Impact of Urban Growth on Air Quality in Indian Cities Using Hierarchical Bayesian Approach
Abstract
1. Introduction
1.1. Background
1.2. Objective
2. Methodology
2.1. Conceptual Framework
2.2. Data Used
2.2.1. Fine Aerosol Concentration Indicator
2.2.2. Urban Land-Use and Expansion
2.2.3. Agricultural Fires
2.2.4. Brick Kiln
2.2.5. Vehicle Kilometers Traveled (VKT)
2.2.6. Emission Intensity
2.2.7. Seasonal Emission Activity
2.2.8. Meteorological Data
2.3. Land Use Regression (LUR) Model
2.4. Hierarchical Bayesian Framework for LUR
3. Results and Discussion
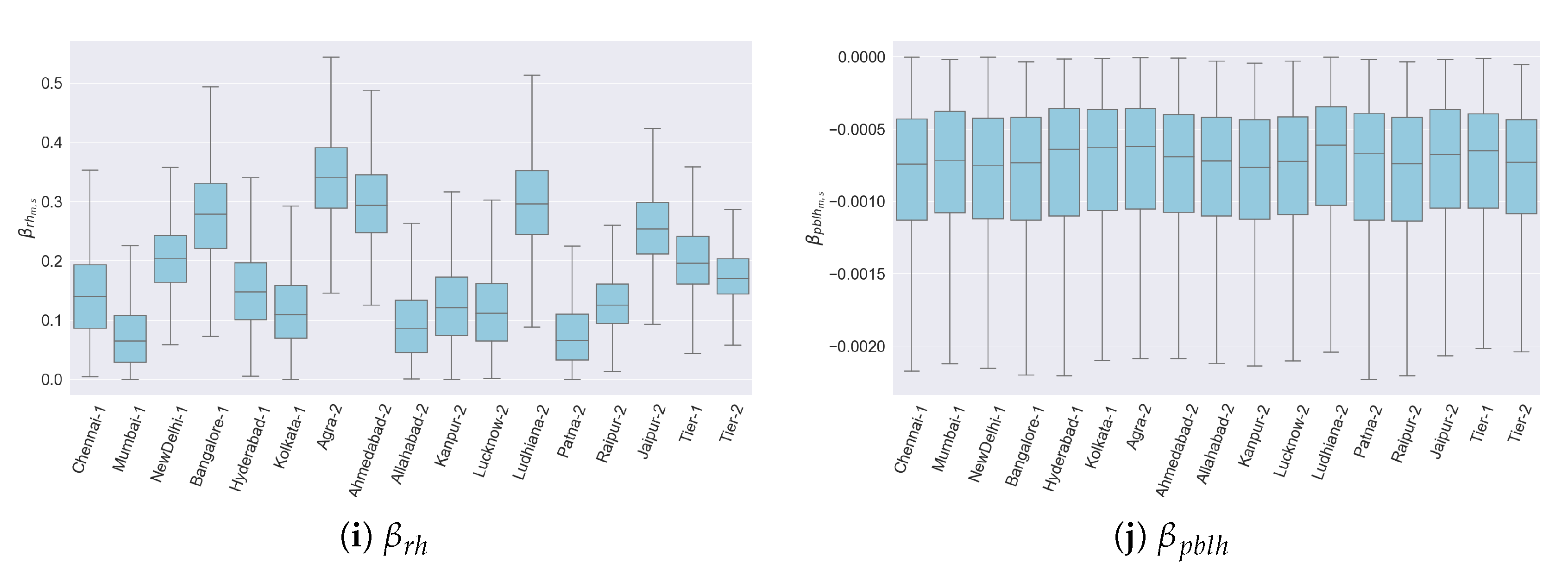
3.1. Air Quality Model Parameters
3.1.1. Seasonal Emission Activity Parameter
3.1.2. Model Parameters
3.2. Long Term R Prediction and Out-of-Time Validation
3.3. Source-Wise Relative Contribution
Comparison with Other Studies
3.4. Limitations
3.5. Policy Implications
4. Conclusions
Supplementary Materials
Author Contributions
Funding
Acknowledgments
Conflicts of Interest
Abbreviations
| mass extinction coefficient | |
| relative humidity | |
| concentration due to background and unaccounted sources | |
| emission coefficient parameter | |
| fuel efficiency | |
| Land-use class | |
| planetary boundary layer height | |
| AirRGB R estimated from ground land-use types | |
| AirRGB R observed from MODIS | |
| seasonal emission activity of LU types R | |
| wind speed | |
| AW3D | ALOS World 3D DSM |
| AOD | Aerosol Optical Density |
| ASTER | Advanced spaceborne thermal emission and reflection radiometer |
| BD | built-up density |
| ED | edge density |
| EF | Emission Factor |
| FRP | Fire radiative power |
| GDPpc | per capita Gross Domestic Product |
| LU | land-use type amongst residential, commercial, industrial or brick kiln |
| LPI | Largest patch index |
| LSI | Landscape shape index |
| MODIS | Moderate Resolution Imaging Spectroradiometer satellite sensor |
| PD | Patch density |
| VIIRS | Visible Infrared Imaging Radiometer Suite |
| VKT | Vehicle kilometers traveled |
References
- Van Donkelaar, A.; Martin, R.V.; Park, R.J. Estimating ground-level PM2.5 using aerosol optical depth determined from satellite remote sensing. J. Geophys. Res. Atmos. 2006, 111, 1–10. [Google Scholar] [CrossRef]
- Itahashi, S.; Uno, I.; Yumimoto, K.; Irie, H.; Osada, K.; Ogata, K.; Fukushima, H.; Wang, Z.; Ohara, T. Interannual variation in the fine-mode MODIS aerosol optical depth and its relationship to the changes in sulfur dioxide emissions in China between 2000 and 2010. Atmos. Chem. Phys. 2012, 12, 2631–2640. [Google Scholar] [CrossRef]
- Akimoto, H.; Ohara, T.; Kurokawa, J.I.; Horii, N. Verification of energy consumption in China during 1996–2003 by using satellite observational data. Atmos. Environ. 2006, 40, 7663–7667. [Google Scholar] [CrossRef]
- De Meij, A.; Krol, M.; Dentener, F.; Vignati, E.; Cuvelier, C.; Thunis, P. The sensitivity of aerosol in Europe to two different emission inventories and temporal distribution of emissions. Atmos. Chem. Phys. Discuss. 2006, 6, 3265–3319. [Google Scholar] [CrossRef]
- Zou, B.; Chen, J.; Zhai, L.; Fang, X.; Zheng, Z. Satellite based mapping of ground PM2.5 concentration using generalized additive modeling. Remote Sens. 2017, 9, 1. [Google Scholar] [CrossRef]
- Reyes, J.M.; Serre, M.L. An LUR/BME framework to estimate PM2.5 explained by on road mobile and stationary sources. Environ. Sci. Technol. 2014, 48, 1736–1744. [Google Scholar] [CrossRef] [PubMed]
- Briggs, D.J.; Collins, S.; Elliott, P.; Fischer, P.; Kingham, S.; Lebret, E.; Pryl, K.; Van Reeuwijk, H.; Smallbone, K.; Van Der Veen, A. Mapping urban air pollution using gis: A regression-based approach. Int. J. Geogr. Inf. Sci. 1997, 11, 699–718. [Google Scholar] [CrossRef]
- Briggs, D.J.; de Hoogh, C.; Gulliver, J.; Wills, J.; Elliotta, P.; Kinghamc, S.; Smallboned, K. A regression-based method for mapping traffic-related air pollution:application and testing in four contrasting urban environments. Sci. Total Environ. 2000, 253, 151–167. [Google Scholar] [CrossRef]
- Hankey, S.; Marshall, J.D. Land Use Regression Models of On-Road Particulate Air Pollution (Particle Number, Black Carbon, PM2.5, Particle Size) Using Mobile Monitoring. Environ. Sci. Technol. 2015, 49, 9194–9202. [Google Scholar] [CrossRef]
- Lin, G.; Fu, J.; Jiang, D.; Hu, W.; Dong, D.; Huang, Y.; Zhao, M. Spatio-temporal variation of PM2.5 concentrations and their relationship with geographic and socioeconomic factors in China. Int. J. Environ. Res. Public Health 2014, 11, 173–186. [Google Scholar] [CrossRef]
- Gong, J.; Hu, Y.; Liu, M.; Bu, R.; Chang, Y.; Bilal, M.; Li, C.; Wu, W.; Ren, B. Land Use Regression Models Using Satellite Aerosol Optical Depth Observations and 3D Building Data from the Central Cities of Liaoning Province, China. Polish J. Environ. Stud. 2016, 25, 1015–1026. [Google Scholar] [CrossRef]
- Zhou, C.; Chen, J.; Wang, S. Examining the effects of socioeconomic development on fine particulate matter (PM 2.5) in China’s cities using spatial regression and the geographical detector technique. Sci. Total Environ. 2018, 619–620, 436–445. [Google Scholar] [CrossRef] [PubMed]
- Naughton, O.; Donnelly, A.; Nolan, P.; Pilla, F.; Misstear, B.D.; Broderick, B. A land use regression model for explaining spatial variation in air pollution levels using a wind sector based approach. Sci. Total Environ. 2018, 630, 1324–1334. [Google Scholar] [CrossRef] [PubMed]
- Brauer, M.; Freedman, G.; Frostad, J.; van Donkelaar, A.; Martin, R.V.; Dentener, F.; Van Dingenen, R.; Estep, K.; Amini, H.; Apte, J.S.; et al. Ambient Air Pollution Exposure Estimation for the Global Burden of Disease 2013. Environ. Sci. Technol. 2016, 79–88. [Google Scholar] [CrossRef] [PubMed]
- Misra, P.; Fujikawa, A.; Takeuchi, W. Novel decomposition scheme for characterizing urban air quality with MODIS. Remote Sens. 2017, 9, 812. [Google Scholar] [CrossRef]
- Van Donkelaar, A.; Martin, R.V.; Brauer, M.; Hsu, N.C.; Kahn, R.A.; Levy, R.C.; Lyapustin, A.; Sayer, A.M.; Winker, D.M. Global Estimates of Fine Particulate Matter using a Combined Geophysical-Statistical Method with Information from Satellites, Models, and Monitors. Environ. Sci. Technol. 2016, 50, 3762–3772. [Google Scholar] [CrossRef] [PubMed]
- Beelen, R.; Voogt, M.; Duyzer, J.; Zandveld, P.; Hoek, G. Comparison of the performances of land use regression modelling and dispersion modelling in estimating small-scale variations in long-term air pollution concentrations in a Dutch urban area. Atmos. Environ. 2010, 44, 4614–4621. [Google Scholar] [CrossRef]
- Johnson, M.; Isakov, V.; Touma, J.S.; Mukerjee, S.; Özkaynak, H. Evaluation of land-use regression models used to predict air quality concentrations in an urban area. Atmos. Environ. 2010, 44, 3660–3668. [Google Scholar] [CrossRef]
- Saraswat, A.; Apte, J.S.; Kandlikar, M.; Brauer, M.; Henderson, S.B.; Marshall, J.D. Spatiotemporal land use regression models of fine, ultrafine, and black carbon particulate matter in New Delhi, India. Environ. Sci. Technol. 2013, 47, 12903–12911. [Google Scholar] [CrossRef]
- Sanchez, M.; Ambros, A.; Milà, C.; Salmon, M.; Balakrishnan, K.; Sambandam, S.; Sreekanth, V.; Marshall, J.D.; Tonne, C. Development of land-use regression models for fine particles and black carbon in peri-urban South India. Sci. Total Environ. 2018, 634, 77–86. [Google Scholar] [CrossRef]
- Upadhyay, A.; Dey, S.; Goyal, P.; Dash, S.K. Projection of near-future anthropogenic PM2.5 over India using statistical approach. Atmos. Environ. 2018, 186, 178–188. [Google Scholar] [CrossRef]
- World Health Organization. WHO Global Ambient Air Quality Database (Update 2018); World Health Organization: Geneva, Switzerland, 2018. [Google Scholar]
- Kaya, Y. Impact of Carbon Dioxide Emission Control on GNP Growth: Interpretation of Proposed Scenarios; IPCC Energy and Industry Subgroup, Response Strategies Working Group: Paris, France, 1989. [Google Scholar]
- IPCC. Climate Change 2014: Mitigation of Climate Change. Working Group III Contribution to the Fifth Assessment Report of the Intergovernmental Panel on Climate Change; Cambridge University Press: Cambridge, UK; New York, NY, USA, 2014. [Google Scholar]
- Ohara, T.; Akimoto, H.; Kurokawa, J.; Horii, N.; Yamaji, K.; Yan, X.; Hayasaka, T. An Asian emission inventory of anthropogenic emission sources for the period 1980–2020. Atmos. Chem. Phys. 2007, 7, 4419–4444. [Google Scholar] [CrossRef]
- Kurokawa, J.; Ohara, T.; Morikawa, T.; Hanayama, S.; Janssens-Maenhout, G.; Fukui, T.; Kawashima, K.; Akimoto, H. Emissions of air pollutants and greenhouse gases over Asian regions during 2000–2008: Regional Emission inventory in ASia (REAS) version 2. Atmos. Chem. Phys. 2013, 13, 11019–11058. [Google Scholar] [CrossRef]
- Reddy, M.; Venkataraman, C. Inventory of aerosol and sulphur dioxide emissions from India: I—Fossil fuel combustion. Atmos. Environ. 2002, 36, 677–697. [Google Scholar] [CrossRef]
- Sadavarte, P.; Venkataraman, C. Trends in multi-pollutant emissions from a technology-linked inventory for India: I. Industry and transport sectors. Atmos. Environ. 2014, 99, 353–364. [Google Scholar] [CrossRef]
- Bhanarkar, A.D.; Rao, P.S.; Gajghate, D.G.; Nema, P. Inventory of SO2, PM and toxic metals emissions from industrial sources in Greater Mumbai, India. Atmos. Environ. 2005, 39, 3851–3864. [Google Scholar] [CrossRef]
- Sahu, S.K.; Beig, G.; Parkhi, N.S. Emissions inventory of anthropogenic PM2.5 and PM10 in Delhi during Commonwealth Games 2010. Atmos. Environ. 2011, 45, 6180–6190. [Google Scholar] [CrossRef]
- Baidya, S.; Borken-Kleefeld, J. Atmospheric emissions from road transportation in India. Energy Policy 2009, 37, 3812–3822. [Google Scholar] [CrossRef]
- Guttikunda, S.K.; Calori, G. A GIS based emissions inventory at 1 km × 1 km spatial resolution for air pollution analysis in Delhi, India. Atmos. Environ. 2013, 67, 101–111. [Google Scholar] [CrossRef]
- Paliwal, U.; Sharma, M.; Burkhart, J.F. Monthly and spatially resolved black carbon emission inventory of India: Uncertainty analysis. Atmos. Chem. Phys. 2016, 16, 12457–12476. [Google Scholar] [CrossRef]
- Maithel, S.; Uma, R.; Bond, T.; Baum, E.; Thao, V. Brick Kilns Performance Assessment A Roadmap for Cleaner Brick Production in India; Technical Report April; Greentech Knowledge Solutions: New Delhi, India, 2012. [Google Scholar]
- Venkataraman, C.; Habib, G.; Kadamba, D.; Shrivastava, M.; Leon, J.F.; Crouzille, B.; Boucher, O.; Streets, D.G. Emissions from open biomass burning in India: Integrating the inventory approach with high-resolution Moderate Resolution Imaging Spectroradiometer (MODIS) active-fire and land cover data. Glob. Biogeochem. Cycles 2006, 20, 1–12. [Google Scholar] [CrossRef]
- Rosa, E.A.; Dietz, T. Human drivers of national greenhouse-gas emissions. Nat. Clim. Change 2012, 2, 581–586. [Google Scholar] [CrossRef]
- Chertow, M.R. The IPAT Equation and Its Variants. J. Industrial Ecol. 2000, 4, 13–29. [Google Scholar] [CrossRef]
- Sun, J.W. The decrease of CO2 emission intensity is decarbonization at national and global levels. Energy Policy 2005, 33, 975–978. [Google Scholar] [CrossRef]
- Wang, J. Intercomparison between satellite-derived aerosol optical thickness and PM 2.5 mass: Implications for air quality studies. Geophys. Res. Lett. 2003, 30, 2095. [Google Scholar] [CrossRef]
- Gupta, P.; Christopher, S.A. Particulate matter air quality assessment using integrated surface, satellite, and meteorological products: Multiple regression approach. J. Geophys. Res. Atmos. 2009, 114, 1–13. [Google Scholar] [CrossRef]
- Levy, R.C.; Remer, L.A.; Kleidman, R.G.; Mattoo, S.; Ichoku, C.; Kahn, R.; Eck, T.F. Global evaluation of the Collection 5 MODIS dark-target aerosol products over land. Atmos. Chem. Phys. 2010, 10, 10399–10420. [Google Scholar] [CrossRef]
- Li, J.; Jin, M.; Xu, Z. Spatiotemporal variability of remotely sensed PM2.5 concentrations in China from 1998 to 2014 based on a bayesian hierarchy model. Int. J. Environ. Res. Public Health 2016, 13, 772. [Google Scholar] [CrossRef] [PubMed]
- Roy, D.P.; Lewis, P.; Schaaf, C.B.; Devadiga, S.; Boschetti, L. The global impact of clouds on the production of MODIS bidirectional reflectance model-based composites for terrestrial monitoring. IEEE Geosci. Remote Sens. Lett. 2006, 3, 452–456. [Google Scholar] [CrossRef]
- Levy, R.; Leptoukh, G.; Kahn, R.; Zubko, V.; Gopalan, A.; Remer, L. A Critical Look at Deriving Monthly Aerosol Optical Depth From Satellite Data. IEEE Trans. Geosci. Remote Sens. 2009, 47, 2942–2956. [Google Scholar] [CrossRef]
- Christopher, S.A.; Gupta, P. Satellite Remote Sensing of Particulate Matter Air Quality: The Cloud-Cover Problem. J. Air Waste Manag. Assoc. 2010, 60, 596–602. [Google Scholar] [CrossRef] [PubMed]
- Eck, T.F.; Holben, B.N.; Dubovik, O.; Smirnov, A.; Slutsker, I.; Lobert, J.M.; Ramanathan, V. Column-integrated aerosol optical properties over the Maldives during the northeast monsoon for 1998–2000. J. Geophys. Res. 2001, 106, 28555. [Google Scholar] [CrossRef]
- Chin, M.; Ginoux, P.; Kinne, S.; Torres, O.; Holben, B.N.; Duncan, B.N.; Martin, R.V.; Logan, J.A.; Higurashi, A.; Nakajima, T. Tropospheric Aerosol Optical Thickness from the GOCART Model and Comparisons with Satellite and Sun Photometer Measurements. J. Atmos. Sci. 2002, 59, 461–483. [Google Scholar] [CrossRef]
- Dey, S.; Tripathi, S.N. Aerosol direct radiative effects over Kanpur in the Indo-Gangetic basin, northern India: Long-term (2001–2005) observations and implications to regional climate. J. Geophys. Res. 2008, 113, D04212. [Google Scholar] [CrossRef]
- Ramachandran, S. Aerosol optical depth and fine mode fraction variations deduced from Moderate Resolution Imaging Spectroradiometer (MODIS) over four urban areas in India. J. Geophys. Res. Atmos. 2007, 112, 1–11. [Google Scholar] [CrossRef]
- Singh, D.; Shukla, S.P.; Sharma, M.; Behera, S.N.; Mohan, D.; Singh, N.B.; Pandey, G. GIS-Based On-Road Vehicular Emission Inventory for Lucknow, India. J. Hazard. Toxic Radioact. Waste 2016, 20, A4014006. [Google Scholar] [CrossRef]
- Sritarapipat, T.; Takeuchi, W. Building classification in Yangon City, Myanmar using Stereo GeoEye images, Landsat image and night-time light data. Remote Sens. Appl. Soc. Environ. 2017, 6, 46–51. [Google Scholar] [CrossRef]
- Takaku, J.; Tadono, T.; Tsutsui, K.; Ichikawa, M. Validation of ‘AW3D’ Global DSM Generated From ALOS PRISM. ISPRS Ann. Photogramm. Remote Sens. Spat. Inf. Sci. 2016, III-4, 25–31. [Google Scholar] [CrossRef]
- Tachikawa, T.; Hat, M.; Kaku, M.; Iwasaki, A. CHARACTERISTICS OF ASTER GDEM VERSION 2. In Proceedings of the 2011 IEEE International Geoscience and Remote Sensing Symposium, Vancouver, BC, Canada, 24–29 July 2011; pp. 3657–3660. [Google Scholar] [CrossRef]
- Misra, P.; Avtar, R.; Takeuchi, W. Comparison of Digital Building Height Models Extracted from AW3D, TanDEM-X, ASTER, and SRTM Digital Surface Models over Yangon City. Remote Sens. 2018, 10, 2008. [Google Scholar] [CrossRef]
- Misra, P.; Takeuchi, W. A novel technique for estimating expansion of residential, commercial and industrial regions in Indian megacities. In Proceedings of the 17th International Symposium on New Technologies for Urban Safety of Mega Cities in Asia, Hyderabad, India, 12–14 December 2018; Volume 17. [Google Scholar]
- Seto, K.C.; Fragkias, M.; Güneralp, B.; Reilly, M.K. A Meta-Analysis of Global Urban Land Expansion. PLoS ONE 2011, 6, e23777. [Google Scholar] [CrossRef]
- United Nations. UN Population Division; United Nations: New York, NY, USA, 2017. [Google Scholar]
- Government of India. Open Government Data Platform India; Government of India: New Delhi, India, 2018.
- Giglio, L.; Descloitres, J.; Justice, C.O.; Kaufman, Y.J. An Enhanced Contextual Fire Detection Algorithm for MODIS. Remote Sens. Environ. 2003, 87, 273–282. [Google Scholar] [CrossRef]
- Vadrevu, K.P.; Ellicott, E.; Badarinath, K.V.; Vermote, E. MODIS derived fire characteristics and aerosol optical depth variations during the agricultural residue burning season, north India. Environ. Pollut. 2011, 159, 1560–1569. [Google Scholar] [CrossRef] [PubMed]
- Foody, G.M.; Ling, F.; Boyd, D.S.; Li, X.; Wardlaw, J. Earth observation and machine learning to meet Sustainable Development Goal 8.7: Mapping sites associated with slavery from space. Remote Sens. 2019, 11, 266. [Google Scholar] [CrossRef]
- Puliafito, S.E.; Allende, D.G.; Castesana, P.S.; Ruggeri, M.F. High-resolution atmospheric emission inventory of the argentine energy sector. Comparison with edgar global emission database. Heliyon 2017, 3, e00489. [Google Scholar] [CrossRef] [PubMed]
- Ministry of Road Transport and Highways. Road Transport Year Book (2011–2012); Technical Report; Government of India: New Delhi, India, 2011.
- Schievelbein, W.; Kockelman, K.M.; Bansal, P.; Schauer-West, S. Indian Vehicle Ownership and Travel Behaviors: Case Study of Bangalore, Delhi and Kolkata. In Proceedings of the Transportation Research Board 96th Annual Meeting, Washington, DC, USA, 8–12 January 2017. [Google Scholar]
- Borrego, C.; Martins, H.; Tchepel, O.; Salmim, L.; Monteiro, A.; Miranda, A. How urban structure can affect city sustainability from an air quality perspective. Environ. Modelling Softw. 2006, 21, 461–467. [Google Scholar] [CrossRef]
- Stone, B. Urban sprawl and air quality in large US cities. J. Environ. Manag. 2008, 86, 688–698. [Google Scholar] [CrossRef] [PubMed]
- McGarigal, K.; Cushman, S.A.; Neel, M.C.; Ene, E. FRAGSTATS: Spatial Pattern Analysis Program for Categorical Maps; Software; University of Massachusetts: Amherst, MA, USA, 2002. [Google Scholar]
- Hijmans, R. Database of Global Administrative Areas; University of California: Davis, CA, USA, 2012. [Google Scholar]
- Kanamitsu, M.; Ebisuzaki, W.; Woollen, J.; Yang, S.K.; Hnilo, J.J.; Fiorino, M.; Potter, G.L. NCEP-DOE AMIP-II reanalysis (R-2). Bull. Am. Meteorol. Soc. 2002, 83, 1631–1644. [Google Scholar] [CrossRef]
- Saha, S.; Moorthi, S.; Wu, X.; Wang, J.; Nadiga, S.; Tripp, P.; Behringer, D.; Hou, Y.T.; Chuang, H.Y.; Iredell, M.; et al. The NCEP climate forecast system version 2. J. Clim. 2014. [Google Scholar] [CrossRef]
- NOAA ESRL. NCEP/NCAR Reanalysis 1; NOAA ESRL: Boulder, CO, USA, 2014. [Google Scholar]
- Moore, D.K.; Jerrett, M.; Mack, W.J.; Künzli, N. A land use regression model for predicting ambient fine particulate matter across Los Angeles, CA. J. Environ. Monit. 2007, 9, 246–252. [Google Scholar] [CrossRef] [PubMed]
- Hoek, G.; Beelen, R.; Kos, G.; Dijkema, M.; Zee, S.; Fischer, P.H.; Brunekreef, B. Land use regression model for ultrafine particles in Amsterdam. Environ. Sci. Technol. 2011, 45, 622–628. [Google Scholar] [CrossRef] [PubMed]
- Helle, K.B.; Astrup, P.; Raskob, W.; Pebesma, E. Comparison of Mapping Methods for Plumes Using Prior Knowledge from Simulations. In Proceedings of the 7th International Symposium on Spatial Data Quality, Coimbra, Portugal, 12–14 October 2011; pp. 15–20. [Google Scholar]
- Korek, M.; Johansson, C.; Svensson, N.; Lind, T.; Beelen, R.; Hoek, G.; Pershagen, G.; Bellander, T. Can dispersion modeling of air pollution be improved by land-use regression? An example from Stockholm, Sweden. J. Expos. Sci. Environ. Epidemiol. 2016, 27, 575–581. [Google Scholar] [CrossRef] [PubMed]
- De Mesnard, L. Pollution models and inverse distance weighting: Some critical remarks. Comput. Geosci. 2013, 52, 459–469. [Google Scholar] [CrossRef]
- SIAM. Emission Norms; Society of Indian Automobile Manufacturers: New Delhi, India, 2017. [Google Scholar]
- Gill, G.S.; Cheng, W. Assessment of Alternative Bayesian Hierarchical Models for Estimating Gas Emissions. Glob. Environ. Health Saf. 2017, 1, 1–9. [Google Scholar]
- Yu, H.; Yang, W.; Hua, G.; Ru, H.; Huang, P. Change Detection Using High Resolution Remote Sensing Images Based on Active Learning and Markov Random Fields. Remote Sens. 2017, 9, 1233. [Google Scholar] [CrossRef]
- Mukhopadhyay, S.; Sahu, S.K. A Bayesian spatiotemporal model to estimate long-term exposure to outdoor air pollution at coarser administrative geographies in England and Wales. J. R. Stat. Soc. Ser. A Stat. Soc. 2017. [Google Scholar] [CrossRef]
- Kruschke, J.K.; Vanpaemel, W. Bayesian Estimation in Hierarchical Models. In The Oxford Handbook of Computational and Mathematical Psychology; Busemeyer, J.R., Wang, Z., Townsend, J.T., Eidels, A., Eds.; Oxford University Press: New York, NY, USA, 2015; Chapter 13; pp. 279–299. [Google Scholar] [CrossRef]
- Badarinath, K.V.; Kumar Kharol, S.; Rani Sharma, A. Long-range transport of aerosols from agriculture crop residue burning in Indo-Gangetic Plains-A study using LIDAR, ground measurements and satellite data. J. Atmos. Sol.-Terrestrial Phys. 2009, 71, 112–120. [Google Scholar] [CrossRef]
- ESA. Sentinel-5P TROPOMI UV Aerosol Index ATBD; ESA: Paris, France, 2018. [Google Scholar]
- Sun, Y.; Jiang, Q.; Wang, Z.; Fu, P.; Li, J.; Yang, T.; Yin, Y. Investigation of the sources and evolution processes of severe haze pollution in Beijing in January 2013. J. Geophys. Res. Atmos. 2014, 119, 4380–4398. [Google Scholar] [CrossRef]
- Zhang, R.; Wang, G.; Guo, S.; Zamora, M.L.; Ying, Q.; Lin, Y.; Wang, W.; Hu, M.; Wang, Y. Formation of Urban Fine Particulate Matter. Chem. Rev. 2015, 115, 3803–3855. [Google Scholar] [CrossRef]
- Guttikunda, S.K.; Nishadh, K.A.; Jawahar, P. Air pollution knowledge assessments (APnA) for 20 Indian cities. Urban Clim. 2019, 27, 124–141. [Google Scholar] [CrossRef]
- Liu, T.; Mickley, L.; Gautam, R.; Singh, M.; DeFries, R.; Marlier, M. Detection of delay in post-monsoon agricultural burning across Punjab, India: Potential drivers and consequences for air quality. EarthArXiv 2019, 2016, 1–17. [Google Scholar] [CrossRef]
- Venkataraman, C.; Brauer, M.; Tibrewal, K.; Sadavarte, P.; Ma, Q.; Cohen, A.; Chaliyakunnel, S.; Frostad, J.; Klimont, Z.; Martin, R.V.; et al. Source influence on emission pathways and ambient PM 2.5 pollution over India (2015–2050). Atmos. Chem. Phys. 2018, 18, 8017–8039. [Google Scholar] [CrossRef]
- Nagar, P.K.; Singh, D.; Sharma, M.; Kumar, A.; Aneja, V.P.; George, M.P.; Agarwal, N.; Shukla, S.P. Characterization of PM2.5 in Delhi: Role and impact of secondary aerosol, burning of biomass, and municipal solid waste and crustal matter. Environ. Sci. Pollut. Res. 2017, 24, 25179–25189. [Google Scholar] [CrossRef] [PubMed]
- Guo, H.; Kota, S.H.; Sahu, S.K.; Hu, J.; Ying, Q.; Gao, A.; Zhang, H. Source apportionment of PM2.5 in North India using source-oriented air quality models. Environ. Pollut. 2017, 231, 426–436. [Google Scholar] [CrossRef] [PubMed]
- ARAI; TERI. Source Apportionment of PM2.5 & PM10 of Delhi NCR for Identification of Major Sources; Technical Report August; The Energy Resources Institute, Delhi and Automative Research Association of India: Delhi, India, 2018. [Google Scholar]
- Central Pollution Control Board. Air Quality Monitoring, Emission Inventory and Source Apportionment Study for Indian Cities; Technical Report; Central Pollution Control Board: New Delhi, India, 2011. [Google Scholar]
- Gummeneni, S.; Yusup, Y.B.; Chavali, M.; Samadi, S.Z. Source apportionment of particulate matter in the ambient air of Hyderabad city, India. Atmos. Res. 2011, 101, 752–764. [Google Scholar] [CrossRef]
- Behera, S.N.; Sharma, M.; Dikshit, O.; Shukla, S.P. Development of GIS-aided emission inventory of air pollutants for an urban environment. In Advanced Air Pollution; Nejadkoorki, F., Ed.; Intechopen: London, UK, 2011; Chapter 16; pp. 279–294. [Google Scholar]
- Oda, T.; Maksyutov, S. A very high-resolution (1 km × 1 km) global fossil fuel CO2 emission inventory derived using a point source database and satellite observations of nighttime lights. Atmos. Chem. Phys. 2011, 11, 543–556. [Google Scholar] [CrossRef]
- Misra, P.; Takeuchi, W. Analysis of air quality and nighttime light for Indian urban regions. IOP Conf. Ser. Earth Environ. Sci. 2016, 37, 012077. [Google Scholar] [CrossRef]
- De Hoogh, K.; Gulliver, J.; van Donkelaar, A.; Martin, R.V.; Marshall, J.D.; Bechle, M.J.; Cesaroni, G.; Pradas, M.C.; Dedele, A.; Eeftens, M.; et al. Development of West-European PM2.5 and NO2l and use regression models incorporating satellite-derived and chemical transport modelling data. Environ. Res. 2016, 151, 1–10. [Google Scholar] [CrossRef] [PubMed]
- Wang, M.; Sampson, P.D.; Hu, J.; Kleeman, M.; Keller, J.P.; Olives, C.; Szpiro, A.A.; Vedal, S.; Kaufman, J.D. Combining Land-Use Regression and Chemical Transport Modeling in a Spatiotemporal Geostatistical Model for Ozone and PM2.5. Environ. Sci. Technol. 2016, 50, 5111–5118. [Google Scholar] [CrossRef]
- Yao, Y.; Jiang, Z.; Zhang, H.; Cai, B.; Meng, G.; Zuo, D. Chimney and condensing tower detection based on faster R-CNN in high resolution remote sensing images 2 Beijing Key Laboratory of Digital Media. In Proceedings of the 2017 IEEE International Geoscience and Remote Sensing Symposium (IGARSS), Fort Worth, TX, USA, 23–28 July 2017; pp. 3329–3332. [Google Scholar]
- BBC. India Turns to Electric Vehicles to Beat Pollution. BBC, 24 July 2019. [Google Scholar]













| Emission Source | Estimation Method and Data Source | Temporal Availability | Emission Formulation |
|---|---|---|---|
| Residential, Commercial, Industrial | Classification of AW3D30 and ASTER derived building height and VIIRS DNB | Spatial distribution for 2001 and 2011, annually interpolated total area for other years | , , |
| Agricultural fires | Thermal anomalies in MOD14 within 300 km from city considered | Daily aggregated to monthly level (2001 to 2015) | |
| Brick kilns | Visual identification in Google Earth maps | One-time counts for 2015 | |
| Vehicle | Vehicle population from Year Book, VKT from literature and Landsat derived nLPI and nBD | Annual (2001 to 2015) |
| Source | January | February | March | April | May | June | July | August | September | October | November | December |
|---|---|---|---|---|---|---|---|---|---|---|---|---|
| Residential () | 1 | s | s | r | r | r | 1 | 1 | ||||
| Commercial () | 1 | s | s | r | r | r | 1 | 1 | ||||
| Industrial () | 1 | 1 | 1 | 1 | 1 | 1 | 1 | 1 | 1 | 1 | 1 | 1 |
| Crop fire () | 1 | 1 | 1 | 1 | 1 | 1 | 1 | 1 | 1 | 1 | 1 | 1 |
| Brick-kiln () | 1 | 1 | 1 | 1 | 1 | 0 | 0 | 0 | 0 | 1 | 1 | 1 |
| Vehicle () | 1 | 0.9 | 0.8 | 0.8 | 0.8 | 0.8 | 0.8 | 0.8 | 0.8 | 0.8 | 0.8 | 1 |
| City | s | r |
|---|---|---|
| Chennai | 0.7 | 0.6 |
| Bangalore | 0.9 | 0.9 |
| Kolkata | 0.8 | 0.8 |
| Hyderabad | 0.9 | 0.6 |
| Mumbai | 0.8 | 0.4 |
| Ahmedabad | 0.6 | 0.9 |
| Jaipur | 0.9 | 0.5 |
| Others (North Indian city) | 0.6 | 0.4 |
| Tier | City | Correlation | p-Value | 95% Signficance |
|---|---|---|---|---|
| 1 | Chennai | 0.62 | 0.0000 | * |
| 1 | Mumbai | 0.46 | 0.0000 | * |
| 1 | NewDelhi | 0.61 | 0.0000 | * |
| 1 | Bangalore | 0.43 | 0.0000 | * |
| 1 | Hyderabad | 0.35 | 0.0000 | * |
| 1 | Kolkata | 0.63 | 0.0000 | * |
| 2 | Agra | 0.46 | 0.0000 | * |
| 2 | Ahmedabad | 0.22 | 0.0032 | |
| 2 | Allahabad | 0.66 | 0.0000 | * |
| 2 | Kanpur | 0.61 | 0.0000 | * |
| 2 | Lucknow | 0.52 | 0.0000 | * |
| 2 | Ludhiana | 0.28 | 0.0001 | * |
| 2 | Patna | 0.78 | 0.0000 | * |
| 2 | Raipur | 0.46 | 0.0000 | * |
| 2 | Jaipur | −0.11 | 0.1480 |
| City | Others | ||||||
|---|---|---|---|---|---|---|---|
| 1 Chennai | 38.7 ± 17.0 | 1.7 ± 1.4 | 3.8 ± 3.5 | 17.1 ± 8.9 | 0.0 ± 0.0 | 0.0 ± 0.0 | 38.6 ± 24.0 |
| 1 Mumbai | 22.2 ± 15.4 | 14.1 ± 8.8 | 8.0 ± 5.4 | 0.0 ± 0.0 | 0.9 ± 0.3 | 2.1 ± 1.3 | 52.6 ± 11.9 |
| 1 NewDelhi | 37.9 ± 10.3 | 3.0 ± 2.1 | 3.0 ± 1.9 | 13.1 ± 4.5 | 9.4 ± 2.2 | 3.1 ± 1.7 | 30.5 ± 6.9 |
| 1 Bangalore | 15.6 ± 10.9 | 9.0 ± 6.2 | 1.8 ± 1.5 | 5.2 ± 4.2 | 0.3 ± 0.1 | 3.7 ± 2.3 | 64.3 ± 22.9 |
| 1 Hyderabad | 14.2 ± 13.1 | 13.7 ± 10 | 27.7 ± 15.3 | 0.0 ± 0.0 | 0.4 ± 0.3 | 19.7 ± 13.8 | 24.3 ± 22.5 |
| 1 Kolkata | 39.3 ± 16.0 | 2.2 ± 1.8 | 9.7 ± 5.4 | 25.3 ± 7.3 | 0.2 ± 0.1 | 1.0 ± 0.9 | 22.2 ± 10.9 |
| 1 Agra | 59.1 ± 13.1 | 0.5 ± 0.4 | 2.6 ± 1.4 | 3.2 ± 1.9 | 1.2 ± 0.8 | 0.1 ± 0.1 | 33.3 ± 13.2 |
| 2 Ahmedabad | 6.8 ± 5.7 | 2.0 ± 1.4 | 7.8 ± 4.7 | 4.0 ± 3.8 | 0.7 ± 0.3 | 0.5 ± 0.3 | 78.2 ± 12.7 |
| 2 Allahabad | 65.1 ± 13.5 | 0.1 ± 0.1 | 1.0 ± 0.9 | 6.6 ± 4.4 | 0.4 ± 0.2 | 0.0 ± 0.0 | 26.8 ± 10.6 |
| 2 Kanpur | 43.3 ± 11.0 | 0.3 ± 0.3 | 1.7 ± 1.3 | 14.4 ± 6.0 | 0.7 ± 0.3 | 0.2 ± 0.2 | 39.3 ± 11.1 |
| 2 Lucknow | 49.2 ± 8.3 | 0.6 ± 0.5 | 0.7 ± 0.6 | 10.6 ± 5.4 | 0.5 ± 0.2 | 0.7 ± 0.5 | 37.7 ± 11.9 |
| 2 Ludhiana | 42.3 ± 12.0 | 0.2 ± 0.2 | 3.4 ± 1.9 | 3.6 ± 3.1 | 4.4 ± 2.3 | 0.1 ± 0.1 | 45.9 ± 10.9 |
| 2 Patna | 56.3 ± 11.5 | 0.5 ± 0.4 | 6.7 ± 3.6 | 21.6 ± 5.2 | 0.2 ± 0.1 | 0.0 ± 0.0 | 14.7 ± 8.8 |
| 2 Raipur | 22.5 ± 10.6 | 0.2 ± 0.2 | 1.7 ± 1.6 | 8.7 ± 5.5 | 1.1 ± 0.3 | 0.1 ± 0.0 | 65.7 ± 13.8 |
| 2 Jaipur | 11.9 ± 10.7 | 3.3 ± 2.8 | 6.4 ± 5.9 | 5.0 ± 4.6 | 5.7 ± 2.5 | 0.2 ± 0.1 | 67.5 ± 19.8 |
| Ref. | City | Year | Method | R | C | I | Agro | BK | V | Dust | Other | Sec. | PP |
|---|---|---|---|---|---|---|---|---|---|---|---|---|---|
| [92] | Chennai | 2010 | DM | 8 | 27 | 24 | 13 | 26 | |||||
| [86] | Chennai | 2015 | SA | 18 | 2 | 13 | 3 | 25 | 24 | 15 | |||
| [91] | Delhi(S) | 2016 | RM | 11 | 15 | 18 | 34 | 5 | 17 | ||||
| [91] | Delhi(W) | 2016 | RM | 10 | 22 | 23 | 15 | 4 | 26 | ||||
| [91] | Delhi(S) | 2016 | DM | 8 | 22 | 7 | 17 | 38 | 8 | ||||
| [91] | Delhi(W) | 2016 | DM | 10 | 30 | 4 | 28 | 17 | 11 | ||||
| [32] | Delhi | 2010 | EI | 20 | 6 | 14 | 15 | 17 | 11 | 16 | |||
| [92] | Delhi | 2010 | SA | 67 | 3 | 3 | 22 | 5 | |||||
| [30] | Delhi | 2010 | EI | 27 | 24 | 45 | 4 | ||||||
| [92] | Bangalore | 2010 | SA | 6 | 28 | 47 | 4 | 13 | |||||
| [86] | Bangalore | 2015 | DM | 26 | 4 | 2 | 2 | 27 | 23 | 16 | |||
| [93] | Hyderabad | 2010 | SA | 15 | 7 | 31 | 26 | 21 | |||||
| [86] | Agra | 2015 | DM | 36 | 3 | 0 | 0 | 14 | 10 | 36 | |||
| [94] | Kanpur | 2011 | EI | 24 | 4 | 26 | 4 | 20 | 14 | 8 | |||
| [92] | Kanpur | 2010 | SA | 27 | 17 | 2 | 23 | 5 | 25 | ||||
| [86] | Kanpur | 2015 | DM | 42 | 4 | 7 | 1 | 13 | 9 | 22 | |||
| [86] | Ludhiana | 2015 | DM | 17 | 3 | 8 | 3 | 16 | 12 | 40 | |||
| [86] | Patna | 2015 | DM | 27 | 5 | 11 | 10 | 15 | 12 | 19 | |||
| [86] | Raipur | 2015 | DM | 18 | 3 | 23 | 2 | 17 | 12 | 26 |
© 2019 by the authors. Licensee MDPI, Basel, Switzerland. This article is an open access article distributed under the terms and conditions of the Creative Commons Attribution (CC BY) license (http://creativecommons.org/licenses/by/4.0/).
Share and Cite
Misra, P.; Imasu, R.; Takeuchi, W. Impact of Urban Growth on Air Quality in Indian Cities Using Hierarchical Bayesian Approach. Atmosphere 2019, 10, 517. https://doi.org/10.3390/atmos10090517
Misra P, Imasu R, Takeuchi W. Impact of Urban Growth on Air Quality in Indian Cities Using Hierarchical Bayesian Approach. Atmosphere. 2019; 10(9):517. https://doi.org/10.3390/atmos10090517
Chicago/Turabian StyleMisra, Prakhar, Ryoichi Imasu, and Wataru Takeuchi. 2019. "Impact of Urban Growth on Air Quality in Indian Cities Using Hierarchical Bayesian Approach" Atmosphere 10, no. 9: 517. https://doi.org/10.3390/atmos10090517
APA StyleMisra, P., Imasu, R., & Takeuchi, W. (2019). Impact of Urban Growth on Air Quality in Indian Cities Using Hierarchical Bayesian Approach. Atmosphere, 10(9), 517. https://doi.org/10.3390/atmos10090517
