Analysis of a Haze Event over Nanjing, China Based on Multi-Source Data
Abstract
1. Introduction
2. Instruments and Data
2.1. Sun Photometer and Spectral Extinction Method
2.2. Ground-Based Lidar and the Fernald Method
2.3. MODIS Aerosol Products
2.4. CALIPSO and Vertical Aerosol Characteristic Data
3. Data Processing and Results
3.1. Overview of the Haze Event
3.2. Analysis of a Single Day Case
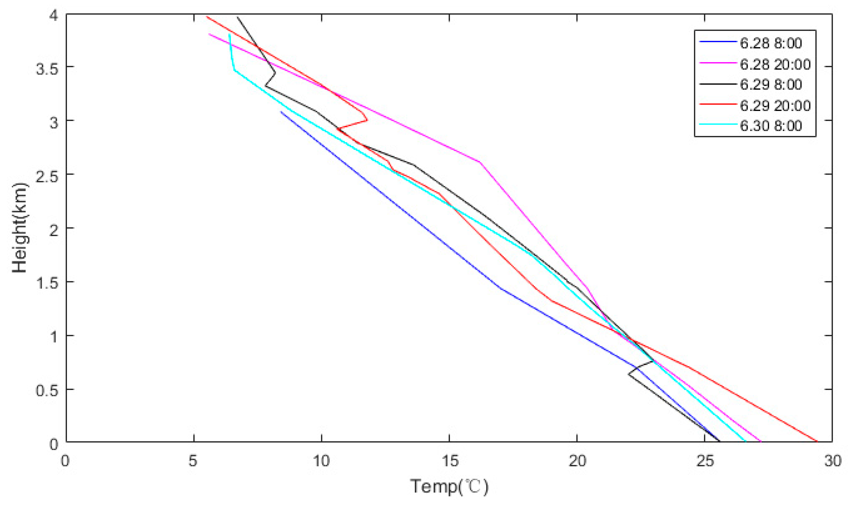
3.3. Analysis of Sounding Data and HYSPLIT Backward Trajectory Data
4. Conclusions
Author Contributions
Funding
Acknowledgments
Conflicts of Interest
References
- Wang, M.X. Aerosol and Climate. J. Clim. Environ. Stud. 2000, 5, 1–5. (In Chinese) [Google Scholar]
- Mao, J.T.; Zhang, J.H.; Wang, M.H. A review of atmospheric aerosols in China. J. Meteorol. 2002, 5, 625–634. (In Chinese) [Google Scholar]
- Kang, C.M.; Lee, H.S.; Kang, B.W.; Lee, S.K.; Sunwoo, Y. Chemical characteristics of acidic gas pollutants and PM2.5 species during hazy episodes in Seoul, South Korea. Atmos. Environ. 2004, 38, 4749–4760. [Google Scholar] [CrossRef]
- Charlson, R.J.; Langner, J.; Rodhe, H. Perturbation of the northern hemisphere radiative balance by backscattering from anthropogenic sulfate aerosols. Chem. Phys. Meteorol. 1991, 43, 152–163. [Google Scholar]
- Dubovik, O.; Smimov, A.; Holben, B.N. Accuracy assessments of aerosol optical properties retrieved from Aerosol Robotic Network (AERONET) sun and sky radiance measurements. J. Geophys. Res. 2000, 105, 9791–9806. [Google Scholar] [CrossRef]
- O’neil, N.T.; Eck, T.F.; Holben, B.N. Optical properties of boreal forest fire smoke derived from sun photometry. J. Geophys. Res. 2002, 107, AAC 6-1–ACC 6-19. [Google Scholar]
- Che, H.Z.; Shi, G.; Uchiyama, A. Intercomparison between aerosol optical properties by a PREDE sky radiometer and CIMEL sun photometer over Beijing, China. Atmos. Chem. Phys. 2008, 8, 3199–3214. [Google Scholar] [CrossRef]
- Campbell, J.R.; Reid, J.S.; Westphal, D.L. Characterizing the vertical profile of aerosol particle extinction and linear depolarization over Southeast Asia and the Maritime Continent: The 2007–2009 view from CALIOP. Atmos. Res. 2013, 122, 520–543. [Google Scholar] [CrossRef]
- Bourgeois, Q.; Ekman, A.M.L.; Krejci, R. Aerosol transport over the Andes from the Amazon Basin to the remote Pacific Ocean: A multiyear CALIOP assessment. J. Geophys. Res. Atmos. 2015, 120, 8411–8425. [Google Scholar] [CrossRef]
- Huang, J.; Guo, J.; Wang, F. CALIPSO inferred most probable heights of global dust and smoke layers. J. Geophys. Res. Atmos. 2015, 120, 5085–5100. [Google Scholar] [CrossRef]
- Li, S.; Ma, Z.; Xiong, X.; Christiani, D.C.; Wang, Z.; Liu, Y. Satellite and Ground Observations of Severe Air Pollution Episodes in the Winter of 2013 in Beijing, China. Aerosol Air Qual. Res. 2016, 16, 977–989. [Google Scholar] [CrossRef]
- Shang, H.; Chen, L.; Letu, H.; Zhao, M.; Li, S.; Bao, S. Development of a daytime cloud and haze detection algorithm for Himawari-8 satellite measurements over central and eastern China. Geophys. Res. 2017, 122, 3528–3543. [Google Scholar] [CrossRef]
- Guo, J.P.; He, J.; Liu, H.L.; Miao, Y.C.; Liu, H.; Zhai, P.M. Impact of various emission control schemes on air quality using WRF-Chem during APEC China 2014. Atmos. Environ. 2016, 140, 311–319. [Google Scholar] [CrossRef]
- Qin, K.; Rao, L.; Xu, J.; Bai, Y.; Zou, J.; Hao, N.; Li, S.; Yu, C. Estimating ground level NO2 concentrations over central-eastern china using a satellite-based geographically and temporally weighted regression model. Remote Sens. 2017, 9, 950. [Google Scholar] [CrossRef]
- Qin, K.; Wu, L.; Wong, M.S.; Letu, H.; Hu, M.; Lang, H.; Sheng, S.; Teng, J.; Xiao, X.; Yuan, L. Trans-boundary aerosol transport during a winter haze episode in China revealed by ground-based Lidar and CALIPSO satellite. Atmos. Environ. 2016, 141, 20–29. [Google Scholar] [CrossRef]
- Li, Z.; Gu, X.; Wang, L.; Li, D.; Xie, Y.; Li, K.; Dubovik, O.; Schuster, G.; Goloub, P.; Zhang, Y.; et al. Aerosol physical and chemical properties retrieved from ground-based remote sensing measurements during heavy haze days in Beijing winter. Atmos. Chem. Phys. 2013, 13, 10171–10183. [Google Scholar] [CrossRef]
- Qin, K.; Wang, L.; Wu, L.; Xu, J.; Rao, L.; Letu, H.; Shi, T.W.; Wang, R.F. A campaign for investigating aerosol optical properties during winter hazes over Shijiazhuang, China. Atmos. Res. 2017, 198, 113–122. [Google Scholar] [CrossRef]
- Kang, N.; Kumar, K.R.; Yu, X.; Yin, Y. Column-integrated aerosol optical properties and direct radiative forcing over the urban-industrial megacity Nanjing in the Yangtze River Delta, China. Environ. Sci. Pollut. Res. 2016, 23, 17532–17552. [Google Scholar] [CrossRef] [PubMed]
- Wang, H.; Cao, N.W.; Wang, P.; Yan, P.; Yang, S.B.; Xie, Y.H.; Sun, H.B.; Jing, Q.Q. Comprehensive observation and analysis of atmospheric aerosols in Nanjing. J. Remote Sens. 2017, 1. (In Chinese) [Google Scholar] [CrossRef]
- Schmid, B.; Wehrli, C. Comparison of sun photometer calibration by use of the Langley technique and the standard lamp. Appl. Opt. 1995, 34, 4500–4512. [Google Scholar] [CrossRef] [PubMed]
- Fernald, F.; Herman, B.; Reagan, J. Determination of aerosol height distribution by lidar. J. Appl. Meteorol. 1972, 11, 482–489. [Google Scholar] [CrossRef]
- Tamio, T.; Yasuhiro, S. Ratio of aerosol backscatter to extinction coefficients as determined from angular scattering measurements for use in atmospheric lidar applications. Opt. Quantum Electron. 1987, 19, 293–302. [Google Scholar]
- Yasuhiro, S. Tropospheric aerosol extinction coefficient profiles derived from scanning lidar measurements over Tsukuba, Japan, from 1990 to 1993. Appl. Opt. 1996, 35, 4941–4952. [Google Scholar]
- Xia, J.R. Detection of Atmospheric Aerosol Radiation Characteristics by Lidar. Ph.D. Thesis, Lanzhou University, Lanzhou, China, 2006. (In Chinese). [Google Scholar]
- Remer, L.A.; Kaufman, Y.J.; Tanré, D.; Mattoo, S.; Chu, D.A.; Martins, J.V.; Li, R.-R.; Ichoku, C.; Levy, R.C.; Kleidman, R.G.; et al. The MODIS Aerosol Algorithm, Products, and Validation. J. Atmos. Sci. 2005, 62, 947–973. [Google Scholar] [CrossRef]
- Omar, A.H.; Winker, D.M.; Vaughan, M.A.; Hu, Y.; Trepte, C.R.; Ferrare, R.A.; Lee, K.-P.; Hostetler, C.A.; Kittaka, C.; Rogers, R.R.; et al. The CALIPSO automated aerosol classification and lidar ratio selection algorithm. J. Atmos. Ocean. Technol. 2009, 26, 1994–2014. [Google Scholar] [CrossRef]
- Winker, D.M.; Vaughan, M.A.; Omar, A.; Hu, Y.; Powell, K.A.; Liu, Z.; Hunt, W.H.; Young, S.A. Overview of the CALIPSO Mission and CALIOP Data Processing Algorithms. J. Atmos. Ocean. Technol. 2009, 26, 2310–2323. [Google Scholar] [CrossRef]
- Liu, Z.; Liu, D.; Huang, J. Airborne dust distributions over the Tibetan Plateau and surrounding areas derived from the first year of CALIPSO Lidar observations. Atmos. Chem. Phys. 2008, 8, 5045–5060. [Google Scholar] [CrossRef]
- Huang, J.; Minnis, P.; Chen, B.; Huang, Z.; Liu, Z.; Zhao, Q.; Yi, Y.; Ayers, J.K. Long-range transport and vertical structure of Asian dust from CALIPSO and surface measurements during PACDEX. J. Geophys. Res. Atmos. 2008, 113. [Google Scholar] [CrossRef]
- Vaughan, M.; Oung, S.; Winker, D.M.; Powell, K.A.; Omar, A.H.; Liu, Z.; Hu, Y.; Hostetler, C.A. Fully automated analysis of space-based lidar data: An overview of the CALIPSO retrieval algorithms and data products. In Proceedings of the SPIE, Laser Radar Techniques for Atmospheric Sensing, Maspalomas, Spain, 14–16 September 2004; Volume 5575, pp. 16–30. [Google Scholar]
- Omar, A.H.; Winker, D.; Won, J. Aerosol models for the CALIPSO lidar inversion algorithms. In Proceedings of the SPIE, Laser Radar Technology for Remote Sensing, Barcelona, Spain, 8–9 September 2003; Volume 5240, pp. 153–164. [Google Scholar]
- Eck, T.F.; Holben, B.N.; Reid, J.S.; Dubovik, O.; Smirnov, A.; O’Neill, N.T.; Slutsker, I.; Kinne, S. Wavelength dependence of the optical depth of biomass burning, urban, and desert dust aerosols. J. Geophys. Res. Atmos. 1999, 104, 31333–31349. [Google Scholar] [CrossRef]
- Liu, X.; Gu, J.; Li, Y.; Cheng, Y.; Qu, Y.; Han, T.; Wang, J.; Tian, H.; Chen, J.; Zhang, Y. Increase of aerosol scattering by hygroscopic growth: Observation, modeling, and implications on visibility. Atmos. Res. 2013, 132–133, 91–101. [Google Scholar] [CrossRef]
- Sun, Y.; Wang, Z.; Fu, P.; Jiang, Q.; Yang, T.; Li, J.; Ge, X. The impact of relative humidity on aerosol composition and evolution processes during wintertime in Beijing, China. Atmos. Environ. 2013, 77, 927–934. [Google Scholar] [CrossRef]
- Wu, Y.; Zhang, R.; Tian, P.; Tao, J.; Hsu, S.-C.; Yan, P.; Wang, Q.; Cao, J.; Zhang, X.; Xia, X. Effect of ambient humidity on the light absorption amplification of black carbon in Beijing during January 2013. Atmos. Environ. 2016, 124, 217–223. [Google Scholar] [CrossRef]
- Chen, W.; Yan, L.; LI, C.C.; Tang, H.Z. Retrieval and verification of high resolution AOD of MODIS. In Proceedings of the 2010 International Conference on Remote Sensing, Hangzhou, China, 27–31 August 2010; pp. 260–262. (In Chinese). [Google Scholar]
- Zhu, J.S. High resolution retrieval of aerosols by satellite. Urban Geogr. 2015, 10, 251–252. (In Chinese) [Google Scholar]
- Chen, X.X.; Jin, L.J.; Zhu, J.M. Diurnal variation of atmospheric aerosol number concentration at the bottom of Huangshan Mountain. Environ. Sci. China 2013, 33, 1167–1173. (In Chinese) [Google Scholar]
- Han, F.; Xu, J. Vertical distribution characteristics of aerosols in Beijing-Tianjin-Hebei region detected by CALIOP. Environ. Eng. 2017, 6, 108–113. (In Chinese) [Google Scholar]
- Wang, J.; Niu, S.J.; Xu, D. Ground-based observation of aerosol optical characteristics in Nanjing. Meteorol. Sci. 2017, 2, 248–255. (In Chinese) [Google Scholar]
- Chiang, C.W.; Chen, W.N.; Liang, W.A.; Das, S.K.; Nee, J.B. Optical properties of tropospheric aerosols based on measurements of lidar, sun-photometer, and visibility at Chung-Li (25° N, 121° E). Atmos. Environ. 2007, 41, 4128–4137. [Google Scholar] [CrossRef]
- Wang, Y. Analysis of a floating dust process based on vertical distribution of aerosol optical characteristics. Environ. Sci. 2014, 35, 830–838. (In Chinese) [Google Scholar]
- Wang, X.; Cao, N.W.; Huang, J.T.; Wang, H.; Zhou, J.; Zheng, K.D. Vertical distribution characteristics of aerosols and influences of meteorological elements during a haze process in Xi’an. Environ. Sci. Res. 2018, 31, 1519–1526. (In Chinese) [Google Scholar]
- Wang, H.; Zhu, B.; Shen, J.; An, J.; Yin, Y.; Kang, H. Number size distribution of aerosols at Mt. Huang and Nanjing in the Yangtze River Delta, China: Effects of air masses and characteristics of new particle formation. Atmos. Res. 2014, 150, 42–56. [Google Scholar] [CrossRef]














| Aerosol Type | Volume Depolarization Ratio | Color Ratio | Backscattering Coefficient/(km−1·sr−1) |
|---|---|---|---|
| Clean | <0.075 | — | <0.0005 |
| Sand-dust | >0.200 | >0.500 | — |
| Ocean | — | 0–0.75 | — |
| Pollution | <0.075 | <0.500 | >0.0005 |
| Smoke-dust | 0.075–0.200 | — | — |
| Date | CE-318 | Mie-Lidar | MODIS | CALIPSO | Absolute Difference | Relative Difference | ||
|---|---|---|---|---|---|---|---|---|
| MO-CE | ML-CE | MO-CE | ML-CE | |||||
| 6.12 | 0.3672 | 0.2946 | 0.4200 | — | 0.0528 | −0.0724 | 14.4% | −19.8% |
| 6.13 | 0.4045 | 0.3072 | 0.4500 | 0.3326 | 0.0455 | −0.0973 | 11.2% | −24.1% |
| 6.14 | 0.7108 | 0.6531 | 0.7400 | — | 0.0292 | −0.0577 | 4.1% | −8.1% |
| 6.15 | 0.3628 | 0.2503 | 0.3100 | — | −0.0528 | −0.1125 | −14.6% | −31.0% |
| 6.24 | 0.5922 | 0.5311 | 0.6400 | — | 0.0478 | −0.0611 | 8.1% | −10.3% |
| 6.25 | 0.4206 | 0.3647 | 0.3400 | — | −0.0806 | −0.0559 | −19.2% | −13.3% |
| 6.26 | 0.4061 | 0.3528 | 0.1800 | — | −0.2261 | −0.0533 | −55.7% | −13.1% |
| 6.29 | 0.6372 | 0.5730 | 0.7500 | 0.5642 | 0.1128 | −0.0642 | 17.7% | −10.1% |
| 6.30 | 0.2854 | 0.2561 | 0.2700 | — | −0.0154 | −0.0293 | −5.4% | −10.3% |
© 2019 by the authors. Licensee MDPI, Basel, Switzerland. This article is an open access article distributed under the terms and conditions of the Creative Commons Attribution (CC BY) license (http://creativecommons.org/licenses/by/4.0/).
Share and Cite
Zhang, Y.; Wang, J.; Bu, L. Analysis of a Haze Event over Nanjing, China Based on Multi-Source Data. Atmosphere 2019, 10, 338. https://doi.org/10.3390/atmos10060338
Zhang Y, Wang J, Bu L. Analysis of a Haze Event over Nanjing, China Based on Multi-Source Data. Atmosphere. 2019; 10(6):338. https://doi.org/10.3390/atmos10060338
Chicago/Turabian StyleZhang, Yiyang, Jing Wang, and Lingbing Bu. 2019. "Analysis of a Haze Event over Nanjing, China Based on Multi-Source Data" Atmosphere 10, no. 6: 338. https://doi.org/10.3390/atmos10060338
APA StyleZhang, Y., Wang, J., & Bu, L. (2019). Analysis of a Haze Event over Nanjing, China Based on Multi-Source Data. Atmosphere, 10(6), 338. https://doi.org/10.3390/atmos10060338

