Thermally and Dynamically Driven Atmospheric Circulations over Heterogeneous Atmospheric Boundary Layer: Support for Safety Protocols and Environment Management at Nuclear Central Areas
Abstract
:1. Introduction
2. Material and Methods
2.1. Study Area
2.2. Data and Study Period
2.3. Quality Control of Wind and Temperature Meteorological Data
2.4. Techniques Composing the Combined Statistical Modeling Strategies
3. Results and Discussion
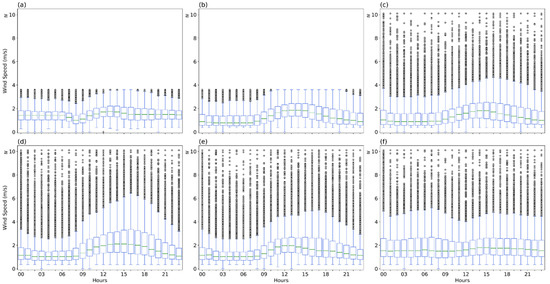
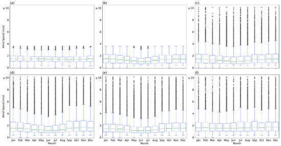
3.1. Analysis of Local Circulation: Temporal Domain Analysis
3.2. Identification and Hierarchy of Processes Governing Near-Surface Circulation: Time–Frequency Domain Analysis
3.3. Characterization of the Local Atmosphere: Stability Analysis
3.4. Wind and Stability Data of the Local Atmosphere: Correlation Analysis
3.5. Integrated Analysis to Identify the Main Forcing, System and Process to CNAAA’s Region Modeling (Atmospheric and Radionuclide Dispersion Models)
- Initial and boundary conditions: high resolution databases of topography, land use land cover (LULC) categories and coastline and time-varying sea surface temperature (SST).
- Domain: vertical (<50 m) and horizontal high resolution (<1 km) and number of points.
- Physical parametrization: soil, surface and boundary layer, longwave and shortwave radiation and microphysics; Large Eddy simulation (LES).
- Other: nested grids, observational data assimilation, nonhydrostatic and hybrid sigma-pressure vertical coordinate.
- Initial and boundary conditions: global atmospheric model, high resolution databases of topography and LULC.
- Physical parametrization: boundary layer, horizontal diffusion, longwave and shortwave radiation and microphysics.
- Other: nested grids, observational data assimilation, nonhydrostatic and hybrid sigma-pressure vertical coordinate.
3.6. Integrated Environmental Analysis for Emergency Planning in the CNAAA’s Area
4. Conclusions
Author Contributions
Funding
Institutional Review Board Statement
Informed Consent Statement
Data Availability Statement
Acknowledgments
Conflicts of Interest
Appendix A


References
- Bradshaw, A.M.; Hamacher, T.; Fischer, U. Is Nuclear Fusion a Sustainable Energy Form? Fusion Eng. Des. 2011, 86, 2770–2773. [Google Scholar] [CrossRef] [Green Version]
- Bornschein, B.; Day, C.; Demange, D.; Pinna, T. Tritium Management and Safety Issues in ITER and DEMO Breeding Blankets. Fusion Eng. Des. 2013, 88, 466–471. [Google Scholar] [CrossRef]
- International Atomic Energy Agency, (IAEA). Nuclear Share of Electricity Generation in 2020. Available online: https://pris.iaea.org/PRIS/WorldStatistics/NuclearShareofElectricityGeneration.aspx (accessed on 21 June 2021).
- Molinier, L.; Combescure, C.; Chouaid, C.; Daurès, J.-P.; Housset, B.; Fabre, D.; Grand, A.; Vergnenègre, A. Cost of Lung Cancer: A Methodological Review. PharmacoEconomics 2006, 24, 651–659. [Google Scholar] [CrossRef]
- Iwata, H.; Okada, K.; Samreth, S. Empirical Study on the Environmental Kuznets Curve for CO2 in France: The Role of Nuclear Energy. Energy Policy 2010, 38, 4057–4063. [Google Scholar] [CrossRef] [Green Version]
- Intergovernmental Panels on Climate Change, (IPCC). Renewable Energy Sources and Climate Change Mitigation: Special Report of the Intergovernmental Panel on Climate Change; Ottmar, E., Ramón, P.-M., Youba, S., Kristin, S., Susanne, K., Timm, Z., Patrick, E., Gerrit, H., Steffen, S., von Christoph, S., Eds.; Patrick Matschoss: Cambridge, UK, 2012; ISBN 978-1-107-60710-1. [Google Scholar]
- Visschers, V.H.M.; Keller, C.; Siegrist, M. Climate Change Benefits and Energy Supply Benefits as Determinants of Acceptance of Nuclear Power Stations: Investigating an Explanatory Model. Energy Policy 2011, 39, 3621–3629. [Google Scholar] [CrossRef]
- Baek, J. A Panel Cointegration Analysis of CO2 Emissions, Nuclear Energy and Income in Major Nuclear Generating Countries. Appl. Energy 2015, 145, 133–138. [Google Scholar] [CrossRef]
- Oliveira, S.S.B.; Santos, D.; Cardoso, D.L.; Ruzene, D.S.; Silva, D.P.; do Amaral, G.R. Energia Nuclear: Vantagens e Desvantagens. An. VIII SIMPROD 2016, 3, 362–368. [Google Scholar]
- Rashad, S.M.; Hammad, F.H. Nuclear Power and the Environment: Comparative Assessment of Environmental and Health Impacts of Electricity-Generating Systems. Appl. Energy 2000, 65, 211–229. [Google Scholar] [CrossRef]
- Hore-Lacy, I. Nuclear Energy in the 21st Century; World Nuclear University Press: London, UK, 2007; ISBN 978-0-12-373622-2. [Google Scholar]
- Menyah, K.; Wolde-Rufael, Y. CO2 Emissions, Nuclear Energy, Renewable Energy and Economic Growth in the US. Energy Policy 2010, 38, 2911–2915. [Google Scholar] [CrossRef]
- Price, R.; Blaise, J.R. NEA Updates, NEA News 2002; The Nuclear Energy Agency: Paris, France, 2002; pp. 10–13. [Google Scholar]
- British Petroleum, (BP). BP Statistical Review of World Energy 2019; British Petroleum (BP): London, UK, 2019; pp. 1–64. [Google Scholar]
- de Saraiva, G.J.P. Energia Nuclear No Brasil: Fatores Internos e Pressões Externas; Cadernos de Estudos Estratégicos, Centro de Estudos Estratégicos, Escola Superior de Guerra: Rio de Janeiro, Brazil, 2007; ISBN 9771808947002. [Google Scholar]
- Gioia, A. Nuclear Accidents and International Law. In International Disaster Response Law; de Guttry, A., Gestri, M., Venturini, G., Eds.; TMC Asser Press: The Hague, The Netherlands, 2012; pp. 85–102. ISBN 978-90-6704-881-1. [Google Scholar]
- Empresa de Pesquisa Energética, (EPE). Potencial dos Recursos Energéticos no Horizonte 2050; Recursos Energéticos; Empresa de Pesquisa Energética (EPE): Rio de Janeiro, Brazil; Ministério de Minas e Energia (MME): Rio de Janeiro, Brazil, 2018; p. 186. [Google Scholar]
- International Atomic Energy Agency, (IAEA). Nuclear Technology Review 2012; International Atomic Energy Agency (IAEA): Vienna, Austria, 2012; p. 182. [Google Scholar]
- Empresa de Pesquisa Energética, (EPE). Plano Nacional de Energia 2030; Projeções; Empresa de Pesquisa Energética (EPE): Rio de Janeiro, Brazil; Ministério de Minas e Energia (MME): Rio de Janeiro, Brazil, 2007; pp. 1–372. [Google Scholar]
- International Atomic Energy Agency, (IAEA). Meteorological and Hydrological Hazards in Site Evaluation for Nuclear Installations: Safety Guide; IAEA Safety Standards Series No. SSG-18; International Atomic Energy Agency (IAEA): Vienna, Austria, 2011; ISBN 978-92-0-115210-7. [Google Scholar]
- World Meteorological Organization (WMO). Guide to Instruments and Methods of Observation; World Meteorological Organization: Geneva, Switzerland, 2018; ISBN 978-92-63-10008-5. [Google Scholar]
- Calpini, B.; Ruffieux, D.; Bettems, J.-M.; Hug, C.; Huguenin, P.; Isaak, H.-P.; Kaufmann, P.; Maier, O.; Steiner, P. Ground-Based Remote Sensing Profiling and Numerical Weather Prediction Model to Manage Nuclear Power Plants Meteorological Surveillance in Switzerland. Atmos. Meas. Tech. 2011, 4, 1617–1625. [Google Scholar] [CrossRef] [Green Version]
- Krivec, T.; Kocijan, J.; Perne, M.; Grašic, B.; Božnar, M.Z.; Mlakar, P. Data-Driven Method for the Improving Forecasts of Local Weather Dynamics. Eng. Appl. Artif. Intell. 2021, 105, 104423. [Google Scholar] [CrossRef]
- Lehner, M.; Rotach, M. Current Challenges in Understanding and Predicting Transport and Exchange in the Atmosphere over Mountainous Terrain. Atmosphere 2018, 9, 276. [Google Scholar] [CrossRef] [Green Version]
- Paiva, L.M.S.; Bodstein, G.C.R.; Pimentel, L.C.G. Influence of High-Resolution Surface Databases on the Modeling of Local Atmospheric Circulation Systems. Geosci. Model Dev. 2014, 7, 1641–1659. [Google Scholar] [CrossRef] [Green Version]
- Warner, T.T. Numerical Weather and Climate Prediction; Amsterdam University Press: Amsterdam, The Netherlands, 2009; p. 21. [Google Scholar]
- Suarez, A.; Stauffer, D.R.; Gaudet, B.J. Wavelet-Based Methodology for the Verification of Stochastic Submeso and Meso-Gamma Fluctuations. Mon. Weather Rev. 2015, 143, 4220–4235. [Google Scholar] [CrossRef]
- Mattar, C.; Borvarán, D. Offshore Wind Power Simulation by Using WRF in the Central Coast of Chile. Renew. Energy 2016, 94, 22–31. [Google Scholar] [CrossRef]
- Olson, J.B.; Kenyon, J.S.; Djalalova, I.; Bianco, L.; Turner, D.D.; Pichugina, Y.; Choukulkar, A.; Toy, M.D.; Brown, J.M.; Angevine, W.M.; et al. Improving Wind Energy Forecasting through Numerical Weather Prediction Model Development. Bull. Am. Meteorol. Soc. 2019, 100, 2201–2220. [Google Scholar] [CrossRef]
- Bou-Zeid, E.; Anderson, W.; Katul, G.G.; Mahrt, L. The Persistent Challenge of Surface Heterogeneity in Boundary-Layer Meteorology: A Review. Bound.-Layer Meteorol. 2020, 177, 227–245. [Google Scholar] [CrossRef]
- Edwards, J.M.; Beljaars, A.C.M.; Holtslag, A.A.M.; Lock, A.P. Representation of Boundary-Layer Processes in Numerical Weather Prediction and Climate Models. Bound.-Layer Meteorol. 2020, 177, 511–539. [Google Scholar] [CrossRef]
- International Atomic Energy Agency, (IAEA). Nuclear Technology Review 2020; International Atomic Energy Agency (IAEA): Vienna, Austria, 2020; p. 77. [Google Scholar]
- Silva, C.; Landau, L.; Claudio Gomes Pimentel, L.; Fernando Lavalle Heilbron Filho, P. GIS as a Decision Support Tool in the Area of Influence of the Nuclear Complex Angra Dos Reis, Brazil. JGIS 2013, 5, 13–23. [Google Scholar] [CrossRef] [Green Version]
- Whiteman, C.D.; Doran, J.C. The Relationship between Overlying Synoptic-Scale Flows and Winds within a Valley. J. Appl. Meteor. Climatol. 1993, 32, 1669–1682. [Google Scholar] [CrossRef] [Green Version]
- Whiteman, C.D. Mountain Meteorology: Fundamentals and Applications; Oxford University Press: New York, NY, USA, 2000; ISBN 978-0-19-513271-7. [Google Scholar]
- Barry, R.G. Mountain Weather and Climate, 3rd ed.; Cambridge University Press: Cambridge, UK, 2008; ISBN 978-0-521-68158-2. [Google Scholar]
- Oliveira Júnior, J.F.D.; Pimentel, L.C.G.; Landau, L. Critérios de Estabilidade Atmosférica para a Região da Central Nuclear Almirante Álvaro Alberto, Angra dos Reis–RJ. Rev. Bras. Meteorol. 2010, 25, 270–285. [Google Scholar] [CrossRef]
- Doran, J.C.; Fast, J.D.; Horel, J. The Vtmx 2000 Campaign. Bull. Amer. Meteor. Soc. 2002, 83, 537–554. [Google Scholar] [CrossRef]
- Zhong, S.; Fast, J. An Evaluation of the MM5, RAMS, and Meso-Eta Models at Subkilometer Resolution Using VTMX Field Campaign Data in the Salt Lake Valley. Mon. Weather Rev. 2003, 131, 1301–1322. [Google Scholar] [CrossRef]
- Rotach, M.W.; Calanca, P.; Graziani, G.; Gurtz, J.; Steyn, D.G.; Vogt, R.; Andretta, M.; Christen, A.; Cieslik, S.; Connolly, R.; et al. Turbulence Structure and Exchange Processes in an Alpine Valley: The Riviera Project. Bull. Amer. Meteor. Soc. 2004, 85, 1367–1386. [Google Scholar] [CrossRef] [Green Version]
- Weigel, A.P.; Chow, F.K.; Rotach, M.W. On the Nature of Turbulent Kinetic Energy in a Steep and Narrow Alpine Valley. Bound.-Layer Meteorol. 2007, 123, 177–199. [Google Scholar] [CrossRef]
- Grubišić, V.; Doyle, J.D.; Kuettner, J.; Mobbs, S.; Smith, R.B.; Whiteman, C.D.; Dirks, R.; Czyzyk, S.; Cohn, S.A.; Vosper, S.; et al. The Terrain-Induced Rotor Experiment: A Field Campaign Overview Including Observational Highlights. Bull. Amer. Meteor. Soc. 2008, 89, 1513–1534. [Google Scholar] [CrossRef]
- Whiteman, C.D.; Muschinski, A.; Zhong, S.; Fritts, D.; Hoch, S.W.; Hahnenberger, M.; Yao, W.; Hohreiter, V.; Behn, M.; Cheon, Y.; et al. Metcrax 2006: Meteorological Experiments in Arizona’s Meteor Crater. Bull. Amer. Meteor. Soc. 2008, 89, 1665–1680. [Google Scholar] [CrossRef] [Green Version]
- Lehner, M.; Whiteman, C.D.; Hoch, S.W.; Crosman, E.T.; Jeglum, M.E.; Cherukuru, N.W.; Calhoun, R.; Adler, B.; Kalthoff, N.; Rotunno, R.; et al. The METCRAX II Field Experiment: A Study of Downslope Windstorm-Type Flows in Arizona’s Meteor Crater. Bull. Amer. Meteor. Soc. 2016, 97, 217–235. [Google Scholar] [CrossRef]
- Price, J.D.; Vosper, S.; Brown, A.; Ross, A.; Clark, P.; Davies, F.; Horlacher, V.; Claxton, B.; McGregor, J.R.; Hoare, J.S.; et al. COLPEX: Field and Numerical Studies over a Region of Small Hills. Bull. Amer. Meteor. Soc. 2011, 92, 1636–1650. [Google Scholar] [CrossRef] [Green Version]
- Fernando, H.J.S.; Pardyjak, E.R.; Di Sabatino, S.; Chow, F.K.; De Wekker, S.F.J.; Hoch, S.W.; Hacker, J.; Pace, J.C.; Pratt, T.; Pu, Z.; et al. The MATERHORN: Unraveling the Intricacies of Mountain Weather. Bull. Amer. Meteor. Soc. 2015, 96, 1945–1967. [Google Scholar] [CrossRef]
- Gheorghe, C.; Prisecaru, I.; Musa, A. Effects of Buildings and Complex Terrain on Radionuclides Atmospheric Dispersion. UPB Sci. Bull. Ser. C 2014, 76, 1–10. [Google Scholar]
- Leroy, C.; Maro, D.; Hébert, D.; Solier, L.; Rozet, M.; Le Cavelier, S.; Connan, O. A Study of the Atmospheric Dispersion of a High Release of Krypton-85 above a Complex Coastal Terrain, Comparison with the Predictions of Gaussian Models (Briggs, Doury, ADMS4). J. Environ. Radioact. 2010, 101, 937–944. [Google Scholar] [CrossRef]
- Suh, K.S.; Han, M.H.; Jung, S.H.; Lee, C.W. Three-Dimensional Numerical Modeling of Pollutant Transport at Local-Scale Complex Terrain. Ann. Nucl. Energy 2008, 35, 1016–1023. [Google Scholar] [CrossRef]
- Thuillier, R.H. Evaluation of a Puff Dispersion Model in Complex Terrain. J. Air Waste Manag. Assoc. 1992, 42, 290–297. [Google Scholar] [CrossRef]
- Arthur, R.S.; Lundquist, K.A.; Mirocha, J.D.; Chow, F.K. Topographic Effects on Radiation in the WRF Model with the Immersed Boundary Method: Implementation, Validation, and Application to Complex Terrain. Mon. Weather Rev. 2018, 146, 3277–3292. [Google Scholar] [CrossRef]
- Silva, C.; Pimentel, L.C.G.; Landau, L. Geo-Environmental Aspects Integrated into GIS Database to Support Emergency Planning of the Nuclear Power Plant Angra Dos Reis-RJ, Brazil. IJARRGG 2013, 1, 18–25. [Google Scholar]
- Silva, C.; Pimentel, L.C.G.; Landau, L.; Filho, P.F.L.H.; Gobbo, F.G.R.; de Jesus de Sousa, P. Supportive Elements to the Decision-Making Process in the Emergency Planning of the Angra Dos Reis Nuclear Power Complex, Brazil. Environ. Earth Sci. 2017, 76, 133. [Google Scholar] [CrossRef]
- Silva, C.; Pimentel, L.C.G.; Heilbron, P.F.L.; Moraes, N.O.; Landau, L.; Gobbo, F.G.R.; Camargo, L.S.; Sousa, P.J. Fatores de Vulnerabilidade ao Planejamento de Emergência do Complexo Nuclear de Angra dos Reis–RJ. Anuário IGEO UFRJ 2018, 41, 448–460. [Google Scholar] [CrossRef]
- Silva, C.; Moraes, N.O.; Pimentel, L.C.G.; Heilbron, P.F.L.; Landau, L.; Souza, F.; Gobbo, F.G.R.; Silva, R.V. Computational Decision Support Systems Applied to Decision-Making Process in the Emergency Planning of the Angra Dos Reis Nuclear Power Complex–Brazil. Anuário IGEO UFRJ 2018, 41, 292–304. [Google Scholar] [CrossRef]
- Manfré, L.A.; Albuquerque, N.G.; Quintanilha, J.A. Landslide Hazard Mapping Near The Admiral Álvaro Alberto Nuclear Complex, Rio de Janeiro, Brazil. Bol. Ciênc. Geod. 2018, 24, 125–141. [Google Scholar] [CrossRef] [Green Version]
- Manfré, L.A.; Cruz, B.B.; Quintanilha, J.A. Urban Settlements and Road Network Analysis on the Surrounding Area of the Almirante Alvaro Alberto Nuclear Complex, Angra Dos Reis, Brazil. Appl. Spat. Anal. 2020, 13, 209–221. [Google Scholar] [CrossRef]
- Ellingwood, B.R. Issues Related to Structural Aging in Probabilistic Risk Assessment of Nuclear Power Plants. Reliab. Eng. Syst. Saf. 1998, 62, 171–183. [Google Scholar] [CrossRef]
- Wang, H.; Liang, X.; Zhang, X.; Feng, B. Study on High Wind Hazard Probability Risk Assessment Methods of Nuclear Power Plant. IOP Conf. Ser. Earth Environ. Sci. 2020, 467, 012075. [Google Scholar] [CrossRef]
- Draxler, R.; Arnold, D.; Chino, M.; Galmarini, S.; Hort, M.; Jones, A.; Leadbetter, S.; Malo, A.; Maurer, C.; Rolph, G.; et al. World Meteorological Organization’s Model Simulations of the Radionuclide Dispersion and Deposition from the Fuku-shima Daiichi Nuclear Power Plant Accident. J. Environ. Radioact. 2015, 139, 172–184. [Google Scholar] [CrossRef] [PubMed]
- Yoshikane, T.; Yoshimura, K. Dispersion Characteristics of Radioactive Materials Estimated by Wind Patterns. Sci. Rep. 2018, 8, 9926. [Google Scholar] [CrossRef] [PubMed]
- Oura, M.; Ohba, R.; Robins, A.; Kato, S. Validation Study for an Atmospheric Dispersion Model, Using Effective Source Heights Determined from Wind Tunnel Experiments in Nuclear Safety Analysis. Atmosphere 2018, 9, 111. [Google Scholar] [CrossRef] [Green Version]
- World Meteorological Organization (WMO). Meteorological and Hydrological Aspects of Siting and Operation of Nuclear Power Plants. Technical Note; WMO No. 550; Secretariat of the World Meteorological Organization: Geneva, Switzerland, 1985; Volume I. [Google Scholar]
- Instituto Brasileiro de Geografia e Estatística, (IBGE). Angra dos Reis, Panorama. Available online: https://cidades.ibge.gov.br/brasil/rj/angra-dos-reis/panorama (accessed on 18 April 2021).
- Oliveira Júnior, J.F. De Estudo da Camada Limite Atmosférica na Região de Angra dos Reis através do Modelo de Mesoescala MM5 e Dados Observacionais; Tese de Doutorado, Programa de Engenharia Civil, Universidade Federal do Rio de Janeiro, COPPE/UFRJ: Rio de Janeiro, Brazil, 2008. [Google Scholar]
- Brito, T.T.; Oliveira-Júnior, J.F.; Lyra, G.B.; Gois, G.; Zeri, M. Multivariate Analysis Applied to Monthly Rainfall over Rio de Janeiro State, Brazil. Meteorol. Atmos. Phys. 2017, 129, 469–478. [Google Scholar] [CrossRef]
- Silva, C. Modelagem Lagrangeana da Dispersão Atmosférica de Radionuclídeos e Sistemas de Informação Geográfica como Ferramentas de Suporte ao Planejamento de Emergência na Área de Influência do Complexo Nuclear de Angra dos Reis–RJ; Tese de Doutorado, Programa de Engenharia Civil, Universidade Federal do Rio de Janeiro, COPPE/UFRJ: Rio de Janeiro, Brazil, 2013. [Google Scholar]
- Rangel, R.H.O.; Oliveira-Júnior, J.F.; Torres, A.R.; Pimentel, L.C.G.; Gois, G. Série e Transformada de Fourier Aplicadas no Preenchimento de Falhas de Séries Temporais de Intensidade do Vento na Central Nuclear Almirante Álvaro Alberto, Rio de Janeiro–Brasil. Anuário IGEO UFRJ 2018, 41, 74–84. [Google Scholar] [CrossRef]
- Fiebrich, C.A.; Morgan, C.R.; McCombs, A.G.; Hall, P.K.; McPherson, R.A. Quality Assurance Procedures for Mesoscale Meteorological Data. J. Atmos. Ocean. Technol. 2010, 27, 1565–1582. [Google Scholar] [CrossRef]
- Comissão Nacional de Energia Nuclear, (CNEN). Norma CNEN NE 1.22. Programas de Meteorologia de Apoio de Usinas Nucleoelétricas (Portaria CNEN DEx-I 04/89); Comissão Nacional de Energia Nuclear, (CNEN): Rio de Janeiro, Brazil, 1989.
- Pimentel, L.C.G.; Marton, E.; da Silva, M.S.; Jourdan, P. Caracterização do Regime de Vento em Superfície na Região Metropolitana do Rio de Janeiro. Eng. Sanit. Ambient. 2014, 19, 121–132. [Google Scholar] [CrossRef]
- Wilks, D.S. Statistical Methods in the Atmospheric Sciences, 4th ed.; Elsevier: Cambridge, UK, 2019; ISBN 978-0-12-815823-4. [Google Scholar]
- Belu, R.; Koracin, D. Statistical and Spectral Analysis of Wind Characteristics Relevant to Wind Energy Assessment Using Tower Measurements in Complex Terrain. J. Wind. Energy 2013, 2013, 1–12. [Google Scholar] [CrossRef]
- Torrence, C.; Compo, G.P. A Practical Guide to Wavelet Analysis. Bull. Amer. Meteor. Soc. 1998, 79, 61–78. [Google Scholar] [CrossRef] [Green Version]
- Domingues, M.O.; Mendes, O., Jr.; da Costa, A.M. On Wavelet Techniques in Atmospheric Sciences. Adv. Space Res. 2005, 35, 831–842. [Google Scholar] [CrossRef] [Green Version]
- Liu, Y.; San Liang, X.; Weisberg, R.H. Rectification of the Bias in the Wavelet Power Spectrum. J. Atmos. Oceanic Technol. 2007, 24, 2093–2102. [Google Scholar] [CrossRef]
- Mardia, K.V. Linear-Circular Correlation Coefficients and Rhythmometry. Biometrika 1976, 63, 403. [Google Scholar] [CrossRef]
- Jammalamadaka, S.R.; Lund, U.J. The Effect of Wind Direction on Ozone Levels: A Case Study. Environ. Ecol. Stat. 2006, 13, 287–298. [Google Scholar] [CrossRef] [Green Version]
- Jammalamadaka, S.R.; Sarma, Y.R. A Correlation Coefficient for Angular Variables. In Statistical Theory and Data Analysis II: Proceedings of the Second Pacific Area Statistical Conference; Elsevier: Amsterdam, The Netherlands, 1988; p. 566. ISBN 978-0-444-70387-3. [Google Scholar]
- Papanastasiou, D.K.; Melas, D.; Lissaridis, I. Study of Wind Field under Sea Breeze Conditions; an Application of WRF Model. Atmos. Res. 2010, 98, 102–117. [Google Scholar] [CrossRef]
- Oliveira Júnior, J.F.; Souza, J.C.S.; Dias, F.O.; Gois, G.; Gonçalves, I.F.S.; Silva, M.S. da Caracterização do Regime de Vento no Município de Seropédica, Rio de Janeiro (2001–2010). Floresta e Ambiente 2013, 20, 447–459. [Google Scholar] [CrossRef]
- Dereczynski, C.P.; Menezes, W.F. Meteorology of the Campos Basin. In Meteorology and Oceanography: Regional Environmental Characterization of the Campos Basin, Southwest Atlantic; Elsevier: Amsterdam, The Netherlands, 2017; pp. 1–54. ISBN 978-85-352-9016-5. [Google Scholar]
- Dragaud, I.C.D.V.; da Soares Silva, M.; de Assad, L.P.F.; Cataldi, M.; Landau, L.; Elias, R.N.; Pimentel, L.C.G. The Impact of SST on the Wind and Air Temperature Simulations: A Case Study for the Coastal Region of the Rio de Janeiro State. Meteorol. Atmos. Phys. 2018, 131, 1083–1097. [Google Scholar] [CrossRef]
- Nicolli, D. Persistencia das Condiõees de Difusão Atmosférica em Angra dos Reis–Brasil; Comissao Nacional de Energia Nuclear (CNEN): Rio de Janeiro, Brazil, 1981; pp. 1–41.
- Figueiredo, J.B.A.; Chan, C.S.; Dereczynski, C.P.; de Lyra, A.A.; de Silva Filho, P.P.L.; Almeida, P.M.P. Climatologia no Entorno da Central Nuclear de Angra dos Reis, RJ. Rev. Bras. Meteorol. 2016, 31, 298–310. [Google Scholar] [CrossRef] [Green Version]
- Sobral, B.S.; Oliveira-Júnior, J.F.; Gois, G.; de Terassi, P.M.B.; Muniz-Júnior, J.G.R. Variabilidade Espaço-Temporal e Interanual da Chuva no Estado do Rio de Janeiro. RBClima 2018, 22, 281–308. [Google Scholar] [CrossRef] [Green Version]
- Chapman, S.; Lindzen, R.S. Atmospheric Tides: Thermal and Gravitational; Springer: Dordrecht, Holland, 2013; ISBN 978-94-010-3401-2. [Google Scholar]
- Whiteman, C.D.; Bian, X. Solar Semidiurnal Tides in the Troposphere: Detection by Radar Profilers. Bull. Amer. Meteor. Soc. 1996, 77, 529–542. [Google Scholar] [CrossRef]
- Stech, J.L.; Lorenzzetti, J.A. The Response of the South Brazil Bight to the Passage of Wintertime Cold Fronts. J. Geophys. Res. 1992, 97, 9507. [Google Scholar] [CrossRef] [Green Version]
- Cavalcanti, I.F.A.; Kousky, V.E. Frentes frias sobre o Brasil. In Tempo e Clima No Brasil; Oficina de Textos: São Paulo, Brazil, 2009; pp. 135–148. ISBN 978-85-86238-92-5. [Google Scholar]
- Razali, A.M.; Ahmad, A.; Sapuan, M.; Zaharim, A. Circular Statistics: An Analysis of Wind Direction Data. Available online: https://www.semanticscholar.org/paper/Circular-Statistics%3A-An-Analysis-of-Wind-Direction-Razali-Ahmad/73b1237e5a302b177757c144fd4752cb25821c67 (accessed on 28 September 2021).
- Qin, X.; Zhang, S.; Yan, D. A New Circular Distribution and Its Application to Wind Data. Journal of Mathematics Research 2010, 2, 12. [Google Scholar] [CrossRef] [Green Version]
- Lototzis, M.; Papadopoulos, G.K.; Droulia, F.; Tseliou, A.; Tsiros, I.X. A Note on the Correlation between Circular and Linear Variables with an Application to Wind Direction and Air Temperature Data in a Mediterranean Climate. Meteorol. Atmos. Phys. 2018, 130, 259–264. [Google Scholar] [CrossRef]
- Raza, S.S.; Iqbal, M. Atmospheric Dispersion Modeling for an Accidental Release from the Pakistan Research Reactor-1 (PARR-1). Ann. Nucl. Energy 2005, 32, 1157–1166. [Google Scholar] [CrossRef]
- Pecha, P.; Pechova, E. Risk Assessment of Radionuclide Releases during Extreme Low-Wind Atmospheric Conditions; Atomic Energy Agency: Vienna, Austria, 2004. [Google Scholar]
- Pecha, P.; Tichý, O.; Pechová, E. Potential Radioactive Hot Spots Induced by Radiation Accident Being Underway of Atypical Low Wind Meteorological Episodes. Available online: http://invenio.nusl.cz/record/438211?ln=en (accessed on 3 October 2021).
- Pecha, P.; Tichý, O.; Pechová, E. Determination of Radiological Background Fields Designated for Inverse Modelling during Atypical Low Wind Speed Meteorological Episode. Atmos. Environ. 2021, 246, 118105. [Google Scholar] [CrossRef]
- Jiménez, P.A.; Dudhia, J. On the Ability of the WRF Model to Reproduce the Surface Wind Direction over Complex Terrain. J. Appl. Meteorol. Climatol. 2013, 52, 1610–1617. [Google Scholar] [CrossRef]
- Lee, J.; Jeong, J.J.; Shin, W.; Song, E.; Cho, C. The Estimated Evacuation Time for the Emergency Planning Zone of the Kori Nuclear Site, with a Focus on the Precautionary Action Zone. J. Radiat. Prot. Res. 2016, 41, 196–205. [Google Scholar] [CrossRef]
- Instituto Nacional de Pesquisas Espaciais. Normais Climatológicas do Brasil. Available online: https://portal.inmet.gov.br/normais (accessed on 28 September 2021).
- International Atomic Energy Agency. Method for Developing Arrangements for Response to a Nuclear or Radiological Emergency; International Atomic Energy Agency: Vienna, Austria, 2003. [Google Scholar]
- International Atomic Energy Agency. Method for the Development of Emergency Response Preparedness for Nuclear or Radiological Accidents; International Atomic Energy Agency: Vienna, Austria, 1997. [Google Scholar]
- International Atomic Energy Agency. IAEA Report on Preparedness and Response for a Nuclear or Radiological Emergency in the Light of the Accident at the Fukushima Daiichi Nuclear Power Plant; International Atomic Energy Agency: Vienna, Austria, 2013. [Google Scholar]



















| Tower | Latitude (°) | Longitude (°) | Tower’s Base Height (m) (MSL) | Sensor’s Height (m) | Meteorological Variable |
|---|---|---|---|---|---|
| A | 23°0′14.76″ S | 44°27′31.26″ O | 50 | 10, 60 e 100 | U (m s−1), dir (°), e T (C°) a |
| B | 23°0′57.03″ S | 44°27′30.95″ O | 10 | 15 | U (m s−1) e dir (°) |
| C | 23°0′28.31″ S | 44°28′17.29″ O | 80 | 15 | U (m s−1) e dir (°) |
| D | 23°0′16.00″ S | 44°26′56.02″ O | 290 | 15 | U (m s−1) e dir (°) |
| Pasquill Stability Class | ΔT/Δz (°C/100 m) | σ10 (°) | Description |
|---|---|---|---|
| A | ΔT/Δz ≤ –1.9 | σ10 ≥ 22.5 | Extremely unstable |
| B | –1.9 < ΔT/Δz ≤ –1.7 | 22.5 > σ10 ≥ 17.5 | Moderately unstable |
| C | –1.7 < ΔT/Δz ≤ –1.5 | 17.5 > σ10 ≥ 12.5 | Weakly unstable |
| D | –1.5 < ΔT/Δz ≤ –0.5 | 12.5 > σ10 ≥ 7.5 | Neutral |
| E | –0.5 < ΔT/Δz ≤ 1.5 | 7.5 > σ10 ≥ 3.8 | Weakly stable |
| F | 1.5 <ΔT/Δz ≤ 4.0 | 3.8 > σ10 ≥ 2.1 | Moderately stable |
| G | 4.0 ≤ ΔT/Δz | 2.1 > σ10 | Strongly stable |
| Meteorological Tower | Early Morning (12–5 a.m.) (%) | Morning (6–11 a.m.) (%) | Afternoon (12–5 p.m.) (%) | Evening (6–11 p.m.) (%) | Total (%) |
|---|---|---|---|---|---|
| A-10 m | 3.41 | 6.97 | 2.73 | 3.35 | 4.07 |
| A-60 m | 24.24 | 13.46 | 3.34 | 14.74 | 12.58 |
| A-100 m | 20.26 | 13.78 | 4.15 | 12.89 | 11.86 |
| B-15 m | 8.75 | 6.97 | 1.95 | 5.99 | 5.84 |
| C-15 m | 9.36 | 6.87 | 2.92 | 6.49 | 6.32 |
| D-15 m | 5.39 | 5.56 | 2.87 | 3.88 | 4.41 |
| CNAAA Towers | Time-Space Scales | Wind Direction Climatology | Daily Cycle | Process | ||||
|---|---|---|---|---|---|---|---|---|
| Early Morning | Morning | Afternoon | Evening | System/Process | Forcing | |||
| A 10 m (60 m) | Mesoscale + Local | N, NNE, SSW and SW | N and NNE | N, SSW and SW | SSW and SW | N and NNE | Slope wind, sea and land breeze, inner boundary layer | Topography, valley–mountain and ocean–continent thermal contrast |
| A 60 m (110 m) | Mesoscale + Synoptic + Local | W, SW, WSW, SSW, NE and ENE | NE, ENE, WSW and W | SSW and SW | SSW, WSW and SW | NE, ENE, WSW and W | Sea and land breeze and flow channeling | Topography, valley–mountain and ocean–continent contrast and synoptic |
| A 100 m (150 m) | Mesoscale + Synoptic + Local | W, SW, WSW, SSW, NE and ENE | NE, ENE, WSW and W | SSW, WSW and SW | SSW, WSW and SW | NE, ENE, WSW, SW and W | Sea and land breeze and flow channeling | Topography, ocean–continent contrast and synoptic |
| B 15 m (25 m) | Mesoscale + Local | N and S | N, NNE, NE, NNW and ENE | SSE, S and SSW | SSE, S and SSW | N and E | Slope wind and sea and land breeze, inner boundary layer | Topography, valley–mountain and ocean–continent contrast |
| C 15 m (95 m) | Mesoscale + Local | N, E, SSE, S and NNW | N, E, NW and NNW | SE, SSE and S | SE, SSE and S | N, E, NW and NNW | Slope wind and sea and land breeze, inner boundary layer | Topography, valley–mountain and ocean–continent contrast |
| D 15 m (305 m) | Mesoscale + Synoptic + Local | W, WSW and NE | N, NNE, NE and W | NE, WSW and W | N, WSW and W | N, NNE, NE and W | Sea and land breeze and flow channeling | Topography, ocean–continent contrast and synoptic |
Publisher’s Note: MDPI stays neutral with regard to jurisdictional claims in published maps and institutional affiliations. |
© 2021 by the authors. Licensee MDPI, Basel, Switzerland. This article is an open access article distributed under the terms and conditions of the Creative Commons Attribution (CC BY) license (https://creativecommons.org/licenses/by/4.0/).
Share and Cite
de Freitas Ramos Jacinto, L.; Pimentel, L.C.G.; de Oliveira Júnior, J.F.; Dragaud, I.C.D.V.; Silva, C.; de Farias, W.C.M.; Marton, E.; de Freitas Assad, L.P.; Perez Guerrero, J.S.; Heilbron Filho, P.F.L.; et al. Thermally and Dynamically Driven Atmospheric Circulations over Heterogeneous Atmospheric Boundary Layer: Support for Safety Protocols and Environment Management at Nuclear Central Areas. Atmosphere 2021, 12, 1321. https://doi.org/10.3390/atmos12101321
de Freitas Ramos Jacinto L, Pimentel LCG, de Oliveira Júnior JF, Dragaud ICDV, Silva C, de Farias WCM, Marton E, de Freitas Assad LP, Perez Guerrero JS, Heilbron Filho PFL, et al. Thermally and Dynamically Driven Atmospheric Circulations over Heterogeneous Atmospheric Boundary Layer: Support for Safety Protocols and Environment Management at Nuclear Central Areas. Atmosphere. 2021; 12(10):1321. https://doi.org/10.3390/atmos12101321
Chicago/Turabian Stylede Freitas Ramos Jacinto, Larissa, Luiz Claudio Gomes Pimentel, José Francisco de Oliveira Júnior, Ian Cunha D’Amato Viana Dragaud, Corbiniano Silva, William Cossich Marcial de Farias, Edilson Marton, Luiz Paulo de Freitas Assad, Jesus Salvador Perez Guerrero, Paulo Fernando Lavalle Heilbron Filho, and et al. 2021. "Thermally and Dynamically Driven Atmospheric Circulations over Heterogeneous Atmospheric Boundary Layer: Support for Safety Protocols and Environment Management at Nuclear Central Areas" Atmosphere 12, no. 10: 1321. https://doi.org/10.3390/atmos12101321
APA Stylede Freitas Ramos Jacinto, L., Pimentel, L. C. G., de Oliveira Júnior, J. F., Dragaud, I. C. D. V., Silva, C., de Farias, W. C. M., Marton, E., de Freitas Assad, L. P., Perez Guerrero, J. S., Heilbron Filho, P. F. L., & Landau, L. (2021). Thermally and Dynamically Driven Atmospheric Circulations over Heterogeneous Atmospheric Boundary Layer: Support for Safety Protocols and Environment Management at Nuclear Central Areas. Atmosphere, 12(10), 1321. https://doi.org/10.3390/atmos12101321

