Impact of Land Cover and Leaf Area Index on BVOC Emissions over the Korean Peninsula
Abstract
1. Introduction
2. Methodology
2.1. Biogenic VOC Emissions Model
2.2. Vegetation Input Parameters
2.2.1. Plant Functional Type
2.2.2. Leaf Area Index
2.3. BVOC Emissions Modeling Framework and Meteorological Input
3. Input Parameter Estimation over the Korean Peninsula
3.1. Composition of Modeling Input Parameters
3.1.1. Plant Functional Type
3.1.2. Leaf Area Index
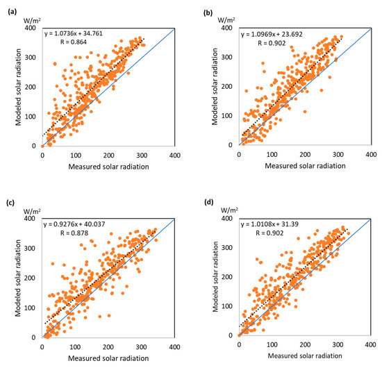
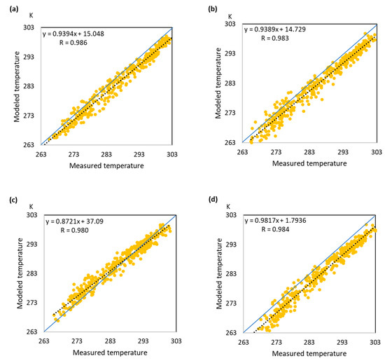
3.2. Meteorological Input Data
4. BVOC Emissions Estimation and Evaluation
4.1. BVOC Emissions Estimation
4.2. Comparison with Inverse Estimates of BVOC Emissions
5. Conclusions
Author Contributions
Funding
Acknowledgments
Conflicts of Interest
References
- Karl, T.; Guenther, A.; Sprig, C.; Hansel, A.; Fall, R. Seasonal variation of biogenic VOC emissions above a mixed hardwood forest in northern Michigan. Geophys. Res. Lett. 2003, 30, 2186. [Google Scholar] [CrossRef]
- Pierce, T.E.; Geron, C.; Bender, L.; Dennis, R.; Tonnesen, G.; Guenther, A. Influence of increased isoprene emissions on regional ozone modeling. J. Geophys. Res. 1998, 103, 25622–25629. [Google Scholar] [CrossRef]
- Morris, R.E.; Koo, B.; Guenther, A.; Yarwood, G.; McNally, D.; Tesche, T.W.; Tonnesen, G.; Boylan, J.; Brewer, P. Model sensitivity evaluation for organic carbon using two multi-pollutant air quality models that simulate regional haze in the southeastern United States. Atmosp. Environ. 2006, 40, 4960–4972. [Google Scholar] [CrossRef]
- Tsigaridis, K.; Kanakidou, M. Secondary organic aerosol importance in the future atmosphere. Atmosp. Environ. 2007, 41, 4682–4692. [Google Scholar] [CrossRef]
- Cho, K.-T.; Kim, J.-C.; Hong, J.-H. A Study on the Comparison of Biogenic VOC (BVOC) Emissions Estimates by BEIS and CORINAIR Methodologies. J. Korean Soc. Atmosp. Environ. 2006, 22, 167–177. [Google Scholar]
- NIER (National Institute of Environmental Research). KORUS-AQ Rapid Science Synthesis Report; NIER: Incheon, Korea, 2017.
- Guenther, A.; Karl, T.; Harley, P.; Wiedinmyer, C.; Palmer, P.I.; Geron, C. Estimates of global terrestrial isoprene emissions using MEGAN (Model of Emissions of Gases and Aerosols from Nature). Atmosp. Chem. Phys. 2006, 6, 3181–3210. [Google Scholar] [CrossRef]
- Guenther, A.B.; Jiang, X.; Heald, C.L.; Sakulyanontvittaya, T.; Duhl, T.; Emmons, L.K.; Wang, X. The Model of Emissions of Gases and Aerosols from Nature version 2.1 (MEGAN v2.1): An extended and updated framework for modeling biogenic emissions. Geosci. Model Dev. 2012, 5, 1471–1492. [Google Scholar] [CrossRef]
- Messina, P.; Lathière, J.; Sindelarova, K.; Vuichard, N.; Granier, C.; Ghattas, J.; Cozic, A.; Hauglustaine, D.A. Global biogenic volatile organic compound emissions in the ORCHIDEE and MEGAN models and sensitivity to key parameters. Atmosp. Chem. Phys. 2016, 16, 14169–14202. [Google Scholar] [CrossRef]
- Henrot, A.-J.; Stanelle, T.; Schröder, S.; Siegenthaler, C.; Taraborrelli, D.; Schultz, M.G. Implementation of the MEGAN (v2.1) biogenic emission model in the ECHAM6-HAMMOZ chemistry climate model. Geosci. Model Dev. 2017, 10, 903–926. [Google Scholar] [CrossRef]
- Sindelarova, K.; Granier, C.; Bouarar, I.; Guenther, A.; Tilmes, S.; Stavrakou, T.; Müller, J.-F.; Kuhn, U.; Stefani, P.; Knorr, W. Global data set of biogenic VOC emissions calculated by the MEGAN model over the last 30 years. Atmosp. Chem. Phys. 2014, 14, 9317–9341. [Google Scholar] [CrossRef]
- Han, K.M.; Park, R.S.; Kim, H.K.; Woo, J.H.; Kim, J.; Song, C.H. Uncertainty in biogenic isoprene emissions and its impacts on tropospheric chemistry in East Asia. Sci. Total Environ. 2013, 463, 754–771. [Google Scholar] [CrossRef] [PubMed]
- Oleson, K.W.; Bonan, G.B. The effects of remotely-sensed plant functional type and leaf area index on simulations of boreal forest surface fluxes by the NCAR land surface model. J. Hydrometeorol. 2000, 1, 431–446. [Google Scholar] [CrossRef]
- Jensen, J.R. Remote Sensing of the Environmental: An Earth Resource Perspective; Pearson: Upper Saddle River, NJ, USA, 2007. [Google Scholar]
- Huete, A.; Justice, C.; Leeuween, W. Modis Vegetation Index Algorithm Theoretical Basis Document; Department of Environmental Sciences; University of Virginia: Charlottesville, VA, USA, 1999. [Google Scholar]
- Rouse, J., Jr.; Haas, R.H.; Schell, J.A. In Third Earth Resources Technology Satellite-1 Symposium- Volume I: Technical Presentations; NASA SP-351; Freden, S.C., Mercanti, E.P., Becker, M.A., Eds.; NASA: Washington, DC, USA, 1974; p. 309. 1994p.
- Schiffman, B.; Basson, G.; Lue, E.; Ottman, D.; Hawk, A.; Ghosh, M.; Melton, F.; Schmidt, C.; Skiles, J.W. Estimation of leaf area index (LAI) through the acquisition of ground truth data in Yosemite national park. In Proceedings of the ASRPS 2008 Annual Conference, Portland, OR, USA, 28 April–2 May 2008. [Google Scholar]
- WRF Model Users’ Page. Available online: http://www2.mmm.ucar.edu/wrf/users/ (accessed on 20 March 2018).
- Lee, J.M. Monthly LANDSAT LAI Generation in Korean Peninsula. Master’s Thesis, Konkuk University, Seoul, Korea, 2018. [Google Scholar]
- LPDAAC (Land Processes Distributed Active Archive Center). Available online: https://lpdaac.usgs.gov/dataset_discovery/modis/modis_products_table/mcd12q1 (accessed on 25 July 2018).
- LAADS(Level-1 and Atmosphere Archive & Distribution System). Available online: https://ladsweb.modaps.eosdis.nasa.gov/missions-and-measurements/products/lai-and-fpar/MCD15A2H (accessed on 25 July 2018).
- Gao, F.; Masek, J.; Hall, F. On the Blending of the Landsat and MODIS Surface Reflectance: Predicting Daily Landsat Surface Reflectance. IEEE Trans. Geosci. Remote Sens. 2006. [Google Scholar] [CrossRef]
- Suzuki, R.; Nomaki, T.; Yasunari, T. Spatial Distribution and its Seasonality of Satellite-derived Vegetation Index (NDVI) and Climate in Siberia. Int. J. Climatol. 2001, 21, 1321–1335. [Google Scholar] [CrossRef]
- Bauwens, M.; Stavrakou, T.; Müller, J.-F.; De Smedt, I.; Van Roozendael, M.; van der Werf, G.R.; Wiedinmyer, C.; Kaiser, J.; Sindelarova, K.; Guenther, A. Nine years of global hydrocarbon emissions based on source inversion of OMI formaldehyde observationsaccepted in Atmos. Chem. Phys. 2016. [Google Scholar] [CrossRef]
- KMA (Korea Meteorological Administration). Monthly Weather Report 2014; KMA: Seoul, Korea, 2014.











| Modeling Parameter | Content |
|---|---|
| Base year | 2015 |
| Grid (km) | 18 × 18 |
| MEGAN model version | MEGAN v2.1 |
| Meteorological data | WRF v3.7.1 output |
| Emission factor data source | MEGAN EF v2.1 |
| Data | Domain | Case 1 | Case 2 | Case 3 | Case 4 |
|---|---|---|---|---|---|
| PFT | N.Korea | MODIS * (500 m grid) | MODIS * | MODIS * | MODIS * |
| S.Korea | Local ** (50 m grid) | Local ** | |||
| LAI | N.Korea | MODIS + | STARFM ++ (30 m grid) | ||
| S.Korea | |||||
| Code | Land Cover Level 2 | MEGAN v2.1 PFT | MEGAN Reclassification |
|---|---|---|---|
| 210 | Rice paddy | Crop | 15 |
| 220 | Croplands | ||
| 230 | Cultivation under structure | ||
| 240 | Orchards | ||
| 250 | Other agricultural area | ||
| 310 | Broadleaf forest | BT_DC_TEMP | 7 |
| 320 | Coniferous forest | NT_EG_TEMP | 1 |
| 330 | Mixed forest | NT_EG_TEMP and BT_DC_TEMP | 77 |
| 410 | Natural grasslands | GS_C3_WARM | 14 |
| 420 | Artificial grasslands |
| Forest | Code | Classification | MEGAN v2.1 PFT | MEGAN Reclassification |
|---|---|---|---|---|
| Coniferous Forest | 11 | Pinus densiflora | NT_EG_TEMP | 1 |
| 12 | Pinus koraiensis | |||
| 13 | Larix kaempferi | NT_DC_BORL | 2 | |
| 14 | Pinus rigida | NT_EG_TEMP | 1 | |
| 15 | Pinus thunbergii | |||
| 16 | Abies holophylla | |||
| 17 | Chamaecyparis obtusa | |||
| 18 | Cryptomeria japonica | NT_DC_BORL | 2 | |
| 19 | Picea jezoensis | NT_EG_TEMP | 1 | |
| 20 | Torreya nucifera | |||
| 21 | Ginkgo biloba | NT_DC_BORL | 2 | |
| 10 | Needleleaf Trees | NT_EG_TEMP | 1 | |
| Broadleaf Forest | 31 | Quercus acutissima | BT_DC_TEMP | 7 |
| 32 | Quercus mongolica | |||
| 33 | Quercus variabilis | |||
| 34 | Oak trees | |||
| 35 | Alnus japonica | |||
| 36 | Acer pictum subsp. mono | |||
| 37 | Betula platyphylla var. japonica | |||
| 38 | Betula schmidtii | |||
| 39 | Castanea crenata | |||
| 40 | Fraxinus rhynchophylla | |||
| 41 | Carpinus laxiflora | |||
| 42 | Styrax japonicus | |||
| 43 | Juglans regia | |||
| 44 | Liriodendron tulipifera | |||
| 45 | Populus deltoides | |||
| 46 | Prunus serrulata var. spontanea | |||
| 47 | Zelkova serrata | |||
| 48 | Cornus controversa | |||
| 49 | Robinia pseudoacacia | |||
| 30 | Broadleaf Trees | |||
| Evergreen Broadleaf Forest | 61 | Quercus myrsinifolia | BT_EG_TEMP | 5 |
| 62 | Castanopsis sieboldii | |||
| 63 | Cinnamomum camphora | |||
| 64 | Daphniphyllum macropodum | |||
| 65 | Dendropanax morbiferus | |||
| 66 | Eurya japonica | SB_EG_TEMP | 9 | |
| 67 | Machilus thunbergii | BT_EG_TEMP | 5 | |
| 68 | Neolitsea aciculata | |||
| 60 | Evergreen broadleaf trees | |||
| Mixed Forest | 77 | Mixed forest | NT_EG_TEMP and BT_DC_TEMP | 77 |
| Non-Forest | 92 | Grasslands | GS_C3_WARM | 14 |
| 93 | Croplands | CROP | 15 | |
| 95 | Orchards | CROP | 15 |
| South Korea | North Korea | |||
|---|---|---|---|---|
| MODIS LAI (M) | STARFM LAI (S) | MODIS LAI (M) | STARFM LAI (S) | |
| January | 145 | 472 | 124 | 441 |
| February | 160 | 399 | 123 | 401 |
| March | 194 | 635 | 164 | 602 |
| April | 319 | 870 | 249 | 802 |
| May | 940 | 1174 | 915 | 1016 |
| June | 962 | 1403 | 1193 | 1319 |
| July | 971 | 1735 | 1255 | 1700 |
| August | 1053 | 1972 | 1386 | 1987 |
| September | 1001 | 1265 | 1072 | 1220 |
| October | 565 | 1090 | 307 | 1050 |
| November | 179 | 655 | 123 | 641 |
| December | 158 | 639 | 119 | 638 |
| Total | 6649 | 12,309 | 7030 | 11,816 |
| Item | Description |
|---|---|
| WRF version | WRFv3.7.1 |
| Resolution | 18 × 18 km |
| Horizontal Grid | 67 × 79 |
| Vertical Grid | 32 layer |
| NCEP data | 1 degree, 6 hourly |
| Topography Data | 30s USGS |
| Microphysics | WSM6 (WRF Single-Moment 6-Class) |
| Radiation physics | Shortwave: Dudhia scheme Longwave: RRTM scheme (Rapid Radiative Transfer Model) |
| PBL physics | YSU scheme |
| Cumulus physics | Kain-Fritsch (new Eta) scheme |
| Surface physics | Unified Noah land-surface model |
| Temperature | M (K) | MB (K) | RMSE (K) | R |
|---|---|---|---|---|
| Seoul | 284.44 (286.76) | −2.32 | 2.90 | 0.99 |
| Chuncheon | 283.00 (285.71) | −2.71 | 3.34 | 0.98 |
| Chupungnyeong | 285.94 (285.35) | 0.59 | 2.07 | 0.98 |
| Wonju | 283.29 (286.76) | −3.47 | 3.91 | 0.98 |
| Solar Radiation | M (W/m2) | MB (W/m2) | RMSE (W/m2) | R |
|---|---|---|---|---|
| Seoul | 191.57 (146.06) | 45.51 | 64.71 | 0.86 |
| Chuncheon | 189.47 (151.13) | 38.33 | 56.02 | 0.90 |
| Chupungnyeong | 190.48 (162.18) | 28.30 | 52.77 | 0.88 |
| Wonju | 194.54 (161.41) | 33.13 | 52.40 | 0.90 |
| Month | Isoprene | Monoterpenes | ||||||
|---|---|---|---|---|---|---|---|---|
| Case 1 | Case 2 | Case 3 | Case 4 | Case 1 | Case 2 | Case 3 | Case 4 | |
| January | 0.36 | 0.30 | 0.56 | 0.62 | 0.42 | 0.66 | 0.87 | 1.78 |
| February | 0.68 | 0.55 | 1.00 | 0.98 | 0.52 | 0.78 | 0.85 | 1.64 |
| March | 3.50 | 2.72 | 5.12 | 4.55 | 1.20 | 1.78 | 2.20 | 3.98 |
| April | 10.00 | 2.72 | 14.50 | 12.36 | 3.34 | 1.78 | 4.38 | 7.57 |
| May | 49.77 | 38.98 | 50.23 | 41.95 | 10.05 | 14.83 | 9.84 | 16.49 |
| June | 73.63 | 57.76 | 72.35 | 60.97 | 11.80 | 17.50 | 13.05 | 21.89 |
| July | 88.42 | 70.12 | 94.54 | 80.71 | 15.81 | 23.77 | 17.08 | 29.05 |
| August | 118.83 | 95.98 | 123.13 | 109.56 | 18.64 | 28.62 | 20.08 | 35.91 |
| September | 50.21 | 42.01 | 50.88 | 48.85 | 10.50 | 16.46 | 11.19 | 21.26 |
| October | 18.27 | 15.32 | 19.28 | 19.07 | 5.30 | 8.33 | 6.31 | 12.35 |
| November | 1.88 | 1.57 | 2.92 | 2.99 | 1.43 | 2.22 | 2.75 | 5.41 |
| December | 0.55 | 0.45 | 0.97 | 1.04 | 0.70 | 1.07 | 1.46 | 2.98 |
| Total | 416.11 | 328.49 | 435.48 | 383.65 | 79.71 | 117.78 | 90.05 | 160.33 |
| Month | Isoprene | Monoterpenes | ||
|---|---|---|---|---|
| Case 1 | Case 4 | Case 1 | Case 4 | |
| January | 0.08 | 0.18 | 0.17 | 0.46 |
| February | 0.17 | 0.36 | 0.18 | 0.48 |
| March | 1.03 | 2.15 | 0.52 | 1.25 |
| April | 6.73 | 11.80 | 1.90 | 3.43 |
| May | 34.56 | 41.13 | 8.11 | 8.14 |
| June | 62.85 | 65.52 | 10.43 | 11.82 |
| July | 84.49 | 92.40 | 13.97 | 16.26 |
| August | 67.80 | 80.67 | 13.73 | 15.36 |
| September | 33.11 | 35.71 | 7.44 | 8.59 |
| October | 6.25 | 8.89 | 2.30 | 3.96 |
| November | 0.46 | 1.04 | 0.46 | 1.44 |
| December | 0.10 | 0.30 | 0.23 | 0.79 |
| Total | 297.63 | 340.16 | 59.43 | 71.98 |
| Emissions | M (Mg/yr/ m2) | MB (Mg/yr/ m2) | RMSE (Mg/yr/ m2) | R |
|---|---|---|---|---|
| GlobEmission | 0.76 | |||
| Case 1 | 1.30 | 0.55 | 0.92 | 0.90 |
| Case 4 | 1.18 | 0.42 | 0.59 | 0.90 |
© 2020 by the authors. Licensee MDPI, Basel, Switzerland. This article is an open access article distributed under the terms and conditions of the Creative Commons Attribution (CC BY) license (http://creativecommons.org/licenses/by/4.0/).
Share and Cite
Jang, Y.; Eo, Y.; Jang, M.; Woo, J.-H.; Kim, Y.; Lee, J.-B.; Lim, J.-H. Impact of Land Cover and Leaf Area Index on BVOC Emissions over the Korean Peninsula. Atmosphere 2020, 11, 806. https://doi.org/10.3390/atmos11080806
Jang Y, Eo Y, Jang M, Woo J-H, Kim Y, Lee J-B, Lim J-H. Impact of Land Cover and Leaf Area Index on BVOC Emissions over the Korean Peninsula. Atmosphere. 2020; 11(8):806. https://doi.org/10.3390/atmos11080806
Chicago/Turabian StyleJang, Youjung, Yangdam Eo, Meongdo Jang, Jung-Hun Woo, Younha Kim, Jae-Bum Lee, and Jae-Hyun Lim. 2020. "Impact of Land Cover and Leaf Area Index on BVOC Emissions over the Korean Peninsula" Atmosphere 11, no. 8: 806. https://doi.org/10.3390/atmos11080806
APA StyleJang, Y., Eo, Y., Jang, M., Woo, J.-H., Kim, Y., Lee, J.-B., & Lim, J.-H. (2020). Impact of Land Cover and Leaf Area Index on BVOC Emissions over the Korean Peninsula. Atmosphere, 11(8), 806. https://doi.org/10.3390/atmos11080806

