Spatial-Temporal Variation of Air PM2.5 and PM10 within Different Types of Vegetation during Winter in an Urban Riparian Zone of Shanghai
Abstract
:1. Introduction
2. Materials and Methods
2.1. Study Sites
2.2. Field Data Collection and Selection
2.3. Data Analysis
2.3.1. Analysis of Variance (ANOVA)
2.3.2. Hierarchical Cluster Analysis
2.3.3. Pearson Correlations
3. Results and Discussion
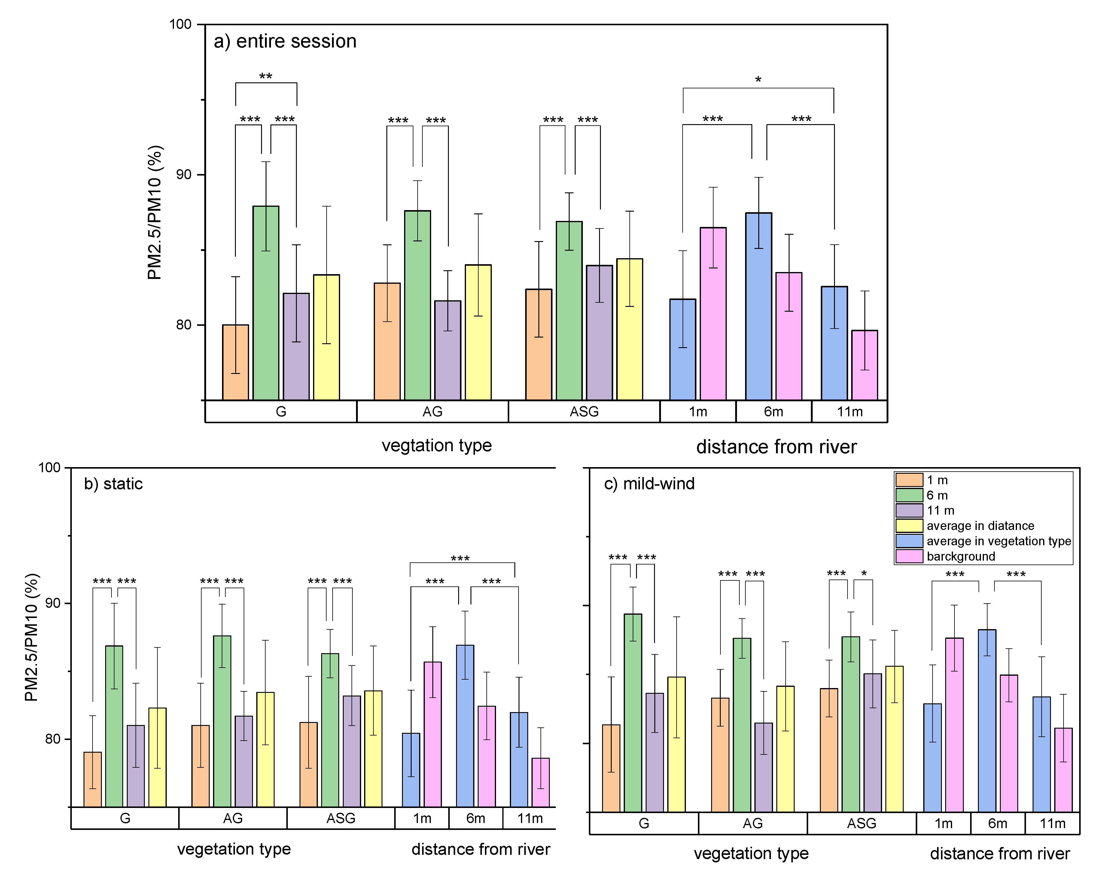
3.1. Spatial-Temporal Variation in the PM Concentrations and Removal Efficiencies
3.2. Spatial Differences in Meteorological Parameters
3.3. Analysis of the Influential Variables
3.3.1. Ambient PM Concentration
3.3.2. Effect of Wind Speed
3.3.3. Effect of Trees
3.3.4. The Effect of the River
4. Conclusions
Author Contributions
Funding
Institutional Review Board Statement
Informed Consent Statement
Conflicts of Interest
References
- Kumar, P.; Druckman, A.; Gallagher, J.; Gatersleben, B.; Allison, S.; Eisenman, T.S.; Hoang, U.; Hama, S.; Tiwari, A.; Sharma, A.; et al. The nexus between air pollution, green infrastructure and human health. Environ. Int. 2019, 133, 105181. [Google Scholar] [CrossRef] [PubMed]
- Warburton, D.E.R.; Bredin, S.S.D.; Shellington, E.M.; Cole, C.; de Faye, A.; Harris, J.; Kim, D.D.; Abelsohn, A. A Systematic Review of the Short-Term Health Effects of Air Pollution in Persons Living with Coronary Heart Disease. J. Clin. Med. 2019, 8, 274. [Google Scholar] [CrossRef] [Green Version]
- Wu, X.; Nethery, R.C.; Sabath, M.B.; Braun, D.; Dominici, F. Air pollution and COVID-19 mortality in the United States: Strengths and limitations of an ecological regression analysis. Sci. Adv. 2020, 6, eabd4049. [Google Scholar] [CrossRef]
- Wang, Y.; Shi, Z.; Shen, F.; Sun, J.; Huang, L.; Zhang, H.; Chen, C.; Li, T.; Hu, J. Associations of daily mortality with short-term exposure to PM2.5 and its constituents in Shanghai, China. Chemosphere 2019, 233, 879–887. [Google Scholar] [CrossRef] [PubMed]
- Kim, K.-H.; Kabir, E.; Kabir, S. A review on the human health impact of airborne particulate matter. Environ. Int. 2015, 74, 136–143. [Google Scholar] [CrossRef]
- Zhang, K.; Zhou, L.; Fu, Q.; Yan, L.; Morawska, L.; Jayaratne, R.; Xiu, G. Sources and vertical distribution of PM2.5 over Shanghai during the winter of 2017. Sci. Total Environ. 2020, 706, 135683. [Google Scholar] [CrossRef]
- Völker, S.; Kistemann, T. Developing the urban blue: Comparative health responses to blue and green urban open spaces in Germany. Health Place 2015, 35, 196–205. [Google Scholar] [CrossRef]
- Crouse, D.L.; Pinault, L.; Balram, A.; Brauer, M.; Burnett, R.T.; Martin, R.V.; van Donkelaar, A.; Villeneuve, P.J.; Weichenthal, S. Complex relationships between greenness, air pollution, and mortality in a population-based Canadian cohort. Environ. Int. 2019, 128, 292–300. [Google Scholar] [CrossRef] [PubMed]
- Pascal, D.I.M.; Corinne, C.; Patrice, M.; Michel, V.; Yann, L.C.; Antoine, G.; Clémentine, G.; Jocelyne, P.-H.; Cyril, R.; Carolyne, V. Method for the rapid assessment and potential mitigation of the environmental effects of development actions in riparian zone. J. Environ. Manag. 2020, 276, 111187. [Google Scholar] [CrossRef]
- Diener, A.; Mudu, P. How can vegetation protect us from air pollution? A critical review on green spaces’ mitigation abilities for air-borne particles from a public health perspective–with implications for urban planning. Sci. Total Environ. 2021, 796, 148605. [Google Scholar] [CrossRef] [PubMed]
- Janhäll, S. Review on urban vegetation and particle air pollution–Deposition and dispersion. Atmos. Environ. 2015, 105, 130–137. [Google Scholar] [CrossRef]
- Fowler, D.; Cape, J.N.; Unsworth, M.H.; Mayer, H.; Crowther, J.M.; Jarvis, P.G.; Gardiner, B.; Shuttleworth, W.J.; Jarvis, P.G.; Monteith, J.L.; et al. Deposition of atmospheric pollutants on forests. Philos. Trans. R. Soc. Lond. B Biol. Sci. 1989, 324, 247–265. [Google Scholar] [CrossRef]
- Speak, A.F.; Rothwell, J.J.; Lindley, S.J.; Smith, C.L. Urban particulate pollution reduction by four species of green roof vegetation in a UK city. Atmos. Environ. 2012, 61, 283–293. [Google Scholar] [CrossRef]
- He, C.; Qiu, K.; Alahmad, A.; Pott, R. Particulate matter capturing capacity of roadside evergreen vegetation during the winter season. Urban For. Urban Green. 2020, 48, 126510. [Google Scholar] [CrossRef]
- Wang, L.; Gong, H.; Liao, W.; Wang, Z. Accumulation of particles on the surface of leaves during leaf expansion. Sci. Total Environ. 2015, 532, 420–434. [Google Scholar] [CrossRef]
- Roupsard, P.; Amielh, M.; Maro, D.; Coppalle, A.; Branger, H.; Connan, O.; Laguionie, P.; Hébert, D.; Talbaut, M. Measurement in a wind tunnel of dry deposition velocities of submicron aerosol with associated turbulence onto rough and smooth urban surfaces. J. Aerosol Sci. 2013, 55, 12–24. [Google Scholar] [CrossRef] [Green Version]
- Petroff, A.; Mailliat, A.; Amielh, M.; Anselmet, F. Aerosol dry deposition on vegetative canopies. Part I: Review of present knowledge. Atmos. Environ. 2008, 42, 3625–3653. [Google Scholar] [CrossRef]
- Chen, X.; Pei, T.; Zhou, Z.; Teng, M.; He, L.; Luo, M.; Liu, X. Efficiency differences of roadside greenbelts with three configurations in removing coarse particles (PM10): A street scale investigation in Wuhan, China. Urban For. Urban Green. 2015, 14, 354–360. [Google Scholar] [CrossRef]
- Lee, E.S.; Ranasinghe, D.R.; Ahangar, F.E.; Amini, S.; Mara, S.; Choi, W.; Paulson, S.; Zhu, Y. Field evaluation of vegetation and noise barriers for mitigation of near-freeway air pollution under variable wind conditions. Atmos. Environ. 2018, 175, 92–99. [Google Scholar] [CrossRef]
- Zhang, L.; Zhang, Z.; McNulty, S.; Wang, P. The mitigation strategy of automobile generated fine particle pollutants by applying vegetation configuration in a street-canyon. J. Clean. Prod. 2020, 274, 122941. [Google Scholar] [CrossRef]
- Zhu, D.; Gillies, J.A.; Etyemezian, V.; Nikolich, G.; Shaw, W.J. Evaluation of the surface roughness effect on suspended particle deposition near unpaved roads. Atmos. Environ. 2015, 122, 541–551. [Google Scholar] [CrossRef]
- Baldauf, R. Roadside vegetation design characteristics that can improve local, near-road air quality. Transp. Res. Part D Transp. Environ. 2017, 52, 354–361. [Google Scholar] [CrossRef]
- Bowker, G.E.; Baldauf, R.; Isakov, V.; Khlystov, A.; Petersen, W. The effects of roadside structures on the transport and dispersion of ultrafine particles from highways. Atmos. Environ. 2007, 41, 8128–8139. [Google Scholar] [CrossRef]
- Jeanjean, A.P.R.; Monks, P.S.; Leigh, R.J. Modelling the effectiveness of urban trees and grass on PM2.5 reduction via dispersion and deposition at a city scale. Atmos. Environ. 2016, 147, 1–10. [Google Scholar] [CrossRef] [Green Version]
- Chen, L.; Liu, C.; Zou, R.; Yang, M.; Zhang, Z. Experimental examination of effectiveness of vegetation as bio-filter of particulate matters in the urban environment. Environ. Pollut. 2016, 208, 198–208. [Google Scholar] [CrossRef]
- Chen, X.; Wang, X.; Wu, X.; Guo, J.; Zhou, Z. Influence of roadside vegetation barriers on air quality inside urban street canyons. Urban For. Urban Green. 2021, 63, 127219. [Google Scholar] [CrossRef]
- Abhijith, K.V.; Kumar, P.; Gallagher, J.; McNabola, A.; Baldauf, R.; Pilla, F.; Broderick, B.; Di Sabatino, S.; Pulvirenti, B. Air pollution abatement performances of green infrastructure in open road and built-up street canyon environments—A review. Atmos. Environ. 2017, 162, 71–86. [Google Scholar] [CrossRef]
- Frank, C.; Ruck, B. Numerical study of the airflow over forest clearings. For. Int. J. For. Res. 2008, 81, 259–277. [Google Scholar] [CrossRef] [Green Version]
- Xing, Y.; Brimblecombe, P. Role of vegetation in deposition and dispersion of air pollution in urban parks. Atmos. Environ. 2019, 201, 73–83. [Google Scholar] [CrossRef]
- Yin, S.; Lyu, J.; Zhang, X.; Han, Y.; Zhu, Y.; Sun, N.; Sun, W.; Liu, C. Coagulation effect of aero submicron particles on plant leaves: Measuring methods and potential mechanisms. Environ. Pollut. 2020, 257, 113611. [Google Scholar] [CrossRef] [PubMed]
- Liu, J.; Zhu, L.; Wang, H.; Yang, Y.; Liu, J.; Qiu, D.; Ma, W.; Zhang, Z.; Liu, J. Dry deposition of particulate matter at an urban forest, wetland and lake surface in Beijing. Atmos. Environ. 2016, 125, 178–187. [Google Scholar] [CrossRef]
- Anda, A.; Soos, G.; Teixeira da Silva, J.A.; Kozma-Bognar, V. Regional evapotranspiration from a wetland in Central Europe, in a 16-year period without human intervention. Agric. For. Meteorol. 2015, 205, 60–72. [Google Scholar] [CrossRef]
- Du, H.; Song, X.; Jiang, H.; Kan, Z.; Wang, Z.; Cai, Y. Research on the cooling island effects of water body: A case study of Shanghai, China. Ecol. Indic. 2016, 67, 31–38. [Google Scholar] [CrossRef]
- Xuan, C.Y.; Wang, X.Y.; Jiang, W.M.; Wang, Y.W. Impacts of water layout on the atmospheric environment in urban areas. Meteorol. Mon. 2010, 36, 94–101. (In Chinese) [Google Scholar]
- Wu, F.F.; Zhang, N.; Chen, X.Y. Effects of riparian buffers of North Mort of Beijing on air temperature and relative humidity. Acta Ecol. Sin. 2013, 33, 2292–2303. (In Chinese) [Google Scholar]
- Xing, Y.; Brimblecombe, P. Dispersion of traffic derived air pollutants into urban parks. Sci. Total Environ. 2018, 622–623, 576–583. [Google Scholar] [CrossRef]
- Zhang, L.H.; Li, S.H. Research on the influence of urban water bodies on temperature and humidity of surrounding green spaces in the horizontal direction. In Proceedings of the Beijing Symposium on “Building Conservation Oriented Landscaping”, Beijing, China, 1 October 2007; p. 10. (In Chinese). [Google Scholar]
- Han, D.; Shen, H.; Duan, W.; Chen, L. A review on particulate matter removal capacity by urban forests at different scales. Urban For. Urban Green. 2020, 48, 126565. [Google Scholar] [CrossRef]
- Zhang, L.; Zhang, Z.; Feng, C.; Tian, M.; Gao, Y. Impact of various vegetation configurations on traffic fine particle pollutants in a street canyon for different wind regimes. Sci. Total Environ. 2021, 789, 147960. [Google Scholar] [CrossRef]
- Qiu, L.; Liu, F.; Zhang, X.; Gao, T. The reducing effect of green spaces with different vegetation structure on atmospheric particulate matter concentration in BaoJi City, China. Atmosphere 2018, 9, 332. [Google Scholar] [CrossRef] [Green Version]
- Sun, Y.; He, Y.; Kuang, Y.; Xu, W.; Song, S.; Ma, N.; Tao, J.; Cheng, P.; Wu, C.; Su, H.; et al. Chemical Differences Between PM1 and PM2.5 in Highly Polluted Environment and Implications in Air Pollution Studies. Geophys. Res. Lett. 2020, 47, e2019GL086288. [Google Scholar] [CrossRef]
- Zhu, Y.; Hinds, W.C.; Kim, S.; Sioutas, C. Concentration and Size Distribution of Ultrafine Particles Near a Major Highway. J. Air Waste Manag. Assoc. 2002, 52, 1032–1042. [Google Scholar] [CrossRef] [PubMed]
- Zhu, C.; Zeng, Y. Effects of urban lake wetlands on the spatial and temporal distribution of air PM10 and PM2.5 in the spring in Wuhan. Urban For. Urban Green. 2018, 31, 142–156. [Google Scholar] [CrossRef]








| Sample Site | Distance from the Road (m) | Structure Type | Leaf Area Index (LAI) | Porosity (%) | Dominant Species (Height: m) |
|---|---|---|---|---|---|
| 1 | 20 | Arbor-Shrub-Grass | 1.86 | 11.20 | Cinnamomum camphora (9.6), Ginkgo biloba (9.8); Osmanthus fragrans, Camellia japonica (2.5) |
| 2 | 21 | Grass | / | / | Zoysia japonica, Trifolium repens; |
| 2 | 20 | Arbor-Grass | 1.24 | 26.80 | Cinnamomum camphora (9.8); Erigeron canadensis, Trifolium repens, Oxalis corymbosa (0.1) |
| Plant Community Structure | Grass | Arbor-Grass | Arbor-Shrub-Grass | |
|---|---|---|---|---|
| PM2.5 | Pearson Corr. | 0.95185 | 0.97887 | 0.97351 |
| p-value | 8.60 × 0−75 | 8.74 × 10−100 | 6.85 × 10−93 | |
| PM10 | Pearson Corr. | 0.97563 | 0.96024 | 0.97513 |
| p-value | 1.97 × 10−95 | 1.44 × 10−80 | 8.18 × 10−95 | |
| Plant Community Structure | G | AG | ASG | Average | Significance of the Difference in Vegetation Types | |
|---|---|---|---|---|---|---|
| static | PM2.5 RP (%) | 2.5 ± 10.0 | −1.7 ± 5.7 | −3.7 ± 8.0 | −0.9 ± 8.5 | 1 |
| PM10 RP (%) | 2.8 ± 6.9 | 0.1 ± 8.6 | −2.0 ± 8.1 | 0.3 ± 8.1 | 1 | |
| mild wind | PM2.5 RP (%) | 1.8 ± 3.8 | −7.7 ± 7.1 | −5.9 ± 6.9 | −3.9 ± 7.4 | 1 |
| PM10 RP (%) | 2.0 ± 5.0 | −8.5 ± 10.2 | −4.6 ± 7.4 | −3.7 ± 8.9 | 1 | |
| improvement by wind * | PM2.5 RP (%) | −0.7 ± 10.7 | −6.0 ± 9.1 | −2.2 ± 10.6 | −3.0 ± 11.3 | |
| PM10 RP (%) | −0.8 ± 8.5 | −8.6 ± 13.3 | −2.6 ± 11.0 | −4.0 ± 12.0 | ||
| wind speed under mild-wind condition (m/s) | 0.67 ± 0.55 | 0.39 ± 0.33 | 0.23 ± 0.22 | 0.18 ± 0.35 | 1 | |
| significance of difference in wind condition | 0 | 1 | 0 | 1 | ||
Publisher’s Note: MDPI stays neutral with regard to jurisdictional claims in published maps and institutional affiliations. |
© 2021 by the authors. Licensee MDPI, Basel, Switzerland. This article is an open access article distributed under the terms and conditions of the Creative Commons Attribution (CC BY) license (https://creativecommons.org/licenses/by/4.0/).
Share and Cite
Wang, J.; Xie, C.; Liang, A.; Jiang, R.; Man, Z.; Wu, H.; Che, S. Spatial-Temporal Variation of Air PM2.5 and PM10 within Different Types of Vegetation during Winter in an Urban Riparian Zone of Shanghai. Atmosphere 2021, 12, 1428. https://doi.org/10.3390/atmos12111428
Wang J, Xie C, Liang A, Jiang R, Man Z, Wu H, Che S. Spatial-Temporal Variation of Air PM2.5 and PM10 within Different Types of Vegetation during Winter in an Urban Riparian Zone of Shanghai. Atmosphere. 2021; 12(11):1428. https://doi.org/10.3390/atmos12111428
Chicago/Turabian StyleWang, Jing, Changkun Xie, Anze Liang, Ruiyuan Jiang, Zihao Man, Hao Wu, and Shengquan Che. 2021. "Spatial-Temporal Variation of Air PM2.5 and PM10 within Different Types of Vegetation during Winter in an Urban Riparian Zone of Shanghai" Atmosphere 12, no. 11: 1428. https://doi.org/10.3390/atmos12111428
APA StyleWang, J., Xie, C., Liang, A., Jiang, R., Man, Z., Wu, H., & Che, S. (2021). Spatial-Temporal Variation of Air PM2.5 and PM10 within Different Types of Vegetation during Winter in an Urban Riparian Zone of Shanghai. Atmosphere, 12(11), 1428. https://doi.org/10.3390/atmos12111428
