Long-Term Patterns and Trends of Shortwave Global Irradiance over the Euro-Mediterranean Region
Abstract
1. Introduction
2. Materials and Methods
2.1. Ground-Based Measurements
2.2. ERA5-Land Re-Analysis Dataset
2.3. Methods
- Bias or mean error (ME) of forecasted-model values:
- Absolute bias or mean absolute error (MAE): the absolute mean value of the above differences.
- Root mean square error (RMSE):
- Mean percentage error (MPE): the computed average of mean errors by which forecasts of a model differ from actual values of the quantity being forecast.
- Mean absolute percentage error (MAPE): the computed average of mean absolute errors by which forecasts of a model differ from actual values of the quantity being forecast.
3. Results
3.1. Validation of ERA5-Land SWGI
3.2. Annual and Seasonal Average Distribution
3.3. Annual and Seasonal SWGI Trend
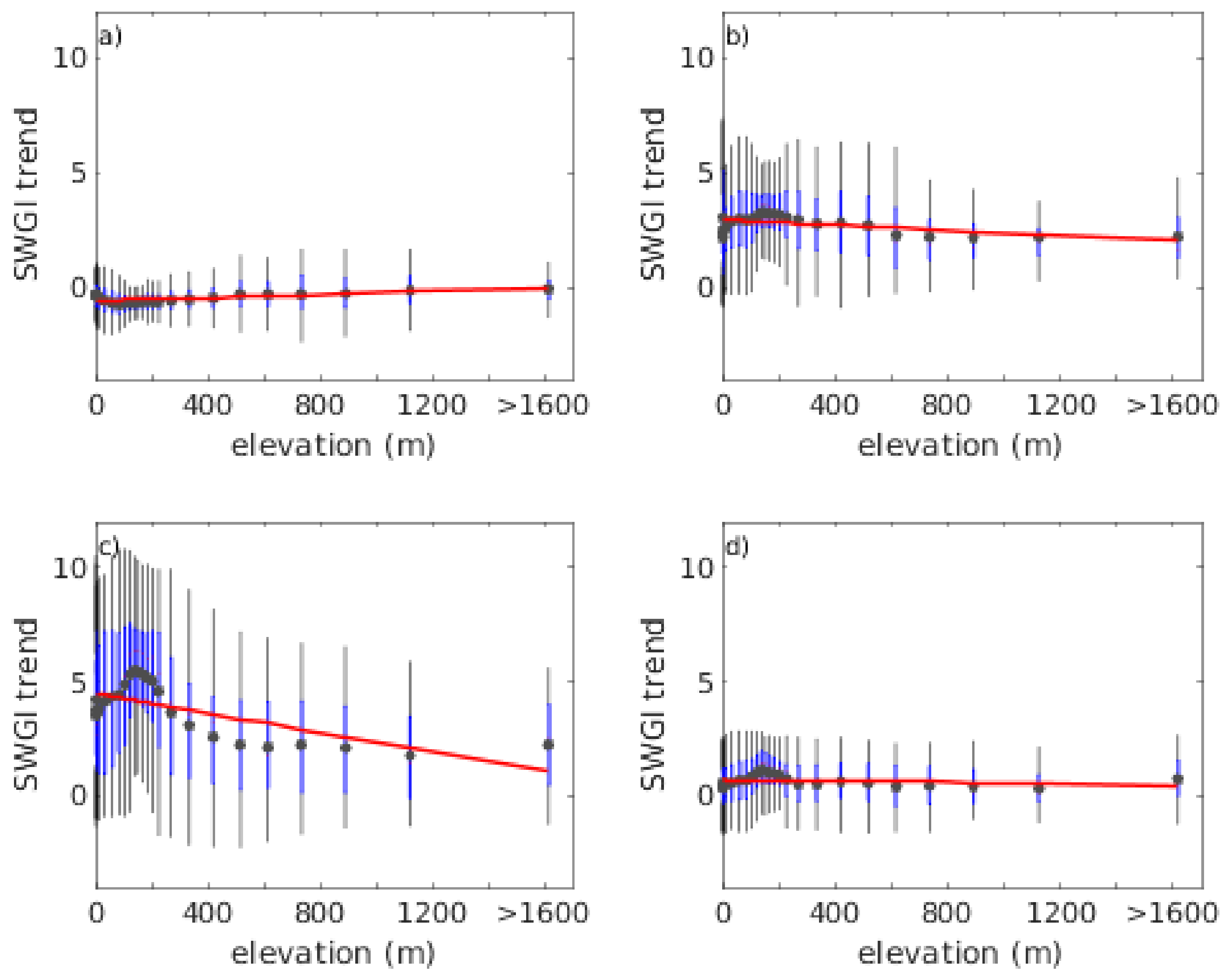
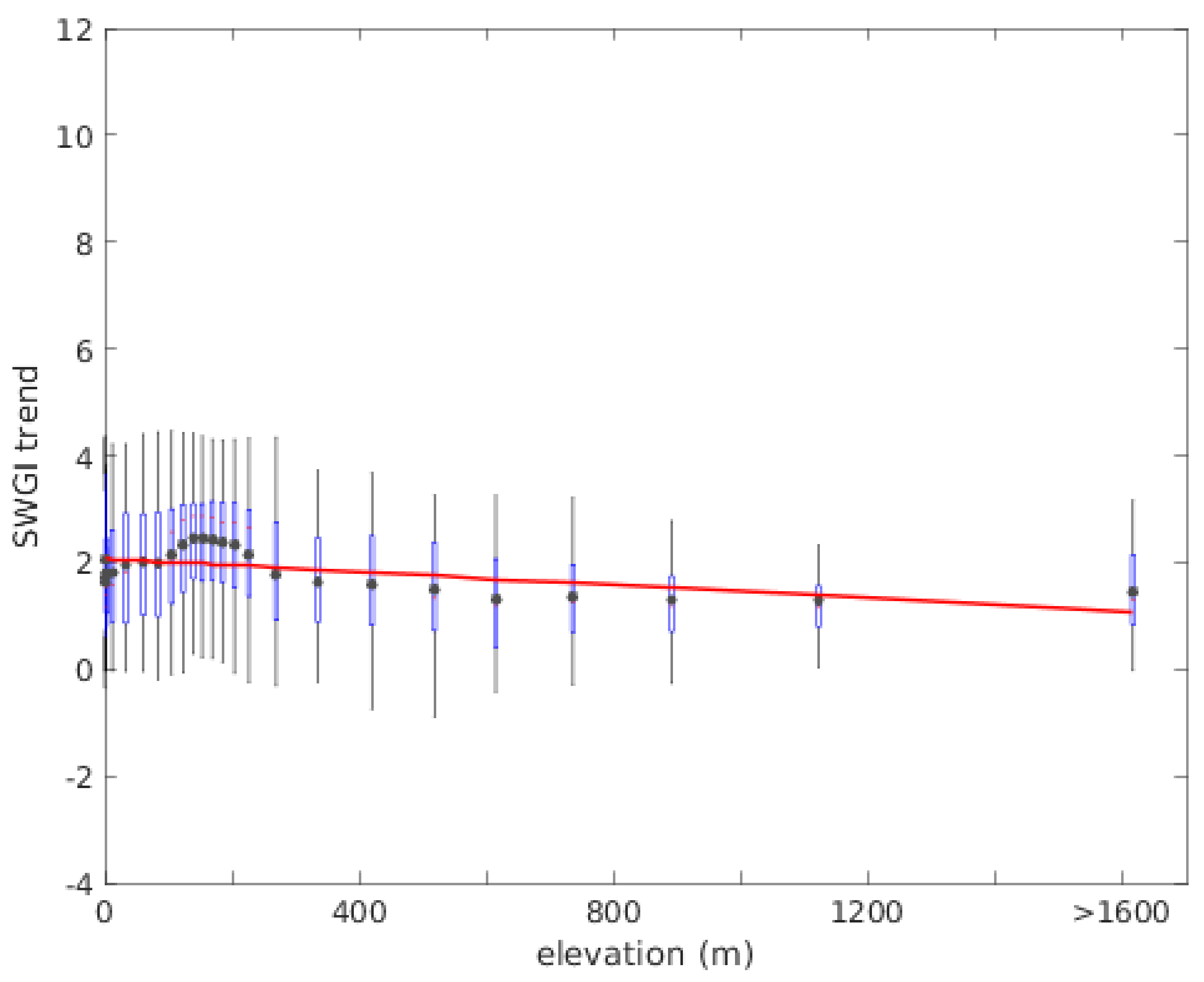
3.4. Variation of SWGI Trend with Elevation
4. Discussion and Concluding Remarks
Author Contributions
Funding
Institutional Review Board Statement
Data Availability Statement
Acknowledgments
Conflicts of Interest
References
- Jahani, B.; Dinpashoh, Y.; Wild, M. Dimming in Iran since the 2000s and the potential underlying causes. Int. J. Clim. 2018, 38, 1543–1559. [Google Scholar] [CrossRef]
- Manara, V.; Brunetti, M.; Maugeri, M.; Sanchez-Lorenzo, A.; Wild, M. Sunshine duration and global radiation trends in Italy (1959–2013): To what extent do they agree? J. Geophys. Res. Atmos. 2017, 122, 4312–4331. [Google Scholar] [CrossRef]
- Saccone, S.; Federico, C.; Bernardi, G. Localization of the gene-richest and the gene-poorest isochores in the interphase nuclei of mammals and birds. Gene 2002, 300, 169–178. [Google Scholar] [CrossRef]
- Wild, M. Enlightening Global Dimming and Brightening. Bull. Am. Meteorol. Soc. 2012, 93, 27–37. [Google Scholar] [CrossRef]
- Wild, M.; Folini, D.; Henschel, F.; Fischer, N.; Müller, B. Projections of long-term changes in solar radiation based on CMIP5 climate models and their influence on energy yields of photovoltaic systems. Sol. Energy 2015, 116, 12–24. [Google Scholar] [CrossRef]
- Bais, A.F.; Drosoglou, T.; Meleti, C.; Tourpali, K.; Kouremeti, N. Changes in surface shortwave solar irradiance from 1993 to 2011 at Thessaloniki (Greece). Int. J. Clim. 2012, 33, 2871–2876. [Google Scholar] [CrossRef]
- Chiacchio, M.; Wild, M. Influence of NAO and clouds on long-term seasonal variations of surface solar radiation in Europe. J. Geophys. Res. Space Phys. 2010, 115. [Google Scholar] [CrossRef]
- Folini, D.; Wild, M. Aerosol emissions and dimming/brightening in Europe: Sensitivity studies with ECHAM5-HAM. J. Geophys. Res. Space Phys. 2011, 116. [Google Scholar] [CrossRef]
- Kazadzis, S.; Founda, D.; Psiloglou, B.E.; Kambezidis, H.; Mihalopoulos, N.; Sanchez-Lorenzo, A.; Meleti, C.; Raptis, P.I.; Pierros, F.; Nabat, P. Long-term series and trends in surface solar radiation in Athens, Greece. Atmos. Chem. Phys. Discuss. 2018, 18, 2395–2411. [Google Scholar] [CrossRef]
- Manara, V.; Bassi, M.; Brunetti, M.; Cagnazzi, B.; Maugeri, M. 1990–2016 surface solar radiation variability and trend over the Piedmont region (northwest Italy). Theor. Appl. Clim. 2019, 136, 849–862. [Google Scholar] [CrossRef]
- Nabat, P.; Somot, S.; Mallet, M.; Sanchez-Lorenzo, A.; Wild, M. Contribution of anthropogenic sulfate aerosols to the changing Euro-Mediterranean climate since 1980. Geophys. Res. Lett. 2014, 41, 5605–5611. [Google Scholar] [CrossRef]
- Norris, J.R.; Wild, M. Trends in aerosol radiative effects over Europe inferred from observed cloud cover, solar “dimming,” and solar “brightening”. J. Geophys. Res. Space Phys. 2007, 112. [Google Scholar] [CrossRef]
- Ohmura, A. Observed decadal variations in surface solar radiation and their causes. J. Geophys. Res. Space Phys. 2009, 114. [Google Scholar] [CrossRef]
- Perdigão, J.C.; Salgado, R.; Costa, M.J.; Dasari, H.P.; Sanchez-Lorenzo, A. Variability and trends of downward surface global solar radiation over the Iberian Peninsula based on ERA-40 reanalysis. Int. J. Clim. 2016, 36, 3917–3933. [Google Scholar] [CrossRef]
- Perdigão, J.; Salgado, R.; Magarreiro, C.; Soares, P.M.; Costa, M.J.; Dasari, H.P. An Iberian climatology of solar radiation obtained from WRF regional climate simulations for 1950–2010 period. Atmos. Res. 2017, 198, 151–162. [Google Scholar] [CrossRef]
- Sanchez-Lorenzo, A.; Wild, M.; Brunetti, M.; Guijarro, J.A.; Hakuba, M.Z.; Calbo, J.; Mystakidis, S.; Bartok, B. Reassessment and update of long-term trends in downward surface shortwave radiation over Europe (1939–2012). J. Geophys. Res. Atmos. 2015, 120, 9555–9569. [Google Scholar] [CrossRef]
- Alexandri, G.; Georgoulias, A.; Meleti, C.; Balis, D.; Kourtidis, K.; Sanchez-Lorenzo, A.; Trentmann, J.; Zanis, P. A high resolution satellite view of surface solar radiation over the climatically sensitive region of Eastern Mediterranean. Atmos. Res. 2017, 188, 107–121. [Google Scholar] [CrossRef]
- Kambezidis, H.; Kaskaoutis, D.; Kalliampakos, G.; Rashki, A.; Wild, M. The solar dimming/brightening effect over the Mediterranean Basin in the period 1979–2012. J. Atmos. Sol. Terr. Phys. 2016, 150–151, 31–46. [Google Scholar] [CrossRef]
- Sanchez-Lorenzo, A.; Wild, M.; Trentmann, J. Validation and stability assessment of the monthly mean CM SAF surface solar radiation dataset over Europe against a homogenized surface dataset (1983–2005). Remote. Sens. Environ. 2013, 134, 355–366. [Google Scholar] [CrossRef]
- Calbó, J.; González, J.-A.; Sanchez-Lorenzo, A. Building global and diffuse solar radiation series and assessing decadal trends in Girona (NE Iberian Peninsula). Theor. Appl. Clim. 2017, 129, 1003–1015. [Google Scholar] [CrossRef]
- Wild, M. Global dimming and brightening: A review. J. Geophys. Res. Space Phys. 2009, 114. [Google Scholar] [CrossRef]
- Sanchez-Lorenzo, A.; Enriquez-Alonso, A.; Wild, M.; Trentmann, J.; Vicente-Serrano, S.M.; Sanchez-Romero, A.; Posselt, R.; Hakuba, M.Z. Trends in downward surface solar radiation from satellites and ground observations over Europe during 1983–2010. Remote Sens. Environ. 2017, 189, 108–117. [Google Scholar] [CrossRef]
- Wild, M.; Trüssel, B.; Ohmura, A.; Long, C.N.; König-Langlo, G.; Dutton, E.G.; Tsvetkov, A. Global dimming and brightening: An update beyond 2000. J. Geophys. Res. Space Phys. 2009, 114. [Google Scholar] [CrossRef]
- Hatzianastassiou, N.; Ioannidis, E.; Korras-Carraca, M.-B.; Gavrouzou, M.; Papadimas, C.D.; Matsoukas, C.; Benas, N.; Fotiadi, A.; Wild, M.; Vardavas, I. Global Dimming and Brightening Features during the First Decade of the 21st Century. Atmosphere 2020, 11, 308. [Google Scholar] [CrossRef]
- Hatzianastassiou, N.; Papadimas, C.D.; Matsoukas, C.; Pavlakis, K.; Fotiadi, A.; Wild, M.; Vardavas, I. Recent regional surface solar radiation dimming and brightening patterns: Inter-hemispherical asymmetry and a dimming in the Southern Hemisphere. Atmos. Sci. Lett. 2012, 13, 43–48. [Google Scholar] [CrossRef]
- Philipona, R.; Behrens, K.; Ruckstuhl, C. How declining aerosols and rising greenhouse gases forced rapid warming in Europe since the 1980s. Geophys. Res. Lett. 2009, 36. [Google Scholar] [CrossRef]
- Ruckstuhl, C.; Philipona, R.; Behrens, K.; Coen, M.C.; Dürr, B.; Heimo, A.; Mätzler, C.; Nyeki, S.; Ohmura, A.; Vuilleumier, L.; et al. Aerosol and cloud effects on solar brightening and the recent rapid warming. Geophys. Res. Lett. 2008, 35. [Google Scholar] [CrossRef]
- Kotroni, V.; Lagouvardos, K. Evaluation of MM5 High-Resolution Real-Time Forecasts over the Urban Area of Athens, Greece. J. Appl. Meteorol. 2004, 43, 1666–1678. [Google Scholar] [CrossRef]
- Akylas, E.; Kotroni, V.; Lagouvardos, K. Sensitivity of high-resolution operational weather forecasts to the choice of the planetary boundary layer scheme. Atmos. Res. 2007, 84, 49–57. [Google Scholar] [CrossRef]
- Lagouvardos, K.; Kotroni, V.; Bezes, A.; Koletsis, I.; Kopania, T.; Lykoudis, S.; Mazarakis, N.; Papagiannaki, K.; Vougioukas, S. The automatic weather stations NOANN network of the National Observatory of Athens: Operation and database. Geosci. Data J. 2017, 4, 4–16. [Google Scholar] [CrossRef]
- Davis Instruments, Vantage Pro2 Solar Radiation Sensor. Available online: https://cdn.shopify.com/s/files/1/0515/5992/3873/files/6450_SS.pdf (accessed on 23 October 2021).
- Davis Instruments, Vantage Pro2 Console User Manual. Available online: https://support.davisinstruments.com/article/y4cq28mflh-manual-optional-ac-charger-kit-for-vantage-connect-hd-solar-power-kit-6710 (accessed on 23 October 2021).
- Muñoz Sabater, J. ERA5-Land hourly data from 1981 to present. Copernicus Climate Change Service (C3S) Climate Data Store (CDS). Earth Syst. Sci. Data 2021, 13, 4349–4383. [Google Scholar]
- Theil, H. A Rank-Invariant Method of Linear and Polynomial Regression Analysis BT-Henri Theil’s Contributions to Economics and Econometrics: Econometric Theory and Methodology; Raj, B., Koerts, J., Eds.; Springer: Dordrecht, The Netherlands, 1992; pp. 345–381. ISBN 978-94-011-2546-8. [Google Scholar]
- Kendall, M.G. Rank Correlation Methods; Griffin: London, UK, 1975; ISBN 0852641990/9780852641996. [Google Scholar]
- Zuluaga, C.F.; Avila-Diaz, A.; Justino, F.B.; Wilson, A.B. Climatology and trends of downward shortwave radiation over Brazil. Atmos. Res. 2021, 250, 105347. [Google Scholar] [CrossRef]
- Sianturi, Y.; Marjuki Sartika, K. Evaluation of ERA5 and MERRA2 reanalyses to estimate solar irradiance using ground observations over Indonesia region. In Proceedings of the AIP Conference Proceedings; AIP Publishing LLC: Melville, NY, USA, 2020; Volume 2223, p. 020002. [Google Scholar]
- Silveira, C.; Martins, A.; Gouveia, S.; Scotto, M.; Miranda, A.; Monteiro, A. The Role of the Atmospheric Aerosol in Weather Forecasts for the Iberian Peninsula: Investigating the Direct Effects Using the WRF-Chem Model. Atmosphere 2021, 12, 288. [Google Scholar] [CrossRef]
- Hatzianastassiou, N.; Matsoukas, C.; Fotiadi, A.; Pavlakis, K.G.; Drakakis, E.; Hatzidimitriou, D.; Vardavas, I. Global distribution of Earth’s surface shortwave radiation budget. Atmos. Chem. Phys. Discuss. 2005, 5, 2847–2867. [Google Scholar] [CrossRef]
- Sfîcă, L.; Beck, C.; Nita, A.; Voiculescu, M.; Birsan, M.; Philipp, A. Cloud cover changes driven by atmospheric circulation in Europe during the last decades. Int. J. Clim. 2021, 41, E2211–E2230. [Google Scholar] [CrossRef]
- Vestreng, V.; Myhre, G.; Fagerli, H.; Reis, S.; Tarrasón, L. Twenty-five years of continuous sulphur dioxide emission reduction in Europe. Atmos. Chem. Phys. Discuss. 2007, 7, 3663–3681. [Google Scholar] [CrossRef]
- Berglen, T.F.; Myhre, G.; Isaksen, I.S.; Vestreng, V.; Smith, S.J. Sulphate trends in Europe: Are we able to model the recent observed decrease. Tellus B Chem. Phys. Meteorol. 2007, 59, 773–786. [Google Scholar] [CrossRef]
- Streets, D.G.; Wu, Y.; Chin, M. Two-decadal aerosol trends as a likely explanation of the global dimming/brightening transition. Geophys. Res. Lett. 2006, 33, 2–5. [Google Scholar] [CrossRef]
- Founda, D.; Kazadzis, S.; Mihalopoulos, N.; Gerasopoulos, E.; Lianou, M.; Raptis, P.I. Long-term visibility variation in Athens (1931–2013): A proxy for local and regional atmospheric aerosol loads. Atmos. Chem. Phys. Discuss. 2016, 16, 11219–11236. [Google Scholar] [CrossRef]
- Nabat, P.; Somot, S.; Mallet, M.; Chiapello, I.; Morcrette, J.J.; Solmon, F.; Szopa, S.; Dulac, F.; Collins, W.; Ghan, S.; et al. A 4-D climatology (1979–2009) of the monthly tropospheric aerosol optical depth distribution over the Mediterranean region from a comparative evaluation and blending of remote sensing and model products. Atmos. Meas. Tech. 2013, 6, 1287–1314. [Google Scholar] [CrossRef]
- Zerefos, C.S.; Eleftheratos, K.; Meleti, C.; Kazadzis, S.; Romanou, A.; Ichoku, C.; Tselioudis, G.; Bais, A. Solar dimming and brightening over Thessaloniki, Greece, and Beijing, China. Tellus B Chem. Phys. Meteorol. 2009, 61, 657–665. [Google Scholar] [CrossRef]
- Mishchenko, M.I.; Geogdzhayev, I.V.; Rossow, W.B.; Cairns, B.; Carlson, B.E.; Lacis, A.A.; Liu, L.; Travis, L.D. Long-Term Satellite Record Reveals Likely Recent Aerosol Trend. Science 2007, 315, 1543. [Google Scholar] [CrossRef]
- Chiacchio, M.; Ewen, T.; Wild, M.; Chin, M.; Diehl, T. Decadal variability of aerosol optical depth in Europe and its relationship to the temporal shift of the North Atlantic Oscillation in the realm of dimming and brightening. J. Geophys. Res. Space Phys. 2011, 116. [Google Scholar] [CrossRef][Green Version]
- Papadimas, C.D.; Hatzianastassiou, N.; Mihalopoulos, N.; Querol, X.; Vardavas, I. Spatial and temporal variability in aerosol properties over the Mediterranean basin based on 6-year (2000–2006) MODIS data. J. Geophys. Res. Space Phys. 2008, 113, 11205. [Google Scholar] [CrossRef]
- Matthias, V.; Balis, D.; Bösenberg, J.; Eixmann, R.; Iarlori, M.; Komguem, L.; Mattis, I.; Papayannis, A.; Pappalardo, G.; Perrone, M.R.; et al. Vertical aerosol distribution over Europe: Statistical analysis of Raman lidar data from 10 European Aerosol Research Lidar Network (EARLINET) stations. J. Geophys. Res. Space Phys. 2004, 109. [Google Scholar] [CrossRef]
- Filonchyk, M.; Hurynovich, V.; Yan, H. Trends in aerosol optical properties over Eastern Europe based on MODIS-Aqua. Geosci. Front. 2020, 11, 2169–2181. [Google Scholar] [CrossRef]
- Parding, K.; Olseth, J.A.; Dagestad, K.F.; Liepert, B.G. Decadal variability of clouds, solar radiation and temperature at a high-latitude coastal site in Norway. Tellus B Chem. Phys. Meteorol. 2014, 66. [Google Scholar] [CrossRef]
- Trigo, R.M.; Osborn, T.J.; Corte-Real, J.M. The North Atlantic Oscillation influence on Europe. Clim. Res. 2002, 20, 9–17. [Google Scholar] [CrossRef]
- Vautard, R.; Yiou, P.; van Oldenborgh, G.J. Decline of fog, mist and haze in Europe over the past 30 years. Nat. Geosci. 2009, 2, 115–119. [Google Scholar] [CrossRef]
- Stjern, C.W.; Stohl, A.; Kristjánsson, J.E. Have aerosols affected trends in visibility and precipitation in Europe? J. Geophys. Res. Space Phys. 2011, 116. [Google Scholar] [CrossRef]
- Dong, Z.; Li, Z.; Yu, X.; Cribb, M.; Li, X.; Dai, J. Opposite long-term trends in aerosols between low and high altitudes: A testimony to the aerosol–PBL feedback. Atmos. Chem. Phys. Discuss. 2017, 17, 7997–8009. [Google Scholar] [CrossRef]
- Zeng, Z.; Chen, A.; Ciais, P.; Li, Y.; Li, L.Z.X.; Vautard, R.; Zhou, L.; Yang, H.; Huang, M.; Piao, S. Gases Induced Warming-Elevation Relationship. Geophys. Res. Lett. 2015, 42, 4563–4572. [Google Scholar] [CrossRef]
- Philipona, R. Greenhouse warming and solar brightening in and around the Alps. Int. J. Clim. 2013, 33, 1530–1537. [Google Scholar] [CrossRef]
- Wang, Y.; Wu, Z.; Ma, N.; Wu, Y.; Zeng, L.; Zhao, C.; Wiedensohler, A. Statistical analysis and parameterization of the hygroscopic growth of the sub-micrometer urban background aerosol in Beijing. Atmos. Environ. 2018, 175, 184–191. [Google Scholar] [CrossRef]
- Filonchyk, M.; Hurynovich, V.; Yan, H.; Zhou, L.; Gusev, A. Climatology of aerosol optical depth over Eastern Europe based on 19 years (2000–2018) MODIS TERRA data. Int. J. Clim. 2019, 40, 3531–3549. [Google Scholar] [CrossRef]
- Sitnov, S.A. Spatial-temporal variability of the aerosol optical thickness over the central part of European Russia from MODIS data. Izv. Atmos. Ocean. Phys. 2011, 47, 584–602. [Google Scholar] [CrossRef]
- Shao, Y.; Wyrwoll, K.-H.; Chappell, A.; Huang, J.; Lin, Z.; McTainsh, G.H.; Mikami, M.; Tanaka, T.Y.; Wang, X.; Yoon, S. Dust cycle: An emerging core theme in Earth system science. Aeolian Res. 2011, 2, 181–204. [Google Scholar] [CrossRef]
- Calidonna, C.R.; Avolio, E.; Gullì, D.; Ammoscato, I.; De Pino, M.; Donateo, A.; Feudo, T.L. Five Years of Dust Episodes at the Southern Italy GAW Regional Coastal Mediterranean Observatory: Multisensors and Modeling Analysis. Atmosphere 2020, 11, 456. [Google Scholar] [CrossRef]
- Wild, M.; Ohmura, A.; Makowski, K. Impact of global dimming and brightening on global warming. Geophys. Res. Lett. 2007, 34. [Google Scholar] [CrossRef]
















| Reference 1 | SWGI Trend (W/m2 per Decade) | Time Period | Region |
|---|---|---|---|
| Manara et al. [10] | +2.5 (ground observations) | 1990–2016 | Piedmont region (Northwest Italy) |
| Kazadzis et al. [9] | +0.80 (ground observations) | 1986–2013 | Athens, Greece |
| Alexandri et al. [17] | +2 (satellite data) | 1983–2013 | Eastern Mediterranean |
| Sanchez-Lorenzo et al. [22] | +2.1 (satellite data) +3.3 (ground observations) | 1983–2010 | Europe |
| Kambezidis et al. [18] | +0.4 (MERRA) | 1979–2012 | Mediterranean Basin |
| Perdigao et al. [14] | +4 (ground observations) +2 (ERA-40) +4 (NCEP/NCAR) | 1985–2001 | Spain |
| Sanchez-Lorenzo et al. [16] | +3.2 (ground observations) | 1986–2012 | Europe |
| Mateos et al. [3] | +7.9 (ground observations) | 2004–2012 | Iberian Peninsula |
| Bais et al. [6] | +3.3 (ground observations) | 1993–2011 | Thessaloniki, Greece |
| Folini and Wild [8] | +4.5 (model simulations) | 1985–2001 | Europe |
| Ruckstuhl et al. [27] | +2.6 (ground observations) | 1981–2005 | Switzerland |
| +3.3 (ground observations) | 1981–2005 | Northern Germany | |
| Philipona et al. [26] | +2.6 (ground observations) | 1981–2005 | Switzerland |
| +3.3 (ground observations) | 1981–2005 | Northern Germany | |
| Sanchez-Lorenzo et al. [19] | +4.5 (satellite data) | 1994–2005 | Europe |
| Chiacchio and Wild [7] | +0.4 (ground observations) | 1985–2000 | Europe |
| Norris and Wild [12] | +1.4 (ground observations) | 1987–2002 | Europe |
| Reference | Winter (W/m2 per Decade) | Spring (W/m2 per Decade) | Summer (W/m2 per Decade) | Autumn (W/m2 per Decade) | Period of Study | Region |
|---|---|---|---|---|---|---|
| Manara et al. [10] | decreasing | +2.6 | +2.7 | +4.0 W/m2 per decade | 1990–2016 | Piedmont region, in the northwest part of Italy |
| Sanchez-Lorenzo et al. [22] | −1.0 | +5.2 | +4.8 | Lower than +3 | 1983 to 2010 | Europe |
| −2.1 | +7.1 | +0.4 | +3 | 1994 to 2010 | Europe | |
| Kambezidis et al. [18] | +0.1 | +1.3 | +0.5 | −0.1 | 1979–2012 | Mediterranean Basin |
| Perdigao et al. [14] | increasing | increasing | increasing | decreasing | 1972–2001 | Iberian Peninsula |
| Sanchez-Lorenzo et al. [16] | increasing | +5.9 | +4.2 | +2.0 | 1986–2012 | Europe |
| Chiacchio and Wild [7] | +0.2 (for 1970–2000) | +2.5 | +1.9 | −2.1 (for 1970–2000) | 1985–2000 | Europe |
| Parameter | Sensor Type | Range | Resolution | Accuracy | Update Interval |
|---|---|---|---|---|---|
| Solar radiation | Silicon photodiode with diffuser (400–1100 nm) | 0–1800 W/m2 | 1 W/m2 | 5% | 50–60 s |
| Period | 1981–2020 | 1981–2000 | 2001–2020 |
|---|---|---|---|
| Annual | +1.7 | +2.0 | +1.1 |
| Winter | +0.5 | +0.5 | −0.2 |
| Spring | +2.5 | +4.0 | +1.0 |
| Summer | +3.6 | +4.8 | +2.2 |
| Autumn | +0.6 | −0.2 | +1.5 |
Publisher’s Note: MDPI stays neutral with regard to jurisdictional claims in published maps and institutional affiliations. |
© 2021 by the authors. Licensee MDPI, Basel, Switzerland. This article is an open access article distributed under the terms and conditions of the Creative Commons Attribution (CC BY) license (https://creativecommons.org/licenses/by/4.0/).
Share and Cite
Galanaki, E.; Emmanouil, G.; Lagouvardos, K.; Kotroni, V. Long-Term Patterns and Trends of Shortwave Global Irradiance over the Euro-Mediterranean Region. Atmosphere 2021, 12, 1431. https://doi.org/10.3390/atmos12111431
Galanaki E, Emmanouil G, Lagouvardos K, Kotroni V. Long-Term Patterns and Trends of Shortwave Global Irradiance over the Euro-Mediterranean Region. Atmosphere. 2021; 12(11):1431. https://doi.org/10.3390/atmos12111431
Chicago/Turabian StyleGalanaki, Elissavet, George Emmanouil, Konstantinos Lagouvardos, and Vassiliki Kotroni. 2021. "Long-Term Patterns and Trends of Shortwave Global Irradiance over the Euro-Mediterranean Region" Atmosphere 12, no. 11: 1431. https://doi.org/10.3390/atmos12111431
APA StyleGalanaki, E., Emmanouil, G., Lagouvardos, K., & Kotroni, V. (2021). Long-Term Patterns and Trends of Shortwave Global Irradiance over the Euro-Mediterranean Region. Atmosphere, 12(11), 1431. https://doi.org/10.3390/atmos12111431

