Impact of Physics Parameterizations on High-Resolution Air Quality Simulations over the Paris Region
Abstract
1. Introduction
2. Model Description and Experiment Design
2.1. WRF Model Description
2.2. CHIMERE Model Description
2.3. Domains Setup and Observations Data
3. Results and Discussions
3.1. Urban Parameters and Nudging Tests
3.2. Impact of the Urban Canopy Model
3.2.1. Ground Meteorological Variables
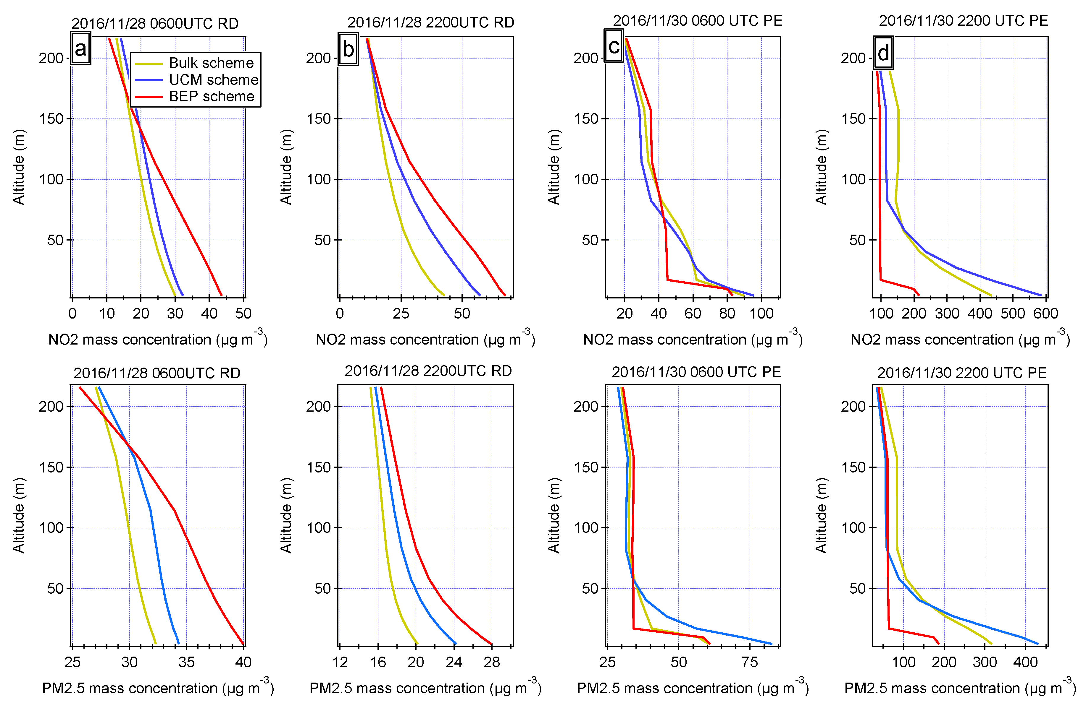
3.2.2. Air Quality Modeling
3.3. Impact of Mixing Boundary Layer Height
3.3.1. PBL Height
3.3.2. Ground Meteorological Variables
3.3.3. Air Quality Simulations
4. Conclusions
Supplementary Materials
Author Contributions
Funding
Conflicts of Interest
References
- EEA. Air Quality in Europe—2018 Report; EEA Report No. 13/2018; European Environment Agency: Copenhagen, Denmark, 2018. [Google Scholar]
- Sarrat, C.; Lemonsu, A.; Masson, V.; Guedalia, D. Impact of urban heat island on regional atmospheric pollution. Atmos. Environ. 2006, 40, 1743–1758. [Google Scholar] [CrossRef]
- Coseo, L. Larsen Cooling the heat island in compact urban environments: The effectiveness of Chicago’s green alley program. Procedia Eng. 2015, 118, 691–710. [Google Scholar] [CrossRef]
- Falasca, S.; Catalano, F. Impact of Highly Reflective Materials on Meteorology, PM10 and Ozone in Urban Areas: A Modeling Study with WRF-CHIMERE at High Resolution over Milan (Italy). Urban Sci. 2018, 2, 18. [Google Scholar] [CrossRef]
- Lin, C.-Y.; Chen, F.; Huang, J.-C.; Chen, W.-C.; Liou, Y.-A.; Chen, W.-N.; Liu, S.-C. Urban heat island effect and its impact on boundary layer development and land–sea circulation over northern Taiwan. Atmos. Environ. 2008, 42, 5635–5649. [Google Scholar] [CrossRef]
- Falasca, S.; Catalano, F.; Moroni, M. Numerical Study of the Daytime Planetary Boundary Layer over an Idealized Urban Area: Influence of Surface Properties, Anthropogenic Heat Flux, and Geostrophic Wind Intensity. J. Appl. Meteorol. Climatol. 2016, 55, 1021–1039. [Google Scholar] [CrossRef]
- Gedzelman, S.D.; Austin, S.; Cermak, R.; Stefano, N.; Partridge, S.; Quesenberry, S.; Robinson, D.A. Mesoscale aspects of the Urban Heat Island around New York City. Theor. Appl. Climatol. 2003, 75, 29–42. [Google Scholar] [CrossRef]
- Lai, L.-W.; Cheng, W.-L. Air quality influenced by urban heat island coupled with synoptic weather patterns. Sci. Total. Environ. 2009, 407, 2724–2733. [Google Scholar] [CrossRef]
- Lin, C.-Y.; Chen, W.-C.; Liu, S.C.; Liou, Y.A.; Liu, G.; Lin, T. Numerical study of the impact of urbanization on the precipitation over Taiwan. Atmos. Environ. 2008, 42, 2934–2947. [Google Scholar] [CrossRef]
- Best, M. Representing urban areas within operational numerical weather prediction models. Bound. Layer Meteorol. 2005, 114, 91–109. [Google Scholar] [CrossRef]
- Liu, Y.; Chen, F.; Warner, T.; Basara, J.B. Verification of a Mesoscale Data-Assimilation and Forecasting System for the Oklahoma City Area during the Joint Urban 2003 Field Project. J. Appl. Meteorol. Climatol. 2006, 45, 912–929. [Google Scholar] [CrossRef]
- Bessagnet, B.; Beauchamp, M.; Guerreiro, C.; De Leeuw, F.; Tsyro, S.; Colette, A.; Meleux, F.; Rouïl, L.; Ruyssenaars, P.; Sauter, F.; et al. Can further mitigation of ammonia emissions reduce exceedances of particulate matter air quality standards? Environ. Sci. Policy 2014, 44, 149–163. [Google Scholar] [CrossRef]
- Barlage, M.; Miao, S.; Chen, F. Impact of physics parameterizations on high-resolution weather prediction over two Chinese megacities. J. Geophys. Res. Atmos. 2016, 121, 4487–4498. [Google Scholar] [CrossRef]
- Molteni, F.; Buizza, R.; Palmer, T.N.; Petroliagis, T. The ECMWF ensemble prediction system: Methodology and validation. Quart. J. R. Meteor. Soc. 1996, 122, 73–119. [Google Scholar] [CrossRef]
- Tuccella, P.; Curci, G.; Visconti, G.; Bessagnet, B.; Menut, L.; Park, R.J. Modeling of gas and aerosol with WRF/Chem over Europe: Evaluation and sensitivity study. J. Geophys. Res. Space Phys. 2012, 117, D03303. [Google Scholar] [CrossRef]
- Salamanca, F.; Krpo, A.; Martilli, A.; Clappier, A. A new building energy model coupled with an urban canopy parameterization for urban climate simulations—Part I. formulation, verification, and sensitivity analysis of the model. Theor. Appl. Climatol. 2009, 99, 331–344. [Google Scholar] [CrossRef]
- Salamanca, F.; Martilli, A. A new Building Energy Model coupled with an Urban Canopy Parameterization for urban climate simulations—Part II. Validation with one-dimension off-line simulations. Theor. Appl. Climatol. 2009, 99, 345–356. [Google Scholar] [CrossRef]
- Miao, S.; Chen, F.; Li, Q.; Fan, S. Impacts of urban processes and urbanization on summer precipitation: A case study of heavy rainfallin Beijing on 1 Aug 2006. J. Appl. Meteorol. Climatol. 2010, 50, 806–825. [Google Scholar] [CrossRef]
- Fan, S.; Guo, Y.R.; Chen, M.; Zhong, J.; Chu, Y.; Wang, W.; Huang, X.Y.; Wang, Y.; Guo, Y.H. Application of WRF 3D Var to a high-resolution model over Beijing area. Plateau Meteorol. 2008, 27, 1181–1188. [Google Scholar]
- Liu, M.; Chen, M. Evaluation of BJ-RUC system for the forecast quality of planetary boundary layer in Beijing area. J. Appl. Meteorol. Sci. 2014, 25, 212–221. [Google Scholar]
- Valari, M.; Menut, L. Transferring the heterogeneity of surface emissions to variability in pollutant concentrations over urban areas through a chemistry-transport model. Atmos. Environ. 2014, 44, 3229–3238. [Google Scholar] [CrossRef]
- Markakis, K.; Valari, M.; Engardt, M.; Lacressonniere, G.; Vautard, R.; Andersson, C. Mid-21st century air quality at the urban scale under the influence of changed climate and emissions case studies for Paris and Stockholm. Atmos. Chem. Phys. 2016, 16, 1877–1894. [Google Scholar] [CrossRef]
- He, Q.; Zhao, X.; Lu, J.; Zhou, G.; Yang, H.; Gao, W.; Yu, W.; Cheng, T. Impacts of biomass-burning on aerosol properties of a severe haze event over Shanghai. Particuology 2015, 20, 52–60. [Google Scholar] [CrossRef]
- Wang, L.T.; Wei, Z.; Yang, J.; Zhang, Y.; Zhang, F.F.; Su, J.; Meng, C.C.; Zhang, Q. The 2013 severe haze over southern Hebei, China: Model evaluation, source apportionment, and policy implications. Atmos. Chem. Phys. Discuss. 2014, 14, 3151–3173. [Google Scholar] [CrossRef]
- Wang, L.; Liu, J.; Gao, Z.; Li, Y.; Huang, M.; Fan, S.; Zhang, X.; Yang, Y.; Miao, S.; Zou, H.; et al. Vertical observations of the atmospheric boundary layer structure over Beijing urban area during air pollution episodes. Atmos. Chem. Phys. Discuss. 2019, 19, 6949–6967. [Google Scholar] [CrossRef]
- Hu, X.-M.; Nielsen-Gammon, J.W.; Zhang, F. Evaluation of Three Planetary Boundary Layer Schemes in the WRF Model. J. Appl. Meteorol. Climatol. 2010, 49, 1831–1844. [Google Scholar] [CrossRef]
- Hariprasad, K.B.R.R.; Srinivas, C.V.; Singh, A.B.; Rao, S.V.B.; Baskaran, R.; Venkatraman, B. Numerical simulation and inter comparison of boundary layer structure with different PBL schemes in WRF using experimental observations at a tropical site. Atmos. Res. 2014, 145, 27–44. [Google Scholar] [CrossRef]
- Tyagi, B.; Magliulo, V.; Finardi, S.; Gasbarra, D.; Carlucci, P.; Toscano, P.; Zaldei, A.; Riccio, A.; Calori, G.; D’Allura, A.; et al. Performance Analysis of Planetary Boundary Layer Parameterization Schemes in WRF Modeling Set Up over Southern Italy. Atmosphere 2018, 9, 272. [Google Scholar] [CrossRef]
- Kleczek, M.A.; Steeneveld, G.-J.; Holtslag, A. Evaluation of the Weather Research and Forecasting Mesoscale Model for GABLS3: Impact of Boundary-Layer Schemes, Boundary Conditions and Spin-Up. Bound. Layer Meteorol. 2014, 152, 213–243. [Google Scholar] [CrossRef]
- Borrego, C.; Souto, J.A.; Monteiro, A.; Dios, M.; Rodriguez, A.; Ferreira, J.; Saavedra, S.; Casares, J.J.; Miranda, A.I. The role of transboundary air pollution over Galicia and North Portugal area. Environ. Sci. Pollut. Res. 2013, 20, 2924–2936. [Google Scholar] [CrossRef]
- Anderson, W.; Meneveau, C. A Large-Eddy Simulation Model for Boundary-Layer Flow over Surfaces with Horizontally Resolved but Vertically Unresolved Roughness Elements. Bound. Layer Meteorol. 2010, 137, 397–415. [Google Scholar] [CrossRef]
- Martilli, A.; Clappier, A.; Rotach, M. An urban surface exchange parameterization for mesoscale models. Bound. Layer Meteorol. 2002, 104, 261–304. [Google Scholar] [CrossRef]
- Flaounas, E.; Bastin, S.; Janicot, S. Regional climate modelling of the 2006 West African monsoon: Sensitivity to convection and planetary boundary layer parameterisation using WRF. Clim. Dyn. 2010, 36, 1083–1105. [Google Scholar] [CrossRef]
- Patricola, C.M.; Li, M.; Xu, Z.; Chang, P.; Saravanan, R.; Hsieh, J.-S. An investigation of tropical Atlantic bias in a high-resolution coupled regional climate model. Clim. Dyn. 2012, 39, 2443–2463. [Google Scholar] [CrossRef]
- Vigaud, N.; Roucou, P.; Fontaine, B.; Sijikumar, S.; Tyteca, S. WRF/ARPEGE-CLIMAT simulated climate trends over West Africa. Clim. Dyn. 2009, 36, 925–944. [Google Scholar] [CrossRef]
- Bowden, J.H.; Otte, T.L.; Nolte, C.G.; Otte, M. Examining Interior Grid Nudging Techniques Using Two-Way Nesting in the WRF Model for Regional Climate Modeling. J. Clim. 2012, 25, 2805–2823. [Google Scholar] [CrossRef]
- Glisan, J.M.; Gutowski, W.J.; Cassano, J.J.; Higgins, M.E. Effects of Spectral Nudging in WRF on Arctic Temperature and Precipitation Simulations. J. Clim. 2013, 26, 3985–3999. [Google Scholar] [CrossRef]
- Kusaka, H.; Kondo, K.; Kikegawa, Y.; Kimura, F. A simple single-layer urban canopy model for atmospheric models: Comparison with multi-layer and slab models. Bound. Layer Meteorol. 2001, 101, 329–358. [Google Scholar] [CrossRef]
- Kusaka, H.; Kimura, F. Coupling a Single-Layer Urban Canopy Model with a Simple Atmospheric Model: Impact on Urban Heat Island Simulation for an Idealized Case. J. Meteorol. Soc. Jpn. 2004, 82, 67–80. [Google Scholar] [CrossRef]
- Mellor, G.L.; Yamada, T. Development of a turbulence closure model for geophysical fluid problems. Rev. Geophys. 1982, 20, 851–875. [Google Scholar] [CrossRef]
- Janjic, Z. Nonsingular Implementation of the Mellor-Yamada Level 2.5 Scheme in the NCEP Meso Model; NCEP Office Note, No. 437; National Centers for Environmental Prediction: College Park, MD, USA, 2002; p. 61. [Google Scholar]
- Janjić, Z.I. The Step-Mountain Coordinate: Physical Package. Mon. Weather Rev. 1990, 118, 1429–1443. [Google Scholar] [CrossRef]
- Hong, S.-Y.; Noh, Y.; Dudhia, J. A New Vertical Diffusion Package with an Explicit Treatment of Entrainment Processes. Mon. Weather Rev. 2006, 134, 2318–2341. [Google Scholar] [CrossRef]
- Bougeault, P.; Lacarrère, P. Parameterization of orographic induced turbulence in a meso beta scale model. Mon. Weather Rev. 1989, 117, 1872–1890. [Google Scholar] [CrossRef]
- Menut, L.; Bessagnet, B.; Khvorostyanov, D.; Beekmann, M.; Blond, N.; Colette, A.; Coll, I.; Curci, G.; Forêt, G.; Hodzic, A.; et al. CHIMERE 2013: A model for regional atmospheric composition modelling. Geosci. Model Dev. 2013, 6, 981–1028. [Google Scholar] [CrossRef]
- Troen, I.B.; Mahrt, L. A simple model of the atmospheric boundary layer; sensitivity to surface evaporation. Bound. Layer Meteorol. 1986, 37, 129–148. [Google Scholar] [CrossRef]
- Bessagnet, B.; Hodzic, A.; Vautard, R.; Beekmann, M.; Cheinet, S.; Honoré, C.; Liousse, C.; Rouil, L. Aerosol modeling with CHIMERE—preliminary evaluation at the continental scale. Atmos. Environ. 2004, 38, 2803–2817. [Google Scholar] [CrossRef]
- Menut, L.; Goussebaile, A.; Bessagnet, B.; Khvorostiyanov, D.; Ung, A. Impact of realistic hourly emissions profiles on air pollutants concentrations modelled with CHIMERE. Atmos. Environ. 2012, 49, 233–244. [Google Scholar] [CrossRef]
- Bessagnet, B.; Menut, L.; Colette, A.; Couvidat, F.; Dan, M.; Mailler, S.; Létinois, L.; Pont, V.; Rouïl, L. An Evaluation of the CHIMERE Chemistry Transport Model to Simulate Dust Outbreaks across the Northern Hemisphere in March 2014. Atmosphere 2017, 8, 251. [Google Scholar] [CrossRef]
- Mailler, S.; Menut, L.; Khvorostyanov, D.; Valari, M.; Couvidat, F.; Siour, G.; Turquety, S.; Briant, R.; Tuccella, P.; Bessagnet, B.; et al. CHIMERE-2017: From urban to hemispheric chemistry-transport modeling. Geosci. Model Dev. 2017, 10, 2397–2423. [Google Scholar] [CrossRef]
- Couvidat, F.; Bessagnet, B.; Garcia-Vivanco, M.; Real, E.; Menut, L.; Colette, A. Development of an inorganic and organic aerosol model (Chimere2017b2 v1.0): Seasonal and spatial evaluation over Europe. Geosci. Model. Dev. 2018, 11, 165–194. [Google Scholar] [CrossRef]
- Kim, Y.; Sartelet, K.; Raut, J.-C.; Chazette, P. Influence of an urban canopy model and PBL schemes on vertical mixing for air quality modeling over Greater Paris. Atmos. Environ. 2015, 107, 289–306. [Google Scholar] [CrossRef][Green Version]
- Allen, L.; Lindberg, F.; Grimmond, C.S.B. Global to city scale urban anthropogenic heat flux: Model and variability. Int. J. Climatol. 2010, 31, 1990–2005. [Google Scholar] [CrossRef]
- Kim, Y.; Sartelet, K.; Raut, J.-C.; Chazette, P. Evaluation of the Weather Research and Forecast/Urban Model over Greater Paris. Bound. Layer Meteorol. 2013, 149, 105–132. [Google Scholar] [CrossRef]
- Wul, J.; Zha, J.L.; Zhao, D.M.; Yang, Q.D. Changes in terrestrial near-surface wind speed and their possible causes: An overview. Clim. Dyn. 2017, 51, 2039–2078. [Google Scholar]
- Toll, I.; Baldasano, J.M. Modeling of photochemical air pollution in the Barcelona area with highly disaggregated anthropogenic and biogenic emissions. Atmos. Environ. 2000, 34, 3069–3084. [Google Scholar] [CrossRef]
- Baklanov, A.; Mestayer, P.G.; Clappier, A.; Zilitinkevich, S.; Joffre, S.; Mahura, A.; Nielsen, N.W. Towards improving the simulation of meteorological fields in urban areas through updated/advanced surface fluxes description. Atmos. Chem. Phys. Discuss. 2008, 8, 523–543. [Google Scholar] [CrossRef]
- LeMone, M.; Tewari, M.; Chen, F.; Dudhia, J. Objectively-determined fair-weather convective boundary layer depths in the ARW-WRF NWP model and their comparison to CASES-97 observations. Mon. Weather Rev. 2013, 141, 30–54. [Google Scholar] [CrossRef]
- LeMone, M.; Tewari, M.; Chen, F.; Dudhia, J. Objectively-determined fair-weather NBL features in the ARW-WRF model and their comparison to CASES-97 observations. Mon. Weather Rev. 2014, 142, 2709–2732. [Google Scholar] [CrossRef]
- Li, M.; Ma, Y.; Ma, W.; Hu, Z.; Ishikawa, H.; Su, Z.; Sun, F. Analysis of turbulence characteristics over the northern Tibetan Plateau area. Adv. Atmos. Sci. 2006, 23, 579–585. [Google Scholar] [CrossRef]



















| LW | SW | SL | LS | URB | BL | |
|---|---|---|---|---|---|---|
| BULK | RRTMG | RRTMG | MO | Noah | No | MYJ |
| UCM | RRTMG | RRTMG | MO | Noah | UCM | MYJ |
| BEP | RRTMG | RRTMG | MO | Noah | BEP | MYJ |
| MYJ-BULK | RRTMG | RRTMG | MO | Noah | No | MYJ |
| YSU-BULK | RRTMG | RRTMG | MO | Noah | No | YSU |
| MYJ-UCM | RRTMG | RRTMG | MO | Noah | UCM | MYJ |
| YSU-UCM | RRTMG | RRTMG | MO | Noah | UCM | YSU |
| MYJ-BEP | RRTMG | RRTMG | MO | Noah | BEP | MYJ |
| BOULAC-BEP | RRTMG | RRTMG | MO | Noah | BEP | Boulac |
| Bulk | UCM | BEP | ||||
|---|---|---|---|---|---|---|
| WP | PE | WP | PE | WP | PE | |
| NO2 | 21.5 | 40.9 | 29.8 | 62.2 | 18.4 | 29.7 |
| PM2.5 | 21.8 | 31.4 | 24.9 | 37.7 | 19.1 | 21.1 |
| PM10 | 12.6 | 13.7 | 15.2 | 18.9 | 10.1 | 4.2 |
| Roissy | Sirta | |||||||
|---|---|---|---|---|---|---|---|---|
| T2 | W10 | T2 | W10 | |||||
| MB | R | MB | R | MB | R | MB | R | |
| MYJ-Bulk | −0.69 | 0.83 | −0.29 | 0.86 | −1.13 | 0.88 | 0.53 | 0.84 |
| YSU-Bulk | 0.23 | 0.77 | −0.30 | 0.78 | 0.20 | 0.82 | 0.62 | 0.74 |
| MYJ-UCM | −0.22 | 0.90 | −0.38 | 0.87 | −1.08 | 0.90 | 0.24 | 0.91 |
| YSU-UCM | −0.51 | 0.92 | −0.46 | 0.90 | −1.31 | 0.93 | 0.18 | 0.88 |
| MYJ-BEP | −0.56 | 0.82 | −2.23 | 0.89 | −0.89 | 0.86 | −1.52 | 0.90 |
| Boulac-BEP | 0.40 | 0.84 | −1.53 | 0.88 | −0.03 | 0.90 | −0.90 | 0.92 |
| NO2 | PM2.5 | PM10 | |||||||
|---|---|---|---|---|---|---|---|---|---|
| MB | R | RMSE | MB | R | RMSE | MB | R | RMSE | |
| MYJ-Bulk | 19.1 | 0.77 | 3.40 | 21.9 | 0.74 | 2.37 | 12.5 | 0.77 | 2.39 |
| YSU-Bulk | 17.6 | 0.52 | 1.28 | 46.0 | 0.40 | 1.12 | −1.3 | 0.53 | 2.34 |
| MYJ-UCM | 29.6 | 0.73 | 2.21 | 24.9 | 0.60 | 2.07 | 15.2 | 0.64 | 2.01 |
| YSU-UCM | 14.6 | 0.76 | 2.03 | 15.2 | 0.64 | 1.88 | 5.6 | 0.68 | 1.93 |
| MYJ-BEP | 20.0 | 0.80 | 2.35 | 19.2 | 0.72 | 1.91 | 10.1 | 0.76 | 1.93 |
| Boulac-BEP | −5.1 | 0.79 | 2.93 | 1.2 | 0.74 | 1.70 | −8.6 | 0.76 | 1.71 |
© 2020 by the authors. Licensee MDPI, Basel, Switzerland. This article is an open access article distributed under the terms and conditions of the Creative Commons Attribution (CC BY) license (http://creativecommons.org/licenses/by/4.0/).
Share and Cite
Jiang, L.; Bessagnet, B.; Meleux, F.; Tognet, F.; Couvidat, F. Impact of Physics Parameterizations on High-Resolution Air Quality Simulations over the Paris Region. Atmosphere 2020, 11, 618. https://doi.org/10.3390/atmos11060618
Jiang L, Bessagnet B, Meleux F, Tognet F, Couvidat F. Impact of Physics Parameterizations on High-Resolution Air Quality Simulations over the Paris Region. Atmosphere. 2020; 11(6):618. https://doi.org/10.3390/atmos11060618
Chicago/Turabian StyleJiang, Lei, Bertrand Bessagnet, Frederik Meleux, Frederic Tognet, and Florian Couvidat. 2020. "Impact of Physics Parameterizations on High-Resolution Air Quality Simulations over the Paris Region" Atmosphere 11, no. 6: 618. https://doi.org/10.3390/atmos11060618
APA StyleJiang, L., Bessagnet, B., Meleux, F., Tognet, F., & Couvidat, F. (2020). Impact of Physics Parameterizations on High-Resolution Air Quality Simulations over the Paris Region. Atmosphere, 11(6), 618. https://doi.org/10.3390/atmos11060618

