Temporal and Spatial Variation of PM2.5 in Xining, Northeast of the Qinghai–Xizang (Tibet) Plateau
Abstract
1. Introduction
2. Experimental Methods
2.1. Sampling Sites
2.2. Chemical Analysis
2.3. Air Pollutants and Meteorological Data
2.4. Potential Source Contribution Function (PSCF) and Positive Matrix Factorization (PMF)
3. Results and Discussion
3.1. PM2.5 and Chemical Compositions
3.1.1. PM2.5
3.1.2. OC/EC
3.1.3. WSOC
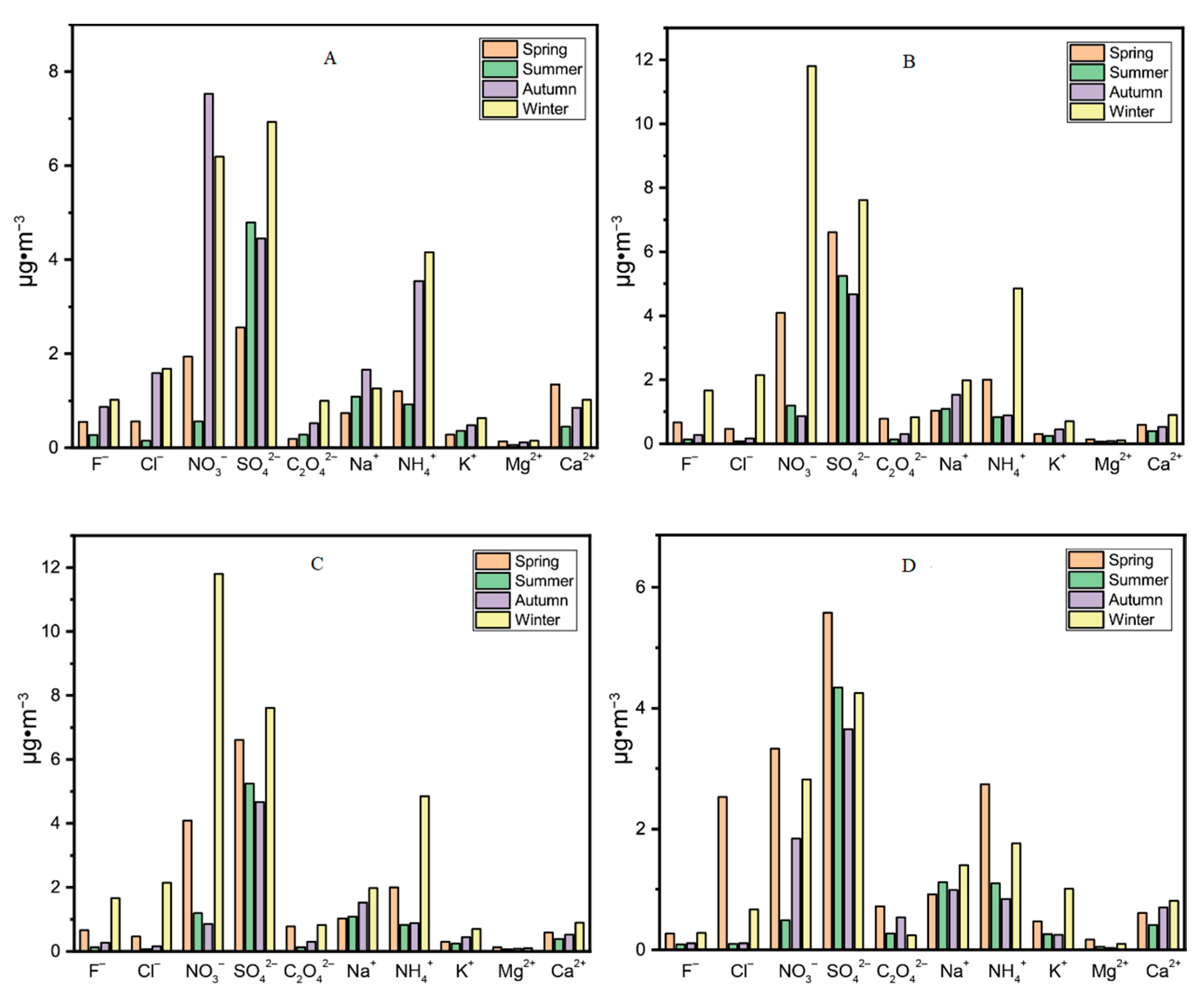
3.1.4. WSIIs
3.2. PM2.5 Source Apportionment in Xining
3.3. Special-Pollution-Episode Analysis
3.3.1. Influence of Sandstorms on PM2.5
3.3.2. Heavy-Pollution Episode
4. Conclusions
Author Contributions
Funding
Acknowledgments
Conflicts of Interest
References
- Sun, Y.L.; Zhuang, G.S.; Tang, A.H.; Wang, Y.; An, Z.S. Chemical characteristics of PM2.5 and PM10 in haze-fog episodes in Beijing. Environ. Sci. Technol. 2006, 40, 3148–3155. [Google Scholar] [CrossRef] [PubMed]
- Andreae, M.O.; Schmid, O.; Yang, H.; Chand, D.; Yu, J.Z.; Zeng, L.M.; Zhang, Y.H. Optical properties and chemical composition of the atmospheric aerosol in urban Guangzhou, China. Atmos. Environ. 2008, 42, 6335–6350. [Google Scholar] [CrossRef]
- WHO. Global Health Risks: Mortality and Burden of Disease Attributable to Selected Major Risks; World Health Organization: Geneva, Switzerland, 2009. [Google Scholar]
- Chen, R.; Cheng, J.; Lv, J.; Wu, L.; Wu, J. Comparison of chemical compositions in air particulate matter during summer and winter in Beijing, China. Environ. Geochem. Health 2017, 39, 913–921. [Google Scholar] [CrossRef] [PubMed]
- Gautam, S.; Patra, A.K.; Kumar, P. Status and chemical characteristics of ambient PM2.5 pollutions in China: A review. Environ. Dev. Sustain. 2018, 21, 1649–1674. [Google Scholar] [CrossRef]
- Qiao, T.; Zhao, M.F.; Xiu, G.L.; Yu, J.Z. Seasonal variations of water soluble composition (WSOC, Hulis and WSIIs) in PM1, and its implications on haze pollution in urban Shanghai, China. Atmos. Environ. 2015, 123, 306–314. [Google Scholar] [CrossRef]
- Ye, W.F.; Ma, Z.Y.; Ha, X.Z. Spatial–temporal patterns of PM2.5 concentrations for 338 Chinese Cities. Sci. Total Environ. 2018, 631–632, 524–533. [Google Scholar] [CrossRef]
- Gao, J.J.; Tian, H.Z.; Cheng, K.; Lu, L.; Zheng, M.; Wang, S.X.; Hao, J.M.; Wang, K.; Hua, S.B.; Zhu, C.Y.; et al. The variation of chemical characteristics of PM2.5, and PM10, and formation causes during two haze pollution events in urban Beijing, China. Atmos. Environ. 2015, 107, 1–8. [Google Scholar] [CrossRef]
- Liu, J.; Wu, D.; Fan, S.J.; Mao, X.; Chen, H.Z. A one-year, on-line, multi-site observational study on water-soluble inorganic ions in PM2.5 over the Pearl River Delta region, China. Sci. Total Environ. 2017, 601–602, 1720–1732. [Google Scholar] [CrossRef]
- He, L.; Chen, H.; Rangognio, J.; Yahyaoui, A.; Colin, P.; Wang, J.H.; Daele, V.; Mellouki, A. Fine particles at a background site in Central France: Chemical compositions, seasonal variations and pollution events. Sci. Total Environ. 2018, 612, 1159–1170. [Google Scholar] [CrossRef]
- Cheng, H.R.; Zhang, F.; Wang, Z.W.; Lv, X.P.; Zhu, Z.M.; Zhang, G.; Wang, X.M. Fine particles (PM2.5) at a CAWNET background site in Central China: Chemical compositions, seasonal variations and regional pollution events. Atmos. Environ. 2014, 86, 193–202. [Google Scholar] [CrossRef]
- Alves, C.; Oliveira, T.; Pio, C.; Silvestre, A.J.D.; Fialho, P.; Barata, F.; Legrand, M. Characterisation of carbonaceous aerosols from the Azorean Island of Terceira. Atmos. Environ. 2007, 41, 1359–1373. [Google Scholar] [CrossRef]
- Zhang, Y.Y.; Lang, J.L.; Cheng, S.Y.; Li, S.Y.; Zhou, Y.; Chen, D.S.; Zhang, H.Y.; Wang, H.Y. Chemical composition and sources of PM1 and PM2.5 in Beijing in autumn. Sci. Total Environ. 2018, 630, 72–82. [Google Scholar] [CrossRef] [PubMed]
- Hu, G.Y.; Zhang, Y.M.; Sun, J.Y.; Zang, L.M.; Shen, X.J.; Lin, W.L.; Yang, Y. Variability, formation and acidity of water-soluble ions in PM2.5, in Beijing based on the semi-continuous observations. Atmos. Res. 2014, 145–146, 1–11. [Google Scholar] [CrossRef]
- Tao, J.; Cheng, T.T.; Zhang, R.J.; Cao, J.J.; Zhu, L.H.; Wang, Q.Y.; Luo, L.; Zhang, L.M. Chemical Composition of PM2.5 at an Urban Site of Chengdu in Southwestern China. Adv. Atmos. Sci. 2013, 30, 1070–1084. [Google Scholar] [CrossRef]
- Wang, L.; Ji, D.S.; Li, Y.; Gao, M.; Tian, S.L.; Wen, T.X.; Liu, Z.R.; Wang, L.L.; Peng, X.; Jiang, C.S.; et al. The impact of relative humidity on the size distribution and chemical processes of major water-soluble inorganic ions in the megacity of Chongqing, China. Atmos. Res. 2017, 192, 19–29. [Google Scholar] [CrossRef]
- An, J.; Duan, Q.; Wang, H.; Miao, Q.; Shao, P.; Wang, J.; Zou, J. Fine particulate pollution in the Nanjing northern suburb during summer: Composition and sources. Environ. Monit. Assess. 2015, 187, 1–14. [Google Scholar] [CrossRef]
- Jansen, R.C.; Shi, Y.; Chen, J.M.; Hu, Y.J.; Xu, C.; Hong, S.M.; Li, J.; Zhang, M. Using hourly measurements to explore the role of secondary inorganic aerosol in PM2.5 during haze and fog in Hangzhou, China. Adv. Atmos. Sci. 2014, 31, 1427–1434. [Google Scholar] [CrossRef]
- Wang, X.H.; Bi, X.H.; Sheng, G.Y.; Fu, J.M. Chemical composition and sources of PM10 and PM2.5 aerosols in Guangzhou, China. Environ. Monit. Assess. 2006, 119, 425–439. [Google Scholar] [CrossRef]
- Yao, X.; Chan, C.K.; Fang, M.; Cadle, S.; Chan, T.; Wulawa, P.; He, K.B.; Ye, B.M. The water-soluble ionic composition of PM2.5 in Shanghai and Beijing, China. Atmos. Environ. 2002, 36, 4223–4234. [Google Scholar] [CrossRef]
- Wu, J.; Lu, J.; Min, X.Y.; Zhang, Z.H. Distribution and health risks of aerosol black carbon in a representative city of the Qinghai–Tibet Plateau. Environ. Sci. Pollut. Res. 2018, 25, 19403–19412. [Google Scholar] [CrossRef]
- Tripathee, L.; Kang, S.C.; Rupakheti, D.; Zhang, Q.G.; Huang, J.; Sillanpää, M. Water-soluble ionic composition of aerosols at urban location in the foothills of Himalaya, Pokhara Valley, Nepal. Atmosphere 2016, 7, 102. [Google Scholar] [CrossRef]
- Li, R.; Chi, X.L. Thermal comfort and tourism climate changes in the Qinghai–Tibet Plateau in the last 50 years. Theor. Appl. Climatol. 2014, 117, 613–624. [Google Scholar] [CrossRef]
- Meng, J.J.; Wang, G.H.; Li, J.J.; Cheng, C.L.; Cao, J.J. Atmospheric oxalic acid and related secondary organic aerosols in Qinghai Lake, a continental background site in Tibet Plateau. Atmos. Environ. 2013, 79, 582–589. [Google Scholar] [CrossRef]
- Guo, W.; Zhang, Z.Y.; Zheng, N.J.; Li Luo, L.; Xiao, H.Y.; Xiao, H.W. Chemical characterization and source analysis of water-soluble inorganic ions in PM2.5 from a plateau city of Kunming at different seasons. Atmos. Res. 2020, 234, 104687. [Google Scholar] [CrossRef]
- Fu, S.X.; Cheng, H.; Qi, C.K. Microarray analysis of gene expression in seeds of Brassica napus planted in Nanjing (altitude: 8.9 m), Xining (altitude: 2261.2 m) and Lhasa (altitude: 3658 m) with different oil content. Mol. Biol. Rep. 2009, 36, 2375–2386. [Google Scholar] [CrossRef]
- Chow, J.C.; Watson, J.G.; Chen, L.W.; Chang, M.C.; Robinson, N.F.; Trimble, D.; Kohl, S. The IMPROVE-A temperature protocol for thermal/optical carbon analysis: Maintaining consistency with a long-term database. J. Air Waste Manag. Assoc. 2007, 57, 1014–1023. [Google Scholar] [CrossRef]
- Duan, L.; Xiu, G.L.; Feng, L.; Cheng, N.; Wang, C.G. The mercury species and their association with carbonaceous compositions, bromine and iodine in PM2.5 in Shanghai. Chemosphere 2016, 146, 263–271. [Google Scholar] [CrossRef]
- Huang, D.; Xiu, G.L.; Li, M.; Hua, X.; Long, Y.T. Surface components of PM2.5 during clear and hazy days in Shanghai by ToF-SIMS. Atmos. Environ. 2017, 148, 175–181. [Google Scholar] [CrossRef]
- Reff, A.; Eberly, S.I.; Bhave, P.V. Receptor modeling of ambient particulate matter data using positive matrix factorization: Review of existing methods. Air Waste Manag. 2007, 57, 146–154. [Google Scholar] [CrossRef]
- Kuang, B.Y.; Lin, P.; Huang, X.H.H.; Yu, J.Z. Sources of humic-like substances in the Pearl River Delta, China: Positive matrix factorization analysis of PM2.5 major components and source markers. Atmos. Chem. Phys. 2015, 15, 1995–2008. [Google Scholar] [CrossRef]
- Manousakas, M.; Papaefthymiou, H.; Diapouli, E.; Migliori, A.; Karydas, A.G.; Bogdanovic-Radovic, I.; Eleftheriadis, K. Assessment of PM2.5 sources and their corresponding level of uncertainty in a coastal urban area using EPA PMF 5.0 enhanced diagnostics. Sci. Total Environ. 2017, 574, 155–164. [Google Scholar] [CrossRef] [PubMed]
- Wang, P.; Cao, J.J.; Shen, Z.X.; Han, Y.M.; Lee, S.C.; Huang, Y.; Zhu, C.S.; Wang, Q.Y.; Xu, H.M.; Huang, R.J. Spatial and seasonal variations of PM2.5 mass and species during 2010 in Xi’an, China. Sci. Total Environ. 2015, 508, 477–487. [Google Scholar] [CrossRef] [PubMed]
- Tan, J.H.; Zhang, L.M.; Zhou, X.M.; Duan, J.C.; Li, Y.; Hu, J.N.; He, K.B. Chemical characteristics and source apportionment of PM2.5 in Lanzhou, China. Sci. Total Environ. 2017, 601–602, 1743–1752. [Google Scholar] [CrossRef] [PubMed]
- Liao, T.T.; Wang, S.; Ai, J.; Gui, K.; Duan, B.L.; Zhao, Q.; Zhang, X.; Jiang, W.T.; Sun, Y. Heavy pollution episodes, transport pathways and potential sources of PM2.5 during the winter of 2013 in Chengdu (China). Sci. Total Environ. 2017, 584–585, 1056–1065. [Google Scholar] [CrossRef]
- Li, C.L.; Chen, P.F.; Kang, S.C.; Yan, F.P.; Hu, Z.F.; Qu, B.; Sillanpaa, M. Concentrations and light absorption characteristics of carbonaceous aerosol in PM2.5 and PM10 of Lhasa city, the Tibetan Plateau. Atmos. Environ. 2016, 127, 340–346. [Google Scholar] [CrossRef]
- Xu, J.Z.; Zhang, Q.; Wang, Z.B.; Yu, G.M.; Ge, X.L.; Qin, X. Chemical composition and size distribution of summertime PM2.5 at a high altitude remote location in the northeast of the Qinghai–Xizang (Tibet) Plateau: Insights into aerosol sources and processing in free troposphere. Atmos. Chem. Phys. 2015, 15, 5069–5081. [Google Scholar] [CrossRef]
- Hou, X.W.; Fei, D.D.; Kang, H.Q.; Zhang, Y.L.; Gao, J.H. Seasonal statistical analysis of the impact of meteorological factors on fine particle pollution in China in 2013–2017. Nat. Hazards 2018, 93, 1–22. [Google Scholar] [CrossRef]
- Zhou, J.M.; Zhang, R.J.; Cao, J.J.; Chow, J.C.; Watson, J.G. Carbonaceous and ionic components of atmospheric fine particles in Beijing and their impact on atmospheric visibility. Aerosol Air Qual. Res. 2012, 12, 492–502. [Google Scholar] [CrossRef]
- Zhao, M.F.; Qiao, T.; Huang, Z.S.; Zhu, M.Y.; Xu, W.; Xiu, G.L.; Tao, J.; Lee, S.C. Comparison of ionic and carbonaceous compositions of PM2.5 in 2009 and 2012 in shanghai, china. Sci. Total Environ. 2015, 536, 695–703. [Google Scholar] [CrossRef]
- Chow, J.C.; Watson, J.G.; Louie, P.K.K.; Chen, L.W.A.; Sin, D. Comparison of PM2.5 carbon measurement methods in Hong Kong, China. Environ. Pollut. 2005, 137, 334–344. [Google Scholar] [CrossRef]
- Castro, L.M.; Pio, C.A.; Harrison, R.M.; Smith, D.J.T. Carbonaceous aerosol in urban and rural European atmospheres: Estimation of secondary organic carbon concentrations. Atmos. Environ. 1999, 33, 2771–2781. [Google Scholar] [CrossRef]
- Feng, J.L.; Li, M.; Zhang, P.; Gong, S.Y.; Zhong, M.; Wu, M.H.; Zheng, M.; Chen, C.H.; Wang, H.L.; Lou, S.R. Investigation of the sources and seasonal variations of secondary organic aerosols in PM2.5, in Shanghai with organic tracers. Atmos. Environ. 2013, 79, 614–622. [Google Scholar] [CrossRef]
- Lim, H.J.; Turpin, B.J. Origins of primary and secondary organic aerosol in Atlanta: Results of time-resolved measurements during the Atlanta supersite experiment. Environ. Sci. Technol. 2002, 36, 4489–4496. [Google Scholar] [CrossRef] [PubMed]
- Han, Y.M.; Cao, J.J.; Lee, S.C.; Ho, K.F.; An, Z.S. Different characteristics of char and soot in the atmosphere and their ratio as an indicator for source identification in Xi′an, China. Atmos. Chem. Phys. 2010, 10, 595–607. [Google Scholar] [CrossRef]
- Han, Y.M.; Lee, S.C.; Cao, J.J.; Ho, K.F.; An, Z.S. Spatial distribution and seasonal variation of char-EC and soot-EC in the atmosphere over China. Atmos. Environ. 2009, 43, 6066–6073. [Google Scholar] [CrossRef]
- Ping, X.; Zhou, X.M.; Duan, J.C.; Tan, J.H.; He, K.B.; Yuan, C.; Ma, Y.L.; Zhang, Y.X. Chemical characteristics of water-soluble organic compounds (WSOC) in PM2.5 in Beijing, China: 2011–2012. Atmos. Res. 2017, 183, 104–112. [Google Scholar]
- Zhang, G.; Bi, X.; Chan, L.Y.; Wang, X.; Sheng, G.; Fu, J. Size-segregated chemical characteristics of aerosol during haze in an urban area of the Pearl River Delta region, China. Urban Clim. 2013, 4, 74–84. [Google Scholar] [CrossRef]
- Yan, C.Q.; Zheng, M.; Sullivan, A.P.; Bosch, C.; Desyaterik, Y.; Andersson, A.; Li, X.Y.; Guo, X.S.; Zhou, T.; Gustafsson, Ö.; et al. Chemical characteristics and light-absorbing property of water-soluble organic carbon in Beijing: Biomass burning contributions. Atmos. Environ. 2015, 121, 4–12. [Google Scholar] [CrossRef]
- Ye, Z.L.; Li, Q.; Liu, J.S.; Luo, S.P.; Zhou, Q.F.; Bi, C.L.; Ma, S.S.; Chen, Y.F.; Chen, H.; Li, L.; et al. Investigation of submicron aerosol characteristics in Changzhou, China: Composition, source, and comparison with co-collected PM2.5. Chemosphere 2017, 183, 176–185. [Google Scholar] [CrossRef]
- Zhao, M.F.; Huang, Z.S.; Qiao, T.; Zhang, Y.K.; Xiu, G.L.; Yu, J.Z. Chemical characterization, the transport pathways and potential sources of PM2.5 in Shanghai: Seasonal variations. Science of the Total Environment. Atmos. Res. 2015, 158–159, 66–78. [Google Scholar] [CrossRef]
- Schleicher, N.; Norra, S.; Chai, F.H.; Chen, Y.Z.; Wang, S.L.; Stuben, D. Seasonal trend of water-soluble ions at one TSP and five PM2.5 sampling sites in Beijing, China. Alliance Glob. Sustain. Bookseries 2010, 17, 87–95. [Google Scholar]
- Zhou, H.J.; Lü, C.W.; He, J.; Gao, M.S.; Zhao, B.Y.; Ren, L.M.; Zhang, L.J.; Fan, Q.Y.; Liu, T.; He, Z.X.; et al. Stoichiometry of water-soluble ions in PM2.5: Application in source apportionment for a typical industrial city in semi-arid region, Northwest China. Atmos. Res. 2018, 204, 149–160. [Google Scholar] [CrossRef]
- Rogula-Kozowska, W.; Klejnowski, K.; Rogula-Kopiec, P.; Mathews, B.; Szopa, S. A study on the seasonal mass closure of ambient fine and coarse dusts in zabrze, poland. Bull. Environ. Contam. Toxicol. 2012, 88, 722–729. [Google Scholar] [CrossRef] [PubMed]
- Gao, X.; Yang, L.X.; Cheng, S.H.; Gao, R.; Zhou, Y.; Xue, L.K.; Shou, Y.P.; Wang, J.; Wang, X.F.; Nie, W.; et al. Semi-continuous measurement of water-soluble ions in PM2.5 in Jinan, China: Temporal variations and source apportionments. Atmos. Environ. 2011, 45, 6048–6056. [Google Scholar] [CrossRef]
- Lin, J.J. Characterization of the major chemical species in PM2.5 in the Kaohsiung City, Taiwan. Atmos. Environ. 2002, 36, 1911–1920. [Google Scholar] [CrossRef]
- Chen, C.F.; Liang, J.J. Integrated chemical species analysis with source-receptor modeling results to characterize the effects of terrain and monsoon on ambient aerosols in a basin. Environ. Sci. Pollut. Res. 2013, 20, 2867–2881. [Google Scholar] [CrossRef]
- Lv, B.L.; Zhang, B.; Bai, Y.Q. A systematic analysis of PM2.5 in Beijing and its sources from 2000 to 2012. Atmos. Environ. 2016, 124, 98–108. [Google Scholar] [CrossRef]
- Cao, J.J.; Shen, Z.X.; Chow, J.C.; Qi, G.W.; Watson, J.G. Seasonal variations and sources of mass and chemical composition for PM10 aerosol in Hangzhou, China. Particuology 2009, 7, 161–168. [Google Scholar] [CrossRef]
- Huang, D.; Hua, X.; Xiu, G.L.; Zheng, Y.J.; Yu, X.Y.; Long, Y.T. Secondary ion mass spectrometry: The application in the analysis of atmospheric particulate matter. Anal. Chim. Acta 2017, 989, 1–14. [Google Scholar] [CrossRef]
- Chan, Y.C.; Simpson, R.W.; Mctainsh, G.H.; Vowles, P.D.; Cohen, D.D.; Bailey, G.M. Source apportionment of PM and PM aerosols in Brisbane (Australia) by receptor modelling. Atmos. Environ. 1999, 33, 3251–3268. [Google Scholar] [CrossRef]
- Zhang, W.H.; Liu, B.S.; Zhang, Y.F.; Li, Y.F.; Sun, X.Y.; Gu, Y.; Dai, C.L.; Li, N.; Song, C.B.; Dai, Q.L.; et al. A refined source apportionment study of atmospheric PM2.5 during winter heating period in Shijiazhuang, China, using a receptor model coupled with a source-oriented model. Atmos. Environ. 2020, 222, 117157. [Google Scholar] [CrossRef]
- Zhao, Z.P.; Lv, S.; Zhang, Y.H.; Zhao, Q.B.; Shen, L.; Xu, S.; Yu, J.Q.; Hou, J.W.; Jin, C.Y. Characteristics and source apportionment of PM2.5 in Jiaxing, china. Environ. Sci. Pollut. Res. 2019, 26, 7497–7511. [Google Scholar] [CrossRef] [PubMed]
- Cesari, D.; Donateo, A.; Conte, M.; Merico, E.; Giangreco, A.; Giangreco, F.; Contini, D. An inter-comparison of PM2.5 at urban and urban background sites: Chemical characterization and source apportionment. Atmos. Res. 2016, 174, 106–119. [Google Scholar] [CrossRef]
- Simoneit, B.R.T.; Schauer, J.J.; Nolte, C.G.; Oros, D.R.; Elias, V.O.; Fraser, M.P.; Rogge, W.F.; Cass, G.R. Levoglucosan, a tracer for cellulose in biomass burning and atmospheric particles. Atmos Environ. 1999, 33, 173–182. [Google Scholar] [CrossRef]
- Xue, Y.H.; Wu, J.H.; Feng, Y.C.; Dai, L.; Bi, X.H.; Li, X.; Zhu, T.; Tang, S.B.; Chen, M.F. Source characterization and apportionment of PM10 in Panzhihua, China. Aerosol Air Qual. Res. 2010, 10, 367–377. [Google Scholar] [CrossRef]
- Zhang, R.; Jing, J.; Tao, J.; Hsu, S.C.; Wang, G.; Cao, J.; Lee, C.S.L.; Zhu, L.; Chen, Z.; Zhao, Y.; et al. Chemical characterization and source apportionment of PM2.5 in Beijing: Seasonal perspective. Atmos. Chem. Phys. 2013, 13, 7053–7074. [Google Scholar] [CrossRef]
- Li, Y.F.; Liu, B.S.; Xue, Z.G.; Zhang, Y.F.; Sun, X.Y.; Song, C.B.; Dai, Q.L.; Fu, R.C.; Tai, Y.G.; Gao, J.Y.; et al. Chemical characteristics and source apportionment of PM2.5 using PMF modelling coupled with 1-hr resolution online air pollutant dataset for Linfen, China. Environ. Pollut. 2020, 263, 114532. [Google Scholar] [CrossRef]
- Xiu, G.L.; Zhang, D.N.; Chen, J.Z.; Huang, X.J.; Chen, Z.X.; Guo, H.L.; Pan, J.F. Characterization of major water-soluble inorganic ions in size fractionated particulate matters in Shanghai campus ambient air. Atmos. Environ. 2004, 38, 227–236. [Google Scholar] [CrossRef]
- Park, E.H.; Heo, J.; Kim, H.; Yi, S.-M. Long term trends of chemical constituents and source contributions of PM2.5 in Seoul. Chemosphere 2020, 251, 126371. [Google Scholar] [CrossRef]
- Stockwell, W.R.; Kuhns, H.; Etyemezian, V.; Green, M.C.; Chow, J.C.; Watson, J.G. The treasure valley secondary aerosol study ii: Modeling of the formation of inorganic secondary aerosols and precursors for southwestern Idaho. Atmos. Environ. 2003, 37, 525–534. [Google Scholar] [CrossRef]
- Tian, Y.Z.; Zhang, Y.F.; Liang, Y.L.; Niu, Z.B.; Xue, Q.Q.; Feng, Y.C. PM2.5 source apportionment during severe haze episodes in a Chinese megacity based on a 5-month period by using hourly species measurements: Explore how to better conduct PMF during haze episodes. Atmos. Environ. 2020, 224, 117364. [Google Scholar] [CrossRef]
- Qiao, T.; Zhao, M.F.; Xiu, G.L.; Yu, J.Z. Simultaneous monitoring and compositions analysis of PM1 and PM2.5 in shanghai: Implications for characterization of haze pollution and source apportionment. Sci. Total Environ. 2016, 557–558, 386–394. [Google Scholar] [CrossRef] [PubMed]








| Season | FPH | GID | QHU | YLV |
|---|---|---|---|---|
| Spring | 15 | 15 | 38 | 12 |
| Summer | 26 | 19 | 15 | 17 |
| Autumn | 16 | 21 | 17 | 13 |
| Winter | 37 | 15 | 15 | 20 |
© 2020 by the authors. Licensee MDPI, Basel, Switzerland. This article is an open access article distributed under the terms and conditions of the Creative Commons Attribution (CC BY) license (http://creativecommons.org/licenses/by/4.0/).
Share and Cite
Hu, X.; Yin, Y.; Duan, L.; Wang, H.; Song, W.; Xiu, G. Temporal and Spatial Variation of PM2.5 in Xining, Northeast of the Qinghai–Xizang (Tibet) Plateau. Atmosphere 2020, 11, 953. https://doi.org/10.3390/atmos11090953
Hu X, Yin Y, Duan L, Wang H, Song W, Xiu G. Temporal and Spatial Variation of PM2.5 in Xining, Northeast of the Qinghai–Xizang (Tibet) Plateau. Atmosphere. 2020; 11(9):953. https://doi.org/10.3390/atmos11090953
Chicago/Turabian StyleHu, Xiaofeng, Yongzheng Yin, Lian Duan, Hong Wang, Weijun Song, and Guangli Xiu. 2020. "Temporal and Spatial Variation of PM2.5 in Xining, Northeast of the Qinghai–Xizang (Tibet) Plateau" Atmosphere 11, no. 9: 953. https://doi.org/10.3390/atmos11090953
APA StyleHu, X., Yin, Y., Duan, L., Wang, H., Song, W., & Xiu, G. (2020). Temporal and Spatial Variation of PM2.5 in Xining, Northeast of the Qinghai–Xizang (Tibet) Plateau. Atmosphere, 11(9), 953. https://doi.org/10.3390/atmos11090953
