Climatology and Formation Environments of Severe Convective Windstorms and Tornadoes in the Perm Region (Russia) in 1984–2020
Abstract
1. Introduction
2. Materials and Methods
2.1. Region of Study
2.2. Sources for Events in the Presented Database
2.3. Determination of Event Type and Characteristics
2.4. Data and Methods for Synoptic- and Meso-Scale Analysis
3. Results
3.1. General Information on the Storm Events Database in PR
3.2. Climatology of Severe Convective Windstorms and Tornadoes in Perm Region
3.2.1. Distribution of Storm Events Depending on Their Data Sources
3.2.2. Spatial Distribution
3.2.3. Temporal Distribution
3.2.4. Intensity Characteristics and Movement Direction
3.2.5. Damage Characteristics
3.3. Synoptic-Scale Environments and Convective Parameters Associated with Storm Events
3.3.1. Synoptic-Scale Characteristics
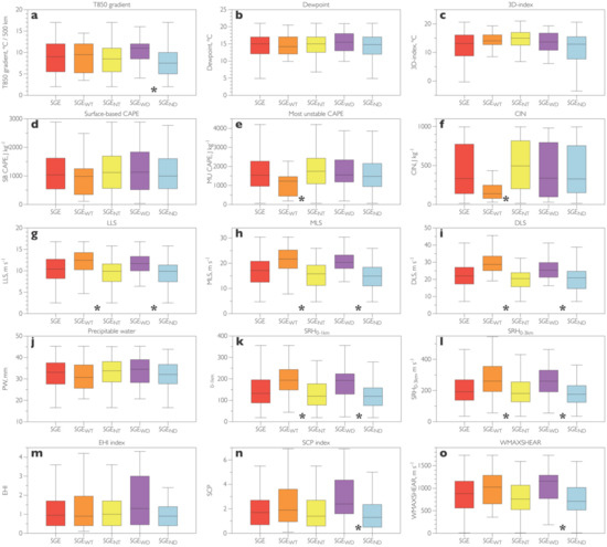
3.3.2. Convective and Kinematic Parameters
4. Discussion and Concluding Remarks
Supplementary Materials
Author Contributions
Funding
Institutional Review Board Statement
Informed Consent Statement
Data Availability Statement
Acknowledgments
Conflicts of Interest
References
- Goliger, A.M.; Milford, R.V. A review of worldwide occurrence of tornadoes. J. Wind Eng. Ind. Aerodyn. 1998, 74–76, 111–121. [Google Scholar] [CrossRef]
- Groenemeijer, P.; Púčik, T.; Holzer, A.M.; Antonescu, B.; Riemann-Campe, K.; Schultz, D.M.; Kühne, T.; Feuerstein, B.; Brooks, H.E.; Doswell, C.A.; et al. Severe convective storms in Europe: Ten years of research and education at the European Severe Storms Laboratory. Bull. Am. Meteorol. Soc. 2017, 98, 2641–2651. [Google Scholar] [CrossRef]
- Brooks, H.E.; Doswell, C.A., III; Zhang, X.; Chernokulsky, A.; Tochimoto, E.; Hanstrum, B.; Nascimento, E.; Sills, D.; Antonescu, B.; Barrett, B. A century of progress in severe convective storm research and forecasting. Meteor. Monogr. 2018, 59, 18.1–18.41. [Google Scholar] [CrossRef]
- Taszarek, M.; Groenemeijer, P.; Allen, J.T.; Edwards, R.; Brooks, H.E.; Chmielewski, V.; Enno, S.E. Severe convective storms across Europe and the United States. Part I: Climatology of lightning, large hail, severe wind, and tornadoes. J. Clim. 2020, 33, 10239–10261. [Google Scholar] [CrossRef]
- Antonescu, B.; Schultz, D.M.; Holzer, A.; Groenemeijer, P. Tornadoes in Europe: An Underestimated Threat. Bull. Amer. Meteor. Soc. 2017, 98, 713–728. [Google Scholar] [CrossRef]
- Pacey, G.P.; Schultz, D.M.; Garcia-Carreras, L. Severe convective windstorms in Europe: Climatology, preconvective environments, and convective mode. Weather Forecast. 2021, 36, 237–252. [Google Scholar] [CrossRef]
- Chernokulsky, A.; Kurgansky, M.; Mokhov, I.; Shikhov, A.; Azhigov, I.; Selezneva, E.; Zakharchenko, D.; Antonescu, B.; Kühne, T. Tornadoes in Northern Eurasia: From the Middle Age to the Information Era. Mon. Weather Rev. 2020, 148, 3081–3111. [Google Scholar] [CrossRef]
- Groenemeijer, P.; Kuhne, T. A climatology of tornadoes in Europe: Results from the European severe weather database. Mon. Weather Rev. 2014, 142, 4775–4790. [Google Scholar] [CrossRef]
- Wulder, M.A.; Masek, J.G.; Cohen, W.B.; Loveland, T.R.; Woodcock, C.E. Opening the archive: How free data has enabled the science and monitoring promise of Landsat. Remote Sens. Environ. 2012, 122, 2–10. [Google Scholar] [CrossRef]
- Shikhov, A.N.; Chernokulsky, A.V.; Azhigov, I.O.; Semakina, A.V. A satellite-derived database for stand-replacing windthrow events in boreal forests of European Russia in 1986–2017. Earth Syst. Sci. Data 2020, 12, 3489–3513. [Google Scholar] [CrossRef]
- Shikhov, A.N.; Chernokulsky, A.V. A satellite-derived climatology of unreported tornadoes in forested regions of northeast Europe. Remote Sens. Environ. 2018, 204, 553–567. [Google Scholar] [CrossRef]
- Burow, D.; Herrero, H.V.; Ellis, K.N. Damage analysis of three long-track tornadoes using high-resolution satellite imagery. Atmosphere 2020, 11, 613. [Google Scholar] [CrossRef]
- Sills, D.M.L.; Kopp, G.A.; Elliott, L.; Jaffe, A.L.; Sutherland, L.; Miller, C.S.; Kunkel, J.M.; Hong, E.; Stevenson, S.A.; Wang, W. The northern tornadoes project: Uncovering Canada’s true tornado climatology. Bull. Amer. Meteorol. Soc. 2020, 101, E2113–E2132. [Google Scholar] [CrossRef]
- Rodríguez, O.; Bech, J.; Arús, J.; Castán, S.; Figuerola, F.; Rigo, T. An overview of tornado and waterspout events in Catalonia (2000–2019). Atmos. Res. 2021, 250, 105415. [Google Scholar] [CrossRef]
- Taszarek, M.; Brooks, H.E. Tornado climatology of Poland. Mon. Wea. Rev. 2015, 143, 702–717. [Google Scholar] [CrossRef]
- Miglietta, M.M.; Matsangouras, I.T. An updated “climatology” of tornadoes and waterspouts in Italy. Int. J. Climatol. 2018, 38, 3667–3683. [Google Scholar] [CrossRef]
- Matsangouras, I.T.; Nastos, P.T.; Bluestein, H.B.; Sioutas, M.V. A climatology of tornadic activity over Greece based on historical records. Int. J. Climatol. 2014, 34, 2538–2555. [Google Scholar] [CrossRef]
- Kahraman, A.; Markowski, P.M. Tornado climatology of Turkey. Mon. Weather Rev. 2014, 142, 2345–2352. [Google Scholar] [CrossRef]
- Chen, J.; Cai, X.; Wang, H.; Kang, L.; Zhang, H.; Song, Y.; Zhu, H.; Zheng, W.; Li, F. Tornado climatology of China. Int. J. Climatol. 2017, 38, 2478–2489. [Google Scholar] [CrossRef]
- Gatzen, C.P.; Fink, A.H.; Schultz, D.M.; Pinto, J.G. An 18-year climatology of derechos in Germany. Nat. Hazards Earth Syst. Sci. 2020, 20, 1335–1351. [Google Scholar] [CrossRef]
- Bedritskii, A.I.; Korshunov, A.A.; Korshunova, N.N.; Lamanov, V.I.; Shaimardanov, M.Z. Hazardous hydrometeorological phenomena and their impact on Russia’s economy: Destructive-force winds. Russ. Meteorol. Hydrol. 2001, 9, 1–9. (In Russian) [Google Scholar]
- Chernokulsky, A.V.; Shikhov, A.N. 1984 Ivanovo tornado outbreak: Determination of actual tornado tracks with satellite data. Atmos. Res. 2018, 207, 111–121. [Google Scholar] [CrossRef]
- Moscow Storm Kills 16, Injures Nearly 170. Available online: https://edition.cnn.com/2017/05/30/europe/moscow-storm/index.html (accessed on 7 July 2021).
- Chernokulsky, A.V.; Kurgansky, M.V.; Mokhov, I.I.; Shikhov, A.N.; Azhigov, I.O.; Selezneva, E.V.; Zakharchenko, D.I.; Antonescu, B.; Kuhne, T. Tornadoes in the Russian Regions. Russ. Meteorol. Hydrol. 2021, 46, 69–82. [Google Scholar] [CrossRef]
- Chernokulsky, A.; Shikhov, A.; Bykov, A.; Azhigov, I. Satellite-Based Study and Numerical Forecasting of Two Tornado Outbreaks in the Ural Region in June 2017. Atmosphere 2020, 11, 1146. [Google Scholar] [CrossRef]
- Chernokulsky, A.V.; Kurgansky, M.V.; Zakharchenko, D.I.; Mokhov, I.I. Genesis Environments and Characteristics of the Severe Tornado in the South Ural on August 29, 2014. Russ. Meteorol. Hydrol. 2015, 40, 794–799. [Google Scholar] [CrossRef]
- Dmitrieva, T.G.; Peskov, B.E. Synoptic conditions, nowcasting, and numerical prediction of severe squalls and tornados in Bashkortostan on June 1, 2007 and August 29, 2014. Russ. Meteorol. Hydrol. 2016, 41, 673–682. [Google Scholar] [CrossRef]
- Shikhov, A.N.; Bykov, A.V. Study of two cases of severe tornadoes in the Predural’e region. Sovrem. Probl. Distantsionnogo Zondirovaniya Zemli iz Kosm. 2015, 12, 124–133. (In Russian) [Google Scholar]
- Shikhov, A.N.; Kalinin, N.A.; Bykov, A.V.; Azhigov, I.O.; Humikhina, A.V. Tornadoes in the environments of weak convective instability: Analysis of two cases in the eastern part of the European Russia. Sovrem. Probl. Distantsionnogo Zondirovaniya Zemli iz Kosm. 2020, 17, 255–268. (In Russian) [Google Scholar] [CrossRef]
- Dmitrieva, T.G.; Peskov, B.E. Numerical forecast with the mesosynoptic specification of extremely severe squalls in the European part of Russia (Case study for June 13 and July 29, 2010). Russ. Meteorol. Hydrol. 2013, 38, 71–79. [Google Scholar] [CrossRef]
- Novitskii, M.A.; Pavlyukov, Y.B.; Shmerlin, B.Y.; Makhnorylova, S.V.; Serebryannik, N.I.; Petrichenko, S.A.; Tereb, L.A.; Kalmykova, O.V. The tornado in Bashkortostan: The potential of analyzing and forecasting tornado-risk conditions. Russ. Meteorol. Hydrol. 2016, 41, 683–690. [Google Scholar] [CrossRef]
- Romanskii, S.O.; Verbitskaya, E.M.; Ageeva, S.V.; Istomin, D.P. Tornado in the City of Blagoveshchensk on July 31, 2011. Russ. Meteorol. Hydrol. 2018, 43, 574–580. [Google Scholar] [CrossRef]
- Kalinin, N.A.; Shikhov, A.N.; Bykov, A.V. Forecasting mesoscale convective systems in the Urals using the WRF model and remote sensing data. Russ. Meteorol. Hydrol. 2017, 42, 9–18. [Google Scholar] [CrossRef]
- Kalinin, N.A.; Shikhov, A.N.; Chernokulsky, A.V.; Kostarev, S.V.; Bykov, A.V. Environments of Formation of Severe Squalls and Tornadoes Causing Large-scale Windthrows in the Forest Zone of European Russia and the Ural. Russ. Meteorol. Hydrol. 2021, 46, 83–93. [Google Scholar] [CrossRef]
- Rasmussen, E.N.; Blanchard, D.O. A baseline climatology of sounding-derived supercell and tornado forecast parameters. Weather Forecast. 1998, 13, 1148–1164. [Google Scholar] [CrossRef]
- Púčik, T.P.; Groenemeijer, P.; Rýva, D.; Kolář, M. Proximity soundings of severe and nonsevere thunderstorms in central Europe. Mon. Weather Rev. 2015, 143, 4805–4821. [Google Scholar] [CrossRef]
- Taszarek, M.; Brooks, H.E.; Czernecki, B. Sounding-derived parameters associated with convective hazards in Europe. Mon. Weather Rev. 2017, 145, 1511–1528. [Google Scholar] [CrossRef]
- Brooks, H.E.; Lee, J.W.; Craven, J.P. The spatial distribution of severe thunderstorm and tornado environments from global reanalysis data. Atmos. Res. 2003, 67–68, 73–94. [Google Scholar] [CrossRef]
- Brooks, H.E. Proximity soundings for severe convection for Europe and the United States from reanalysis data. Atmos. Res. 2009, 93, 546–553. [Google Scholar] [CrossRef]
- Grams, J.S.; Thompson, R.L.; Snively, D.V.; Prentice, J.A.; Hodges, G.M.; Reames, L.J. A climatology and comparison of parameters for significant tornado events in the United States. Weather Forecast. 2012, 27, 106–123. [Google Scholar] [CrossRef]
- Taszarek, M.; Allen, J.T.; Púcik, T.; Hoogewind, K.A.; Brooks, H.E. Severe convective storms across Europe and the United States. Part II: ERA5 environments associated with lightning, large hail, severe wind, and tornadoes. J. Clim. 2020, 33, 10263–10286. [Google Scholar] [CrossRef]
- Gensini, V.A.; Mote, T.L.; Brooks, H.E. Severe-thunderstorm reanalysis environments and collocated radiosonde observations. J. Appl. Meteor. Climatol. 2014, 53, 742–751. [Google Scholar] [CrossRef]
- Taszarek, M.; Brooks, H.E.; Czernecki, B.; Szuster, P.; Fortuniak, K. Climatological aspects of convective parameters over Europe: A comparison of ERA-interim and sounding data. J. Clim. 2018, 31, 4281–4308. [Google Scholar] [CrossRef]
- Shikhov, A.N.; Perminova, E.S.; Perminov, S.I. Satellite-based analysis of the spatial patterns of fire and storm-related forest disturbances in the Ural region, Russia. Nat. Hazards 2019, 97, 283–308. [Google Scholar] [CrossRef]
- Territorial Department of the Federal State Statistics Service for the Perm Region. Available online: https://permstat.gks.ru/folder/33429 (accessed on 7 July 2021).
- Bartalev, S.A.; Egorov, V.A.; Zharko, V.O.; Lupyan, E.A.; Plotnikov, D.E.; Khvostikov, S.A.; Shabanov, N.V. Satellite-Based Mapping of the Vegetation Cover of Russia; Space Research Institute of RAS: Moscow, Russia, 2016; p. 208. (In Russian) [Google Scholar]
- Ellison, D.; Morris, C.E.; Locatelli, B.; Sheil, D.; Cohen, J.; Murdiyarso, D.; Gutierrez, V.; Noordwijk, M.V.; Creed, I.F.; Pokorny, J.; et al. Trees, forests and water: Cool insights for a hot world. Glob. Environ. Chang. 2017, 43, 51–61. [Google Scholar] [CrossRef]
- Sitnov, S.A.; Mokhov, I.I. Water-Vapor Content in the Atmosphere over European Russia during the Summer 2010 Fires. Izv. Atmos. Ocean. Phys. 2013, 49, 380–394. [Google Scholar] [CrossRef]
- Shklyaev, V.A. Features of the distribution of convective events in the Urals. In Voprosy Prognoza Pogody, Klimata i Tsirkulyatsii Atmosfery; Perm State University: Perm, Russia, 1990; pp. 76–86. (In Russian) [Google Scholar]
- Gibson, H.M.; Vonder Haar, T.H. Cloud and Convection Frequencies over the Southeast United States as Related to Small-Scale Geographic Features. Mon. Weather Rev. 1990, 118, 2215–2227. [Google Scholar] [CrossRef][Green Version]
- Hazardous Weather Events in the Territory of Siberia and Ural; Handbook for Specialists; Gidrometeoizdat: Leningrad, Russia, 1987; p. 200. (In Russian)
- Lassig, R.; Mochalov, S.A. Frequency and characteristics of severe storms in the Urals and their influence on the development, structure and management of the boreal forests. Forest Ecol. Man. 2000, 135, 179–194. [Google Scholar] [CrossRef]
- Rozhkow, A.A.; Kozak, B.T. Forest Sustainability; Agropromizdat: Moscow, Russia, 1989; p. 239. (In Russian) [Google Scholar]
- Bulygina, O.N.; Veselov, V.M.; Razuvaev, V.N.; Aleksandrova, T.M. Description of the Dataset of Observational Data on Major Meteorological Parameters from Russian Weather Stations. 2014. Available online: http://meteo.ru/data/163-basicparameters (accessed on 7 July 2021). (In Russian).
- List and Criteria of Hazardous Weather Phenomena. Available online: https://meteoinfo.ru/hazards-definitions (accessed on 7 July 2021). (In Russian).
- Acts of Inspection of the Consequences of the Hazardous Weather Events; Unpublished work; Perm Center for Hydrometeorology and Environmental Monitoring (Permskii TsGMS): Perm, Russia, 2020. (In Russian)
- Beaufort Wind Force Scale. Available online: https://www.weather.gov/jetstream/beaufort_max (accessed on 7 July 2021).
- Wind Science and Engineering Center. A Recommendation for an Enhanced Fujita Scale (EFscale). 2006. Available online: https://www.spc.noaa.gov/faq/tornado/EFScale.pdf (accessed on 6 September 2021).
- Shamin, S.I.; Buhonova, L.K.; Sanina, A.T. Database of Hazardous and Unfavourable Hydrometeorological Events That Did Damage to the Economy and Population of the Russian Federation. 2019. Available online: http://meteo.ru/english/climate/weather_and_hazards.php (accessed on 7 July 2021). (In Russian).
- Monthly Reviews of Hazardous Weather Events. Russian Meteorology and Hydrology. Available online: http://mig-journal.ru/en/archive-eng (accessed on 7 July 2021). (In Russian).
- European Severe Weather Database. Available online: http://www.eswd.eu (accessed on 7 July 2021).
- Klaes, K.D. A status update on EUMETSAT programmes and plans. Proc. SPIE Int. Soc. Optical Eng. 2017, 10402, 1040202. [Google Scholar]
- Kalinin, N.A.; Smirnova, A.A. Determination of liquid water content and reserve of cumulonimbus cloudiness from meteorological radar information. Russ. Meteorol. Hydrol. 2011, 36, 91–101. [Google Scholar] [CrossRef]
- Newark, M.J. Canadian tornadoes, 1950–1979. Atmos.-Ocean 1984, 22, 343–353. [Google Scholar] [CrossRef]
- Rauhala, J.; Brooks, H.E.; Schultz, D.M. Tornado climatology of Finland. Mon. Weather Rev. 2012, 140, 1446–1456. [Google Scholar] [CrossRef][Green Version]
- Hersbach, H.; Bell, B.; Berrisford, P.; Hirahara, S.; Horányi, A.; Muñoz-Sabater, J.; Nicolas, J.; Peubey, C.; Radu, R.; Schepers, D.; et al. The ERA5 global reanalysis. Q. J. Royal Meteorol. Soc. 2020, 146, 1999–2049. [Google Scholar] [CrossRef]
- Livingston, R. The Subsynoptic Pre-Tornado Environment. Ph.D. Thesis, University of Missouri, Columbia, MO, USA, 1983; p. 250. [Google Scholar]
- Doswell, C.A., III; Schultz, D.M. On the use of indices and parameters in forecasting severe storms. Electron. J. Sev. Storms Meteor. 2006, 1, 1–22. [Google Scholar]
- Thompson, R.L.; Edwards, R.; Hart, J.A.; Elmore, K.L.; Markowski, P. Close proximity soundings within supercell environments obtained from the Rapid Update Cycle. Weather Forecast. 2003, 18, 1243–1261. [Google Scholar] [CrossRef]
- Moncrieff, M.W.; Miller, M.J. The dynamics and simulation of tropical cumulonimbus and squall lines. Q. J. Royal Meteorol. Soc. 1976, 102, 373–394. [Google Scholar] [CrossRef]
- Manual on Short-Range Weather Forecasting; Gidrometeoizdat: Leningrad, Russia, 1986; Volume 1. (In Russian)
- Stein, A.F.; Draxler, R.R.; Rolph, G.D.; Stunder, B.J.B.; Cohen, M.D.; Ngan, F. NOAA’s HYSPLIT atmospheric transport and dispersion modeling system. Bull. Amer. Meteor. Soc. 2015, 96, 2059–2077. [Google Scholar] [CrossRef]
- Molina, M.J.; Allen, J.T. On the moisture origins of tornadic thunderstorms. J. Clim. 2019, 32, 4321–4346. [Google Scholar] [CrossRef]
- Finch, J.; Bikos, D. Russian tornado outbreak of 9 June 1984. Electron. J. Sev. Storms Meteorol. 2012, 7, 1–28. [Google Scholar]
- Silverman, B.W. Density Estimation for Statistics and Data Analysis; Chapman and Hall: New York, NY, USA, 1986; p. 22. [Google Scholar]
- National Severe Storms Laboratory. Thunderstorm Types. Available online: https://www.nssl.noaa.gov/education/svrwx101/thunderstorms/types/ (accessed on 7 July 2021).
- Virts, K.S.; Wallace, J.M.; Hutchins, M.L.; Holzworth, R.H. Highlights of a new ground-based, hourly global lightning climatology. Bull. Amer. Meteorol. Soc. 2013, 94, 1381–1391. [Google Scholar] [CrossRef]
- Brooks, H.E. On the relationship of tornado path length and width to intensity. Weather Forecast. 2004, 19, 310–319. [Google Scholar] [CrossRef]
- Fujita, T.T. Tornadoes and downbursts in the context of generalized planetary scales. J. Atmos. Sci. 1981, 38, 1511–1534. [Google Scholar] [CrossRef]
- Solari, G. Thunderstorm Downbursts and Wind Loading of Structures: Progress and Prospect. Front. Built Environ. 2020, 6, 63. [Google Scholar] [CrossRef]
- Snitkovskii, A. Tornadoes in the USSR. Sov. Meteorol. Gidrol. 1987, 9, 12–25. (In Russian) [Google Scholar]
- Sherburn, K.D.; Parker, M.D. Climatology and ingredients of significant severe convection in high-shear, low-CAPE environments. Weather Forecast. 2014, 29, 854–877. [Google Scholar] [CrossRef]
- Coniglio, M.C.; Brooks, H.E.; Weiss, S.J.; Corfidi, S.F. Forecasting the maintenance of quasi-linear mesoscale convective systems. Weather Forecast. 2007, 22, 556–570. [Google Scholar] [CrossRef][Green Version]
- Atkins, N.T.; Wakimoto, R.M. Wet microburst activity over the southeastern United States: Implications for forecasting. Weather Forecast. 1991, 6, 470–482. [Google Scholar] [CrossRef]
- Rasmussen, E.N. Refined Supercell and Tornado Forecast Parameters. Weather Forecast. 2003, 18, 530–535. [Google Scholar] [CrossRef]
- Grieser, J.; Haines, P. Tornado Risk Climatology in Europe. Atmosphere 2020, 11, 768. [Google Scholar] [CrossRef]
- Anderson, C.J.; Wikle, C.K.; Zhou, Q.; Royle, J.A. Population influences on tornado reports in the United States. Weather Forecast. 2007, 22, 571–579. [Google Scholar] [CrossRef]
- Potvin, C.K.; Broyles, C.; Skinner, P.S.; Brooks, H.E.; Rasmussen, E. A Bayesian hierarchical modeling framework for correcting reporting bias in the U.S. tornado database. Weather Forecast. 2019, 34, 15–30. [Google Scholar] [CrossRef]










| The Main Data Source | Storm Event Type | |||||
|---|---|---|---|---|---|---|
| Squall | Tornado | Combined (Squall and Tornado) | ||||
| Event Certainty Degree | ||||||
| High | Medium | High | Medium | High | Medium | |
| Weather station report | Weather station reported convective wind gust ≥25 m·s−1; damage report is also available or forest damage induced by squall is found on satellite images; and/or the report is mentioned in the databases of severe weather events in Russia, and/or the event was accompanied by heavy rainfall, hailstorm. 28 reports | Weather station =-reported convective wind gust ≥25 m·s−1; but no damage information (including forest damage) is available, the report is not mentioned in the databases of severe weather events in Russia and not accompanied by heavy rainfall, hailstorm. 10 reports | Cases of tornado from official report of the state weather service, observed at the weather stations. No reports | Observations of “tornado” or ‘‘land spouts’’ at the weather stations, under tornado-plausible conditions. No reports | The same as for tornado with high certainty degree, but squall-induced damage to property and infrastructure, or windthrow associated with both squall and tornado is found. No reports | The same as for tornado with medium certainty degree, but squall-induced damage to property and infrastructure, or windthrow associated with both squall and tornado is found. No reports |
| Damage report | Damage to property and infrastructure indicates a wind gust of ≥25 m·s−1 (e.g., roofs of buildings are destroyed, power transmission towers are broken), or people died or injured. The event is confirmed by damage inspection or squall-induced forest damage is found on satellite images, or nearest weather station reported wind gust ≥ 20 m·s−1 31 reports | Damage to property and infrastructure indicates a wind gust of ≥25 m·s−1, but no damage inspection is carried out, or detailed damage description is not available, forest damage is not found on satellite images, nearest weather station does not report the event 15 reports | Tornado caused damage to property and infrastructure, confirmed by the official report of the state weather service, scientific literature or existing climatology. In addition, news with detailed information on tornado-related impact accompanied with witness reports are available or tornado-induced forest damage is found on satellite images 3 reports | Tornado caused damage to property and infrastructure, confirmed by the official report of the state weather service, scientific literature or existing climatology, tornado-related impact was reported, but witness report is not available; tornado- induced forest damage is not found on satellite images 3 reports | The same as for tornado with high certainty degree, but squall-induced damage to property and infrastructure, or windthrow associated with both squall and tornado is found. 2 reports | The same as for tornado with medium certainty degree, but squall-induced damage to property and infra-structure or windthrow associated with both squall and tornado is found. No reports |
| Forest damage (area ≥5 ha for tornado, ≥25 ha for squall) | Squall-induced windthrow is found on satellite images; storm event is also confirmed by weather station, damage or eye-witness report, or windthrow is verified with HRIs 14 reports | Squall-induced windthrow is found on satellite images; other data sources are not available, and HRIs are also unavailable 2 reports | Tornado-induced windthrow is found on satellite images and verified with HRIs 24 reports | Tornado-induced windthrow is found on satellite images, but not verified with HRIs 25 reports | Forest damage induced by both squall and tornado, verified with HRIs 3 reports | Forest damage induced by both squall and tornado, not verified with HRIs 1 report |
| Eye-witness report | Eyewitness reports, photos and videos of squall events are used only as additional data sources, and not as the main sources. | Eyewitness reports, photos and videos of squall events are used only as additional data sources, and not as the main sources. | The presence of photos/videos of a vortex itself; photos/videos of tornado-related impact accompanied with witness detailed verbal reports, or the report is confirmed by the existing climatology 1 report | Verbal reports by witnesses without impact description and photo/video evidences; photo/video materials for tornado-related impact without witness reports, or the report is confirmed by the existing climatology 3 reports | The same as for tornado with high certainty degree, but squall-induced damage to property and infrastructure, or windthrow associated with both squall and tornado is found. No reports | The same as for tornado with medium certainty degree, but squall-induced damage to property and infra-structure or windthrow associated with both squall and tornado is found. No reports |
| Field Name | Field Alias | Description |
|---|---|---|
| ID | Storm event ID | Storm event ID |
| Main_Src | Main data source | Main data source on storm event (weather station report, damage report, satellite data on windthrow or several sources) |
| Add_Src | Additional data source | Additional data sources on storm event) |
| Certainty | Event certainty degree | Event certainty degree (high or medium) |
| WMOID | WMOID | WMO ID of the nearest weather station |
| WS_dist | Distance to weather station | Distance to the nearest weather station (km) |
| Event_type | Storm event type | Storm event type (squall, tornado, or both of them) |
| Date | Storm event date | Storm event date |
| Date_range | Range of dates | Range of dates (for events with unknown date) |
| Year | Year | The year of the event |
| Month | Month | The month of the event |
| Time | Time | Time of event (UTC) |
| Time_acc | Time precision | precision of time determination |
| Direction | Direction | Movement direction (by direction segments) |
| Intensity1 | Measured wind speed | Measured intensity (only for events reported at weather stations), m·s−1 |
| Intensity2 | Estimated intensity | Estimated intensity according to damage survey data (m·s−1), or the F-scale intensity for tornadoes |
| Weather | Accompanied weather events | Accompanied weather events such as thunderstorms, heavy rainfall (≥15 mm), hailstorms, according to weather stations or eyewitness observations |
| Damage | Damage description | Description of related damage (except windthrow), according to damage survey, media reports or eye-witness data |
| Injured | Injured | Number of injured peoples |
| Dead | Dead | Number of dead peoples |
| Storm_type | Storm type | Storm type (mesoscale convective complex, QLCS, supercell or low-organised storm) |
| Storm_Src | Source for storm type | Data source for storm type determination |
| Windthrow | ID of windthrow | ID of windthrow related to the storm event. |
| Start_lat | Windthrow start (lat) | Latitude of the windthrow start point |
| Start_long | Windthrow start (long) | Longitude of the windthrow start point |
| End_lat | Windthrow end (lat) | Latitude of the windthrow end point |
| End_long | Windthrow end (long) | Longitude of the windthrow end point |
| Length | Windthrow length | Length of the windthrow (km) |
| Max_width | Windthrow max width | Maximum width of the windthrow, including gaps (m) |
| Area_full | Windthrow area | Total area of the windthrow (km2) |
| Area_Perm | Windthrow area (Perm) | Area of the windthrow within PR only (km2) |
| Date and Time (UTC) | Number of Squall and Tornado Events and Their Intensity | Damage Reports | Injured and Dead | Windthrow Area, km2 (in Perm Region Only) |
|---|---|---|---|---|
| 25 August 1984 (09.00–15.00) | Three tornadoes, two of them significant (≥F2), path length up to 54 km; squall 27 m·s−1 (weather station 28016) | No damage reports | No data | 11.92 |
| 31 May 1988 (12.00) | Squall 33 m·s−1 (weather station 28321) | Roofs of 140 houses were destroyed in Okhansk town | No data | 0.52 |
| 18 June 1990 (15.00) | Squall 30 m·s−1 (weather station 28313); damage survey reported wind speed up to 32 m·s−1 | Many buildings were damaged in two municipalities, power supply was interrupted | No data | 24.04 |
| 4 July 1992 (12.00–15.00) | Squall 28 m·s−1 (weather station 23909) | No damage reports | 0/0 | 10.14 |
| 29 June 1993 (18.00–21.00) | Three tornadoes, two of them significant (≥F2); damage survey reported wind speed up to 33 m·s−1 | Roofs of 70 houses were destroyed, agricultural machines were damaged | 4/0 | 4.61 |
| 30 June 1993 (15.00) | Squall 24 m·s−1 (weather station 23913) | No damage reports | 0/0 | 22.58 |
| 22 May 2001 (10.00–13.00) | Squall 27–31 m·s−1 (weather stations 28216, 28313, 28222, 28226, 28228) | Power and water supply was disrupted; the roofs of many buildings were damaged, the damage in the city of Perm was estimated as ≈ 2 M. | 14/2 | 0 |
| 7 June 2009 (09.30–13.00) | Fourteen tornadoes, six of them significant (≥F2), squalls up to 25 m·s−1 | Roofs of 61 houses in three settlements were damaged by tornadoes | 2/0 | 19.40 |
| 18 July 2012 (08.00–14.00) | Squalls affected most of PR (observed wind gust up to 28 m·s−1); three tornadoes (F1 intensity) were reported | Hundreds of houses were heavily damaged; power and water supply of 200 k people was disrupted | 11/1 | 196.76 |
| 17 August 2014 (12.00–14.00) | Squall (estimated wind speed 28 m·s−1) | 80 houses and 10 social facilities were heavily damaged; 4 reinforced concrete power transmission towers were broken | 0/1 | 7.97 |
| 13 September 2018 (13.00–15.00) | Seven tornadoes, including one significant tornado (≥F2); squalls also were observed | 14 buildings were damaged in Krasnovishersk town | 0/0 | 2.55 |
| Synoptic-Scale Situation/Frontal Systems | Rapidly Moving Cold Front | Waving Quasi-Stationary or Slowly Moving Front | Secondary Cold Front | Occlusion Point | Warm Sector | Flanc of High-Pressure System | |
|---|---|---|---|---|---|---|---|
| Number of cases | 13/43 | 4/26 | 6/5 | 5/3 | 0/5 | 0/4 | |
| Origin of low-pressure system | Western | Southwestern | Southern | North-western | Locally formed | No low-pressure system | |
| Number of cases | 13/14 | 3/11 | 7/23 | 0/14 | 5/19 | 0/5 | |
| Development stage of low-pressure system | Wave | Deepened | Maximum development | Dissipated | No low-pressure system | ||
| Number of cases | 3/8 | 11/46 | 19/30 | 8/11 | 0/5 | ||
Publisher’s Note: MDPI stays neutral with regard to jurisdictional claims in published maps and institutional affiliations. |
© 2021 by the authors. Licensee MDPI, Basel, Switzerland. This article is an open access article distributed under the terms and conditions of the Creative Commons Attribution (CC BY) license (https://creativecommons.org/licenses/by/4.0/).
Share and Cite
Shikhov, A.; Chernokulsky, A.; Kalinin, N.; Bykov, A.; Pischalnikova, E. Climatology and Formation Environments of Severe Convective Windstorms and Tornadoes in the Perm Region (Russia) in 1984–2020. Atmosphere 2021, 12, 1407. https://doi.org/10.3390/atmos12111407
Shikhov A, Chernokulsky A, Kalinin N, Bykov A, Pischalnikova E. Climatology and Formation Environments of Severe Convective Windstorms and Tornadoes in the Perm Region (Russia) in 1984–2020. Atmosphere. 2021; 12(11):1407. https://doi.org/10.3390/atmos12111407
Chicago/Turabian StyleShikhov, Andrey, Alexander Chernokulsky, Nikolay Kalinin, Alexey Bykov, and Evgeniya Pischalnikova. 2021. "Climatology and Formation Environments of Severe Convective Windstorms and Tornadoes in the Perm Region (Russia) in 1984–2020" Atmosphere 12, no. 11: 1407. https://doi.org/10.3390/atmos12111407
APA StyleShikhov, A., Chernokulsky, A., Kalinin, N., Bykov, A., & Pischalnikova, E. (2021). Climatology and Formation Environments of Severe Convective Windstorms and Tornadoes in the Perm Region (Russia) in 1984–2020. Atmosphere, 12(11), 1407. https://doi.org/10.3390/atmos12111407

