Changes in Snow Depth, Snow Cover Duration, and Potential Snowmaking Conditions in Austria, 1961–2020—A Model Based Approach
Abstract
1. Introduction
2. Data and Methods
2.1. The SNOWGRID-CL Model
2.1.1. Natural Snow Cover
2.1.2. Technical Snowmaking Potential (SP)
2.2. Simulation Runs with SG-CL
2.3. Trend Analysis and Regionalization
2.4. Validation Data and Methodology
3. Results
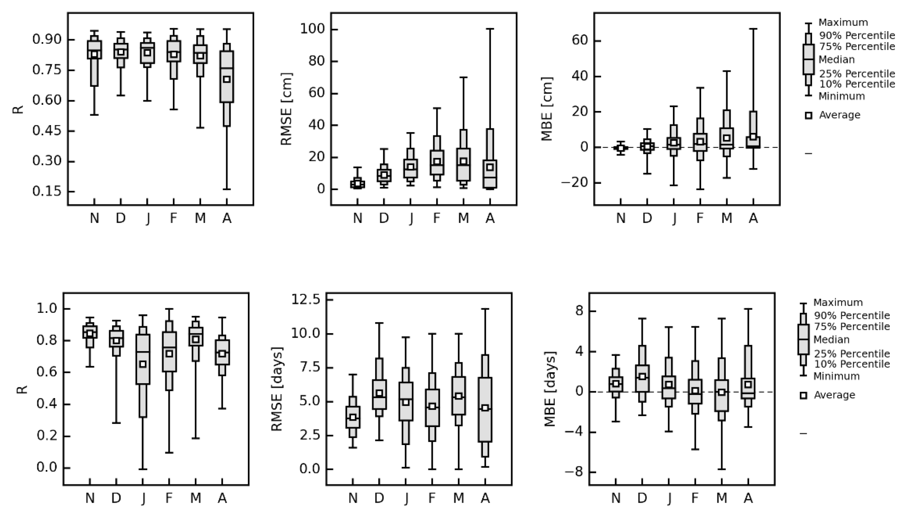
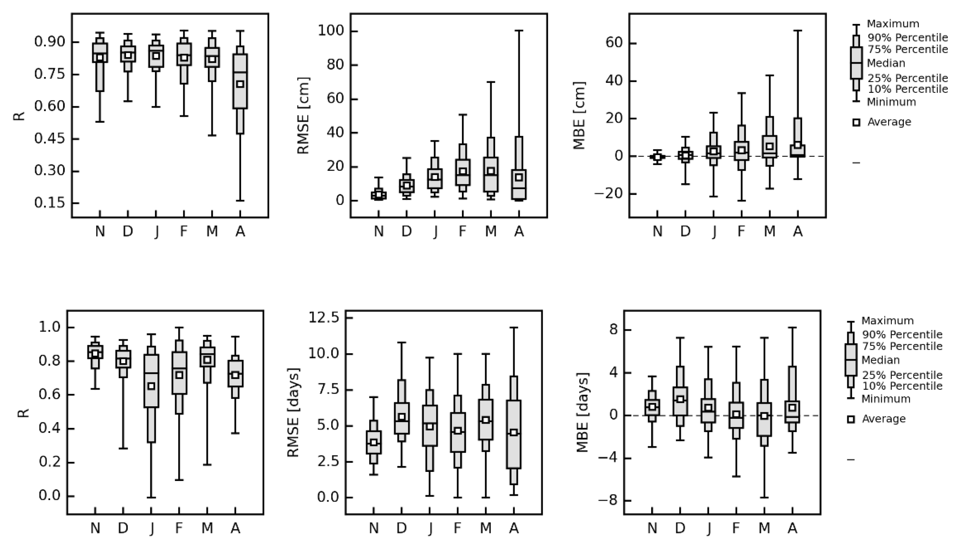
3.1. Validation Results
3.2. Past Changes in Natural Snow
3.3. Past Changes in Snowmaking Potential
3.4. Meteorological Drivers for Past Snow Changes
4. Discussion
5. Conclusions
Author Contributions
Funding
Acknowledgments
Conflicts of Interest
References
- Schöner, W.; Koch, R.; Matulla, C.; Marty, C. Tilg, Anna-Maria Spatiotemporal patterns of snow depth within the Swiss-Austrian Alps for the past half century (1961 to 2012) and linkages to climate change. Int. J. Climatol. 2018, 39, 1589–1603. [Google Scholar] [CrossRef]
- Gemeinsames Positionspapier Expertenforum 2018: Klima.Schnee.Sport. FdSnow Fachzeitschrift für den Skisport. 2018, 53, 6–7.
- Scherrer, S.C.; Appenzeller, C.; Laternser, M. Trends in Swiss Alpine snow days: The role of local- and large-scale climate variability. Geophys. Res. Lett. 2004, 31. [Google Scholar] [CrossRef]
- Beniston, M. Variations of snow depth and duration in the Swiss Alps over the last 50 years: Links to changes in largescale climatic forcings. Clim. Chang. 1997, 36, 281–300. [Google Scholar] [CrossRef]
- Beniston, M.; Farinotti, D.; Stoffel, M.; Andreassen, L.M.; Coppola, E.; Eckert, N.; Fantini, A.; Giacona, F.; Hauck, C.; Huss, M.; et al. The European mountain cryosphere: A review of its current state, trends, and future challenges. Cryosphere 2018, 12, 759–794. [Google Scholar] [CrossRef]
- Klein, G.; Vitasse, Y.; Rixen, C.; Marty, C.; Rebetez, M. Shorter snow cover duration since 1970 in the Swiss Alps due to earlier snowmelt more than to later snow onset. Clim. Chang. 2016, 139, 637–649. [Google Scholar] [CrossRef]
- Laternser, M.; Schneebeli, M. Long-term snow climate trends of the Swiss Alps (1931–1999). Int. J. Climatol. 2003, 23, 733–750. [Google Scholar] [CrossRef]
- Marke, T.; Hanzer, F.; Olefs, M.; Strasser, U. Simulation of Past Changes in the Austrian Snow Cover 1948–2009. J. Hydrometeorol. 2018, 19, 1529–1545. [Google Scholar] [CrossRef]
- Marty, C. Regime shift of snow days in Switzerland: Regime shift of snow days. Geophys. Res. Lett. 2008, 35. [Google Scholar] [CrossRef]
- Marty, C.; Tilg, A.-M.; Jonas, T. Recent Evidence of Large-Scale Receding Snow Water Equivalents in the European Alps. J. Hydrometeorol. 2017, 18, 1021–1031. [Google Scholar] [CrossRef]
- Olefs, M.; Girstmair, A.; Hiebl, J.; Koch, R.; Schöner, W. An area-wide snow climatology for Austria since 1961 based on newly available daily precipitation and air temperature grids. In Proceedings of the EGU2017, Vienna, Austria, 23–28 April 2017; Volume 19. [Google Scholar]
- Serquet, G.; Marty, C.; Dulex, J.-P.; Rebetez, M. Seasonal trends and temperature dependence of the snowfall/precipitation-day ratio in Switzerland: Snowfall/precipitation-day ratio. Geophys. Res. Lett. 2011, 38. [Google Scholar] [CrossRef]
- Gobiet, A.; Kotlarski, S. Future Climate Change in the European Alps. In Oxford Research Encyclopedia of Climate Science; Oxford University Press: Oxford, UK, 2020; ISBN 978-0-19-022862-0. [Google Scholar]
- Steiger, R.; Abegg, B. The Sensitivity of Austrian Ski Areas to Climate Change. Tour. Plan. Dev. 2013, 10, 480–493. [Google Scholar] [CrossRef]
- Steiger, R.; Scott, D. Ski tourism in a warmer world: Increased adaptation and regional economic impacts in Austria. Tour. Manag. 2020, 77, 104032. [Google Scholar] [CrossRef]
- Olefs, M.; Fischer, A.; Lang, J. Boundary Conditions for Artificial Snow Production in the Austrian Alps. J. Appl. Meteorol. Climatol. 2010, 49, 1096–1113. [Google Scholar] [CrossRef]
- Spandre, P.; François, H.; Morin, S.l.; George-Marcelpoil, E. Snowmaking in the French Alps: Climatic context, existing facilities and outlook. Rev. Géographie Alp. 2015, 103-2. [Google Scholar] [CrossRef]
- Spandre, P.; François, H.; Verfaillie, D.; Lafaysse, M.; Déqué, M.; Eckert, N.; George, E.; Morin, S. Climate controls on snow reliability in French Alps ski resorts. Sci. Rep. 2019, 9, 8043. [Google Scholar] [CrossRef] [PubMed]
- Hanzer, F.; Carmagnola, C.M.; Ebner, P.P.; Koch, F.; Monti, F.; Bavay, M.; Bernhardt, M.; Lafaysse, M.; Lehning, M.; Strasser, U.; et al. Simulation of snow management in Alpine ski resorts using three different snow models. Cold Reg. Sci. Technol. 2020, 172, 102995. [Google Scholar] [CrossRef]
- Gerbaux, M.; Spandre, P.; François, H.; George, E.; Morin, S. Snow Reliability and Water Availability for Snowmaking in the Ski resorts of the Isère Département (French Alps), Under Current and Future Climate Conditions. Rev. Géographie Alp. 2020, 108-1. [Google Scholar] [CrossRef]
- Berard-Chenu, L.; Cognard, J.; François, H.; Morin, S.; George, E. Do changes in snow conditions have an impact on snowmaking investments in French Alps ski resorts? Int. J. Biometeorol. 2020. [Google Scholar] [CrossRef]
- Laurent Vanat. International Report on Snow & Mountain Tourism 2020; Laurent Vanat: Chêne-Bougeries, Switzerland, 2020. [Google Scholar]
- WKO. Wertschöpfung Durch Österreichische Seilbahnen; WKO: Vienna, Austria, 2020. [Google Scholar]
- Jones, H.G. (Ed.) Snow Ecology: An Interdisciplinary Examination of Snow-Covered Ecosystems; Cambridge University Press: Cambridge, UK; New York, NY, USA, 2001; ISBN 978-0-521-58483-8. [Google Scholar]
- Olefs, M.; Formayer, H.; Gobiet, A.; Marke, T.; Schöner, W.; Revesz, M. Tourism relevant past and future changes of the Austrian climate. J. Outdoor Recreat. Tour. Submitted.
- Olefs, M.; Schöner, W.; Suklitsch, M.; Wittmann, C.; Niedermoser, B.; Neururer, A.; Wurzer, A. SNOWGRID—A new operational snow cover model in Austria. In Proceedings of the International Snow Science Workshop 2013, Grenoble, France, 7–11 October 2013. [Google Scholar]
- Olefs, M.; Baumgartner, D.J.; Obleitner, F.; Bichler, C.; Foelsche, U.; Pietsch, H.; Rieder, H.E.; Weihs, P.; Geyer, F.; Haiden, T.; et al. The Austrian radiation monitoring network ARAD - best practice and added value. Atmos. Meas. Tech. 2016, 9, 1513–1531. [Google Scholar] [CrossRef]
- Morin, S.; Horton, S.; Techel, F.; Bavay, M.; Coléou, C.; Fierz, C.; Gobiet, A.; Hagenmuller, P.; Lafaysse, M.; Ližar, M.; et al. Application of physical snowpack models in support of operational avalanche hazard forecasting: A status report on current implementations and prospects for the future. Cold Reg. Sci. Technol. 2020, 170, 102910. [Google Scholar] [CrossRef]
- Pellicciotti, F.; Brock, B.; Strasser, U.; Burlando, P.; Funk, M.; Corripio, J. An enhanced temperature-index glacier melt model including the shortwave radiation balance: Development and testing for Haut Glacier d’Arolla, Switzerland. J. Glaciol. 2005, 51, 573–587. [Google Scholar] [CrossRef]
- Gabbi, J.; Carenzo, M.; Pellicciotti, F.; Bauder, A.; Funk, M. A comparison of empirical and physically based glacier surface melt models for long-term simulations of glacier response. J. Glaciol. 2014, 60, 1140–1154. [Google Scholar] [CrossRef]
- Brock, B.W.; Willis, I.C.; Sharp, M.J. Measurement and parameterization of albedo variations at Haut Glacier d’Arolla, Switzerland. J. Glaciol. 2000, 46, 675–688. [Google Scholar] [CrossRef]
- Haslinger, K.; Bartsch, A. Creating long-term gridded fields of reference evapotranspiration in Alpine terrain based on a recalibrated Hargreaves method. Hydrol. Earth Syst. Sci. 2016, 20, 1211–1223. [Google Scholar] [CrossRef]
- Steinacker, R. Diagnose und Prognose der Schneefallgrenze. Wetter Leben 1983, 35, 81–90. [Google Scholar]
- Koren, V.; Schaake, J.; Mitchell, K.; Duan, Q.-Y.; Chen, F.; Baker, J.M. A parameterization of snowpack and frozen ground intended for NCEP weather and climate models. J. Geophys. Res. Atmos. 1999, 104, 19569–19585. [Google Scholar] [CrossRef]
- Schmidt, R.A.; Gluns, D.R. Snowfall interception on branches of three conifer species. Can. J. For. Res. 1991, 21, 1262–1269. [Google Scholar] [CrossRef]
- Jordan, R. A One-Dimensional Temperature Model for a Snow Cover: Technical Documentation for SNTHERM.89; Special Report, Cold Regions Research and Engineering Laboratory; CRREL: Hanover, NH, USA, 1991. [Google Scholar]
- Sevruk, B. Correction of Measured Precipitation in the Alps Using the Water Equivalent of New Snow. Hydrol. Res. 1983, 14, 49–58. [Google Scholar] [CrossRef]
- Frey, S.; Holzmann, H. A conceptual, distributed snow redistribution model. Hydrol. Earth Syst. Sci. 2015, 19, 4517–4530. [Google Scholar] [CrossRef]
- Schirmer, M.; Wirz, V.; Clifton, A.; Lehning, M. Persistence in intra-annual snow depth distribution: 1. Measurements and topographic control: Persistent snow depth development, 1. Water Resour. Res. 2011, 47. [Google Scholar] [CrossRef]
- Lehning, M.; Grünewald, T.; Schirmer, M. Mountain snow distribution governed by an altitudinal gradient and terrain roughness: Roughness control on mountain snow. Geophys. Res. Lett. 2011, 38. [Google Scholar] [CrossRef]
- Carenzo, M.; Pellicciotti, F.; Rimkus, S.; Burlando, P. Assessing the transferability and robustness of an enhanced temperature-index glacier-melt model. J. Glaciol. 2009, 55, 258–274. [Google Scholar] [CrossRef]
- Hofstätter, M. Methoden zur Berechnung von Beschneiungszeiten. Master’s Thesis, Universität Wien, Vienna, Austria, 2008. [Google Scholar]
- Hanzer, F.; Marke, T.; Strasser, U. Distributed, explicit modeling of technical snow production for a ski area in the Schladming region (Austrian Alps). Cold Reg. Sci. Technol. 2014, 108, 113–124. [Google Scholar] [CrossRef]
- Hiebl, J.; Frei, C. Daily temperature grids for Austria since 1961—Concept, creation and applicability. Theor. Appl. Climatol. 2016, 124, 161–178. [Google Scholar] [CrossRef]
- Hiebl, J.; Frei, C. Daily precipitation grids for Austria since 1961—Development and evaluation of a spatial dataset for hydroclimatic monitoring and modelling. Theor. Appl. Climatol. 2018, 132, 327–345. [Google Scholar] [CrossRef]
- Jacob, D.; Petersen, J.; Eggert, B.; Alias, A.; Christensen, O.B.; Bouwer, L.M.; Braun, A.; Colette, A.; Déqué, M.; Georgievski, G.; et al. EURO-CORDEX: New high-resolution climate change projections for European impact research. Reg. Environ. Chang. 2014, 14, 563–578. [Google Scholar] [CrossRef]
- Switanek, M.B.; Troch, P.A.; Castro, C.L.; Leuprecht, A.; Chang, H.-I.; Mukherjee, R.; Demaria, E.M.C. Scaled distribution mapping: A bias correction method that preserves raw climate model projected changes. Hydrol. Earth Syst. Sci. 2017, 21, 2649–2666. [Google Scholar] [CrossRef]
- Chimani, B.; Heinrich, G.; Hofstätter, M.; Kerschbaumer, M.; Kienberger, S.; Leuprecht, A.; Lexer, A.; Peßenteiner, S.; Poetsch, M.S.; Salzmann, M.; et al. Endbericht ÖKS15—Klimaszenarien für Österreich—Daten—Methoden—Klimaanalyse. Projektbericht; CCCA Data Centre: Wien, Austria, 2016. [Google Scholar]
- Chimani, B.; Matulla, C.; Hiebl, J.; Schellander-Gorgas, T.; Maraun, D.; Mendlik, T.; Eitzinger, J.; Kubu, G.; Thaler, S. Compilation of a guideline providing comprehensive information on freely available climate change data and facilitating their efficient retrieval. Clim. Serv. 2020, 19, 100179. [Google Scholar] [CrossRef]
- Mann, H.B. Nonparametric test against trend. Econometrica 1945, 13, 245–259. [Google Scholar] [CrossRef]
- Kendall, M.G. Rank Correlation Methods, 4th ed.; Charles Griffin: London, UK, 1975. [Google Scholar]
- Sen, P.K. Estimates of the regression coefficient based on Kendall’s tau. J. Am. Stat. Assoc. 1968, 63, 1379–1389. [Google Scholar] [CrossRef]
- Alexandersson, H. A homogeneity test applied to precipitation data. J. Climatol. 1986, 6, 661–675. [Google Scholar] [CrossRef]
- Sneyers, R. On the Statistical Analysis of Series of Observations; Technical Note/World Meteorological Organization; Secretariat of the World Meteorological Organization: Geneva, Switzerland, 1990; ISBN 978-92-63-10415-1. [Google Scholar]
- Anghileri, D.; Pianosi, F.; Soncini-Sessa, R. Trend detection in seasonal data: From hydrology to water resources. J. Hydrol. 2014, 511, 171–179. [Google Scholar] [CrossRef]
- Ward, J.H. Hierarchical Grouping to Optimize an Objective Function. J. Am. Stat. Assoc. 1963, 58, 236–244. [Google Scholar] [CrossRef]
- Szekely, G.; Rizzo, M. Hierarchical Clustering via Joint between-Within Distances: Extending Ward’s Minimum Variance Method. J. Classif. 2005, 22, 151–183. [Google Scholar] [CrossRef]
- Marcolini, G.; Koch, R.; Chimani, B.; Wolfgang, S.; Bellin, A.; Disse, M.; Chiogna, G. Evaluation of homogenization methods for seasonal snow depth data in the Austrian Alps, 1930–2010. Int. J. Climatol. 2019, 39, 4514–4530. [Google Scholar] [CrossRef]
- Olefs, M.; Koch, R. SNOWPAT—Longterm Homogenized Snow Observations in Austria. Available online: https://data.ccca.ac.at/dataset/snowpad_2019-v01 (accessed on 7 December 2020).
- Driemel, A.; Augustine, J.; Behrens, K.; Colle, S.; Cox, C.; Cuevas-Agulló, E.; Denn, F.M.; Duprat, T.; Fukuda, M.; Grobe, H.; et al. Baseline Surface Radiation Network (BSRN): Structure and data description (1992–2017). Earth Syst. Sci. Data 2018, 10, 1491–1501. [Google Scholar] [CrossRef]
- ENVEO. Cryoland Geoportal. Available online: http://neso1.cryoland.enveo.at/cryoclient/ (accessed on 7 December 2020).
- Reid, P.C.; Hari, R.E.; Beaugrand, G.; Livingstone, D.M.; Marty, C.; Straile, D.; Barichivich, J.; Goberville, E.; Adrian, R.; Aono, Y.; et al. Global impacts of the 1980s regime shift. Glob. Change Biol. 2016, 22, 682–703. [Google Scholar] [CrossRef]
- Umweltbundesamt Skiing Areas. 2008. Available online: https://www.data.gv.at/katalog/dataset/skigebiete_2008 (accessed on 7 December 2020).
- Olefs, M.; Koch, R.; Gobiet, A. Klima und Schnee in Österreich—Beobachtete Vergangenheit und erwartete Zukunft. FdSnow 2018, 53, 28–35. [Google Scholar]
- Etchevers, P.; Martin, E.; Brown, R.; Fierz, C.; Lejeune, Y.; Bazile, E.; Boone, A.; Dai, Y.J.; Essery, R.; Fernandez, A.; et al. SnowMIP, an intercomparison of snow models: First results. In Proceedings of the International Snow Science Workshop Proceedings, Penticton, BC, Canada, 29 September–4 October 2002. [Google Scholar]
- IPCC. Summary for Policymakers. In IPCC Special Report on the Ocean and Cryosphere in a Changing Climate; Pörtner, H.-O., Roberts, D.C., Masson-Delmotte, V., Zhai, P., Tignor, M., Poloczanska, E., Mintenbeck, K., Alegría, A., Nicolai, M., Okem, A., et al., Eds.; IPCC: Geneva, Switzerland, 2019. [Google Scholar]
- Frei, P.; Kotlarski, S.; Liniger, M.A.; Schär, C. Future snowfall in the Alps: Projections based on the EURO-CORDEX regional climate models. Cryosphere 2018, 12, 1–24. [Google Scholar] [CrossRef]
- Helfricht, K.; Hartl, L.; Koch, R.; Marty, C.; Olefs, M. Investigating performance and correlation of ground-based snow depth and precipitation measurements. In Proceedings of the International Snow Science Workshop Proceedings 2018, Innsbruck, Austria, 7–12 October 2018. [Google Scholar]
- Rankinen, K.; Karvonen, T.; Butterfield, D. A simple model for predicting soil temperature in snow-covered and seasonally frozen soil: Model description and testing. Hydrol. Earth Syst. Sci. 2004, 8, 706–716. [Google Scholar] [CrossRef]
- Abegg, B.; Morin, S.; Demiroglu, O.C.; François, H.; Rothleitner, M.; Strasser, U. Overloaded! Critical revision and a new conceptual approach for snow indicators in ski tourism. Int. J. Biometeorol. 2020, 1–11. [Google Scholar] [CrossRef] [PubMed]
- Lee, J.; Lund, R.; Woody, J.; Xu, Y. Trend assessment for daily snow depths with changepoint considerations. Environmetrics 2020, 31. [Google Scholar] [CrossRef]
- Woody, J.; Lund, R.; Grundstein, A.J.; Mote, T.L. A storage model approach to the assessment of snow depth trends: Snow depth trends. Water Resour. Res. 2009, 45. [Google Scholar] [CrossRef]













| Validation Dataset | # of Observations | R2 | RMSE | BIAS | KSS |
|---|---|---|---|---|---|
| HS observations (seasonal average NDJFMA) (SNOWPAT), 1962–2018 | 4884 | 0.86 | 10.23 cm | 2.86 cm | -- |
| SCD seasonal (# of days with HS ≥ 1 cm; NDJFMA), 1962–2018 | 4884 | 0.86 | 17 days | 4 days | -- |
| HS observations (daily, NDJFMA) (TAWES, 2011–2018) | 65,552 | 0.83 | 14.11 cm | −3.12 cm | -- |
| SWE observations (daily, NDJMA), 1989–2015 | 6532 | 0.91 | 99 kg/m2 | −60 kg/m2 | -- |
| MODIS FSC, 2011–2016 | 600 scenes | -- | -- | -- | 0.69 |
| Elevation Sub-Range [m] | SNHT Shift Point | Direction of Shift | p-Value of Shift Point | MK p-Value of Subseries before Shift Point | MK p-Value of Subseries after Shift Point | MK p-Value 1961/62 to 2019/20 |
|---|---|---|---|---|---|---|
| 3000–3500 | 1983 | D | 0.1481 | 0.4294 | 0.4323 | 0.202 |
| 2500–3000 | 1983 | D | 0.6582 | 0.6928 | 0.6375 | 0.2661 |
| 2000–2500 | 1968 | D | 0.3893 | 0.8793 | 0.6244 | 0.184 |
| 1500–2000 | 1989 | D | 0.024 | 0.6635 | 0.9458 | 0.0084 |
| 1000–1500 | 1988 | D | 0.0146 | 0.9501 | 0.9612 | 0.0053 |
| 500–1000 | 1988 | D | 0.0218 | 0.6014 | 0.5259 | 0.0008 |
| 0–500 | 1971 | D | 0.0074 | 0.8553 | 0.0978 | 0.0014 |
| 6-Cluster ID | Mean Elevation (m) | MK p-Value |
|---|---|---|
| 2 | 2152 | 0.2289 |
| 4 | 1862 | 0.006 |
| 6 | 1204 | 0.0280 |
| 3 | 960 | 0.0000 |
| 1 | 522 | 0.0104 |
| 5 | 358 | 0.0019 |
| 12-Cluster ID | Mean Elevation (m) | MK p-Value |
|---|---|---|
| 4 | 2560 | 0.5650 |
| 5 | 2245 | 0.0596 |
| 11 | 1972 | 0.0941 |
| 9 | 1474 | 0.0009 |
| 6 | 1375 | 0.0199 |
| 2 | 1038 | 0.0498 |
| 10 | 970 | 0.0000 |
| 8 | 954 | 0.0000 |
| 3 | 811 | 0.0086 |
| 12 | 522 | 0.0104 |
| 1 | 365 | 0.0005 |
| 7 | 355 | 0.0145 |
Publisher’s Note: MDPI stays neutral with regard to jurisdictional claims in published maps and institutional affiliations. |
© 2020 by the authors. Licensee MDPI, Basel, Switzerland. This article is an open access article distributed under the terms and conditions of the Creative Commons Attribution (CC BY) license (http://creativecommons.org/licenses/by/4.0/).
Share and Cite
Olefs, M.; Koch, R.; Schöner, W.; Marke, T. Changes in Snow Depth, Snow Cover Duration, and Potential Snowmaking Conditions in Austria, 1961–2020—A Model Based Approach. Atmosphere 2020, 11, 1330. https://doi.org/10.3390/atmos11121330
Olefs M, Koch R, Schöner W, Marke T. Changes in Snow Depth, Snow Cover Duration, and Potential Snowmaking Conditions in Austria, 1961–2020—A Model Based Approach. Atmosphere. 2020; 11(12):1330. https://doi.org/10.3390/atmos11121330
Chicago/Turabian StyleOlefs, Marc, Roland Koch, Wolfgang Schöner, and Thomas Marke. 2020. "Changes in Snow Depth, Snow Cover Duration, and Potential Snowmaking Conditions in Austria, 1961–2020—A Model Based Approach" Atmosphere 11, no. 12: 1330. https://doi.org/10.3390/atmos11121330
APA StyleOlefs, M., Koch, R., Schöner, W., & Marke, T. (2020). Changes in Snow Depth, Snow Cover Duration, and Potential Snowmaking Conditions in Austria, 1961–2020—A Model Based Approach. Atmosphere, 11(12), 1330. https://doi.org/10.3390/atmos11121330

