Telomerase Inhibitory Effects of Red Pigment Rubropunctatin and Statin Monacolin L Isolated from Red Yeast Rice
Abstract
:1. Introduction
2. Materials and Methods
2.1. Chemicals and Materials
2.2. Monascus Strain and Solid State Culture of Monascus
2.3. Isolation of Compounds from Red Yeast Rice
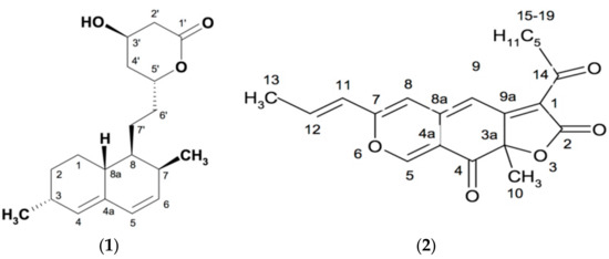
2.4. Structural Identification of Isolated Compounds
2.5. Cell Lines and Cell Culture
2.6. Preparation of Test Sample Solutions
2.7. Cancer Cell Proliferation Inhibitory Assay
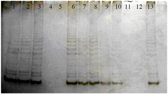
2.8. Telomeric Repeat Amplification Protocol-PCR (TRAP-PCR) Assay
2.9. Evaluation of Taq DNA Polymerase Inhibitory Activity
2.10. Apoptosis Assay by Flow Cytometry
2.11. Total Protein Assay
2.12. Western Blot Analysis for Gene Expression of Human Telomerase Reverse Transcriptase (hTERT)
2.13. Statistical Analysis
3. Results and Discussion
3.1. Telomerase Inhibitory Activities of Red Yeast Rice and Isolated Compounds
3.2. Anti-Proliferation and Apoptosis Effects of Monascus Metabolites against Cancer Cells
3.3. Expression of Human Telomerase Reverse Transcriptase (hTERT)
Acknowledgments
Author Contributions
Conflicts of Interest
References
- Heber, D.; Yip, I.; Ashley, J.M. Cholesterol-lowering effects of a proprietary Chinese red yeast rice dietary supplement. Am. J. Clin. Nutr. 1999, 69, 231–236. [Google Scholar] [PubMed]
- Wild, D.; Toth, G.; Humpf, H.U. New Monascus metabolite isolated from red yeast rice (Angkak, Red Koji). J. Agric. Food Chem. 2002, 50, 3999–4002. [Google Scholar] [CrossRef]
- Campoy, S.; Rumbero, A.; Martin, J.F.; Liras, P. Characterization of a hyperpigmenting mutant of Monascuspurpureus IB1: Identification of two novel pigment chemical structures. Appl. Microbiol. Biotechnol. 2006, 70, 488–496. [Google Scholar] [CrossRef] [PubMed]
- Akihisa, T.; Tokuda, H.; Ukiya, M.; Kiyota, A.; Yasukawa, K.; Sakamoto, N.; Kimura, Y.; Suzuki, T.; Takayasu, J.; Nishino, H. Antitumor-initiating effects of monascin, an azaphilonoid pigment from the extract of Monascuspilosus fermented rice (red-mold rice). Chem. Biodivers. 2007, 2, 1305–1309. [Google Scholar] [CrossRef] [PubMed]
- Knecht, A.; Cramer, B.; Humpf, H.U. New monascus metabolites: Structure elucidation and toxicological properties studied with immortalized human kidney epithelial cells. Mol. Nutr. Food Res. 2006, 50, 314–321. [Google Scholar] [CrossRef]
- Martinkova, L.; Juzlova, P.; Kren, V.; Kucerova, Z.; Havlicek, V.; Olsovsky, P.; Hovorka, O.; Rihova, B.; Vesely, D. Biological activities of oligoketide pigments of Monascuspurpureus. Food Addit. Contam. 1999, 16, 15–24. [Google Scholar] [CrossRef] [PubMed]
- Martinkova, L.; Juzlova, P.; Vesely, D. Biological activities of oligoketide pigments of Monascuspurpureus. J. Appl. Bacteriol. 1995, 79, 609–616. [Google Scholar] [CrossRef]
- Kohama, Y.; Matsumoto, S.; Mimura, T.; Tanabe, N.; Inada, A.; Nakanishi, T. Isolation and identification of hypotensive principle in red-mold rice. Chem. Pharm. Bull. 1987, 35, 2484–2489. [Google Scholar] [CrossRef] [PubMed]
- Dimitroulakos, J.; Ye, L.Y.; Benzaquen, M.; Moore, M.J.; Kamel-Reid, S.; Freedman, M.H.; Yeger, H.; Penn, L.Z. Differential sensitivity of various pediatric cancers and squamous cell carcinomas to lovastatin-induced apoptosis: therapeutic implications. Clin. Cancer Res. 2001, 7, 158–167. [Google Scholar] [PubMed]
- Chan, K.K.W.; Oza, A.M.; Siu, L.L. The statins as anticancer agents. Clin. Cancer Res. 2003, 9, 10–19. [Google Scholar] [PubMed]
- Hong, M.Y.; Seeram, N.P.; Zhang, Y.; Heber, D. Anticancer effects of Chinese red yeast rice beyond monacolin K alone on colon cancer cells. J. Nutr. Biochem. 2008, 19, 448–458. [Google Scholar] [CrossRef] [PubMed]
- Zhang, Z.H.; Ali, Z.; Khan, S.I.; Khan, K.A. Cytotoxic monacolins from red yeast rice, a Chinese medicine and food. Food Chem. 2016, 202, 262–268. [Google Scholar] [CrossRef] [PubMed]
- Yasukawa, K.M.; Takahashi, S.; Yamanouchi, S.; Takido, M. Inhibitory effect of oral administration of Monascus pigment on tumor promotion in two-stage carcinogenesis in mouse skin. Oncology 1996, 53, 247–249. [Google Scholar] [CrossRef]
- Chen, R.J.; Hung, C.M.; Chen, Y.L.; Wu, M.D.; Yuan, G.F.; Wang, Y.J. Monascuspiloin induces apoptosis and autophagic cell death in human prostate cancer cells via the Akt and AMPK signaling pathways. J. Agric. Food Chem. 2012, 60, 7185–7193. [Google Scholar] [CrossRef] [PubMed]
- Xu, B.J.; Wang, Q.J.; Jia, X.Q.; Sung, C.K. Enhanced lovastatin production by solid state fermentation of Monascusruber. Biotechnol. Bioprocess Eng. 2005, 10, 78–84. [Google Scholar] [CrossRef]
- Wang, Q.J.; Sung, C.K.; Xu, B.J. Characterization of monascus metabolites isolated from red yeast rice (Monascusruber-fermented rice) and their proliferation inhibitory effects against cancer cells. Int. J. Pharm. Pharmaceu Res. 2016, 7, 302–317. [Google Scholar]
- Kim, N.W.; Wu, F. Advances in quantification and characterization of telomerase activity by the telomeric repeat amplification protocol (TRAP). Nucleic Acids Res. 1997, 25, 2595–2597. [Google Scholar] [CrossRef] [PubMed]
- Xu, B.J.; Sung, C.K. Telomerase inhibitory effects and anti-proliferative properties of onion and other natural spices against cancer cells. Food Biosci. 2015, 10, 80–85. [Google Scholar] [CrossRef]
- Bradford, M.M. A rapid and sensitive method for the quantitation of microgram quantities of protein utilizing the principle of protein-dye binding. Anal. Biochem. 1976, 72, 248–254. [Google Scholar] [CrossRef]
- Kim, N.W.; Piatyszek, M.A.; Prowse, K.R.; Harley, C.B.; West, M.D.; Ho, P.L.; Coviello, G.M.; Wright, W.E.; Weinrich, S.L.; Shay, J.W. Specific association of human telomerase activity with immortal cells and cancer. Science 1994, 266, 2011–2015. [Google Scholar] [CrossRef] [PubMed]
- Hong, M.Y.; Henning, S.; Moro, A.; Seeram, N.P.; Seeram, N.P.; Zhang, Y.; Heber, D. Chinese red yeast rice inhibition of prostate tumor growth in SCID mice. Cancer Prev. Res. 2011, 4, 608–615. [Google Scholar] [CrossRef] [PubMed]
- Meyerson, M.; Counter, C.M.; Eaton, E.N.; Ellisen, L.W.; Steiner, P.; Caddle, S.D.; Ziaugra, L.; Beijersbergen, R.L.; Davidoff, M.J.; Liu, Q.; et al. hEST2, the putative human telomerase catalytic subunit gene, is up-regulated in tumor cells and during immortalization. Cell 1997, 90, 785–795. [Google Scholar] [CrossRef]
- Weinrich, S.L.; Pruzan, R.; Ma, L.; Ouellette, M.; Tesmer, V.M.; Holt, S.E.; Bodnar, A.G.; Lichtsteiner, S.; Kim, N.W.; Trager, J.B.; et al. Reconstitution of human telomerase with the template RNA component hTR and the catalytic protein subunit hTRT. Nat. Genet. 1997, 17, 498–502. [Google Scholar] [CrossRef] [PubMed]
- Nakayama, J.; Tahara, H.; Tahara, E.; Saito, M.; Ito, K.; Nakamura, H.; Nakanishi, T.; Tahara, E.; Ide, T.; Ishikawa, F. Telomerase activation by hTRT in human normal fibroblasts and hepatocellular carcinomas. Nat. Genet. 1998, 18, 65–68. [Google Scholar] [CrossRef] [PubMed]
- Kumaki, F.; Kawai, T.; Hiroi, S.; Shinomiya, N.; Oseki, Y.; Ferrans, V.J.; Torikata, C. Telomerase activity and expression of human telomerase RNA component and human telomerase reverse transcriptase in lung carcinomas. Hum. Pathol. 2001, 32, 188–195. [Google Scholar] [CrossRef] [PubMed]





| Control | Monacolin L | Rubropunctatin | HCPT | cis-Platinum | |
| All-gated % | 100 | 100 | 100 | 100 | 100 |
| M1-gated % | 4.79 | 32.97 | 6.65 | 39.72 | 5.66 |

| Sources | Compounds | TRAP-PCRinhibitory | Taq Polymerase Inhibitory Activity | Telomerase Inhibitory Activity |
|---|---|---|---|---|
| Anticancer drugs | Taxol | − | − | − |
| cis-Platinum | + | − | + | |
| ATRA | − | − | − | |
| HCPT | W | − | W | |
| Isolated compounds | Monacolin K | W | − | W |
| Monacolin L | + | − | + | |
| Rubropunctatin | + | − | + |
| Compounds | Cell Viability (%) of SNU-1 * | IC50 (µg/mL) ** | ||||||
|---|---|---|---|---|---|---|---|---|
| Concentration | 40 (µg/mL) | 20 (µg/mL) | 10 (µg/mL) | 5 (µg/mL) | 2.5 (µg/mL) | 1.25 (µg/mL) | 0 (µg/mL) | |
| Monacolin L | --- | 37.5 ± 3.4 e | 48.9 ± 4.5 d | 57.0 ± 6.2 c | 58.5 ± 4.3 c | 66.3 ± 5.9 b | 100 ± 8.9 a | 9.8 |
| Rubropunctatin | 10.4 ± 0.8 | 23.5 ± 2.5 e | 55.6 ± 4.1 d | 69.4 ± 6.4 c | 83.7 ± 2.6 b | 87.8 ± 1.9 b | 100 ± 2.8 a | 13.3 |
| cis-Platinum | 15.8 ± 3.9 | 26.5 ± 2.2 f | 38.4 ± 3.3 e | 53.1 ± 10.6 d | 69.6 ± 6.6 c | 78.0 ± 6.5 b | 100 ± 3.3 a | 8.1 |
| HCPT | --- | 23.5 ± 8.8 d | 25.2 ± 5.9 cd | 29.3 ± 5.0 c | 32.6 ± 8.4 bc | 35.5 ± 0.6 b | 100 ± 7.7 a | 2.3 |
| Cell Viability (%) of SK-OV-3 * | ||||||||
| Monacolin L | --- | 68.6 ± 2.4 e | 73.7 ± 1.9 d | 84.3 ± 1.3 c | 87.0± 1.3 bc | 91.9 ± 6.2 b | 100 ± 7.5 a | 28.9 |
| Rubropunctatin | --- | 25.4 ± 2.8 f | 44.1 ± 1.3 e | 64.3 ± 0.9 d | 82.1 ± 3.5 c | 92.8 ± 3.2 b | 100 ± 3.1 a | 8.2 |
| Taxol | 24.5 ± 1.3 g | 34.4 ± 2.5 f | 53.3 ± 3.7 e | 67.9 ± 2.2 d | 74.8 ± 0.9 c | 85.0 ± 2.5 b | 100 ± 4.2 a | 11.4 |
| cis-Platinum | 18.3 ± 3.4 g | 31.1 ± 1.3 f | 53.3 ± 1.2 e | 67.8 ± 1.0 d | 79.6 ± 0.3 c | 87.0 ± 0.7 b | 100 ± 2.9 a | 11.2 |
© 2017 by the authors. Licensee MDPI, Basel, Switzerland. This article is an open access article distributed under the terms and conditions of the Creative Commons Attribution (CC BY) license (http://creativecommons.org/licenses/by/4.0/).
Share and Cite
Xu, B.; Wang, Q.; Sung, C. Telomerase Inhibitory Effects of Red Pigment Rubropunctatin and Statin Monacolin L Isolated from Red Yeast Rice. Genes 2017, 8, 129. https://doi.org/10.3390/genes8050129
Xu B, Wang Q, Sung C. Telomerase Inhibitory Effects of Red Pigment Rubropunctatin and Statin Monacolin L Isolated from Red Yeast Rice. Genes. 2017; 8(5):129. https://doi.org/10.3390/genes8050129
Chicago/Turabian StyleXu, Baojun, Qijun Wang, and Changkeun Sung. 2017. "Telomerase Inhibitory Effects of Red Pigment Rubropunctatin and Statin Monacolin L Isolated from Red Yeast Rice" Genes 8, no. 5: 129. https://doi.org/10.3390/genes8050129
APA StyleXu, B., Wang, Q., & Sung, C. (2017). Telomerase Inhibitory Effects of Red Pigment Rubropunctatin and Statin Monacolin L Isolated from Red Yeast Rice. Genes, 8(5), 129. https://doi.org/10.3390/genes8050129

