Water Footprint Sustainability as a Tool to Address Climate Change in the Wine Sector: A Methodological Approach Applied to a Portuguese Case Study
Abstract
1. Introduction
2. Experiments
2.1. Case Studies
2.2. Methodology
2.2.1. Field Experiments in the Vineyard
2.2.2. Sector Sustainability Assessment and Life Cycle Assessment Approach
3. Results
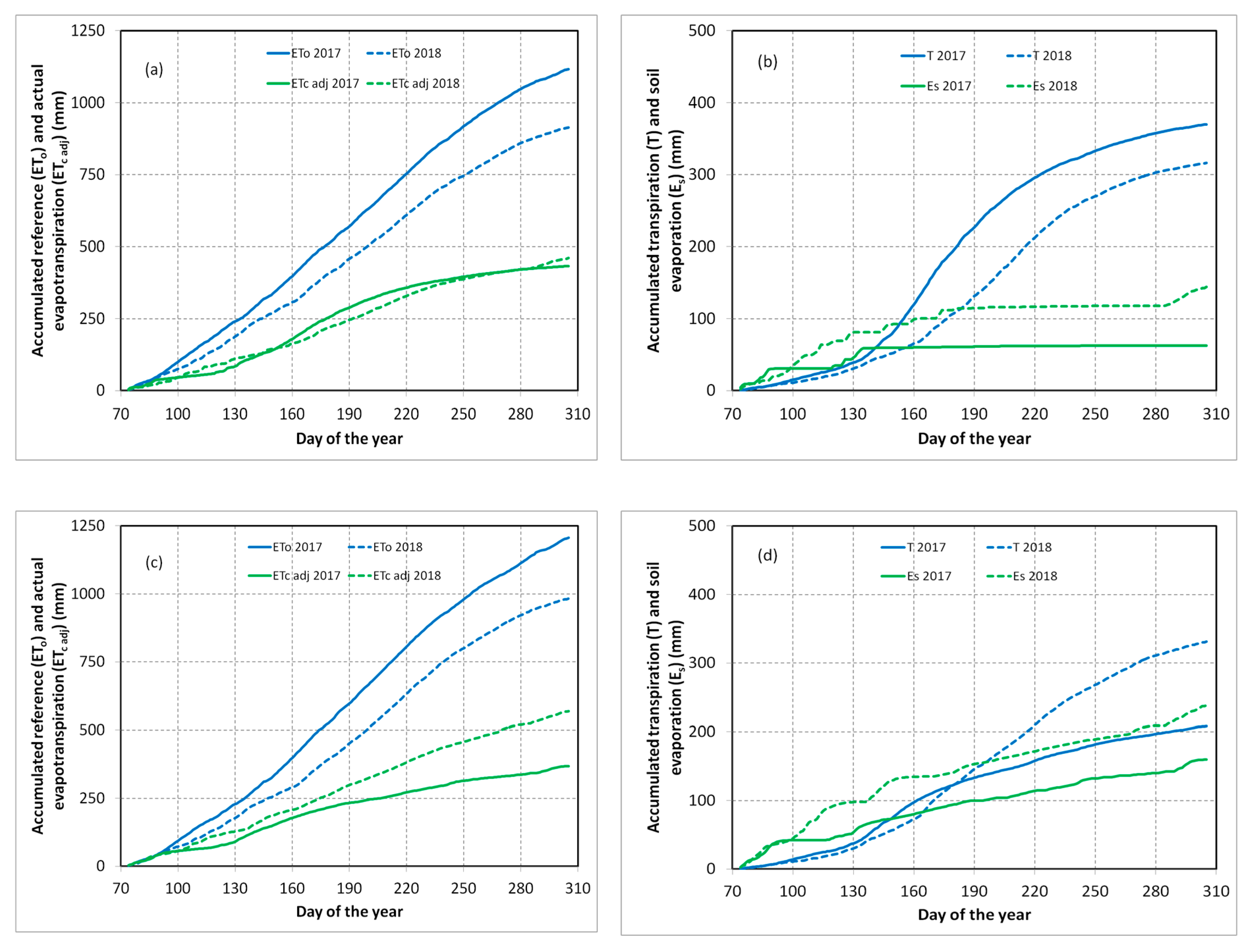
3.1. Water Footprint in the Vineyard
- An increase in accumulated ETo (during the vegetative cycle) of around 160 mm for case study I and 230 mm for case study II.
- An earlier (28 days for both cases) and prolonged water stress period.
- An increase in the intensity of stress coefficients: Ks will be 0.10 and 0.16 smaller at case study I and II, respectively.
- An increase of blue WFP of about 40% in case study I and 82% in case study II, on average, resulting in a predicted increase of 5% and 22% of wine WFP, for case study I and II, respectively.
3.2. Water Footprint in the Winery Stage
3.3. LCA Indicators and Water Footprint Sustainability
3.3.1. Indicators for Water Scarcity Assessment
3.3.2. Indicators for Water Footprint Profile Assessment
4. Discussion
4.1. Direct Water Footprint in the Vineyard
4.2. Direct Water Footprint in the Winery
4.3. Water Footprint Sustainability Assessment
4.4. Strategies to Mitigate Water Footprint
5. Conclusions
Author Contributions
Funding
Acknowledgments
Conflicts of Interest
References
- Smit, B.; Burton, I.; Klein, R.J.; Wandel, J. An anatomy of adaptation to climate change and variability. Clim. Chang. 2000, 45, 223–251. [Google Scholar] [CrossRef]
- Jones, G.V.; Alves, F. Impacts of climate change on wine production: A global overview and regional assessment in the Douro valley of Portugal. In Proceedings of the Global Conference on Global Warming, Lisbon, Portugal, 11–14 July 2011. [Google Scholar]
- Soares, P.M.; Cardoso, R.M.; Ferreira, J.J.; Miranda, P.M. Climate change and the Portuguese precipitation: ENSEMBLES regional climate models results. Clim. Dyn. 2015, 45, 1771–1787. [Google Scholar] [CrossRef]
- Paulo, A.A.; Rosa, R.D.; Pereira, L.S. Climate trends and behaviour of drought indices based on precipitation and evapotranspiration in Portugal. Nat. Hazards Earth Syst. Sci. 2011, 11, 1481–1491. [Google Scholar] [CrossRef]
- Hanjra, M.A.; Qureshi, M.E. Global water crisis and future food security in an era of climate change. Food Policy 2010, 35, 365–377. [Google Scholar] [CrossRef]
- Costa, J.M.; Vaz, M.; Escalona, J.; Egipto, R.; Lopes, C.; Medrano, H.; Chaves, M.M. Modern viticulture in southern Europe: Vulnerabilities and strategies for adaptation to water scarcity. Agric. Water Manag. 2016, 164, 5–18. [Google Scholar] [CrossRef]
- Hoekstra, A.; Hung, P.Q. Virtual water trade: A quantification of virtual water flows between nations in relation to international crop trade. Water Sci. Technol. 2002, 49, 203–209. [Google Scholar]
- Hoekstra, A.Y.; Chapagain, A.K.; Aldaya, M.M.; Mekonnen, M.M. The Water Footprint Assessment Manual Setting the Global Standard; Earthscan: London, UK, 2011. [Google Scholar]
- ISO 14046. Environmental Management-Water Footprint-Principles, Requirements and Guidelines; International Organization for Standardization: Geneva, Switzerland, 2014. [Google Scholar]
- Quinteiro, P.; Dias, A.C.; Pina, L.; Neto, B.; Ridoutt, B.G.; Arroja, L. Addressing the freshwater use of a Portuguese wine (‘vinho verde’) using different LCA methods. J. Clean. Prod. 2014, 68, 46–55. [Google Scholar] [CrossRef]
- Lovarelli, D.; Ingrao, C.; Fiala, M.; Bacenetti, J. Beyond the Water Footprint: A new framework proposal to assess freshwater environmental impact and consumption. J. Clean. Prod. 2018, 171, 4189–4199. [Google Scholar] [CrossRef]
- Allan, T. ‘Virtual Water’: A Long Term Solution for Water Short Middle Eastern Economies? British Association Festival of Science. In Proceedings of the Water and Development Session, Roger Stevens Lecture Theatre, University of Leeds, Leeds, UK, 9 September 1997. [Google Scholar]
- Mekonnen, M.M.; Hoekstra, A.Y. The green, blue and grey water footprint of crops and derived crop products. Hydrol. Earth Syst. Sci. 2011, 15, 1577–1600. [Google Scholar] [CrossRef]
- Herath, I.; Green, S.; Singh, R.; Horne, D.; van der Zijpp, S.; Clothier, B. Water footprinting of agricultural products: A hydrological assessment for the water footprint of New Zealand wines. J. Clean. Prod. 2013, 41, 232–243. [Google Scholar] [CrossRef]
- Herath, I.; Green, S.; Horne, D.; Singh, R.; McLaren, S.; Clothier, B. Water footprinting of agricultural products: Evaluation of different protocols using a case study of New Zealand wine. J. Clean. Prod. 2013, 44, 159–167. [Google Scholar] [CrossRef]
- Rutger, M. Water Footprint of Wine Production in Wineries in Chile: The Creation of a Water Footprint Calculator; Universidade MAYOR: Providencia, Chile, 2015; p. 29. [Google Scholar]
- Civit, B.; Piastrellini, R.; Curadelli, S.; Arena, A.P. The water consumed in the production of grapes for vinification (Vitis vinifera). Mapping the blue and green water footprint. Ecol. Indic. 2018, 85, 136–143. [Google Scholar] [CrossRef]
- Rulli, M.C.; D’Odorico, P. The water footprint of land grabbing. Geophys. Resrc. Let. 2013, 40, 6130–6135. [Google Scholar] [CrossRef]
- Lamastra, L.; Suciu, N.A.; Novelli, E.; Trevisan, M. A new approach to assessing the water footprint of wine: An Italian case study. Sci. Total Environ. 2014, 490, 748–756. [Google Scholar] [CrossRef] [PubMed]
- Bonamente, E.; Scrucca, F.; Asdrubali, F.; Cotana, F.; Presciutti, A. The water footprint of the wine industry: Implementation of an assessment methodology and application to a case study. Sustainability 2015, 7, 12190–12208. [Google Scholar] [CrossRef]
- Bonamente, E.; Scrucca, F.; Rinaldi, S.; Merico, M.C.; Asdrubali, F.; Lamastra, L. Environmental impact of an Italian wine bottle: Carbon and water footprint assessment. Sci. Total Environ. 2016, 560–561, 274–283. [Google Scholar] [CrossRef]
- Rinaldi, S.; Bonamente, E.; Scrucca, F.; Merico, M.C.; Asdrubali, F.; Costa, F. Water and carbon footprint of wine: Methodology review and application to a case study. Sustainability 2016, 8, 621. [Google Scholar] [CrossRef]
- Bartocci, P.; Fantozzi, P.; Fantozzi, F. Environmental impacto of Sagrantino and Grechetto grapes cultivation for wine and vinegar production in central Italy by means of Life Cycle Assessment, Carbon Footprint, Water Footprint, Ecological Footprint. J. Clean. Prod. 2017, 140, 569–580. [Google Scholar] [CrossRef]
- Miglietta, P.P.; Morrone, D.; Lamastra, L. Water footprint and economic water productivity of Italian wines with appellation of origin: Managing sustainability through an integrated approach. Sci. Total Environ. 2018, 633, 1180–1186. [Google Scholar] [CrossRef]
- Borsato, E.; Giubilato, E.; Zabeo, A.; Lamastra, L.; Criscione, P.; Tarolli, P.; Marinello, F.; Pizzol, L. Comparision of water-focused life cycle assessment and water footprint assessment: The case of an Italian wine. Sci. Total Environ. 2019, 666, 1220–1231. [Google Scholar] [CrossRef]
- Villanueva-Rey, P.; Quinteiro, P.; Vázquez-Rowe, I.; Rafael, S.; Arroja, L.; Moreira, M.T.; Feijoo, G.; Dias, A.C. Assessing water footprint in a wine appellation: A case study for Ribeiro in Galicia, Spain. J. Clean. Prod. 2018, 172, 2097–2107. [Google Scholar] [CrossRef]
- Saraiva, A.; Rodrigues, G.; Mamede, H.; Silvestre, J.; Dias, I.; Feliciano, M.; Oliveira e Silva, P.; Oliveira, M. The impact of the winery’s wastewater treatment system on the winery water footprint. Water Sci. Technol. 2019, 80, 1823–1831. [Google Scholar] [CrossRef] [PubMed]
- Ene, S.A.; Teodosiu, C.; Robu, B.; Volf, I. Water footprint assessment in the winemaking industry: A case study for a Romanian medium size production plant. J. Clean. Prod. 2013, 43, 122–135. [Google Scholar] [CrossRef]
- Bujdosó, B.; Waltner, I. Water footprint assessment of a winery and its vineyard. Hung. Agric. Res. 2017, 1, 10–13. [Google Scholar]
- Steenwerth, K.L.; Strong, E.B.; Greenhut, R.F. Life cycle greenhouse gas, energy, and water assessment of wine grape production in California. Int. J. Life Cycle Assess. 2015, 20, 1243–1253. [Google Scholar] [CrossRef]
- Johnson, M.B.; Mehrvar, M. An assessment of the grey water footprint of winery wastewater in the Niagara Region of Ontario, Canada. J. Clean. Prod. 2019, 214, 623–632. [Google Scholar] [CrossRef]
- Merli, R.; Preziosi, M.; Acampora, A. Sustainability experiences in the wine sector: Toward the development of an international indicators system. J. Clean. Prod. 2018, 172, 3791–3805. [Google Scholar] [CrossRef]
- Oliveira, M.; Duarte, E. Integrated approach to winery waste: Waste generation and data consolidation. Front. Environ. Sci. Eng. 2016, 10, 168–176. [Google Scholar] [CrossRef]
- Martins, A.A.; Araújo, A.R.; Graça, A.; Caetano, N.S.; Mata, T.M. Towards sustainable wine: Comparision of two Portuguese wines. J. Clean. Prod. 2018, 183, 662–676. [Google Scholar] [CrossRef]
- IPMA-Instituto Português do Mar e da Atmosfera. Available online: https://www.ipma.pt/pt/oclima/normais.clima/ (accessed on 21 August 2020).
- Chapagain, A.K.; Hoekstra, A.Y.; Savenije, H.H.G.; Gautam, R. The water footprint of cotton consumption: An assessment of the impact of worldwide consumption of cotton products on the water resources in the cotton producing countries. Ecol. Econ. 2006, 60, 186–203. [Google Scholar] [CrossRef]
- Decreto-Lei n.° 235/97 de 3 de setembro. In Diário da República n.°203/1997—I Série-A; Ministério do Ambiente: Lisboa, Portugal, 1997; Available online: https://dre.pt/pesquisa/-/search/107067/details/maximized (accessed on 31 July 2020).
- Allen, R.G.; Pereira, L.S.; Raes, D.; Smith, M. Crop Evapotranspiration and Guidelines for Computing Crop Water Requirements. In FAO Irrigation and Drainage Paper 56; FAO: Rome, Italy, 1998. [Google Scholar]
- Ferreira, M.I.; Silvestre, J.; Conceição, N.; Malheiro, A.C. Crop and stress coefficients in rainfed and deficit irrigation vineyards using sap flow techniques. Irrig. Sci. 2012, 30, 433–447. [Google Scholar] [CrossRef]
- Chaves, M.M.; Santos, P.; Souza, C.R.; Ortuño, M.F.; Rodrigues, M.L.; Lopes, C.M.; Maroco, J.P.; Pereira, J.S. Deficit irrigation in grapevine improves water-use efficiency while controlling vigour and production quality. Ann. Appl. Biol. 2007, 150, 137–151. [Google Scholar] [CrossRef]
- Rosa, R.D.; Paredes, P.; Rodrigues, G.C.; Alves, I.; Fernando, R.M.; Pereira, L.S.; Allen, R.G. Implementing the dual crop coefficient approach in interactive software. 1. Background and computational strategy. Agric. Water Manag. 2012, 103, 8–24. [Google Scholar] [CrossRef]
- Paço, T.A.; Paredes, P.; Pereira, L.S.; Silvestre, J.; Santos, F.S. Crop Coefficients and Transpiration of a SuperIntensive Arbequina Olive Orchard using the Dual KcApproach and the KcbComputation with the Fractionof Ground Cover and Height. Water 2019, 11, 383. [Google Scholar] [CrossRef]
- Campos, I.; Neale, C.M.U.; Calera, A.; Balbontín, C.; González-Piqueras, J. Assessing satellite-based basal crop coefficients for irrigated grapes (Vitis vinifera L.). Agric. Water Manag. 2010, 98, 45–54. [Google Scholar] [CrossRef]
- Rouse, J.W.; Haas, R.H.; Schell, J.A.; Deering, D.W. Monitoring vegetation systems in the Great Plains with ERTS. In Proceedings of the Earth Resources Technology Satellite Symposium NASA SP-351, Washington, DC, USA, 10–14 December 1973; Volume 1, pp. 309–317. [Google Scholar]
- Blanco-Cipollone, F.; Lourenço, S.; Silvestre, J.; Conceição, N.; Moñino, M.J.; Vivas, A.; Ferreira, M.I. Plant water status indicators for irrigation scheduling associated with iso- and anisohydric behavior: Vine and plum trees. Horticulturae 2017, 3, 47. [Google Scholar] [CrossRef]
- Lopes, C.; Pinto, P.A. Easy and accurate estimation of grapevine leaf area with simple mathematical models. Vitis 2005, 44, 55–61. [Google Scholar]
- Jacob, D.; Petersen, J.; Eggert, B.; Alias, A.; Christensen, O.B.; Bouwer, L.M.; Braun, A.; Colette, A.; Déque, M.; Georgievski, G.; et al. EURO-CORDEX: New high-resolution climate change projections for European impact research. Reg. Environ. Change 2014, 14, 563–578. [Google Scholar] [CrossRef]
- CSWA. Sustainable Water Management Handbook for Small Wineries; California Sustainable Winegrowing Alliance (CSWA): San Francisco, CA, USA, 2014. [Google Scholar]
- EPA. Lean & Water Toolkit; EPA-100-K-11-003; United States Environment Protection Agency (EPA): Washington, DC, USA, 2011; p. 108.
- APHA; AWWA; WEF. Standard Methods for the Examination of Water and Wastewater, 10th ed.; APHA, AWWA, WEF: Washington, DC, USA, 2006. [Google Scholar]
- Penman, H.L. Natural evaporation from open water, bare soil and grass. Proc. R. Soc. of Lond. Ser. A Math. Phys. Sci. 1948, 193, 120–145. [Google Scholar]
- Neto, B.; Dias, A.C.; Machado, M. Life cycle assessment of the supply chain of a Portuguese wine: From viticulture to distribution. Int. J. Life Cycle Assess. 2013, 18, 590–601. [Google Scholar] [CrossRef]
- Guinée, J.B.; Gorrée, M.; Heijungs, R.; Huppes, G.; Kleijn, R.; de Koning, A.; van Oers, L.; Wegener Sleeswijk, A.; Suh, S.; Udo de Haes, H.A.; et al. Handbook on Life Cycle Assessment-Operational Guide to the ISO Standards; I: LCA in perspective. IIa: Guide. IIb: Operational annex. III: Scientific background; Kluwer Academic Publishers: Dordrecht, The Netherlands, 2002; p. 692. ISBN 1-4020-0228-9. [Google Scholar]
- Guinée, J.B.; Gorrée, M.; Heijungs, R.; Huppes, G.; Kleijn, R.; Koning, A.D.; Huijbregts, M.A.J. LCA–An Operational Guide to the ISO-standards–Part 2b: Operational Annex (Final Report. May 2001): Institute of Environmental Science (CML) Faculty of Science; Leiden University: Leiden, The Netherlands, 2001. [Google Scholar]
- Pfister, S.; Koehler, A.; Hellweg, S. Assessing the Environmental Impacts of Freshwater Consumption in LCA. Environ. Sci. Technol. 2009, 43, 4098–4104. [Google Scholar] [CrossRef] [PubMed]
- Acevedo-Opazo, C.; Ortega-Farias, S.; Fuentes, S. Effects of grapevine (Vitis vinifera L.) water status on water consumption, vegetative growth and grape quality: An irrigation scheduling application to achieve regulated deficit irrigation. Agric. Water Manag. 2010, 97, 956–964. [Google Scholar] [CrossRef]
- Zarrouk, O.; Francisco, R.; Pinto-Marijuan, M.; Brossa, R.; Santos, R.R.; Pinheiro, C.; Costa, J.M.; Lopes, C.; Chaves, M.M. Impact of irrigation regime on berry development and flavonoids composition in Aragonez (Syn. Tempranillo) grapevine. Agric. Water Manag. 2012, 114, 18–29. [Google Scholar] [CrossRef]
- Decreto-Lei n.° 236/98 de 1 de agosto. In Diário da República n.° 176/1998—I Série-A; Ministério do Ambiente: Lisboa, Portugal, 1998; Available online: https://dre.pt/pesquisa/-/search/430457/details/maximized (accessed on 23 July 2020).
- Lionello, P.; Scarascia, L. The relation between climate change in the Mediterranean region and global warming. Reg Environ Change 2018, 18, 1481–1493. [Google Scholar] [CrossRef]
- Phogat, V.; Skewes, M.A.; McCarthy, M.G.; Cox, J.W. Evaluation of crop coefficients, water productivity, and water balance components for wine grapes irrigated at different deficit levels by a sub-surface drip. Agric. Water Manag. 2017, 180, 22–34. [Google Scholar] [CrossRef]
- Costa, J.M.; Egipto, R.; Silvestre, J.; Lopes, C.; Chaves, M. Chapter 10-Water and Heat Fluxes in Mediterranean Vineyards: Indicators and Relevance for Management. In Water Scarcity and Sustainable Agriculture in Semiarid Environment; Academic Press: Cambridge, MA, USA, 2018; pp. 219–245. [Google Scholar] [CrossRef]
- Paredes, P.; Rodrigues, G.C.; Alves, I.; Pereira, L.S. Partitioning evapotranspiration, yield prediction and economic returns of maize under various irrigation management strategies. Agric. Water Manag. 2014, 135, 27–39. [Google Scholar] [CrossRef]
- Fandiño, M.; Cancela, J.J.; Rey, B.J.; Martínez, E.M.; Rosa, R.G.; Pereira, L.S. Using the dual-Kc approach to model evapotranspiration of Albariño vineyards (Vitis vinifera L. cv. Albariño) with consideration of active ground cover. Agric. Water Manag. 2012, 112, 75–87. [Google Scholar] [CrossRef]
- Kamble, B.; Irmak, A.; Hubbard, K. Estimating Crop Coefficients Using Remote Sensing-Based Vegetation Index. Remote Sens. 2013, 5, 1588–1602. [Google Scholar] [CrossRef]
- Calera, A.; Campos, I.; Osann, A.; D’Urso, G.; Menenti, M. Remote sensing for crop water management: From ET modelling to services for the end users. Sensors 2017, 17, 1104. [Google Scholar] [CrossRef] [PubMed]
- Pôças, I.; Paço, T.A.; Paredes, P.; Cunha, M.; Pereira, L.S. Estimation of Actual Crop Coefficients Using Remotely Sensed Vegetation Indices and Soil Water Balance Modelled Data. Remote Sens. 2015, 7, 2373–2400. [Google Scholar] [CrossRef]
- Orduña, R.M. Climate change associated effects on grape and wine quality and production. Food Res. Int. 2010, 43, 1844–1855. [Google Scholar] [CrossRef]
- Salazar, P.C.; Aguirreolea, J.; Sánchez-Díaz, M.; Irigoyen, J.J.; Morales, F. Effects of climate change scenarios on Tempranillo grapevine (Vitis vinifera L.) ripening: Response to a combination of elevated CO2 and temperature, and moderate drought. Plant Soil 2010, 337, 179–191. [Google Scholar] [CrossRef]
- Tonietto, J.; Carbonneau, A.A. multicriteria climatic classification system for grape-growing regions worldwide. Agric. For. Meteorol. 2004, 124, 81–97. [Google Scholar] [CrossRef]
- Pina, L.; Dias, A.C.; Neto, B.; Arroja, L.; Quinteiro, P. The water footprint of wine production in Portugal: A case study on vinho verde. In Proceedings of the 6th International Conference on Industrial Ecology, Berkeley, CA, USA, 7–10 June 2011. [Google Scholar]
- Villanueva-Rey, P.; Vázquez-Rowe, I.; Moreira, M.T.; Feijoo, G. Comparative life cycle assessment in the wine sector: Biodynamic vs. conventional viticulture activities in NW Spain. J. Clean. Prod. 2014, 65, 330–341. [Google Scholar] [CrossRef]
- Rugani, B.; Vázquez-Rowe, I.; Benedetto, G.; Benetto, E. A comprehensive review of carbon footprint analysis as an extended environmental indicator in the wine sector. J. Clean. Prod. 2013, 54, 61–77. [Google Scholar] [CrossRef]
- Fusi, A.; Guidetti, R.; Benedetto, G. Delving into the environmental aspect of a Sardinian white wine: From partial to total life cycle assessment. Sci. Total Environ. 2014, 472, 989–1000. [Google Scholar] [CrossRef]
- Iannone, R.; Miranda, S.; Riemma, S.; De Marco, I. Improving environmental performances in wine production by a life cycle assessment analysis. J. Clean. Prod. 2016, 111, 172–180. [Google Scholar] [CrossRef]
- Benedetto, G. The Environmental Impact of a Sardinian Wine by Partial Life Cycle Assessment. Wine Econ. Policy 2013, 2, 33–41. [Google Scholar] [CrossRef]
- van Leeuwen, C.; Destrac-Irvine, A. Modified grape composition under climate change conditions requires adaptations in the vineyard. OENO One 2017, 51, 147–154. [Google Scholar] [CrossRef]
- IPCC. Climate Change: The Physical Science Basis. In Contribution of Working Group I to the Fifth Assessment Report of the Intergovernmental Panel on Climate Change; Stocker, T.F., Qin, D., Plattner, G.-K., Tignor, M., Allen, S.K., Boschung, J., Nauels, A., Xia, Y., Bex, V., Midgley, P.M., Eds.; Cambridge University Press: Cambridge, UK; New York, NY, USA, 2013; p. 1535. [Google Scholar]
- Point, E.; Tyedmers, P.; Naugler, C. Life Cycle Environmental Impacts of Wine Production and Consumption in Nova Scotia, Canada. J. Clean. Prod. 2012, 27, 11–20. [Google Scholar] [CrossRef]
- Amienyo, D.; Camilleri, C.; Azapagic, A. Environmental Impacts of Consumption of Australian Red Wine in the UK. J. Clean. Prod. 2014, 72, 110–119. [Google Scholar] [CrossRef]




















| Country | WFP Assessment | Production 105 L/Year | Variety | Global WFP (L/0.75 L) | Green WFP (%) | Blue WFP (%) | Grey WFP (%) | Boundaries | Authors |
|---|---|---|---|---|---|---|---|---|---|
| GLOBAL | WFP Framework | - | - | 607 | 70 | 16 | 14 | Vineyard and Winery Direct and Indirect WFP | [13] |
| New Zealand | ISO 14046 | - | - | 667 742 | 90 82 | 10 18 | n.d. n.d. | Vineyard and Winery Direct WFP | [14] |
| New Zealand | ISO 14046 | - | 787 860 | 83 75 | 12 3.0 | 5.0 22 | Vineyard and Winery Direct and Indirect WFP | [15] | |
| Chile | WFP Framework | 111 207 664 153 | Red wine White wine | 4.2 1.9–2.9 0.32 0.95 | - - - - | 17 28 63 59 | 83 72 37 41 | Winery Direct WFP | [16] |
| Argentina | WFP Framework | Red wine White wine | 582 | - | - | - | Vineyard Direct WFP | [17] | |
| Italy | WFP Framework | - - | Red white | 365 410 | - - | - - | - - | Vineyard and Winery | [18] |
| Italy | WFP Framework | 0.58 0.47 1.4 0.62 0.80 | Cabernet Sauvignon Nero d’avola Chardonnay White Pinot Grecanico | 523–872 | 75–99 | 0–7 | 0–22 | Vineyard and Winery Direct WFP | [19] |
| Italy | ISO 14046 | 1.9 | Sangiovese Cabernet Sauvignon Merlot | 632 | 98 | 0.5 | 1.2 | Vineyard and Winery Direct and Indirect WFP No irrigation | [20] |
| Italy | ISO 14046 | Red wine | 451 | 78 | 1.2 | 21 | Vineyard and Winery Direct and Indirect WFP | [21] | |
| Italy | ISO 14046 | 1.9 | Red wine White wine | 504 551 | 89 90 | 2.0 1.8 | 8.6 8.1 | Vineyard and Winery Direct and Indirect WFP | [22] |
| Italy | ISO 14046 | Grechetto Sagrantino | 877 667 | 71 67 | 29 33 | Vineyard and Winery Direct and Indirect WFP | [23] | ||
| Italy | WFP Framework | Red wine And White wine | 601 | 76 | 7.0 | 17 | Vineyard and Winery | [24] | |
| Italy | ISO 14046 | 9.5 | White wine | 1193 | 83 | 15 | 2.0 | Vineyard and Winery Direct and Indirect WFP | [25] |
| Spain | ISO 14046 | - | 651–1923 | 99.9 | 0.1 | - | Vineyard Direct and Indirect WFP No irrigation | [26] | |
| Portugal | ISO 14046 | - | 402 | 99 | 1.1 | - | Vineyard and Winery No irrigation | [10] | |
| Portugal | WFP Framework | 7.5 | Red wine and White wine | 9.6–12.7 | - | 2 | 98 | Winery Direct WFP | [27] |
| Romania | WFP Framework | 8.0 | Sauvignon Chardonnay Feteasca Aligote Riesling | 1262–2480 | 82 | 3.0 | 15 | Vineyard and Winery Direct and Indirect WFP | [28] |
| Hungary | WFP Framework | - | Chardonnay Pinot Grigio Gruner Veltliner Cabernet Sauvignon Merlot | 368–800 | 97–98 | 2–3 | Vineyard and Winery Direct WFP No irrigation | [29] | |
| Impact Category | Unity | Equation | Reference |
|---|---|---|---|
| Acidification potential (AP) | g SO2 eq | [54] | |
| Eutrophication potential (EP) | g PO43− eq | ||
| Global warming potential (GWP) | kg CO2 eq | ||
| Water scarcity indicator (WSI) | m3 equiv. | [55] |
| Year | Accumulated ET Act (mm) | Productivity (L/ha) | Vineyard WFP (L/FU) | ||||
|---|---|---|---|---|---|---|---|
| Green | Blue | Grey | Total | ||||
| Case study I | 2017 | 433 | 9024 | 302 | 57 | 0 | 359 |
| 2018 | 460 | 9233 | 332 | 42 | 18 | 392 | |
| Case study II | 2017 | 368 | 4215 | 594 | 224 | 78 | 896 |
| 2018 | 569 | 5955 | 417 | 299 | 55 | 771 | |
| Year | Accumulated ET Act (mm) | Productivity (L/ha) | Vineyard WFP (L/FU) | Winery WFP (L/FU) | Global WFP | ||||
|---|---|---|---|---|---|---|---|---|---|
| Green | Blue | Grey | Blue | Grey | (L/FU) | ||||
| Case study I | 2017 | 433 | 9024 | 302 | 57 | 0 | 0.11 | 7.1 | 366 |
| 2018 | 460 | 9233 | 332 | 42 | 18 | 0.15 | 9.4 | 402 | |
| Case study II | 2017 | 368 | 4215 | 594 | 224 | 78 | 3.3 | 0 | 899 |
| 2018 | 569 | 5955 | 417 | 299 | 55 | 1.9 | 0 | 773 | |
| Case Study I | Case Study II | |||||
|---|---|---|---|---|---|---|
| Vineyard | Winery | TOTAL | Vineyard | Winery | TOTAL | |
| Blue water footprint—BWF (L/FU) | 102.0 | 3.1 | 105.1 | 324.0 | 4.0 | 328.0 |
| Water Scarcity Indicator—WSI (m3 equiv.) | 0.059 | 0.002 | 0.061 | 0.186 | 0.003 | 0.189 |
© 2020 by the authors. Licensee MDPI, Basel, Switzerland. This article is an open access article distributed under the terms and conditions of the Creative Commons Attribution (CC BY) license (http://creativecommons.org/licenses/by/4.0/).
Share and Cite
Saraiva, A.; Presumido, P.; Silvestre, J.; Feliciano, M.; Rodrigues, G.; Silva, P.O.e.; Damásio, M.; Ribeiro, A.; Ramôa, S.; Ferreira, L.; et al. Water Footprint Sustainability as a Tool to Address Climate Change in the Wine Sector: A Methodological Approach Applied to a Portuguese Case Study. Atmosphere 2020, 11, 934. https://doi.org/10.3390/atmos11090934
Saraiva A, Presumido P, Silvestre J, Feliciano M, Rodrigues G, Silva POe, Damásio M, Ribeiro A, Ramôa S, Ferreira L, et al. Water Footprint Sustainability as a Tool to Address Climate Change in the Wine Sector: A Methodological Approach Applied to a Portuguese Case Study. Atmosphere. 2020; 11(9):934. https://doi.org/10.3390/atmos11090934
Chicago/Turabian StyleSaraiva, Artur, Pedro Presumido, José Silvestre, Manuel Feliciano, Gonçalo Rodrigues, Pedro Oliveira e Silva, Miguel Damásio, António Ribeiro, Sofia Ramôa, Luís Ferreira, and et al. 2020. "Water Footprint Sustainability as a Tool to Address Climate Change in the Wine Sector: A Methodological Approach Applied to a Portuguese Case Study" Atmosphere 11, no. 9: 934. https://doi.org/10.3390/atmos11090934
APA StyleSaraiva, A., Presumido, P., Silvestre, J., Feliciano, M., Rodrigues, G., Silva, P. O. e., Damásio, M., Ribeiro, A., Ramôa, S., Ferreira, L., Gonçalves, A., Ferreira, A., Grifo, A., Paulo, A., Ribeiro, A. C., Oliveira, A., Dias, I., Mira, H., Amaral, A., ... Oliveira, M. (2020). Water Footprint Sustainability as a Tool to Address Climate Change in the Wine Sector: A Methodological Approach Applied to a Portuguese Case Study. Atmosphere, 11(9), 934. https://doi.org/10.3390/atmos11090934

