2021 / Accepted: 4 February 2021 / Published: 8 February 2021
(This article belongs to the Section Meteorology)

Abstract

The research purpose of this work is guiding the spatial morphological design of blocks via relevant indicators to realize suitable wind environments. In doing so, it is necessary to find the most suitable indicator types and value ranges for each urban spatial morphology. At present, most of the relevant research has been based on the numerical simulation of ideal block shapes and rarely proposes results based on actual block types, which often tend to be complex environments. Therefore, this paper firstly presents a theoretical speculation on the main factors influencing indicator effectiveness via analyzing physical significance and formulating principles for each indicator. These speculations are verified via wind environment measurement and statistical analysis, indicating that porosity (P0) can be used as an important indicator to guide the design of block wind environments in the case of deep street canyons, while frontal area density (λF) can be used as a supplement in shallow street canyons with no height differences. Finally, computational fluid dynamics (CFD) is used to quantify the impact of block height difference and street canyon depth on λF and P0, thereby finding suitable types of urban form and value ranges for λF and P0. This paper provides a feasible wind environment index system for urban designers.

1. Introduction

Urban microclimates are affected by many factors, meaning that they represent an interdisciplinary field; however, the perspectives and contributions of different disciplines are often different. In terms of architecture and urban planning, one of the main research objectives is to find the describable laws between urban morphologies and urban microclimates in order to optimize urban microclimates through effective urban spatial morphology control. Therefore, the parameter pertaining to the urban spatial morphology is an important correlation factor between the urban form and urban microclimate. Through the relevant indicators, it could guide the spatial morphological design of blocks to realize suitable wind environments. Japanese meteorologist Lettau used the concept of “roughness” in 1969 to calculate the impact of underlying urban surfaces on wind environments. Many urban spatial morphology indicators for studying various elements of urban microclimates have been proposed. These indicators can be divided into two categories: One is the “original indicators” of urban planning and architecture, such as the building density, floor area ratio, line sticking rate, etc. Another includes “derived indicators” that have been introduced and developed from meteorology and aerodynamics, among others, such as rugosity, porosity, sky-view factor, etc.
In terms of the research on the correlation between urban morphologies and urban microclimates, urban spatial morphologies can be expressed through multiple dimensions. Some indicators are comprehensive and detailed, while others choose to only express key dimensions. By searching important databases around the world, 48 urban spatial morphology indicators (including 15 native indicators and 33 derived indicators) are considered here. These indicators have been divided into three categories according to their different dimensions, including (1) one-dimensional indicators, which only represent the morphological characteristics of urban canopies in the vertical direction, (2) two-dimensional indicators, representing the morphological characteristics of urban canopies on the plane or elevation (windward), (3) and three-dimensional indicators, which comprehensively represent the spatial volume characteristics of urban canopies. The indicators of each category are sorted according to their sequence of occurrence (Table 1).
Due to the different theoretical starting points and limitations of respective disciplines, the two kinds of indicators detailed here have their own advantages and disadvantages in terms of research and application. The original indicators of architecture and urban planning can be more easily connected with design methods, policies and regulations; however, their response to microclimate change is not sensitive enough, and the effects of guiding climate adaptation urban design are still questionable. On the other hand, derived indicators can often better describe the thermal and dynamical characteristics of urban canopies; however, according to the existing research results, there is no derived indicator that can effectively solve all the entailing problems. Regarding block wind environment representations, different indicators have different block shape types and special value ranges for which they are most applicable. Therefore, it is not possible to draw a general conclusion for the research purpose of guiding the wind environment design of blocks by controlling indicators, and the most appropriate indicators should be found according to different situations.
Under this background, the existing research usually adopts a numerical simulation research method. This means to (1) carry out classified discussion for different types of blocks and set different series of working conditions by changing the spatial morphologies of blocks. Next, (2) the statistics for the numerical changes of urban spatial morphology indicators are evaluated, as well as the changes in terms of the wind environments within blocks. Finally, (3) a correlation model for the numerical change of the two datasets is constructed in order to analyze and compare the applicability of each indicator under different circumstances and elucidate the most applicable block shape types and value ranges for each indicator.
The biggest challenges with this approach are the following: In order to realize the effective representation of all block spatial morphology changes, it is necessary to combine qualitative descriptions with quantitative parameterized descriptions. The variables involved in this include the differences between block types (such as their geographical environment, urban location, construction intensity, and architectural form), and, under each type, the parameter changes of block morphology in each dimension (such as horizontal, vertical, and windward). The large number of working conditions formed by the various permutations and combinations of these variables leads to difficulties in research. Therefore, most of the existing research results are based on specific block types (such as slab residential communities) with an ideal block morphology (i.e., all buildings have the same height, plane, and spacing).
Considering the limitation of the current computing power of computers, while an effective method for block space classification has not been proposed yet, this paper adopts a new idea. While most derivative indicators are calculated by thermodynamic and kinetic formulae with physical meaning, this paper attempts to clarify their physical meanings and formulate principles, and analyze their congenital defects when applied to the study of block wind environments. This is carried out to produce theoretical speculations regarding the main factors affecting the effectiveness of each indicator and to reduce huge investigation workload. On this basis, eight residential districts (including 19 measuring points in total) in Wuhan, China, are selected for on-site wind environment measurement in order to verify the previous theoretical predictions. Numerical simulation with computational fluid dynamics (CFD) is used to quantify the applicability of each indicator.

2. Review

When the derived indicators from other disciplines are introduced and used to represent urban spatial morphologies, many parameters in the calculation formula typically cannot be directly obtained from a real city, meaning that a hypothetical city model needs to be established as a transformation medium. However, once the scale of the model reaches the city-block-scale or beyond, there are inevitable challenges. For example, how can we give consideration to the complexity and diversity of the simulated objects (i.e., real urban spatial morphologies) while maintaining the simplicity and readability of the model?
To solve this problem, a hypothetical city model based on the derived indicators can be divided into two categories in terms of the solution perspectives. One perspective is to establish a geometrical model, thereby simplifying the real city with a uniform and regular arrangement of cubes. In related research, these models are expressed as “simple averaged building models” or “canyon models”. Another perspective is to build a topology model and homogenize small differences by “reducing the resolution”. In this way, the basic texture of the real city can be retained while the expression difficulty is reduced.
According to the literature, it was found that most of the derived indicators are closely related to each other from a theoretical perspective. Therefore, although these indicators have been proposed by scholars with different backgrounds and span more than half a century, they are still feasible for discussion together (Figure 1). Combining the current research hotspot of block morphologies and block ventilation, six derived indicators of urban spatial morphologies are considered here, including the sky-view factor (Ψs), plan area density (λP), frontal area density (λF), porosity (P0), rugosity (Rα), and sinuosity (Sθ) [28].

2.1. The Theory of Geometrical City Models

With the intrinsic unrepeatability of real urban morphologies, conclusions based on field measurements often come with limitations. To find general conclusions and reduce the amount of calculation at the same time, simple building-averaged models have been proposed. These models arrange all buildings in a regular order, where the buildings have the same sizes and spacings. One of the most important examples is the “canyon model” proposed by Oke in the 1970s, which considers a city street bound by two building facades that extend indefinitely. Based on this street canyon geometry, various simplified urban models (common examples include point-type, bar-type, and staggered-type models) have been proposed to study radiant heat transfer and street canyon wind environments in cities (Johnson, 1991; Mills, 1993; Arnfield, 1998) [29,30,31].
In mesoscale (city-block-scale) studies, the theoretical basis of averaged methods is that the evaluation objects should be the overall heat flux, turbulent kinetic energy, and wind field in the urban canopy, and that the independent morphologies and influences of each building should not be taken into account. The research by Spanish environmentalist Martilli partly supports the feasibility of this theory [32]. In this paper, five urban block segments (from London, Berlin, Salt Lake City, Los Angeles, and Toulouse) with huge differences in texture are selected as experimental subjects. The results show that the simplified model is able to reproduce a real city in terms of thermal performance by extracting various morphological parameters in real cities.
Based on the simplified geometric model, many urban spatial morphology indicators have been proposed and applied, including the plan area density (λP), frontal area density (λF), packing densities (λp, λf), and sky-view factor (Ψs).
Relevant works have adopted point, bar, orderly, and staggered models to cross-verify the effectiveness of calculations; however, mainstream simplified geometric models are based on the premise that all buildings are of the same height. Therefore, calculation formulae for this kind of derived indicator cannot reflect random changes in the heights of urban canopies, so it is difficult to accurately reflect the entailing impact on the wind environment. Martilli (2002) [33] pointed out that λF should be used with caution when applied to highly variable blocks.
Conjecture 1: SVF, λP, and λF may only work if there is little change in height between buildings, and the degree of variation in the vertical direction of an urban canopy may be the main factor that affects the effectiveness with these indicators.

2.2. The Theory of Topological City Model

Different from the research concept of simplifying urban morphologies, topological changes in real complex urban spatial morphologies are considered from a completely different perspective. Adolphe (2001a, b) [7,8], the most representative researcher, studied how to use simple topological indicators to directly represent real complex urban forms by borrowing from the theory of fluid propagation in porous media.
Adolphe’s theory was based on the study of sound absorbing materials by the Dutch physics professors Zwikker (1949) [34]. Zwikker studied five types of sound-absorbing materials: high-elastic impermeable materials, rigid skeleton porous materials, elastic skeleton porous materials (with open surface), elastic skeleton porous materials (with coated surface), and porous materials with an air layer. Among them, the rigid skeleton porous material was creatively referenced by Adolphe due to its geometrical and physical characteristics, which are similar to an urban canopy. In addition, in the physical experiment on the internal airflow of rigid porous materials, Zwikker proposed the indicators of porosity and sinuosity to evaluate the impact of pore volume and shape on airflow, which has great significance for the study of wind environments inside urban canopies. Inspired by this, Adolphe re-described the urban canopy from a three-dimensional perspective, changing its topology into a porous medium with a rigid skeleton. Based on this, a variety of urban spatial morphology indicators have been proposed, including relative rugosity (Rα), porosity (P0), and sinuosity (Sθ).
In summary, since these derived indicators are limited to the evaluation of the internal pore airflow in porous media (i.e., street valley wind), this means that the assumption of changing the topology of the urban canopy to a rigid porous medium is based on the distinction between two different wind environments, meaning that wind environments above urban canopies and those within them need to be discussed separately. This is likely to limit the scope of application of these indicators. It is not difficult to deduce that the above indicators will be more accurate for deep street canyons and may fail for shallow street canyons. This is because there will be a large and complex air exchange between the upper- and inner-city canopies, and this exchange cannot be discussed separately.
Conjecture 2: P0, Rα, and Sθ may only be applicable to the conditions relevant to deep street canyons, and the depths of street canyons in blocks (i.e., the ratio of height to width of street canyons, H/W) may be the main factor affecting the effectiveness of these indicators.

3. Materials and Methods

3.1. Wind Environment Data Collection Based on Real Urban Morphology

3.1.1. Site Selection

The above theoretical conjecture was verified by measured data. In the selection of the measured objects, the following principles were followed:
  • Within 1 km of the measuring point, and there is a large area with no occlusion that can be used as a reference point;
  • Each measuring point has the same land use (block function), similar surrounding terrain, and population density, so as to reduce the influence of background factors;
  • The selected objects should cover as many changes as possible in the block form (architectural layout, density, and height);
  • The selected block forms include deep street canyons and shallow street canyons, with both no elevation difference and with obvious elevation difference, which is convenient for further comparative analysis.
Based on this, this paper considered residential areas in Wuhan, China, as research objects. Reference points were selected in Hankou District, Hanyang District, and Wuchang District, respectively. Centers of circular areas were considered for measuring objects within a range of 1 km. A total of 8 residential areas were selected. The types of residential areas included point-type, slab-type, mixed-type, and enclosed-type areas, and the floor area ratio, building density, and building height values were also different (Figure 2a–c).

3.1.2. Wind Environment Survey

Measurement was conducted on a clear and cloudless day in November 2019 for a total of 9 test days. The measurement time for each test day was 12:00–17:30. PC-8 Environmental Monitor were used for measurement, where the instruments could simultaneously record the air temperature, relative humidity, wind velocity, wind direction, solar radiation, and other microclimatic factors. The data is accurate to three decimal places. Separate devices were mounted on 1.5-m-high tripods and set to record data once per 1 min.
Two to three measuring points were arranged in each residential area according to the actual situation (total of 19 measuring points in 8 residential areas). The measurement points were chosen to cover primary open outdoor spaces, areas close to the geometric center of the space, and the areas least affected by trees and building canopy (Figure 3).

3.1.3. Calculation of Indicators and Wind Velocity Ratio

For the calculations of the indicators in the wind environment survey, Ng [35] recommended a circular calculation range for urban spatial morphology indicators in high density areas. The center point of the calculation range is the measuring point, while the radius of the range is the height of the highest building near the center point. In this paper, considering the building height and layout of each selection area, the radius for calculation was determined to be 100 m (Figure 4). After that, according to the calculation formulae for Ψs, λP, λF, P0, Rα, and Sθ, taking 19 measuring points for circle centers, the numerical values for various urban spatial morphology indicators within a radius of 100 m were calculated.
For the wind velocity ratio (WVR), measurements were recorded at each measurement point for two consecutive days during 12:00–17:30 every day without interruption, where data were recorded once every minute. In total, 660 sets of data were collected at each measuring point, and a total of 250,080 sets of data were collected at 19 measuring points and 3 reference points. After that, the values of the measuring points and reference points were used for calculating WVR. The WVRs for each measurement and reference point were taken as 2-day averages to reduce accidental errors.

3.2. Simulation Using the CFD Technique

With the dramatic improvement of computing accuracy, computational fluid dynamics (CFD) has become one of the main tools for analyzing wind fields [36]. CFD is currently widely used in building design, urban wind field analysis, air pollution analysis, and other related research [37,38]. It can simultaneously perform comparative analysis among different scenarios, and the simulation results can reflect the entire wind field in a given space, which is impossible to achieve by actual measurement and wind tunnel experiments [37]. In this paper, the simulation procedure started with using the Rhinoceros (version 6.19) software package to create the building geometry, then using ICEM-CFD (version 19.0) for meshing while using an unstructured grid. After that, ANSYS Fluent (version 17.1) was used for simulation.

3.2.1. Domain Size and Boundary Conditions

The general block is a non-isolated situation. To simulate the influence of the environment on the ventilation of the real block, a theoretical nine-square grid model representing the geometric background of the city was designed: a 300 × 300 m urban block model was placed in the center and surrounded by the same block geometry, while the middle block was taken as the discussion area. To obtain more accurate results, Tominaga recommended the computational domain size for a three-dimensional model [39]. Accordingly, the block boundary was located 5 H (H is the height of the tallest building in the block) from the air inlet boundary and the symmetry boundary of the calculation domain. The block boundary was about 15 H from the air outlet boundary and the height of the calculation domain was about 6 H. According to the above requirements, the domain sizes were 1950 m, 1500 m, and 300 m in the longitudinal (x), lateral (y), and vertical (z) directions, respectively, including all buildings and surrounding areas (Figure 5).
For the inflow boundary conditions, the inlet profiles followed the recommendation presented by Richards and Hoxey [40]. The wind direction was set to a southern direction and the reference height wind speed was 2.0 m/s. A zero static gauge pressure condition was defined as the outflow boundary condition. At the top and lateral boundaries of the computational domain, the symmetry boundary conditions were applied to avoid the wall effect. Non-slip wall boundary conditions were set on the ground surfaces and all building surfaces.

3.2.2. Solution Methods and Convergence Condition

Fluent is a software package based on finite volume technology, which divides a calculation area into small control volumes to iteratively solve conservation of momentum, mass, and energy equations. In this paper, we chose ANSYS Fluent as a simulation tool.
For the choice of the turbulence model, Cheng et al. compared standard Reynolds-averaged Navier–Stokes (RANS) equations and Large Eddy Simulation (LES), which are the most popular turbulence models for urban ventilation simulation [41]. Compared with LES, the RANS approach is more commonly used in urban ventilation assessment because of its good results and high computational efficiency with generic urban configurations [39,42,43,44,45,46]. In addition, a series of papers demonstrate the applicability of standard k-ε model for urban ventilation simulation [43,44,45,46]. Therefore, the standard k-ε model was chosen to solve the problem, while the governing equations that were used were those suggested by Cheng et al. [41]. The equations are described as follows, while Table 2 shows the model constants in the simulation method.
ρ u . u = . ρ I   +   µ   +   µ T u   +   u T 2 3 µ   +   µ T . u I   2 3 ρ k I + F
. ρ u = 0
ρ u . k   = . µ +   µ T σ k k + P k   ρ ε
ρ u . ε   = . µ   +   µ T σ ε ε +   C e 1 ε k P k   C e 2 ρ ε 2 k
µ T =   ρ c µ k 2 ε
P k =  µ T u :   u   +   u T 2 3 u 2 2 3 ρ k . u
µ the fluid’s dynamic viscosity (SI unit: kg/(m·s))
µT turbulent viscosity (SI unit: kg/(m·s))
u the velocity field (SI unit: m/s)
ρ the density of the fluid (SI unit: kg/m3)
P the pressure (SI unit: Pa)
k turbulent kinetic energy (SI unit: m2/s2)
ε turbulent dissipation rate (SI unit: m2/s3)
What is more, Franke et al. [51] presented practice guidelines for CFD simulation for flows in urban environments within the COST Action 732 framework, thus presenting guidelines for later studies about urban wind CFD simulations. In this paper, we followed the recommendation of the guidelines. Initializing RANS simulations with uniform velocity, turbulent flow energy, and energy dissipation rate fields typically requires 1500 iterations to reach convergence. Calculations were conducted until the desired level of convergence was reached, i.e., the constant residuals of all equations were 10−4 or less [51,52]. The calculation conditions of Fluent are shown in Table 3.

3.2.3. Grid Size and Independence

A grid sensitivity analysis was conducted to ensure the grid independence of the CFD simulation results. Franke et al. [53] suggested that at least 10 cells should be used on each side of the building when the grid is divided, and at least 3 cells should be used at a height of 1.5–2 m above the ground. Thus, four grids were made by increasing the resolution from Grid A (about 3,610,000 cells), Grid B (about 5,270,000 cells), Grid C (about 8,220,000 cells) to Grid D (about 11,970,000 cells) (Figure 6a–d). The increasing ratio of gird resolution is about a factor 1.5, which was suggested by Celik et al., that the grid refinement factor should be greater than 1.3 [54]. The results of these four grids were compared on the WVR (U/Uref) of the centerline in the center block (Figure 6e). It is notable that U is the wind velocity at 1.5 m, and that Uref = 2 m/s is the reference height wind velocity. Figure 5e indicates a large difference between Grid A, B, and C, but a relatively small difference between Grid C and D. Considering the computational efficiency, the grid resolution of Grid C was used for the remaining cases: the grid size in the discussion area was selected as 1m, while the number of volume grids of each model is larger than 8,000,000.

3.2.4. Validation of the CFD Simulation

In this paper, the CEDVAL (Compilation of Experimental Data for Validation of Microscale Dispersion Models) database is selected for the model evaluation. The CEDVAL experiments were carried out at Hamburg University, which include mean wind field and turbulence for single buildings and clusters of buildings. This database is widely used for the development and evaluation of microscale numerical models [55,56,57,58].
The B1-1 wind tunnel experiments in CEDVAL were chosen for evaluating the performance of the CFD simulation, which is similar to the working conditions of our study. The atmospheric boundary layer was modeled at a scale of 1:200, while 2D flow measurements were carried out in 4 vertical and 1 horizontal measurement plane in the B1-1. Figure 7a shows the experimental layout of the B1-1. The model configurations were set to match those in the wind tunnel experiment, while the CFD calculation conditions are the same as that in Section 3.2.2. After that, we thoroughly validated our CFD results with wind tunnel results. The streamwise wind velocity ratio of point I, point II, point III are compared in Figure 7b–d. As can be seen, the CFD simulation results has good agreement with experimental results. The Root Mean Square Error (RMSE) of CFD and wind tunnel results in point I, point II and point III are 0.0932, 0.0917, and 0.1037, respectively, the correlation coefficient of which are 0.9660, 0.9682, and 0.9902, respectively, which indicate that the standard k-ε model can predict the velocity profiles generally well. Therefore, the model and calculation conditions shown in Section 3.2.2 were used for the remaining cases.

3.2.5. Calculation of Indicators and Wind Velocity Ratio

To simulate the influence of the environment on the ventilation of the real block, an idealized model consisting of nine basic blocks in the plot area is considered, where the 300 × 300 m urban block model is placed in the center and surrounded by the same block geometry. As shown in Figure 8, the center block model is the area where the urban spatial morphology indicators are calculated, while the wind velocity in the street of center block was used for calculating WVR (U/Uref). Note that U is the wind velocity at 1.5 m, and that Uref = 2 m/s is the reference height wind velocity.

4. Results and Discussion

4.1. Measurements Results

According to the wind environment data collection based on real urban morphologies, 660 sets of data were collected at each measuring point, and a total of 250,080 sets of data were collected at 19 measuring points and 3 reference points. The WVRs at 1.5 m height for each measuring point and reference point were taken as a 2-day averages to reduce accidental errors. The statistical results for average wind velocity and average wind velocity ratio (WVR) at each measuring point and corresponding reference point are shown in Figure 9.

4.1.1. Analysis on the Effectiveness of Urban Spatial Morphology Indicators

According to the calculation formulae for the SVF, λP, λF, P0, Rα, and Sθ, the values of various urban spatial morphology indicators around the 19 measurement points were respectively calculated. On this basis, the correlations between the WVR and urban spatial morphology indicators were analyzed with different blocks (19 samples were provided from 19 measurement points). The analysis results are shown in Table 4. From this, we can find that, with a complex and changeable realistic urban morphology, the correlations between various urban spatial morphology indicators and pedestrian height WVRs are very low; however, Sθ and P0 present a weak correlation, while the other indicators all have no correlation with the WVR.
According to statistical theory, while the absolute value of correlation coefficient R is within the approximate range of 0.8–1.0, it is believed that the two have a strong correlation; between 0.5 and 0.8, it can be regarded as moderate correlation; between 0.3 and 0.5, it can be regarded as weak correlation; and, when below 0.3, no correlation can be considered.

4.1.2. Influence of Building Height Difference on Indicator Effectiveness

Based on the assumptions detailed above, SVF, λP, and λF, which are based on a geometric simplified model, may not be suitable for blocks with high height variations. Therefore, in this series, the statistical results containing all 19 samples were set as a benchmark group. Among them, 13 samples with no elevation difference between buildings and 6 samples with elevation difference above 10 m were set as 2 control groups, respectively. This was carried out in order to compare the correlation between WVR and SVF, λP, and λF under different conditions in order to verify whether large height differences for buildings within the same block are the main factor affecting the effectiveness of this group of indicators.
It can be seen from Figure 10 that the correlation between SVF and WVR did not improved by excluding samples with a height difference (the correlation coefficient dropped from 0.2356 to 0.1328). This does not conform with the above conjecture, indicating that there are other factors affecting its effectiveness.
Figure 11 shows that the correlation between λP and WVR improved (the correlation coefficient improved from −0.1601 to −0.3930) after excluding samples with a height difference, but the correlation was still weak. This suggests that the effectiveness of λP could be affected by building height differences, but the most suitable type of block has not been identified.
As can be seen from Figure 12, the correlation between λF and WVR increased by 196.45% (from −0.2395 to −0.0.7100) after excluding samples with a height difference, which can be considered as a moderate correlation. In the groups with a height difference, however, the correlation decreased significantly (correlation coefficient of −0.1983). This suggests that height changes within a block represent one of the main factors affecting the effectiveness of λF, and under the condition that the building height in the block is basically the same, λF can be regarded as an important control indicator.

4.1.3. Influence of the Depth of Street Canyons on Indicator Effectiveness

According to the previous conjectures, for P0, Rα, and Sθ, these three indicators are limited to the evaluation of internal air flow in porous media and thus may not be applicable in shallow street canyons. Accordingly, in this series, the correlation statistical results containing all 19 sample measurement points were set as the benchmark group and were divided into two control groups according to the street canyon depths. Among them, there were 13 samples in the deep street canyon group (all street canyons with an aspect ratio greater than 1.2) and 6 samples in the shallow street canyon group (all street canyons with an aspect ratio less than 0.9). By comparing the changes in the correlation between WVR and P0, Rα, and Sθ under different conditions, it was verified whether the street canyon depth was the main factor affecting the effectiveness of this group of indicators.
As can be seen from Figure 13, the correlation between Rα and WVR was not improved by excluding samples with shallow canyons (the correlation coefficient decreased from −0.0547 to −0.0464). This does not follow the above conjecture, indicating that there are other factors affecting the effectiveness.
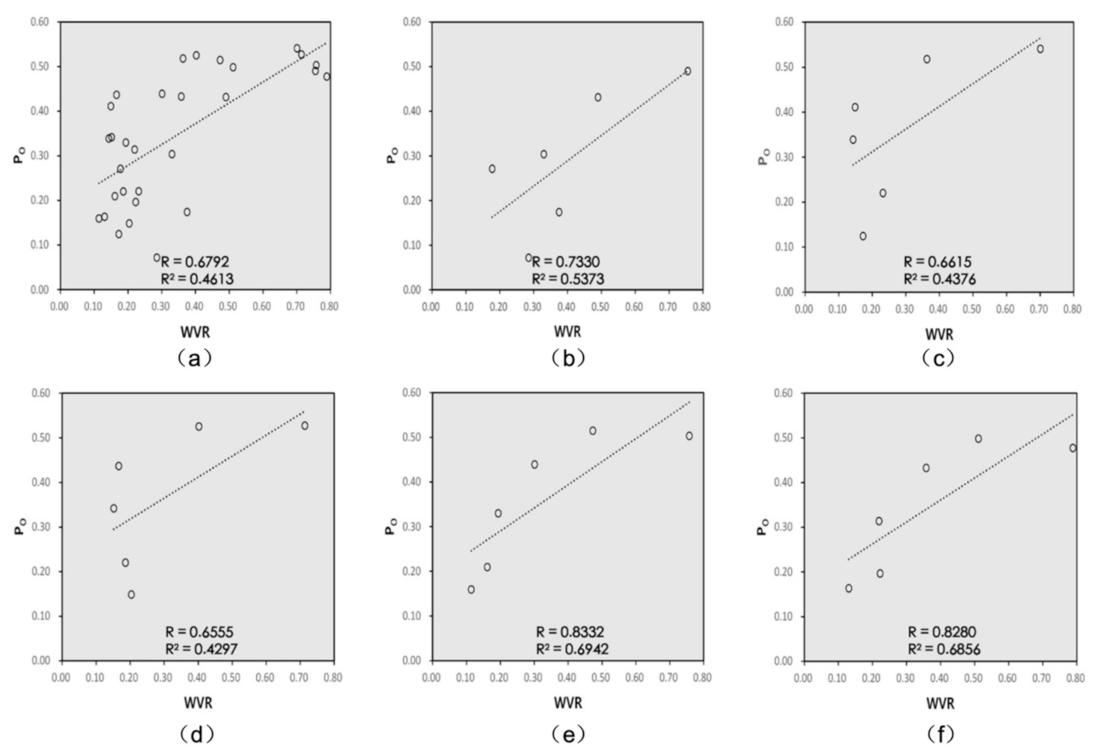
According to Figure 14, the correlation between P0 and WVR increased by 108.96% (the correlation coefficient increased from 0.4373 to 0.9138) after excluding samples with shallow street canyons, which could be considered as high correlation. On the other hand, in the shallow street canyon group, the correlation decreased significantly (correlation coefficient: 0.0925). This indicates that the street canyon depth is the most important factor in terms of affecting the effectiveness of P0. In addition, in the case of deep street canyons, P0 can effectively predict wind environments within blocks.
According to Figure 15, the correlation between Sθ and WVR presented a weak correlation with little change in the benchmark group and the two control groups (correlation coefficients of 0.5414, 0.5810, and 0.4518, respectively). The correlation did not conform with the above conjecture, indicating that there are other factors affecting its effectiveness.

4.2. CFD Simulation Results

Simplified hypothetical block models for the assessment of block wind environment have been widely used in research, since these models can eliminate the restrictions of specific locations, increasing the variability of analysis. Through theoretical prediction and practical verification (see Section 4.1), we have found that λF is not suitable for blocks with large height differences, while P0 cannot be applied to shallow canyons. Therefore, two problems were quantified through numerical simulation: (1) What difference in height would make λF ineffective? (2) How shallow canyon depth makes P0 ineffective? This paper used a similar modeling method in the wind environment simulation, selecting six building types, namely, scatter, courtyard, slab, staggered, strip, and scatter with strip buildings (Figure 16), representing the typical building layouts for blocks in contemporary cities. Standard deviations of building height variations were used to describe the change of building heights in the blocks and street canyon aspect ratios were used to describe the depths of the street canyons in the blocks. As shown in Figure 17a,b, we explored the predictability of λF on the wind environment by changing the height difference of the buildings in the block (the height differences were 0, 5, 10, 15, and 20 m), and explored the predictability of P0 on the wind environment by changing the aspect ratios of the buildings in the block (the aspect ratios were 0.4, 1, 1.6, 2.2, and 2.8).
To study the influence of height differences and aspect ratios on the predictive accuracy of morphological indicators λF and P0, this paper used a k-ε turbulence model to conduct CFD simulation for the wind environments around the buildings. The boundary and calculation conditions shown in Section 3.2 were used for the cases. Figure 18a,b respectively show the comparative analysis of the wind environment at 1.5 m with different height differences and different aspect ratios for six typical building layouts in blocks. According to the calculation formulae for λF and P0, values for each urban spatial morphology index were calculated. Based on the calculation results, Pearson correlation was used to calculate the correlation between λF and WVR under different height differences and the correlation between P0 and WVR under different aspect ratios. The results are given as follows.

4.2.1. Influence of Height Differences on λF

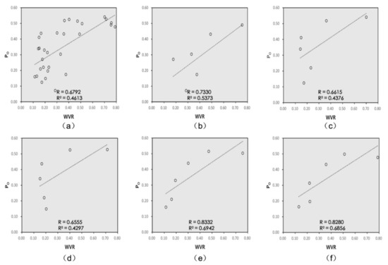
Figure 19a shows the correlation between λF and WVR under different height differences. λF and WVR have a strong and negative correlation (correlation coefficient: R = −0.8594). This shows that λF performs well under the condition of ideal block simulation.
Figure 19b–f shows the correlation between λF and WVR when the standard deviations of building height variation were 0, 5, 10, 15, and 20 m. When discussing different height differences, the correlations at 0, 5, 10, and 15 m are improved (|R| > 0.89), which shows strong correlation, while λF had the highest correlation with WVR (|R| = 0.9350) when there was no height difference; however, when the height difference was 20 m, the correlation decreased (|R| = 0.7632), showing a moderate correlation. The simulation results show that the change of the height difference in a block can affect the predictability of λF for a given wind environment. When there was no height difference, λF had the best performance, and λF could accurately predict the wind environment of a block when the standard deviation of the building height variation was less than 15 m; however, λF could not accurately produce predictions when the standard deviation was greater than 20 m. In general, the correlation between λF and WVR decreased as the building height difference within a block increased.

4.2.2. Influence of Street Canyon Depth on P0

Figure 20a shows the correlation between P0 and WVR for different street canyon depths. The correlation between P0 and WVR was moderately positive (correlation coefficient: R = 0.6829), which shows that P0 cannot accurately predict the wind environment of blocks with different street canyon depths.
Figure 20b–f shows the correlation between P0 and WVR with street canyon aspect ratios of 0.4, 1.0, 1.6, 2.2, and 2.8, respectively. When the aspect ratios were 2.2 and 2.8, the correlation between P0 and WVR greatly improved (|R| > 0.8), showing a strong correlation. For the aspect ratios of 0.4, 1.0, 1.6, the correlation decreased (|R| < 0.7), showing moderate correlation. The simulation results show that the street canyon depths in the block will affect the predictability of P0 in terms of the wind environment. The wind environment of the block could be accurately predicted by P0 when the street canyon aspect ratio was greater than 2.2, while it could not be predicted accurately when the aspect ratio was less than 1.6. In general, the shallower the canyon in a block is, the lower the correlation between P0 and WVR will be.

4.3. Discussion

The experimental results show that the correlations between the six urban spatial morphology indicators (SVF, λP, λF, P0, Rα, and Sθ) and WVR at the pedestrian height were very low with the complex and changeable realistic block morphology. This indicates that the above indicators perform well in some simulation studies, specifically under extremely special conditions (i.e., a specific block type with an ideal block morphology). These indicators cannot be effectively applied to actual urban design and planning management until the most applicable block morphology types and value ranges of each indicator have been elucidated in detail.
Through theoretical prediction and practical verification, λP and λF were found to not be suitable for blocks with large height differences, while P0 was not applicable to shallow canyons. The significance of this finding is that the main factor affecting the effectiveness of the above indicators may not be differences in building shapes (i.e., point-type, slab-type, enclosed-type, etc.) and construction intensity (i.e., floor area ratio, building density, etc.), which have been paid more attention in past classification discussions. The calculation formulae of some of the derived indicators are not affected by these factors in their physical meanings. Therefore, this indicates that the classification method for urban spatial morphology that the architectural perspective takes for granted may lead to deviation from problem in question.
Within the range of this measurement, the correlation coefficient between λF and WVR was significantly improved here from −0.2395 to −0.7100 by excluding samples with height differences and by excluding shallow street canyon samples, where the correlation coefficient between P0 and WVR was significantly improved from 0.4373 to 0.9138. In the case of deep street canyons, this indicates that P0 can be used as an important control indicator to guide the design of the block wind environment, and if the environment is a shallow canyon and the buildings do not have significant height differences, λF can be used as a supplementary indicator.
CFD analysis with a three-dimensional k-ε turbulence model was used to solve the RANS equations. This method was used to investigate the influence of the building height difference and street canyon depth on λF and P0 with the typical building layouts. The results of the CFD simulation and correlation analysis show that when the standard deviation of the building height is less than 15 m, λF has a strong correlation with WVR (|r| > 0.8); when the standard deviation is greater than 20 m, λF starts to become inaccurate. When the aspect ratio is greater than 2.2, P0 has a strong correlation with WVR (|r| > 0.8); when the aspect ratio is less than 1.6, P0 starts to become inaccurate. These changes may be caused by the defects of the index formulae themselves. The calculation formula of λF cannot reflect the random change of the urban canopy height, so it is difficult to accurately reflect the resulting impact on the wind environment. In addition, the principle of P0 is to change the urban canopy topology into a rigid porous medium, which means that the wind environment above the urban canopy and that within it need to be discussed separately. Therefore, compared to the deep street canyons, shallow canyons more likely lead to the inaccurate prediction of P0 as they may contain a greater amount of complicated air exchanges between the wind environment inside and above the urban canopy, while deep street canyons may be less affected.

5. Conclusions

For urban design and planning, the rational use of spatial morphology indicators is of great significance for characterizing block wind environments; however, within the complex and changeable reality of the block morphologies, the accuracies of these indicators will be biased. The innovative contribution of this paper is providing two theoretical predictions based on the physical meaning and formulation principles of urban spatial morphology indicators. Specifically, (1) urban spatial morphology indicators based on geometrical city model theory will be affected by building height differences in blocks, and (2) urban spatial morphology indicators based on topological city model theory will be affected by the depths of the street canyons in blocks. In this work, wind environment measurement and CFD simulation were used to verify and quantify the hypotheses. The conclusions of this paper can be summarized as follows:
  • Within the complex and changeable reality of block morphologies, the six spatial morphology indicators (SVF, λP, λF, P0, Rα, and Sθ), which are the current research hotspots for block morphology and block ventilation, have very low correlation with WVR. Although Sθ and P0 present a weak correlation, the other indicators all have no correlation with WVR; however, the building height difference and street canyon depth are the main factors that could affect the correlation of λF and P0 with the WVR.
  • By excluding the measurement samples with height differences, the correlation coefficient between λF and WVR was significantly improved (|r| = 0.7100), while by excluding the measurement samples with shallow street canyons, the correlation coefficient between P0 and WVR was significantly improved (|r| = 0.9138). The results show that in the case of deep street canyons, P0 can be used as an important control indicator to guide the design of a block wind environment. If the environment features a shallow canyon or the buildings do not feature significant height differences, λF can be used as a supplementary indicator.
  • According to CFD simulation and correlation analysis, λF and P0 gradually become inaccurate when the standard deviation of building height in a block increases and the aspect ratio decreases, respectively. When the standard deviation of the building height in a block is less than 15 m, λF can accurately predict the pedestrian-level wind environment. When the aspect ratio of a block is greater than 2.2, P0 can accurately predict the pedestrian-level wind environment; however, when the standard deviation is greater than 20 m, λF begins to lose accuracy. When the aspect ratio is less than 1.6, P0 begins to lose accuracy. In high density urban areas where the ventilation urgently requires improvement, P0 and λF are basically within appropriate value ranges.
There is no denying that other factors will also influence the effectiveness of the indicators mentioned here. More extensive screening will continue to improve the correlation; however, as the other factors are not the main influencing factors, the space for improvement is limited and the resulting large number of working condition settings will lead to research difficulties.

Author Contributions

Conceptualization, D.W. and X.H.; Data curation, D.W.; Formal analysis, D.W.; Funding acquisition, B.L. and H.C.; Investigation, D.W. and X.H.; Methodology, D.W. and Y.C.; Project administration, B.L. and H.C.; Resources, B.L. and H.C.; Software, D.W. and Y.C.; Supervision, X.H.; Validation, X.H.; Visualization, D.W.; Writing—original draft, D.W.; Writing—review & editing, D.W. and X.H. All authors have read and agreed to the published version of the manuscript.

Funding

This paper was supported by projects of the National Natural Science Foundation of China Project (No. 51538004) (No. 51778251) (No. 52078229), and the Fundamental Research Funds for the Central Universities, HUST (No. 2019kfyXKJC030).

Data Availability Statement

The data applied in this study are available on request from the first and the corresponding author.

Conflicts of Interest

The authors declare no conflict of interest.

References

  1. Lettau, H. Note on Aerodynamic Roughness-Parameter Estimation on the Basis of Roughness-Element Description. J. Appl. Meteorol. 1969, 8, 828–832. [Google Scholar] [CrossRef]
  2. Pasquill, F. Prediction of Diffusion Over an Urban Area, Current Practice and Future Prospects. In Proceedings of Symposium on Multiple-Source Urban Diffusion Models; US Environmental Protection Agency: Washington, DC, USA, 1970. [Google Scholar]
  3. Shaw, R.H.; Pereira, A.R. Aerodynamic roughness of a plant canopy: A numerical experiment. Agric. Meteorol. 1982, 26, 51–65. [Google Scholar] [CrossRef]
  4. Kondo, J.; Yamazawa, H. Aerodynamic roughness over an inhomogeneous ground surface. Bound.-Layer Meteorol. 1986, 35, 331–348. [Google Scholar] [CrossRef]
  5. Rafailidis, S. Influence of Building Areal Density and Roof Shape on the Wind Characteristics Above a Town. Bound.-Layer Meteorol. 1997, 85, 255–271. [Google Scholar] [CrossRef]
  6. Ratti, C.; Richens, P. Urban Texture Analysis with Image Processing Techniques. Comput. Build. 1969, 8, 828–832. [Google Scholar]
  7. Adolphe, L. A Simplified Model of Urban Morphology: Application to an Analysis of the Environmental Performance of Cities. Environ. Plan. B Plan. Des. 2001, 28, 183–200. [Google Scholar] [CrossRef]
  8. Adolphe, L. Modelling the Link between Built Environment and Urban Climate: Towards Simplified Indicators of the City Environment. In Proceedings of the Seventh International IBPSA Conference, Rio de Janeiro, Brazil, 13–15 August 2001. [Google Scholar]
  9. Zhang, T. Study on Coupling of Wind Environment and Spatial Form in Urban Center; Southeast University: Nanjing, China, 2015. [Google Scholar]
  10. Hicks, B.B.; Hosker, R.P.; Womack, J.D. Comparisons of Wet and Dry Deposition: The First Year of Trial Dry Deposition Monitoring; Presented at the The Chemistry of Acid Rain: Sources of Atmospheric Processes; ACS Publications: Washington, DC, USA, 1987. [Google Scholar]
  11. Oke, T.R. Street Design and Urban Canopy LayerClimate. Energy Build. 1988, 103–113. [Google Scholar] [CrossRef]
  12. Theurer, W. Dispersion of ground-level emissions in complex built-up areas. J. Wind Eng. Ind. Aerodyn. 1993, 44, 2721–2732. [Google Scholar]
  13. Santiago, J.L.; Martilli, A. A Dynamic Urban Canopy Parameterization for Mesoscale Models Based on Computational Fluid Dynamics Reynolds-Averaged Navier–Stokes Microscale Simulations. Bound.-Layer Meteorol. 2010, 137, 417–439. [Google Scholar] [CrossRef]
  14. Ng, E.; Yuan, C.; Chen, L.; Ren, C.; Fung, J.C.H. Improving the wind environment in high-density cities by understanding urban morphology and surface roughness: A study in Hong Kong. Landsc. Urban. Plan. 2011, 101, 59–74. [Google Scholar] [CrossRef]
  15. Yuan, S. Quantitative Analysis on Street Network in Urban Environment; Tianjin University: Tianjin, China, 2011. [Google Scholar]
  16. China’s Ministry of Housing and Urban-Rural Development, MOHURD. Design Standard for Thermal Environment in Urban Residential Areas; MOHURD: Beijing, China, 2013.
  17. Zhou, Y. Exploration on ‘Build-To-Line Ratio’ in Urban Planning Control on Street Interface. City Plan. Rev. 2016, 40, 25–29. [Google Scholar]
  18. Zhang, S.Y.; Chen, Y. Degree of enclosure as outdoor space form parameter study based on the urban microclimate analysis: A case study on office building site design in Shanghai. J. East. China Norm. Univ. 2016, 06, 1–26. [Google Scholar]
  19. Oke, T.R. City Size and the Urban Heat Island. Atmospheric Environ. Pergamon Press 1973, 7, 769–779. [Google Scholar] [CrossRef]
  20. Steyn, D.G. The calculation of view factors from fisheye-lens photographs: Research note. Atmos.-Ocean. 1980, 18, 254–258. [Google Scholar] [CrossRef]
  21. Voogt, J.A.; Oke, T.R. Complete Urban Surface Temperatures. J. Appl. Meteorol. 1997, 36, 16. [Google Scholar] [CrossRef]
  22. Kanda, M.; Kawai, T.; Nakagawa, K. A Simple Theoretical Radiation Scheme for Regular Building Arrays. Layer Meteorol. 2005, 114, 71–90. [Google Scholar] [CrossRef]
  23. Kanda, M.; Kawai, T.; Kanega, M.; Moriwaki, R.; Narita, K.; Hagishima, A. A Simple Energy Balance Model for Regular Building Arrays. Bound.-Layer Meteorol. 2005, 116, 423–443. [Google Scholar] [CrossRef]
  24. Kondo, H.; Genchi, Y.; Kikegawa, Y.; Ohashi, Y.; Yoshikado, H.; Komiyama, H. Development of a Multi-Layer Urban Canopy Model for the Analysis of Energy Consumption in a Big City: Structure of the Urban Canopy Model and its Basic Performance. Bound.-Layer Meteorol. 2005, 116, 395–421. [Google Scholar] [CrossRef]
  25. Shashua-Bar, L.; Hoffman, M.E.; Tzamir, Y. Integrated thermal effects of generic built forms and vegetation on the UCL microclimate. Build. Environ. 2006, 41, 343–354. [Google Scholar] [CrossRef]
  26. Wen, X. Study on Block Space form Design Strategy Research Based on Optimization of Natural Ventilation in Wuhan; Huazhong University of Science and Technology: Wuhan, China, 2012. [Google Scholar]
  27. Deshun, Z.; Zhen, W. Influence of Vault Sector on Summer Square Microclimate and Human Thermal Comfort. Landsc. Archit. 2018, 25, 27–31. [Google Scholar]
  28. Xing, H.; Di, W.; Baofeng, L.; Hong, C. Research on the correlation between urban spatial morphology indicators and block wind environment. New Architecture 2020, 5, 139–143. [Google Scholar]
  29. Johnson, G.T.; Oke, T.R.; Lyons, T.J.; Steyn, D.G.; Watson, I.D.; Voogt, J.A. Simulation of surface urban heat islands under ‘IDEAL’conditions at night part 1: Theory and tests against field data. Bound.-Layer Meteorol. 1991, 56, 275–294. [Google Scholar] [CrossRef]
  30. Mills, G.M. Simulation of the energy budget of an urban canyon—I. Model structure and sensitivity test. Atmos. Environ. Part B Urban. Atmos. 1993, 27, 157–170. [Google Scholar] [CrossRef]
  31. Arnfield, J.; Herbert, J.M.; Johnson, G.T. A numerical simulation investigation of urban canyon energy budget variations. In Proceedings of the 2nd AMS Urban environment Symposium, Albuquerque, New Mexico, 2–7 November 1998; pp. 2–5. [Google Scholar]
  32. Martilli, A. On the Derivation of Input Parameters for Urban Canopy Models from Urban Morphological Datasets. Bound.-Layer Meteorol. 2009, 130, 301–306. [Google Scholar] [CrossRef]
  33. Martilli, A.; Clappier, A.; Rotach, M.W. An Urban Surface Exchange Parameterisation for Mesoscale Models. Bound.-Layer Meteorol. 2002, 104, 261–304. [Google Scholar] [CrossRef]
  34. Cornelis, Z.; Kosten, C.W. Sound Absorbing Materials; Elsevier Publishing Company: New York, NY, USA, 1949. [Google Scholar]
  35. Ng, E. Policies and technical guidelines for urban planning of high-density cities—Air ventilation assessment (AVA) of Hong Kong. Build. Environ. 2009, 44, 1478–1488. [Google Scholar] [CrossRef] [PubMed]
  36. Tominaga, Y.; Stathopoulos, T. CFD simulation of near-field pollutant dispersion in the urban environment: A review of current modeling techniques. Atmos. Environ. 2013, 79, 716–730. [Google Scholar] [CrossRef]
  37. Blocken, B.; Stathopoulos, T.; Saathoff, P.; Wang, X. Numerical evaluation of pollutant dispersion in the built environment: Comparisons between models and experiments. J. Wind Eng. Ind. Aerodyn. 2008, 96, 1817–1831. [Google Scholar] [CrossRef]
  38. Toparlara, Y.; Blockena, B.; Vos, P.; van Heijst, G.J.F.; Janssen, W.D.; van Hooff, T.; Montazeri, H.; Timmermans, H.J.P. CFD simulation and validation of urban microclimate: A case study for Bergpolder Zuid, Rotterdam. Build. Environ. 2015, 83, 79–90. [Google Scholar] [CrossRef]
  39. Tominaga, Y.; Mochida, A.; Murakami, S.; Sawaki, S. Comparison of various revised k–e models and LES applied to flow around a high-rise building model with 1:1:2 shape placed within the surface boundary layer. J. Wind Eng. Ind. Aerodyn. 2008, 96, 23. [Google Scholar] [CrossRef]
  40. Richards, P.J.; Hoxey, R.P. Appropriate boundary conditions for computational wind engineering models using the k-E turbulence model. J. Wind Eng. Ind. Aerodyn. 1993, 46, 145–153. [Google Scholar] [CrossRef]
  41. Cheng, Y.; Lien, F.S.; Yee, E.; Sinclair, R. A comparison of large Eddy simulations with a standard k–ε Reynolds-averaged Navier–Stokes model for the prediction of a fully developed turbulent flow over a matrix of cubes. J. Wind Eng. Ind. Aerodyn. 2003, 91, 1301–1328. [Google Scholar] [CrossRef]
  42. Bady, M.; Kato, S.; Huang, H. Towards the application of indoor ventilation efficiency indices to evaluate the air quality of urban areas. Build. Environ. 2008, 43, 1991–2004. [Google Scholar] [CrossRef]
  43. Peng, Y.; Gao, Z.; Buccolieri, R.; Ding, W. An Investigation of the Quantitative Correlation between Urban Morphology Parameters and Outdoor Ventilation Efficiency Indices. Atmosphere 2019, 10, 33. [Google Scholar] [CrossRef]
  44. Hang, J.; Li, Y.; Sandberg, M.; Buccolieri, R.; di Sabati, S. The influence of building height variability on pollutant dispersion and pedestrian ventilation in idealized high-rise urban areas. Build. Environ. 2012, 56, 346–360. [Google Scholar] [CrossRef]
  45. Hang, J.; Li, Y.; Sandberg, M.; Claesson, L. Wind conditions and ventilation in high-rise long street models. Build. Environ. 2010, 45, 1353–1365. [Google Scholar] [CrossRef]
  46. Hang, J.; Sandberg, M.; Li, Y. Effect of urban morphology on wind condition in idealized city models. Atmos. Environ. 2009, 43, 869–878. [Google Scholar] [CrossRef]
  47. Makvandi, M.; Li, B.; Elsadek, M.; Khodabakhshi, Z.; Ahmadi, M. The Interactive Impact of Building Diversity on the Thermal Balance and Micro-Climate Change under the Influence of Rapid Urbanization. Sustainability 2019, 11, 1662. [Google Scholar] [CrossRef]
  48. Houda, S.; Belarbi, R.; Zemmouri, N. A CFD Comsol model for simulating complex urban flow. Energy Procedia 2017, 139, 373–378. [Google Scholar] [CrossRef]
  49. Song, J. The Improvement of Ventilation Design in School Buildings Using CFD Simulation. Procedia Eng. 2015, 121, 7. [Google Scholar] [CrossRef]
  50. Mei, S.; Chang, J.; Hu, J.; Zhang, J.; Tian, L.; Zhao, F. Numerical Simulation of Urban Ventilation with Different Building Scales. In Proceedings of the 2014 ISFMFE—6th International Symposium on Fluid Machinery and Fluid Engineering, Wuhan, China, 22–25 October 2014. [Google Scholar]
  51. Franke, J.; Hellsten, A.; Schlünzen, H.; Carissimo, B. Best Practice Guideline for The CFD Simulation of Flows in the Urban Environment: COST Action 732 Quality Assurance and Improvement of Microscale Meteorological Models; Meteorological Inst: Hamburg, Germany, 2007. [Google Scholar]
  52. Moonen, P.; Dorer, V.; Carmeliet, J. Effect of flow unsteadiness on the mean wind flow pattern in an idealized urban environment. J. Wind Eng. Ind. Aerodyn. 2012, 104–106, 389–396. [Google Scholar] [CrossRef]
  53. Franke, J.; Hirsch, C.; Jensen, A.G.; Krüs, H.W.; Schatzmann, M.; Westbury, P.S.; Miles, S.D.; Wisse, J.A.; Wright, N.G. Recommendations on the use of CFD in wind engineering. COST Action C14, Impact of Wind and Storm on City Life Built Environment. In Proceedings of the International Conference on Urban Wind Engineering and Building Aerodynamics, Sint-Genesius-Rode, Belgium, 5–7 May 2004. [Google Scholar]
  54. Celik, I.B.; Ghia, U.; Roache, P.J.; Freitas, C.J.; Raad, H.C.E. Procedure for Estimation and Reporting of Uncertainty Due to Discretization in CFD Applications. J. Fluids Eng. 2008, 7, 078001. [Google Scholar] [CrossRef]
  55. Zhang, N.; Du, Y.; Miao, S. A microscale model for air pollutant dispersion simulation in urban areas: Presentation of the model and performance over a single building. Adv. Atmos. Sci. 2016, 33, 184–192. [Google Scholar] [CrossRef]
  56. Di Sabatino, S.; Solazzo, E.; Paradisi, P.; Britter, R. A Simple Model for Spatially-averaged Wind Profiles Within and Above an Urban Canopy. Bound.-Layer Meteorol. 2008, 127, 131–151. [Google Scholar] [CrossRef]
  57. Parente, A.; Gorlé, C.; van Beeck, J.; Benocci, C. Improved k–ε model and wall function formulation for the RANS simulation of ABL flows. J. Wind Eng. Ind. Aerodyn. 2011, 99, 267–278. [Google Scholar] [CrossRef]
  58. Vardoulakis, S.; Dimitrova, R.; Richards, K.; Hamlyn, D.; Camilleri, G.; Weeks, M.; Sini, J.; Britter, R.; Borrego, C.; Schatzmann, M.; et al. Numerical Model Inter-comparison for Wind Flow and Turbulence Around Single-Block Buildings. Environ. Model. Assess. 2011, 16, 169–181. [Google Scholar] [CrossRef]
Figure 1. Relationships between the derived indicators.
Figure 1. Relationships between the derived indicators.
Atmosphere 12 00234 g001
Figure 2. The selection area for measurement in Wuhan: (a) Hanyang District; (b) Hankou District; (c) Wuchang District.
Figure 2. The selection area for measurement in Wuhan: (a) Hanyang District; (b) Hankou District; (c) Wuchang District.
Atmosphere 12 00234 g002
Figure 3. The photos of measurement points during the wind environment survey.
Figure 3. The photos of measurement points during the wind environment survey.
Atmosphere 12 00234 g003
Figure 4. Measuring points arrangements and indicator calculation ranges.
Figure 4. Measuring points arrangements and indicator calculation ranges.
Atmosphere 12 00234 g004
Figure 5. The domain size and boundary conditions in the case study.
Figure 5. The domain size and boundary conditions in the case study.
Atmosphere 12 00234 g005
Figure 6. Grid sensitivity analysis. (a) the center block of Grid A: about 3,610,000 cells; (b) the center block of Grid B: about 5,270,000 cells; (c) the center block of Grid C: about 8,220,000 cells; (d) the center block of Grid D: about 11,970,000 cells; (e) The comparison of the wind velocity ratio (WVR) along the centerline of the block for the four girds.
Figure 6. Grid sensitivity analysis. (a) the center block of Grid A: about 3,610,000 cells; (b) the center block of Grid B: about 5,270,000 cells; (c) the center block of Grid C: about 8,220,000 cells; (d) the center block of Grid D: about 11,970,000 cells; (e) The comparison of the wind velocity ratio (WVR) along the centerline of the block for the four girds.
Atmosphere 12 00234 g006
Figure 7. The validation of the computational fluid dynamic (CFD) simulation. (a) The wind tunnel experimental layout of the B1-1, provided by the CEDVA experiments Database; (bd) the comparison of streamwise WVR in CFD results and wind tunnel results at point I, point II, point III, respectively.
Figure 7. The validation of the computational fluid dynamic (CFD) simulation. (a) The wind tunnel experimental layout of the B1-1, provided by the CEDVA experiments Database; (bd) the comparison of streamwise WVR in CFD results and wind tunnel results at point I, point II, point III, respectively.
Atmosphere 12 00234 g007
Figure 8. The calculation area of indicators and WVR.
Figure 8. The calculation area of indicators and WVR.
Atmosphere 12 00234 g008
Figure 9. Average wind velocities and average wind velocity ratios.
Figure 9. Average wind velocities and average wind velocity ratios.
Atmosphere 12 00234 g009
Figure 10. Scatter plots of SVF and WVR: (a) SVF benchmark group; (b) scatter plots without a height difference; (c) scatter plots with a height difference.
Figure 10. Scatter plots of SVF and WVR: (a) SVF benchmark group; (b) scatter plots without a height difference; (c) scatter plots with a height difference.
Atmosphere 12 00234 g010
Figure 11. Scatter plots of λP and WVR: (a) λP benchmark group; (b) scatter plots without a height difference; (c) scatter plots with a height difference.
Figure 11. Scatter plots of λP and WVR: (a) λP benchmark group; (b) scatter plots without a height difference; (c) scatter plots with a height difference.
Atmosphere 12 00234 g011
Figure 12. Scatter plots of λF and WVR: (a) λF benchmark group; (b) scatter plots without a height difference; (c) scatter plots with a height difference.
Figure 12. Scatter plots of λF and WVR: (a) λF benchmark group; (b) scatter plots without a height difference; (c) scatter plots with a height difference.
Atmosphere 12 00234 g012
Figure 13. Scatter plots of Rα and WVR: (a) Rα benchmark group; (b) scatter plots with deep canyons; (c) scatter plots with shallow canyons.
Figure 13. Scatter plots of Rα and WVR: (a) Rα benchmark group; (b) scatter plots with deep canyons; (c) scatter plots with shallow canyons.
Atmosphere 12 00234 g013
Figure 14. Scatter plots of P0 and WVR: (a) P0 benchmark group; (b) scatter plots with deep canyons; (c) scatter plots with shallow canyons.
Figure 14. Scatter plots of P0 and WVR: (a) P0 benchmark group; (b) scatter plots with deep canyons; (c) scatter plots with shallow canyons.
Atmosphere 12 00234 g014
Figure 15. Scatter plots of Sθ and WVR: (a) Sθ benchmark group; (b) scatter plots with deep canyons; (c) scatter plots with shallow canyons.
Figure 15. Scatter plots of Sθ and WVR: (a) Sθ benchmark group; (b) scatter plots with deep canyons; (c) scatter plots with shallow canyons.
Atmosphere 12 00234 g015
Figure 16. The six building types for the computational fluid dynamics (CFD) simulation.
Figure 16. The six building types for the computational fluid dynamics (CFD) simulation.
Atmosphere 12 00234 g016
Figure 17. (a) The standard deviations of building height variations for six building types. (b) The street canyon aspect ratio variations for six building types.
Figure 17. (a) The standard deviations of building height variations for six building types. (b) The street canyon aspect ratio variations for six building types.
Atmosphere 12 00234 g017
Figure 18. (a) Simulation results for the standard deviations of building height variations. (b) Simulation results of the street canyon aspect ratio variations.
Figure 18. (a) Simulation results for the standard deviations of building height variations. (b) Simulation results of the street canyon aspect ratio variations.
Atmosphere 12 00234 g018
Figure 19. Scatter plots and correlation of λF and WVR in terms of different standard deviations of building height variation. (a) Standard deviation is 0–20 m; (b) standard deviation is 0 m; (c) standard deviation is 5 m; (d) standard deviation is 10 m; (e) standard deviation is 15 m; (f) standard deviation is 20 m.
Figure 19. Scatter plots and correlation of λF and WVR in terms of different standard deviations of building height variation. (a) Standard deviation is 0–20 m; (b) standard deviation is 0 m; (c) standard deviation is 5 m; (d) standard deviation is 10 m; (e) standard deviation is 15 m; (f) standard deviation is 20 m.
Atmosphere 12 00234 g019
Figure 20. Scatter plots and correlations of P0 and WVR with different street canyon aspect ratio variations. (a) Aspect ratio is 0.4–2.8; (b) aspect ratio is 0.4; (c) aspect ratio is 1.0; (d) aspect ratio is 1.6; (e) aspect ratio is 2.2; (f) aspect ratio is 2.8.
Figure 20. Scatter plots and correlations of P0 and WVR with different street canyon aspect ratio variations. (a) Aspect ratio is 0.4–2.8; (b) aspect ratio is 0.4; (c) aspect ratio is 1.0; (d) aspect ratio is 1.6; (e) aspect ratio is 2.2; (f) aspect ratio is 2.8.
Atmosphere 12 00234 g020
Table 1. Urban spatial morphology indicators table.
Table 1. Urban spatial morphology indicators table.
One-Dimensional Indicators
1Zoaerodynamic roughness length [1]1969, Lettau H
2Zrblending height [2]1970, Pasquill
3Zdzero-plane displacement height [3]1982, Shaw and Pereira
4hroughness [4]1986, Kondo J, Yamazawa H
5σHstandard deviation of building heights [5]1997, Rafailidis
6 H ¯ average building height [6]1999, Ratti C
7 H 2 ¯ average of building heights squared [6]1999, Ratti C
8ZHaverage building height (frontal area) [6]1999, Ratti C
9Hmabsolute rugosity [7,8]2001, Adolphe L
10ΔHexpandability [9]2015, Zhang
Two-dimensional indicators
11gaMsurface conductance [10]1986, Hicks and Hosker
12H/Waspect ratio [11]1988, Oke T
13L/Waspect ratio [11]1988, Oke T
14λPplan area density [12]1993, Theurer
15λFfrontal area density [12]1993, Theurer
16λp λfpacking densities [13]2010, Santiago and Martilli
17λf (Δz)frontal area density [14]2011, Edward
18N1street network linear density [15]2011, Yuan
19Nastreet network areal density [15]2011, Yuan
20ζswindward area ratio [16]2013, MOHURD
21 ζ s ¯ mean windward area ratio [16]2013, MOHURD
22ζvvolumetric blocking ratio [16]2013, MOHURD
23ζventilation obstruction ratio [16]2013, MOHURD
24κventilation overhead rate [16]2013, MOHURD
25Csurround ratio [9]2015, Zhang
26Nstick line ratio [17]2016, Zhou
27L/Cplane permeability [18]2016, Zhang
28--BCR, ground coverage ratio--
Three-dimensional indicators
29Ψs (H/W)SV, sky-view factor [19]1973, Oke T
30Ψs (photo)SV, sky-view factor [20]1980, Steyn D
31--fractality [7,8]1994, Frakhause P
32--confinement [7,8]1997, Dupagne A, etc
33λccomplete aspect ratio [21]1997, Voogt J, Oke T
34--regularity [7,8]1998, Maïzia M
35Rαrelative rugosity [7,8]2001, Adolphe L
36P0porosity [7,8]2001, Adolphe L
37Sθsinuosity [7,8]2001, Adolphe L
38Ococclusivity [7,8]2001, Adolphe L
39G1compacity [7,8]2001, Adolphe L
40Ctcontiguity [7,8]2001, Adolphe L
41Mmineralization [7,8]2001, Adolphe L
42Ψs (face)SVF, sky-view factor [22,23]2005b, Kanda M, etc
43Pb (z)floor density distribution [24]2005, Kondo H
44mvolume porosity [24]2005, Kondo H
45Venvelope ratio [25]2006, Shashua-Bar, etc.
46Poccomprehensive porosity [26]2012, Xin
47Ψs (sectors)SVF sectors [27]2018, Zhang
48--Floor Area Ratio (FAR)--
Note: gray: native indicators; blank: derived indicators.
Table 2. Model constants, which have been experimentally verified and used in the governing equations [40,47,48,49,50].
Table 2. Model constants, which have been experimentally verified and used in the governing equations [40,47,48,49,50].
ConstantValue
Cµ0.09
Ce11.44
Ce21.92
σk1.0
σε1.3
Table 3. Calculation conditions of Fluent.
Table 3. Calculation conditions of Fluent.
Computational ConditionSetting
Computational domain1950 m × 1500 m × 300 m
Turbulence modelStandard k–ε turbulence model
Algorithm for pressure-velocitySIMPLE
Convergence conditionThe maximum permissible residual error is 10−4
Grid resolution more than 8,000,000 volume grids
Total number of iterations1500
Table 4. Correlation rankings between urban spatial morphology indicators and pedestrian height wind velocity ratios.
Table 4. Correlation rankings between urban spatial morphology indicators and pedestrian height wind velocity ratios.
Correlation RankingUrban Spatial Morphology IndicatorsRR2
1Sinuosity (Sθ)−0.54140.2931
2Porosity (P0)0.43730.1912
3frontal area density (λF)−0.23950.0573
4sky-view factor (SVF)0.23560.0555
5plan area density (λP)−0.16010.0256
6relative rugosity (Rα)−0.05470.0030
Publisher’s Note: MDPI stays neutral with regard to jurisdictional claims in published maps and institutional affiliations.

Share and Cite

MDPI and ACS Style

Wei, D.; Hu, X.; Chen, Y.; Li, B.; Chen, H. An Investigation of the Quantitative Correlation between Urban Spatial Morphology Indicators and Block Wind Environment. Atmosphere 2021, 12, 234. https://doi.org/10.3390/atmos12020234

AMA Style

Wei D, Hu X, Chen Y, Li B, Chen H. An Investigation of the Quantitative Correlation between Urban Spatial Morphology Indicators and Block Wind Environment. Atmosphere. 2021; 12(2):234. https://doi.org/10.3390/atmos12020234

Chicago/Turabian Style

Wei, Di, Xing Hu, Yangjun Chen, Baofeng Li, and Hong Chen. 2021. "An Investigation of the Quantitative Correlation between Urban Spatial Morphology Indicators and Block Wind Environment" Atmosphere 12, no. 2: 234. https://doi.org/10.3390/atmos12020234

APA Style

Wei, D., Hu, X., Chen, Y., Li, B., & Chen, H. (2021). An Investigation of the Quantitative Correlation between Urban Spatial Morphology Indicators and Block Wind Environment. Atmosphere, 12(2), 234. https://doi.org/10.3390/atmos12020234

Note that from the first issue of 2016, this journal uses article numbers instead of page numbers. See further details here.

Article Metrics

Back to TopTop