Dispersion of CO Using Computational Fluid Dynamics in a Real Urban Canyon in the City Center of Valencia (Spain)
Abstract
1. Introduction
2. Materials and Methods
2.1. Study Area
2.2. Experimental Data
2.3. Numerical Model
2.4. Studied Cases
2.5. Emission Factor
3. Results
3.1. Model Validation
3.2. CO Dispersion in Real Cases
3.3. Effect of Wind Direction
3.3.1. Parallel Winds
3.3.2. Perpendicular Winds
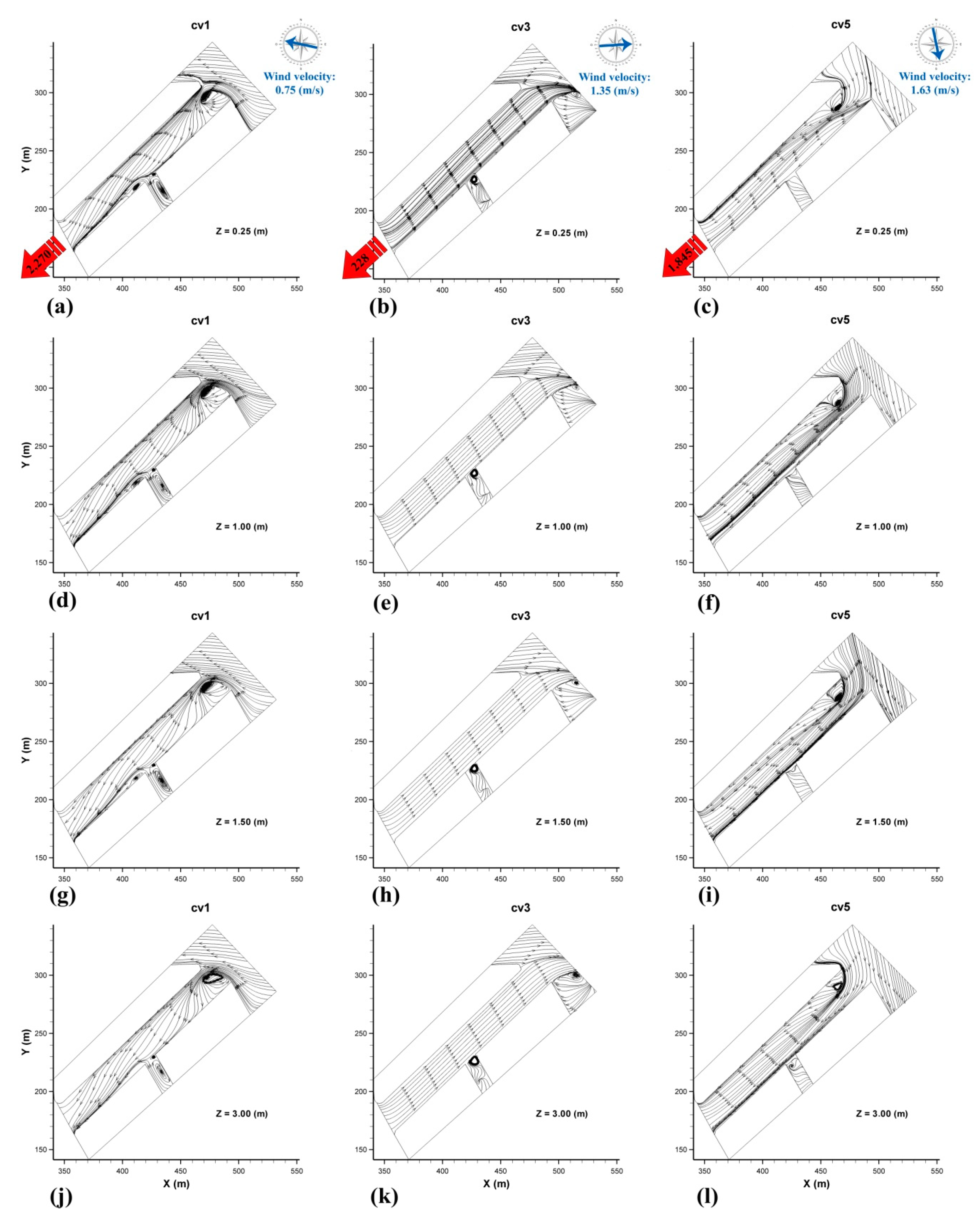
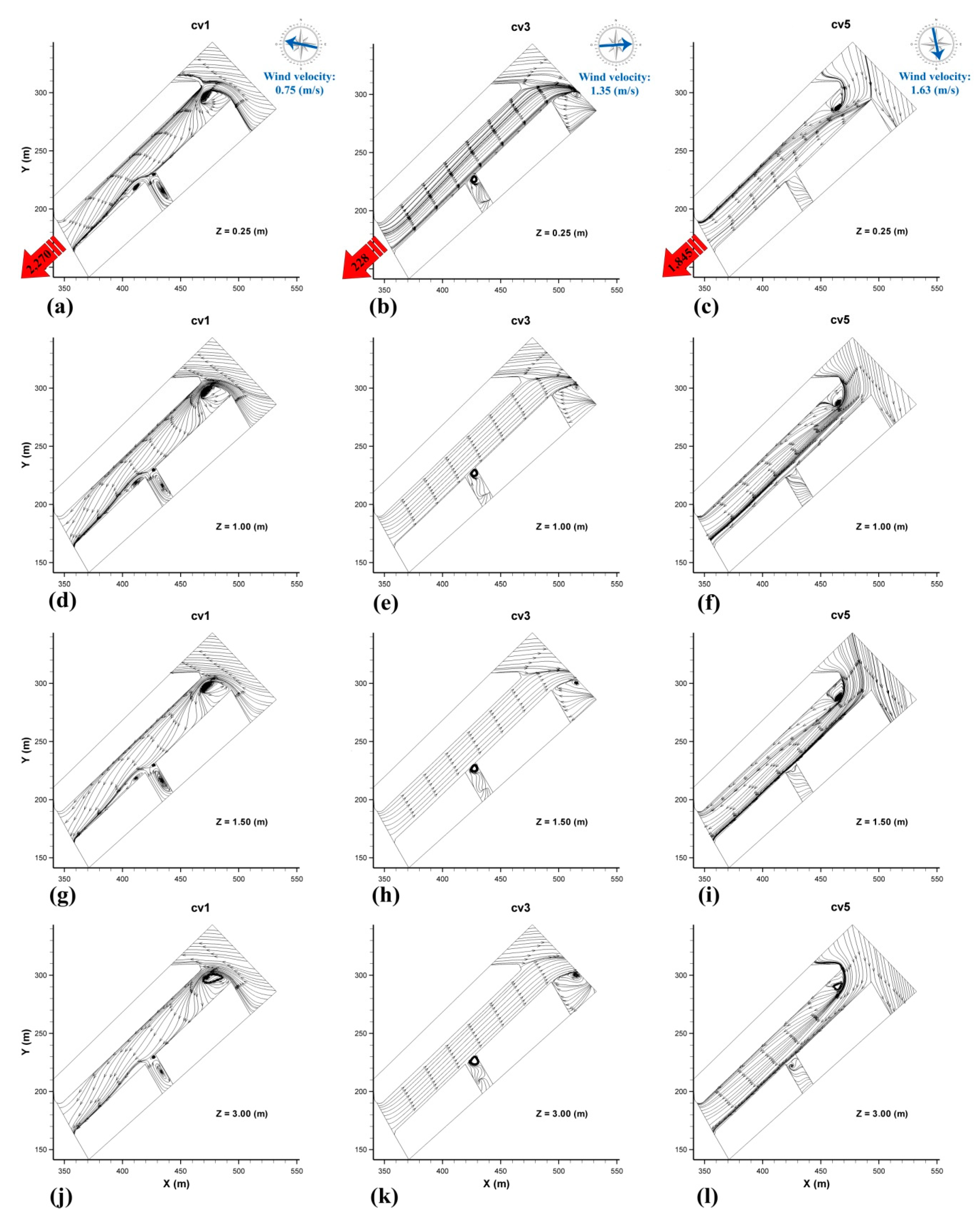
3.3.3. Three-Dimensional Flow Pattern
4. Conclusions
Author Contributions
Funding
Conflicts of Interest
References
- World Health Organization. Mortality and Burden of Disease from Ambient Air Pollution. Available online: http://www.who.int/gho/phe/outdoor_air_pollution/burden_text/en/ (accessed on 20 April 2020).
- Zhou, Y.; Levy, J.I. The impact of urban street canyons on population exposure to traffic-related primary pollutants. Atmos. Environ. 2008, 42, 3087–3098. [Google Scholar] [CrossRef]
- Calderón-Garcidueñas, L.; Franco-Lira, M.; Henríquez-Roldán, C.; Osnaya, N.; González-Maciel, A.; Reynoso-Robles, R.; Villarreal-Calderon, R.; Herritt, L.; Brooks, D.; Keefe, S.; et al. Urban air pollution: Influences on olfactory function and pathology in exposed children and young adults. Exp. Toxicol. Pathol. 2010, 62, 91–102. [Google Scholar] [CrossRef] [PubMed]
- Ji, W.; Zhao, B. Estimating mortality derived from indoor exposure to particles of outdoor origin. PLoS ONE 2015, 10, e0124238. [Google Scholar] [CrossRef]
- Scungio, M.; Stabile, L.; Rizza, V.; Pacitto, A.; Russi, A.; Buonanno, G. Lung cancer risk assessment due to traffic-generated particles exposure in urban street canyons: A numerical modelling approach. Sci. Total Environ. 2018, 631, 1109–1116. [Google Scholar] [CrossRef]
- EEA. Air Quality in Europe—2016 Report, EEA Report No 28/2016, European Environment Agency. 2016. Available online: https://www.eea.europa.eu/publications/air-quality-in-europe-2016 (accessed on 20 April 2020).
- Yamaji, K.; Chatani, S.; Itahashi, S.; Saito, M.; Takigawa, M.; Morikawa, T.; Kanda, I.; Miya, Y.; Komatsu, H.; Sakurai, T.; et al. Model Inter-Comparison for PM2.5 Components over urban Areas in Japan in the J-STREAM Framework. Atmosphere 2020, 11, 222. [Google Scholar] [CrossRef]
- Kakosimos, K.E.; Hertel, O.; Ketzel, M.; Berkowicz, R. Operational Street Pollution Model (OSPM)–A review of performed application and validation studies, and future prospects. Environ. Chem. 2010, 7, 485–503. [Google Scholar] [CrossRef]
- Puliafito, E.; Guevara, M.; Puliafito, C. Characterization of urban air quality using GIS as a management system. Environ. Pollut. 2003, 122, 105–117. [Google Scholar] [CrossRef]
- López-Pérez, E.; Hermosilla, T.; Carot-Sierra, J.M.; Palau-Salvador, G. Spatial determination of traffic CO emissions within street canyons using inverse modelling. Atmos. Pollut. Res. 2019, 10, 1140–1147. [Google Scholar] [CrossRef]
- Liu, Z.; Xie, M.; Tian, K.; Gao, P. GIS-based analysis of population exposure to PM2.5 air pollution—A case study of Beijing. J. Environ. Sci. 2017, 59, 48–53. [Google Scholar] [CrossRef]
- Barzyk, T.M.; Isakov, V.; Arunachalam, S.; Venkatram, A.; Cook, R.; Naess, B. A near-road modeling system for community-scale assessments of traffic-related air pollution in the United States. Environ. Modell. Softw. 2015, 66, 46–56. [Google Scholar] [CrossRef]
- Lateb, M.; Meroney, R.N.; Yataghene, M.; Fellouah, H.; Saleh, F.; Boufadel, M.C. On the use of numerical modelling for near-field pollutant dispersion in urban environments−A review. Environ. Pollut. 2016, 208, 271–283. [Google Scholar] [CrossRef] [PubMed]
- Vardoulakis, S.; Fisher, B.E.; Pericleous, K.; Gonzalez-Flesca, N. Modelling air quality in street canyons: A review. Atmos. Environ. 2003, 37, 155–182. [Google Scholar] [CrossRef]
- Li, X.X.; Liu, C.H.; Leung, D.Y.; Lam, K.M. Recent progress in CFD modelling of wind field and pollutant transport in street canyons. Atmos. Environ. 2006, 40, 5640–5658. [Google Scholar] [CrossRef]
- Palau-Salvador, G.; García-Villalba, M.; Rodi, W. Scalar transport from point sources in the flow around a finite-height cylinder. Environ. Fluid Mech. 2011, 11, 611–625. [Google Scholar] [CrossRef]
- Di Sabatino, S.; Buccolieri, R.; Salizzoni, P. Recent advancements in numerical modelling of flow and dispersion in urban areas: A short. Int. J. Environ. Pollut. 2013, 52, 172–191. [Google Scholar] [CrossRef]
- Zhang, Y.; Gu, Z.; Yu, C.W. Review on numerical simulation of airflow and pollutant dispersion in urban street canyons under natural background wind condition. Aerosol Air Qual. Res. 2018, 18, 780–789. [Google Scholar] [CrossRef]
- Assimakopoulos, V.D.; ApSimon, H.M.; Moussiopoulos, N. A numerical study of atmospheric pollutant dispersion in different two-dimensional street canyon configurations. Atmos. Environ. 2003, 37, 4037–4049. [Google Scholar] [CrossRef]
- Soulhac, L.; Garbero, V.; Salizzoni, P.; Mejean, P.; Perkins, R.J. Flow and dispersion in street intersections. Atmos. Environ. 2009, 43, 2981–2996. [Google Scholar] [CrossRef]
- Goel, A.; Kumar, P. A review of fundamental drivers governing the emissions, dispersion and exposure to vehicle-emitted nanoparticles at signalised traffic intersections. Atmos. Environ. 2014, 97, 316–331. [Google Scholar] [CrossRef]
- Chang, C.H.; Meroney, R.N. Concentration and flow distributions in urban street canyons: Wind tunnel and computational data. J. Wind Eng. Ind. Aerod. 2003, 91, 1141–1154. [Google Scholar] [CrossRef]
- Buccolieri, R.; Sandberg, M.; Di Sabatino, S. City breathability and its link to pollutant concentration distribution within urban-like geometries. Atmos. Environ. 2010, 44, 1894–1903. [Google Scholar] [CrossRef]
- Mavroidis, I.; Griffiths, R.F. Local characteristics of atmospheric dispersion within building arrays. Atmos. Environ. 2011, 35, 2941–2954. [Google Scholar] [CrossRef]
- Gu, Z.L.; Zhang, Y.W.; Cheng, Y.; Lee, S.C. Effect of uneven building layout on air flow and pollutant dispersion in non-uniform street canyons. Build. Environ. 2011, 46, 2657–2665. [Google Scholar] [CrossRef]
- Hang, J.; Li, Y.; Buccolieri, R.; Sandberg, M.; Di Sabatino, S. On the contribution of mean flow and turbulence to city breathability: The case of long streets with tall buildings. Sci. Total Environ. 2012, 416, 362–373. [Google Scholar] [CrossRef] [PubMed]
- Antoniou, N.; Montazeri, H.; Wigo, H.; Neophytou, M.K.A.; Blocken, B.; Sandberg, M. CFD and wind-tunnel analysis of outdoor ventilation in a real compact heterogeneous urban area: Evaluation using “air delay”. Build. Environ. 2017, 126, 355–372. [Google Scholar] [CrossRef]
- Santiago, J.L.; Buccolieri, R.; Rivas, E.; Sanchez, B.; Martilli, A.; Gatto, E.; Martín, F. On the Impact of Trees on Ventilation in a Real Street in Pamplona, Spain. Atmosphere 2019, 10, 697. [Google Scholar] [CrossRef]
- Bady, M.; Kato, S.; Huang, H. Towards the application of indoor ventilation efficiency indices to evaluate the air quality of urban areas. Build. Environ. 2008, 43, 1991–2004. [Google Scholar] [CrossRef]
- Lin, M.; Hang, J.; Li, Y.; Luo, Z.; Sandberg, M. Quantitative ventilation assessments of idealized urban canopy layers with various urban layouts and the same building packing density. Build. Environ. 2014, 79, 152–167. [Google Scholar] [CrossRef]
- Mei, S.J.; Luo, Z.; Zhao, F.Y.; Wang, H.Q. Street canyon ventilation and airborne pollutant dispersion: 2-D versus 3-D CFD simulations. Sustain. Cities Soc. 2019, 50, 101700. [Google Scholar] [CrossRef]
- Coceal, O.; Goulart, E.V.; Branford, S.; Thomas, T.G.; Belcher, S.E. Flow structure and near-field dispersion in arrays of building-like obstacles. J. Wind Eng. Ind. Aerodyn. 2014, 125, 52–68. [Google Scholar] [CrossRef]
- An, K.; Wong, S.M.; Fung, J.C.H. Exploration of sustainable building morphologies for effective passive pollutant dispersion within compact urban environments. Build. Environ. 2019, 148, 508–523. [Google Scholar] [CrossRef]
- Deck, S. Zonal-detached-eddy simulation of the flow around a high-lift configuration. AIAA J. 2005, 43, 2372–2384. [Google Scholar] [CrossRef]
- Chan, A.T.; So, E.S.; Samad, S.C. Strategic guidelines for street canyon geometry to achieve sustainable street air quality. Atmos. Environ. 2001, 35, 4089–4098. [Google Scholar] [CrossRef]
- Chan, A.T.; Au, W.T.; So, E.S. Strategic guidelines for street canyon geometry to achieve sustainable street air quality—Part II: Multiple canopies and canyons. Atmos. Environ. 2003, 37, 2761–2772. [Google Scholar] [CrossRef]
- Gallagher, J.; Gill, L.W.; McNabola, A. Numerical modelling of the passive control of air pollution in asymmetrical urban street canyons using refined mesh discretization schemes. Build. Environ. 2012, 56, 232–240. [Google Scholar] [CrossRef]
- Thaker, P.; Gokhale, S. The impact of traffic-flow patterns on air quality in urban street canyons. Environ. Pollut. 2016, 208, 161–169. [Google Scholar] [CrossRef]
- Blocken, B. Computational Fluid Dynamics for urban physics: Importance, scales, possibilities, limitations and ten tips and tricks towards accurate and reliable simulations. Build. Environ. 2015, 91, 219–245. [Google Scholar] [CrossRef]
- Hefny, M.M.; Ooka, R. CFD analysis of pollutant dispersion around buildings: Effect of cell geometry. Build. Environ. 2009, 44, 1699–1706. [Google Scholar] [CrossRef]
- Palmgren, F.; Berkowicz, R.; Ziv, A.; Hertel, O. Actual car fleet emissions estimated from urban air quality measurements and street pollution models. Sci. Total Environ. 1999, 235, 101–109. [Google Scholar] [CrossRef]
- Zárate, E.; Belalcázar, L.C.; Clappier, A.; Manzi, V.; Van den Bergh, H. Air quality modelling over Bogota, Colombia: Combined techniques to estimate and evaluate emission inventories. Atmos. Environ. 2007, 41, 6302–6318. [Google Scholar] [CrossRef]
- Bellasio, R.; Bianconi, R.; Corda, G.; Cucca, P. Emission inventory for the road transport sector in Sardinia (Italy). Atmos. Environ. 2007, 41, 677–691. [Google Scholar] [CrossRef]
- Doumbia, M.; Toure, N.D.E.; Silue, S.; Yoboue, V.; Diedhiou, A.; Hauhouot, C. Emissions from the road traffic of West African cities: Assessment of vehicle fleet and fuel consumption. Energies 2018, 11, 2300. [Google Scholar] [CrossRef]
- Baayoun, A.; Itani, W.; El Helou, J.; Halabi, L.; Medlej, S.; El Malki, M.; Moukhadder, A.; Aboujaoude, L.K.; Kabakian, V.; Mounajed, H.; et al. Emission inventory of key sources of air pollution in Lebanon. Atmos. Environ. 2019, 215, 116871. [Google Scholar] [CrossRef]
- Oke, T.R. Street design and urban canopy layer climate. Energy Build. 1988, 11, 103–113. [Google Scholar] [CrossRef]
- Tiberi, U. Analysis and Design of IEEE 802.15.4 Networked Control Systems. Ph.D. Thesis, University of L’Aquila, L'Aquila AQ, Italy, 2011. [Google Scholar]
- Gaura, E.; Girod, L.; Brusey, J.; Allen, M.; Challen, G. Wireless Sensor Networks: Deployments and Design Frameworks; Springer Science & Business Media: Berlin/Heidelberg, Germany, 2010. [Google Scholar]
- Hajdukiewicz, M.; Geron, M.; Keane, M.M. Formal calibration methodology for CFD models of naturally ventilated indoor environments. Build. Environ. 2013, 59, 290–302. [Google Scholar] [CrossRef]
- CD-Adapco, Inc. STAR-CCM+ (5.04.006) User’s Guide; CD-Adapco: New York, NY, USA, 2010. [Google Scholar]
- Franke, J.; Hellsten, A.; Schlunzen, K.H.; Carissimo, B. The COST 732 Best Practice Guideline for CFD simulation of flows in the urban environment: A summary. Int. J. Environ. Pollut. 2011, 44, 419–427. [Google Scholar] [CrossRef]
- Launder, B.E.; Spalding, D.B. The numerical computation of turbulent flows. Comput. Methods Appl. Mech. Eng. 1974, 3, 269–289. [Google Scholar] [CrossRef]
- Parra Narváez, R.R. Desarrollo del Modelo EMICAT2000 Para la Estimación de Emisiones de Contaminantes del Aire en Cataluña y su Uso en Modelos de Dispersión Fotoquímica. Ph.D. Thesis, Universitat Politècnica de Catalunya, Barcelona, Spain, 2004. [Google Scholar]
- Ghenu, A.; Rosant, J.M.; Sini, J.F. Dispersion of pollutants and estimation of emissions in a street canyon in Rouen, France. Environ. Modell. Softw. 2008, 23, 314–321. [Google Scholar] [CrossRef]
- Ketzel, M.; Wåhlin, P.; Berkowicz, R.; Palmgren, F. Particle and trace gas emission factors under urban driving conditions in Copenhagen based on street and roof-level observations. Atmos. Environ. 2003, 37, 2735–2749. [Google Scholar] [CrossRef]
- Nikora, V.; McEwan, I.; McLean, S.; Coleman, S.; Pokrajac, D.; Walters, R. Double-averaging concept for rough-bed open-channel and overland flows: Theoretical background. J. Hydraul. Eng. 2007, 133, 873–883. [Google Scholar] [CrossRef]













| Computational Domain (m) | Number of Cells | Total Grid Cells | |
|---|---|---|---|
| General dimensions | 77.6 × 219.8 × 50 | 213 × 74 × 80 | 1,616,160 |
| Axis | Cell number | Min. length (m) | Max. length (m) |
| X | 213 | 0.38 | 2.90 |
| Y | 74 | 0.75 | 1.25 |
| Z | 80 | 0.10 | 1.00 |
| CASE | Number of Vehicles | Average Wind Velocity (m/s) | Average Wind Direction (°) |
|---|---|---|---|
| cv1 | 2270 | 0.75 | 96 |
| cv2 | 2105 | 0.80 | 12 |
| cv3 | 228 | 1.35 | 263 |
| cv4 | 1165 | 1.08 | 38 |
| cv5 | 1845 | 1.63 | 348 |
| cv6 | 2129 | 2.05 | 15 |
| CASE | Nr. Vehicles | Average Wind Velocity (m/s) | Average Wind Direction (°) |
|---|---|---|---|
| hv1 | 2270 | From 0.5 to 2 | 46 |
| hv2 | 2270 | From 0.5 to 2 | 226 |
| hv3 | 2270 | From 0.5 to 2 | 149 |
| CASE | Emission Factor (g km−1 veh−1) |
|---|---|
| Maximum emission | 29.2 |
| Minimum emission | 0.47 |
| Average emission | 5.32 |
© 2020 by the authors. Licensee MDPI, Basel, Switzerland. This article is an open access article distributed under the terms and conditions of the Creative Commons Attribution (CC BY) license (http://creativecommons.org/licenses/by/4.0/).
Share and Cite
Marulanda Tobón, A.; Moncho-Esteve, I.J.; Martínez-Corral, J.; Palau-Salvador, G. Dispersion of CO Using Computational Fluid Dynamics in a Real Urban Canyon in the City Center of Valencia (Spain). Atmosphere 2020, 11, 693. https://doi.org/10.3390/atmos11070693
Marulanda Tobón A, Moncho-Esteve IJ, Martínez-Corral J, Palau-Salvador G. Dispersion of CO Using Computational Fluid Dynamics in a Real Urban Canyon in the City Center of Valencia (Spain). Atmosphere. 2020; 11(7):693. https://doi.org/10.3390/atmos11070693
Chicago/Turabian StyleMarulanda Tobón, Alejandro, Ignacio José Moncho-Esteve, Jordi Martínez-Corral, and Guillermo Palau-Salvador. 2020. "Dispersion of CO Using Computational Fluid Dynamics in a Real Urban Canyon in the City Center of Valencia (Spain)" Atmosphere 11, no. 7: 693. https://doi.org/10.3390/atmos11070693
APA StyleMarulanda Tobón, A., Moncho-Esteve, I. J., Martínez-Corral, J., & Palau-Salvador, G. (2020). Dispersion of CO Using Computational Fluid Dynamics in a Real Urban Canyon in the City Center of Valencia (Spain). Atmosphere, 11(7), 693. https://doi.org/10.3390/atmos11070693

