Impacts of Desert Dust Outbreaks on Air Quality in Urban Areas
Abstract
1. Introduction
2. Materials and Methods
2.1. Study Area
2.2. Air-Quality and Meteorological Observations
2.3. Marine Boundary Layer Height Determination
2.4. Determination of Desert Dust Outbreaks
3. Results and Discussion
3.1. PM and PM Concentrations
3.2. Seasonal Variation of Desert Dust Outbreaks, PM Concentrations, and BLH in the Study Area
3.3. Thinning of Marine Boundary Layer
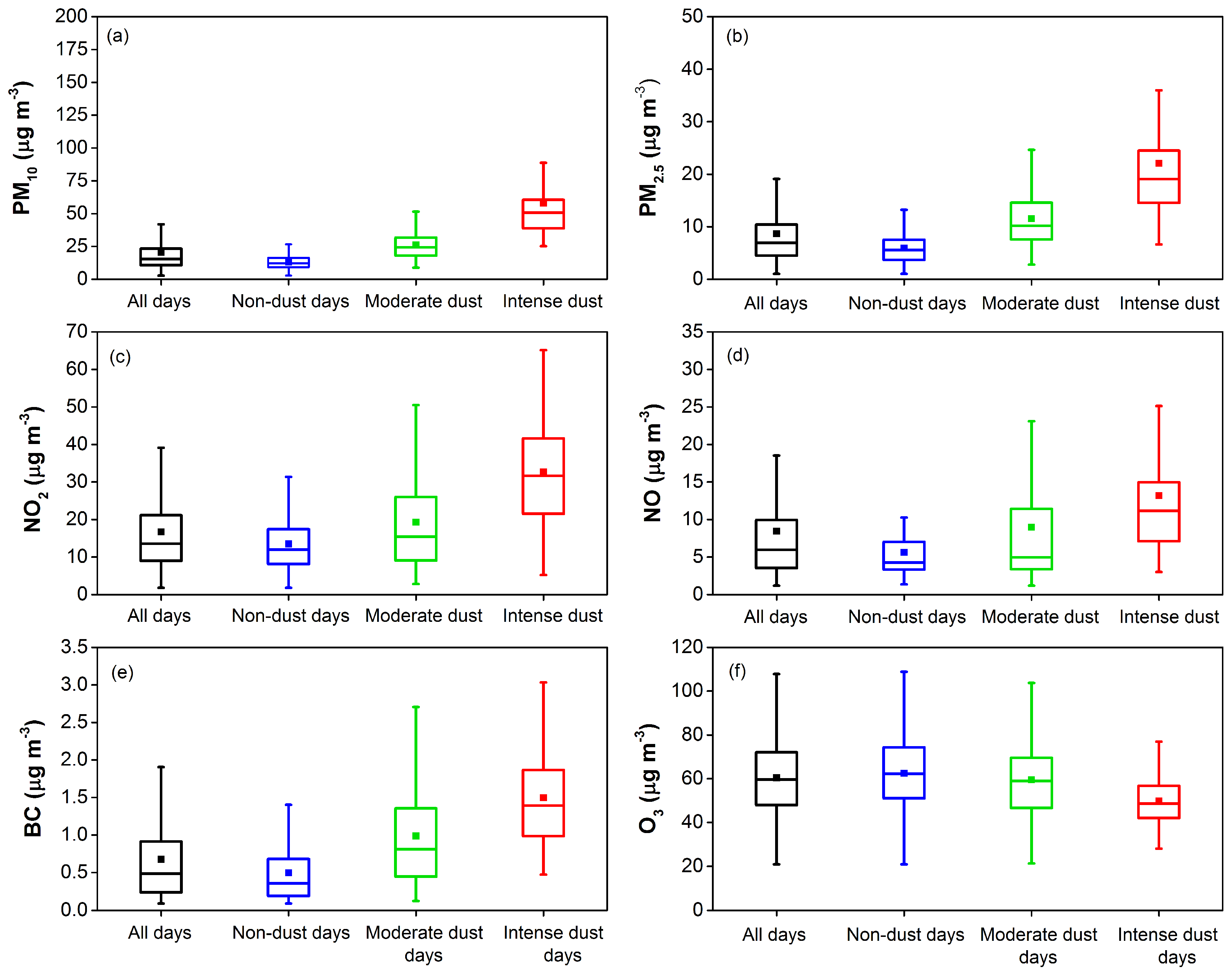
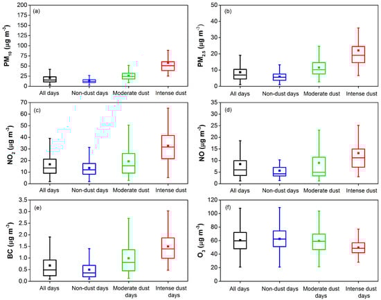
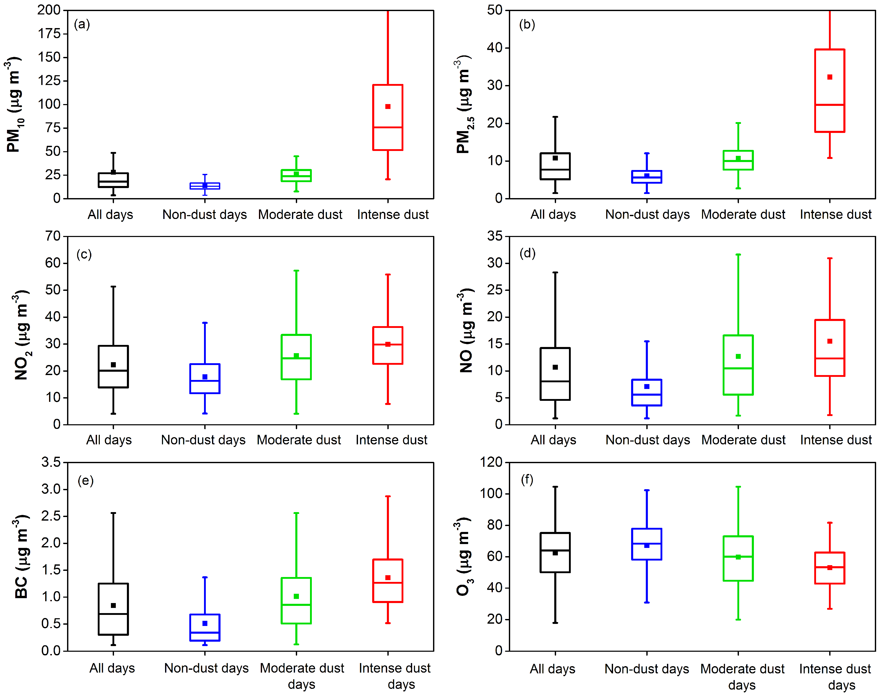
3.4. Increase of Particulate and Gaseous Pollutants during Dust Outbreaks
4. Conclusions
Author Contributions
Funding
Acknowledgments
Conflicts of Interest
Appendix A

| Site | Annual Rainfall (mm) | Winter (December–March) Rainfall (mm) | Summer (July–August) Rainfall (mm) |
|---|---|---|---|
| Santa Cruz | 226 | 148 | 2 |
| Barcelona | 588 | 148 | 83 |

References
- Landrigan, P.J.; Fuller, R.; Acosta, N.J.R.; Adeyi, O.; Arnold, R.; Basu, N.N.; Baldé, A.B.; Bertollini, R.; Bose-O’Reilly, S.; Boufford, J.I.; et al. The Lancet Commission on pollution and health. Lancet 2018, 391, 462–512. [Google Scholar] [CrossRef]
- WHO. Review of Evidence on Health Aspects of Air Pollution—REVIHAAP Project; World Health Organization, Regional Office for Europe: Copenhagen, Denmark, 2013. [Google Scholar]
- Lelieveld, J.; Klingmuller, K.; Pozzer, A.; Poschl, U.; Fnais, M.; Daiber, A.; Munzel, T. Cardiovascular disease burden from ambient air pollution in Europe reassessed using novel hazard ratio functions. Eur. Heart J. 2019, 40, 1590–1596. [Google Scholar] [CrossRef] [PubMed]
- WHO. Ambient Air Pollution: A Global Assessment of Exposure and Burden of Disease; World Health Organization: Geneva, Switzerland, 2016. [Google Scholar]
- WHO. Air Pollution and Child Health: Prescribing Clean Air; World Health Organization: Geneva, Switzerland, 2018. [Google Scholar]
- WHO. WHO Air Quality Guidelines: Global Update 2005—Particulate Matter, Ozone, Nitrogen Dioxide and Sulfur Dioxide; World Health Organization, Regional Office for Europe: Copenhagen, Denmark, 2006. [Google Scholar]
- WHO. World Health Statistics 2018: Monitoring Health for the SDGs, Sustainable Development Goals; World Health Organization: Geneva, Switzerland, 2018. [Google Scholar]
- Mahowald, N.M.; Kloster, S.; Engelstaedter, S.; Moore, J.K.; Mukhopadhyay, S.; McConnell, J.R.; Albani, S.; Doney, S.C.; Bhattacharya, A.; Curran, M.A.J.; et al. Observed 20th century desert dust variability: Impact on climate and biogeochemistry. Atmos. Chem. Phys. 2010, 10, 10875–10893. [Google Scholar] [CrossRef]
- Ginoux, P.; Prospero, J.M.; Gill, T.E.; Hsu, N.C.; Zhao, M. Global-scale attribution of anthropogenic and natural dust sources and their emission rates based on MODIS Deep Blue aerosol products. Rev. Geophys. 2010, 50, 10875–10893. [Google Scholar] [CrossRef]
- Viana, M.; Querol, X.; Alastuey, A.; Cuevas, E.; Rodríguez, S. Influence of African dust on the levels of atmospheric particulates in the Canary Islands air quality network. Atmos. Environ. 2002, 36, 5861–5875. [Google Scholar] [CrossRef]
- Giannadaki, D.; Pozzer, A.; Lelieveld, J. Modeled global effects of airborne desert dust on air quality and premature mortality. Atmos. Chem. Phys. 2014, 14, 957–968. [Google Scholar] [CrossRef]
- Lelieveld, J.; Evans, J.; Fnais, M.; Giannadaki, D.; Pozzer, A. The contribution of outdoor air pollution sources to premature mortality on a global scale. Nature 2015, 525, 367–371. [Google Scholar] [CrossRef]
- Perez, L.; Tobias, A.; Querol, X.; Kunzli, N.; Pey, J.; Alastuey, A.; Viana, M.; Valero, N.; González-Cabré, M.; Sunyer, J. Coarse particles from Saharan dust and daily mortality. Epidemiology 2008, 19, 800–807. [Google Scholar] [CrossRef]
- Tobías, A.; Pérez, L.; Díaz, J.; Linares, C.; Pey, J.; Alastruey, A.; Querol, X. Short-term effects of particulate matter on total mortality during Saharan dust outbreaks: A case-crossover analysis in Madrid (Spain). Sci. Total Environ. 2011, 412-413, 386–389. [Google Scholar] [CrossRef]
- Stafoggia, M.; Zauli-Sajani, S.; Pey, J.; Samoli, E.; Alessandrini, E.; Basagaña, X.; Cernigliaro, A.; Chiusolo, M.; Demaria, M.; Díaz, J.; et al. Desert dust outbreaks in Southern Europe: Contribution to daily PM10 concentrations and short-term associations with mortality and hospital admissions. Environ. Health Perspect. 2016, 124, 413–419. [Google Scholar] [CrossRef]
- Zhang, X.; Zhao, L.; Tong, D.; Wu, G.; Dan, M.; Teng, B. A Systematic Review of Global Desert Dust and Associated Human Health Effects. Atmosphere 2016, 7, 158. [Google Scholar] [CrossRef]
- Domínguez-Rodríguez, A.; Baez-Ferrer, N.; Rodríguez, S.; Abreu-González, P.; Harmand, M.G.C.; Amarnani-Amarnani, V.; Cuevas, E.; Consuegra-Sánchez, L.; Alonso-Pérez, S.; Avanzas, P.; et al. Impact of exposure of emergency patients with acute heart failure to atmospheric Saharan desert dust. Emergencias 2019, 31, 161–166. [Google Scholar] [PubMed]
- López-Villarrubia, E.; Iñiguez, C.; Costa, O.; Ballester, F. Acute effects of urban air pollution on respiratory emergency hospital admissions in the Canary Islands. Air Qual. Atmos. Health 2016, 9, 713–722. [Google Scholar] [CrossRef]
- Castillo, S.; Alastuey, A.; Cuevas, E.; Querol, X.; Avila, A. Quantifying Dry and Wet Deposition Fluxes in Two Regions of Contrasting African Influence: The NE Iberian Peninsula and the Canary Islands. Atmosphere 2017, 8, 305–315. [Google Scholar] [CrossRef]
- Rodríguez, S.; Alastuey, A.; Alonso-Pérez, S.; Querol, X.; Cuevas, E.; Abreu-Afonso, J.; Viana, M.; Pérez, N.; Pandolfi, M.; de la Rosa, J. Transport of desert dust mixed with North African industrial pollutants in the subtropical Saharan Air Layer. Atmos. Chem. Phys. 2011, 11, 6663–6685. [Google Scholar] [CrossRef]
- Pérez, L.; Tobías, A.; Pey, J.; Pérez, N.; Alastuey, A.; Sunyer, J.; Querol, X. Effects of local and Saharan particles on cardiovascular disease mortality. Epidemiology 2012, 23, 768–769. [Google Scholar] [CrossRef]
- Pandolfi, M.; Tobias, A.; Alastuey, A.; Sunyer, J.; Schwartz, J.; Lorente, J.; Pey, J.; Querol, X. Effect of atmospheric mixing layer depth variations on urban air quality and daily mortality during Saharan dust outbreaks. Sci. Total Environ. 2014, 494-495, 283–289. [Google Scholar] [CrossRef]
- Salvador, P.; Molero, F.; Fernandez, A.J.; Tobías, A.; Pandolfi, M.; Gómez-Moreno, F.J.; Barreiro, M.; Pérez, N.; Marco, I.M.; Revuelta, M.A.; et al. Synergistic effect of the occurrence of African dust outbreaks on atmospheric pollutant levels in the Madrid metropolitan area. Atmos. Res. 2019, 226, 208–218. [Google Scholar] [CrossRef]
- Nie, W.; Ding, A.; Wang, T.; Kerminen, V.M.; George, C.; Xue, L.; Wang, W.; Zhang, Q.; Petäjä, T.; Qi1, X.; et al. Polluted dust promotes new particle formation and growth. Sci. Rep. 2014, 4, 6634. [Google Scholar] [CrossRef]
- Fernández-Camacho, R.; de la Rosa, J.; Sánchez de la Campa, A. Trends and sources vs air mass origins in a major city in South-western Europe: Implications for air quality management. Sci. Total Environ. 2016, 553, 305–315. [Google Scholar] [CrossRef]
- de Longueville, F.; Ozer, P.; Doumbia, S.; Henry, S. Desert dust impacts on human health: An alarming worldwide reality and a need for studies in West Africa. Int. J. Biometeorol. 2013, 57, 1–19. [Google Scholar] [CrossRef] [PubMed]
- Prospero, J.M.; Glaccum, R.A.; Nees, R.T. Atmospheric transport of soil dust from Africa to South America. Nature 1981, 289, 570–572. [Google Scholar] [CrossRef]
- Wong, S.; Dessler, A.E.; Mahowald, N.M.; Yang, P.; Feng, Q. Maintenance of Lower Tropospheric Temperature Inversion in the Saharan Air Layer by Dust and Dry Anomaly. J. Clim. 2009, 22, 5149–5162. [Google Scholar] [CrossRef]
- Tsamalis, C.; Chédin, A.; Pelon, J.; Capelle, V. The seasonal vertical distribution of the Saharan Air Layer and its modulation by the wind. Atmos. Chem. Phys. 2013, 13, 11235–11257. [Google Scholar] [CrossRef]
- Ravelo-Pérez, L.; Rodríguez, S.; Galindo, L.; García, M.; Alastuey, A.; López-Solano, J. Soluble iron dust export in the high altitude Saharan Air Layer. Atmos. Environ. 2016, 133, 49–59. [Google Scholar] [CrossRef]
- Alonso-Pérez, S.; Cuevas, E.; Querol, X.; Guerra, J.; Pérez, C. African dust source regions for observed dust outbreaks over the subtropical Eastern North Atlantic region, above 25∘ N. J. Arid Environ. 2012, 78, 100–109. [Google Scholar] [CrossRef]
- Cuevas, E.; Camino, C.; Benedetti, A.; Basart, S.; Terradellas, E.; Baldasano, J.M.; Morcrette, J.J.; Marticorena, B.; Goloub, P.; Mortier, A.; et al. The MACC-II 2007-2008 reanalysis: Atmospheric dust evaluation and characterization over northern Africa and the Middle East. Atmos. Chem. Phys. 2015, 15, 3991–4024. [Google Scholar] [CrossRef]
- Rodríguez, S.; Cuevas, E.; Prospero, J.M.; Alastuey, A.; Querol, X.; López-Solano, J.; García, M.I.; Alonso-Pérez, S. Modulation of Saharan dust export by the North African dipole. Atmos. Chem. Phys. 2015, 15, 7471–7486. [Google Scholar] [CrossRef]
- Alonso-Pérez, S.; Cuevas, E.; Querol, E.; Viana, M.; Guerra, J. Impact of the Saharan dust outbreaks on the ambient levels of total suspended particles (TSP) in the Marine Boundary Layer (MBL) of the Subtropical Eastern North Atlantic Ocean. Atmos. Environ. 2007, 41/40, 9468–9480. [Google Scholar] [CrossRef]
- Milford, C.; Marrero, C.; Martin, C.; Bustos, J.; Querol, X. Forecasting the air pollution episode potential in the Canary Islands. Adv. Sci. Res. 2008, 2, 21–26. [Google Scholar] [CrossRef]
- González, Y.; Rodríguez, S. A comparative study on the ultrafine particle episodes induced by vehicle exhaust, a crude oil refinery and ship emissions. Atmos. Res. 2013, 120-121, 43–54. [Google Scholar] [CrossRef]
- Baldasano, J.M.; Soret, A.; Guevara, M.; Martínez, F.; Gassó, S. Integrated assessment of air pollution using observations and modelling in Santa Cruz de Tenerife (Canary Islands). Sci. Total Environ. 2014, 473–474, 576–588. [Google Scholar] [CrossRef] [PubMed]
- Carrillo, J.; Guerra, J.C.; Cuevas, E.; Barrancos, J. Characterization of the Marine Boundary Layer and the Trade-Wind Inversion over the Sub-tropical North Atlantic. Bound.-Layer Meteorol. 2016, 158, 311–330. [Google Scholar] [CrossRef]
- EC. Directive 2008/50/EC of the European Parliament and of the Council of 21 May 2008 on ambient air quality and cleaner air for Europe. Off. J. Eur. Union L 2008, 152, 1–44. [Google Scholar]
- Rodríguez, S.; Cuevas, E.; González, Y.; Ramos, R.; Romero, P.; Pérez, N.; Querol, X.; Alastuey, A. Influence of sea breeze circulation and road traffic emissions on the relationship between particle number, black carbon, PM1, PM2.5 and PM2.5-10 concentrations in a coastal city. Atmos. Environ. 2008, 42, 6523–6534. [Google Scholar] [CrossRef]
- ECMWF. Diagnostic Boundary Layer Height, in IFS Documentation Cy45r1, Part IV: Physical Processes; European Center for Medium-Range Weather Forecasting: Reading, UK, 2018. [Google Scholar]
- Seidel, D.; Zhang, Y.; Beljaars, A.; Golaz, J.; Medeiros, B. Climatology of the planetary boundary layer over continental United States and Europe. J. Geophys. Res. 2012, 117, D17106. [Google Scholar] [CrossRef]
- Lavers, D.A.; Beljaars, A.; Richardson, D.S.; Rodwell, M.; Pappenberger, F. A forecast evaluation of planetary boundary layer height over the ocean. J. Geophys. Res. Atmos. 2019, 124. [Google Scholar] [CrossRef]
- MAPAMA. Episodios Naturales de Partículas 2017; Ministerio de Agricultura, Alimentación y Medio Ambiente: Madrid, Spain, 2018. [Google Scholar]
- European Commission (EC). Commission Staff Working Paper, Establishing Guidelines for Demonstration and Subtraction of Exceedances Attributable to Natural Sources under the Directive 2008/50/EC on Ambient Air Quality and Cleaner Air for Europe; EC: Brussels, Belgium, 2011. [Google Scholar]
- Escudero, M.; Querol, X.; Pey, J.; Alastuey, A.; Pérez, N.; Ferreira, F.; Alonso, S.; Rodríguez, S.; Cuevas, E. A methodology for the quantification of the net African dust load in air quality monitoring networks. Atmos. Environ. 2007, 41, 5516–5524. [Google Scholar] [CrossRef]
- Querol, X.; Alastuey, A.; Pey, J.; Escudero, M.; Castillo, S.; Gonzalez, A.; Pallarés, M.; Jiménez, S.; Cristóbal, A.; Ferreira, F.; et al. Spain and Portugal Methodology for the Identification of Natural African Dust Episodes in PM10 and PM2,5, and Justification with Regards to the Exceedances of the PM10 Daily Limit Value (2006) Modified Version from November 2009; Ministerio de MedioAmbiente, y Medio Rural y Marino–Spain: Madrid, Spain, 2006. [Google Scholar]
- Viana, M.; Salvador, P.; Artíñano, B.; Querol, X.; Alastuey, A.; Pey, J.; Latz, A.; Cabañas, M.; Moreno, T.; García, S.; et al. Assessing the performance of methods to detect and quantify African dust in airborne particulates. Environ. Sci. Technol. 2010, 44, 8814–8820. [Google Scholar] [CrossRef]
- Alastuey, A.; Querol, X.; Castillo, S.; Escudero, M.; Avila, A.; Cuevas, E.; Torres, C.; Romero, P.; Exposito, F.; Garcia, O.; et al. Characterisation of TSP and PM2.5 at Izana and Sta. Cruz de Tenerife (Canary Islands, Spain) during a Saharan Dust Episode (July 2002). Atmos. Environ. 2005, 39, 4715–4728. [Google Scholar] [CrossRef]
- Rodríguez, S.; Torres, C.; Guerra, J.C.; Cuevas, E. Transport pathways of ozone to marine and free-troposphere sites in Tenerife, Canary Islands. Atmos. Environ. 2004, 38, 4733–4747. [Google Scholar] [CrossRef]
- Cuevas, E.; González, Y.; Rodríguez, S.; Guerra, J.C.; Gómez-Peláez, A.J.; Alonso-Pérez, S.; Bustos, J.; Milford, C. Assessment of atmospheric processes driving ozone variations in the subtropical North Atlantic free troposphere. Atmos. Chem. Phys. 2013, 13, 1973–1998. [Google Scholar] [CrossRef]
- Andrey, J.; Cuevas, E.; Parrondo, M.; Alonso-Pérez, S.; Redondas, A.; Gil-Ojeda, M. Quantification of ozone reductions within the Saharan air layer through a 13-year climatologic analysis of ozone profiles. Atmos. Environ. 2014, 84, 28–34. [Google Scholar] [CrossRef]
- González, Y.; Schneider, M.; Dyroff, C.; Rodríguez, S.; Christner, E.; García, O.E.; Cuevas, E.; Bustos, J.J.; Ramos, R.; Guirado-Fuentes, C.; et al. Detecting moisture transport pathways to the subtropical North Atlantic free troposphere using paired H2O-δD in situ measurements. Atmos. Chem. Phys. 2016, 16, 4251–4269. [Google Scholar] [CrossRef]
- Pérez, L.; Künzli, N. Saharan dust: No reason to exempt from science or policy. Occup. Environ. Med. 2011, 68, 389–390. [Google Scholar] [CrossRef]








| Statistic | Non-Dust Days | Moderate Dust Days | Intense Dust Days | |||
|---|---|---|---|---|---|---|
| BLH (m) | Obs | Model | Obs | Model | Obs | Model |
| Mean (m) | 937 (380) | 962 (294) | 822 (390) | 805 (357) | 703 (375) | 673 (280) |
| Median (m) | 894 | 952 | 794 | 760 | 681 | 636 |
| n | 359 | 375 | 243 | 254 | 77 | 82 |
| Statistic | Non-Dust Days | Moderate Dust Days | Intense Dust Days | |||
|---|---|---|---|---|---|---|
| BLH | Obs | Model | Obs | Model | Obs | Model |
| Mean (m) | 773 (270) | 727 (178) | 533 (201) | 566 (181) | 414 (152) | 368 (131) |
| Median (m) | 735 | 721 | 496 | 563 | 401 | 365 |
| n | 170 | 174 | 134 | 135 | 61 | 61 |
© 2019 by the authors. Licensee MDPI, Basel, Switzerland. This article is an open access article distributed under the terms and conditions of the Creative Commons Attribution (CC BY) license (http://creativecommons.org/licenses/by/4.0/).
Share and Cite
Milford, C.; Cuevas, E.; Marrero, C.L.; Bustos, J.J.; Gallo, V.; Rodríguez, S.; Romero-Campos, P.M.; Torres, C. Impacts of Desert Dust Outbreaks on Air Quality in Urban Areas. Atmosphere 2020, 11, 23. https://doi.org/10.3390/atmos11010023
Milford C, Cuevas E, Marrero CL, Bustos JJ, Gallo V, Rodríguez S, Romero-Campos PM, Torres C. Impacts of Desert Dust Outbreaks on Air Quality in Urban Areas. Atmosphere. 2020; 11(1):23. https://doi.org/10.3390/atmos11010023
Chicago/Turabian StyleMilford, Celia, Emilio Cuevas, Carlos L. Marrero, J.J. Bustos, Víctor Gallo, Sergio Rodríguez, Pedro M. Romero-Campos, and Carlos Torres. 2020. "Impacts of Desert Dust Outbreaks on Air Quality in Urban Areas" Atmosphere 11, no. 1: 23. https://doi.org/10.3390/atmos11010023
APA StyleMilford, C., Cuevas, E., Marrero, C. L., Bustos, J. J., Gallo, V., Rodríguez, S., Romero-Campos, P. M., & Torres, C. (2020). Impacts of Desert Dust Outbreaks on Air Quality in Urban Areas. Atmosphere, 11(1), 23. https://doi.org/10.3390/atmos11010023

