Observational Evidence of the Transition from Shallow to Deep Convection in the Western Caribbean Trade Winds
Abstract
1. Introduction
2. Materials and Methods
2.1. Data and Study Area
2.2. Selection of Cases with Small Synoptic Forcing
2.3. Classification of Convection Regime
3. Meteorological Conditions during SC and DC Regimes
3.1. Characteristics of SC and DC Regimes
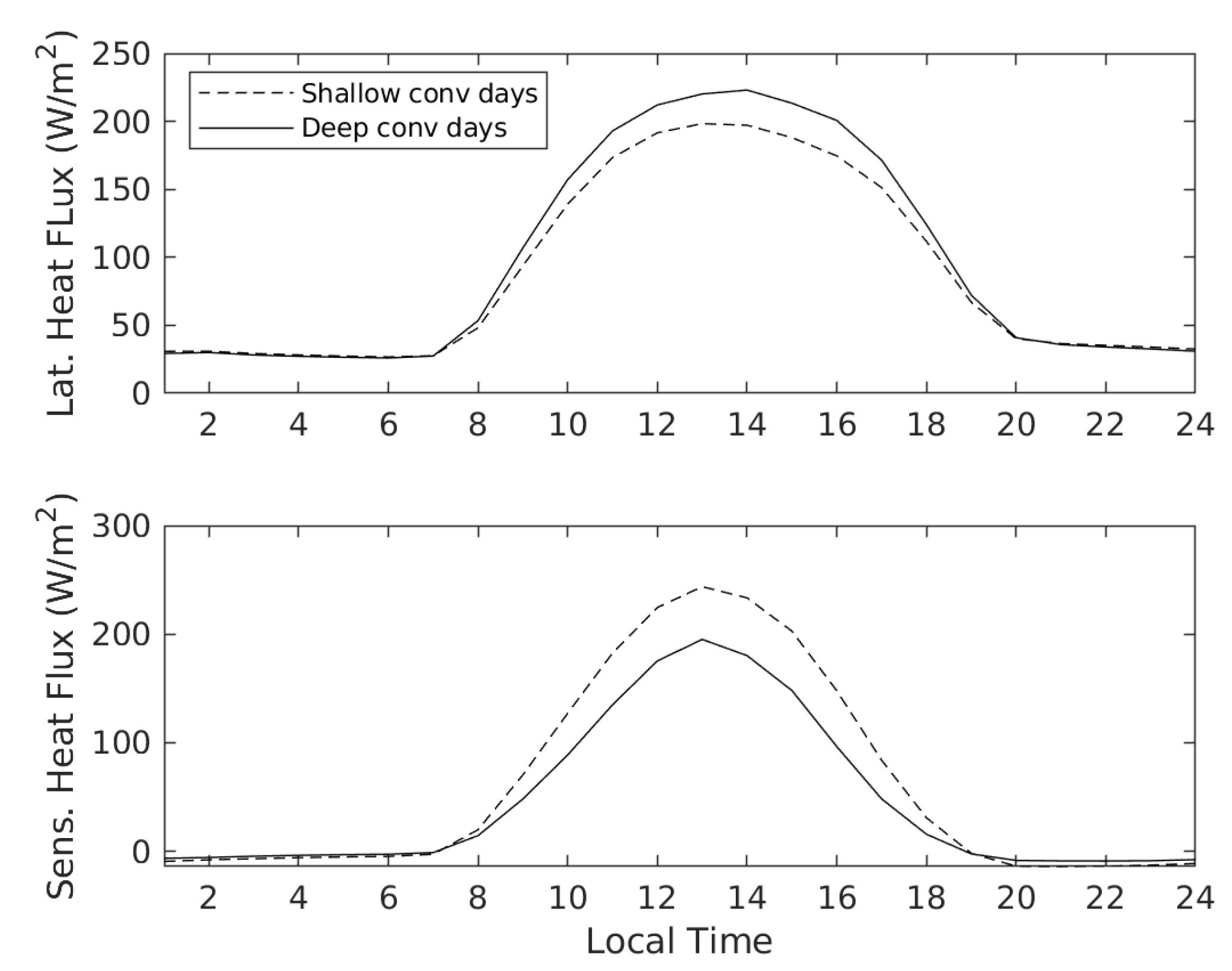
3.2. Surface Conditions
3.3. Tropospheric Humidity Profiles
3.4. Wind Field
3.5. Stability
4. Relationship of Atmospheric Variables with the Transition
4.1. Definition and Calculation of the Transition
4.2. Convection Parameters
5. Discussion and Conclusions
Supplementary Materials
Author Contributions
Funding
Acknowledgments
Conflicts of Interest
References
- Nesbitt, S.W.; Zipser, E.J. The diurnal cycle of rainfall and convective intensity according to three years of TRMM measurements. J. Clim. 2003, 16, 1456–1475. [Google Scholar] [CrossRef]
- Hohenegger, C.; Stevens, B. Controls on and impacts of the diurnal cycle of deep convective precipitation. J. Adv. Model. Earth Syst. 2013, 5, 801–815. [Google Scholar] [CrossRef]
- Dai, A.; Trenberth, K.E. The Diurnal Cycle and Its Depiction in the Community Climate System Model. J. Clim. 2004, 17, 930–951. [Google Scholar] [CrossRef]
- Collier, J.C.; Bowman, K.P. Diurnal cycle of tropical precipitation in a general circulation model. J. Geophys. Res. 2004, 109, D17105. [Google Scholar] [CrossRef]
- Bechtold, P.; Chaboureau, J.P.; Beljaars, A.; Betts, A.K.; Köhler, M.; Miller, M.; Redelsperger, J.L. The simulation of the diurnal cycle of convective precipitation over land in a global model. Q. J. R. Meteorol. Soc 2004, 130, 3119–3137. [Google Scholar] [CrossRef]
- Dai, A. Precipitation Characteristics in Eighteen Coupled Climate Models. J. Clim. 2006, 19, 4605–4630. [Google Scholar] [CrossRef]
- Lee, M.I.; Schubert, S.; Suarez, M.J.; Held, I.M.; Lau, N.C.; Ploshay, J.J.; Kumar, A.; Kim, H.K.; Schemm, J.K.E. An analysis of the warm-season diurnal cycle over the continental United States and northern Mexico in general circulation models. J. Hydrometeorol. 2007, 8, 344–366. [Google Scholar] [CrossRef]
- Stephens, G.L.; LEcuyer, T.; Forbes, R.; Gettlemen, A.; Golaz, J.C.; Bodas-Salcedo, A.; Suzuki, K.; Gabriel, P.; Haynes, J. Dreary state of precipitation in global models. J. Geophys. Res. 2010, 115, D24211. [Google Scholar] [CrossRef]
- Hannak, L.; Knippertz, P.; Fink, A.H.; Kniffka, A.; Pante, G. Why Do Global Climate Models Struggle to Represent Low-Level Clouds in the West African Summer Monsoon? J. Clim. 2017, 30, 1665–1687. [Google Scholar] [CrossRef]
- Yin, J.; Porporato, A. Diurnal cloud cycle biases in climate models. Nat. Commun. 2017, 8. [Google Scholar] [CrossRef]
- Guichard, F.; Petch, J.; Redelsperger, J.L.; Bechtold, P.; Chaboureau, J.P.; Cheinet, S.; Grabowski, W.; Greiner, H.; Jones, C.; Köhler, M.; et al. Modelling the diurnal cycle of deep precipitating convection over land with cloud-resolving models and single-column models. Q. J. R. Meteorol. Soc. 2004, 130, 3139–3172. [Google Scholar] [CrossRef]
- Derbyshire, S.H.; Beau, I.; Bechtold, P.; Grandpeix, J.Y.; Piriou, J.M.; Redelsperger, J.L.; Soares, P.M.M. Sensitivity of moist convection to environmental humidity. Q. J. R. Meteorol. Soc. 2004, 130, 3055–3079. [Google Scholar] [CrossRef]
- Zhang, Y.; Klein, S.A. Mechanisms Affecting the Transition from Shallow to Deep Convection over Land: Inferences from Observations of the Diurnal Cycle Collected at the ARM Southern Great Plains Site. J. Atmos. Sci. 2010, 67, 2943–2959. [Google Scholar] [CrossRef]
- Kirshbaum, D.J. Cloud-Resolving Simulations of Deep Convection over a Heated Mountain. J. Atmos. Sci. 2011, 68, 361–378. [Google Scholar] [CrossRef]
- Hagos, S.; Feng, Z.; Landu, K.; Long, C.N. Advection, moistening, and shallow-to-deep convection transitions during the initiation and propagation of Madden-Julian Oscillation. J. Adv. Model. Earth Syst. 2014, 6, 938–949. [Google Scholar] [CrossRef]
- Schiro, K.A.; Neelin, J.D.; Adams, D.K.; Lintner, B.R. Deep Convection and Column Water Vapor over Tropical Land versus Tropical Ocean: A Comparison between the Amazon and the Tropical Western Pacific. J. Atmos. Sci. 2016, 73, 4043–4063. [Google Scholar] [CrossRef]
- Zhuang, Y.; Fu, R.; Marengo, J.A.; Wang, H. Seasonal variation of shallow-to-deep convection transition and its link to the environmental conditions over the Central Amazon. J. Geophys. Res. Atmos. 2017, 122, 2649–2666. [Google Scholar] [CrossRef]
- Schiro, K.A.; Neelin, J.D. Deep Convective Organization, Moisture Vertical Structure, and Convective Transition Using Deep-Inflow Mixing. J. Atmos. Sci. 2019, 76, 966–987. [Google Scholar] [CrossRef]
- Tompkins, A.M. Organization of Tropical Convection in Low Vertical Wind Shears: The Role of Cold Pools. J. Atmos. Sci. 2001, 58, 1650–1672. [Google Scholar] [CrossRef]
- Khairoutdinov, M.; Randall, D. High-Resolution Simulation of Shallow-to-Deep Convection Transition over Land. J. Atmos. Sci. 2006, 63, 3421–3436. [Google Scholar] [CrossRef]
- Böing, S.J.; Jonker, H.J.J.; Siebesma, A.P.; Grabowski, W.W. Influence of the Subcloud Layer on the Development of a Deep Convective Ensemble. J. Atmos. Sci. 2012, 69, 2682–2698. [Google Scholar] [CrossRef]
- Schlemmer, L.; Hohenegger, C. The formation of wider and deeper clouds as a result of cold-pool dynamics. J. Atmos. Sci. 2014, 71, 2842–2858. [Google Scholar] [CrossRef]
- Torri, G.; Kuang, Z.; Tian, Y. Mechanisms for convection triggering by cold pools. Geophys. Res. Lett. 2015, 42, 1943–1950. [Google Scholar] [CrossRef]
- Kurowski, M.J.; Suselj, K.; Grabowski, W.W.; Teixeira, J. Shallow-to-Deep Transition of Continental Moist Convection: Cold Pools, Surface Fluxes, and Mesoscale Organization. J. Atmos. Sci. 2018, 75, 4071–4090. [Google Scholar] [CrossRef]
- Houston, A.L.; Niyogi, D. The Sensitivity of Convective Initiation to the Lapse Rate of the Active Cloud-Bearing Layer. Mon. Weather Rev. 2007, 135, 3013–3032. [Google Scholar] [CrossRef]
- Wu, C.M.; Stevens, B.; Arakawa, A. What Controls the Transition from Shallow to Deep Convection? J. Atmos. Sci. 2009, 66, 1793–1806. [Google Scholar] [CrossRef]
- Rieck, M.; Hohenegger, C.; Heerwaarden, C.C.v. The Influence of Land Surface Heterogeneities on Cloud Size Development. Mon. Weather Rev. 2014, 142, 3830–3846. [Google Scholar] [CrossRef]
- Lee, J.M.; Zhang, Y.; Klein, S. The Effect of Land Surface Heterogeneity and Background Wind on Shallow Cumulus Clouds and the Transition to Deeper Convection. J. Atmos. Sci. 2019, 76, 401–419. [Google Scholar] [CrossRef]
- Zhuang, Y.; Fu, R.; Wang, H. How Do Environmental Conditions Influence Vertical Buoyancy Structure and Shallow-to-Deep Convection Transition across Different Climate Regimes? J. Atmos. Sci. 2018, 75, 1909–1932. [Google Scholar] [CrossRef]
- ERA5: Fifth Generation of ECMWF Atmospheric Reanalyses of the Global Climate. Available online: https://www.ecmwf.int/en/forecasts/datasets/reanalysis-datasets/era5 (accessed on 1 May 2019).
- Ware, R.; Fulker, D.W.; Stein, S.A.; Anderson, D.N.; Avery, S.K.; Clark, R.D.; Droegemeier, K.; Kuettner, J.P.; Minster, J.B. Suominet: A real-time national GPS network for atmospheric research and education. Bull. Am. Meteorol. Soc. 2000, 87, 677–694. [Google Scholar] [CrossRef]
- Funk, C.; Peterson, P.; Landsfeld, M.; Pedreros, D.; Verdin, J.; Shukla, S.; Husak, G.; Rowland, J.; Harrison, L.; Hoell, A.; et al. The climate hazards infrared precipitation with stations—A new environmental record for monitoring extremes. Sci. Data 2015, 2, 150066. [Google Scholar] [CrossRef] [PubMed]
- Yin, Y.; Albertson, J.D.; Rigby, J.R.; Porporato, A. Land and atmospheric controls on initiation and intensity of moist convection: CAPE dynamics and LCL crossings. Water Resour. Res. 2015, 51, 8476–8493. [Google Scholar] [CrossRef]
- Yin, J.; Porporato, A. Response and Feedback of Cloud Diurnal Cycle to Rising Temperatures. arXiv 2017, arXiv:1703.08727. [Google Scholar]
- Schmitz, J.T.; Mullen, S.L. Water Vapor Transport Associated with the Summertime North American Monsoon as Depicted by ECMWF Analyses. J. Clim. 1996, 9, 1621–1634. [Google Scholar] [CrossRef]
- Lin, X.; Wen, Z.; Zhou, W.; Wu, R.; Chen, R. Effects of Tropical Cyclone Activity on the Boundary Moisture Budget over the Eastern China Monsoon Region. Adv. Atmos. Sci. 2017, 34, 700–712. [Google Scholar] [CrossRef]















| Vertical Intervals | |||
|---|---|---|---|
| Convection Regime | 0.5–4 km | 4–8 km | 8–13 km |
| SC | max | max | max |
| DC | max | max | max |
© 2019 by the authors. Licensee MDPI, Basel, Switzerland. This article is an open access article distributed under the terms and conditions of the Creative Commons Attribution (CC BY) license (http://creativecommons.org/licenses/by/4.0/).
Share and Cite
Díaz-Esteban, Y.; Raga, G.B. Observational Evidence of the Transition from Shallow to Deep Convection in the Western Caribbean Trade Winds. Atmosphere 2019, 10, 700. https://doi.org/10.3390/atmos10110700
Díaz-Esteban Y, Raga GB. Observational Evidence of the Transition from Shallow to Deep Convection in the Western Caribbean Trade Winds. Atmosphere. 2019; 10(11):700. https://doi.org/10.3390/atmos10110700
Chicago/Turabian StyleDíaz-Esteban, Yanet, and Graciela B. Raga. 2019. "Observational Evidence of the Transition from Shallow to Deep Convection in the Western Caribbean Trade Winds" Atmosphere 10, no. 11: 700. https://doi.org/10.3390/atmos10110700
APA StyleDíaz-Esteban, Y., & Raga, G. B. (2019). Observational Evidence of the Transition from Shallow to Deep Convection in the Western Caribbean Trade Winds. Atmosphere, 10(11), 700. https://doi.org/10.3390/atmos10110700

