Transcriptomic Insights into the Molecular Responses of Red Imported Fire Ants (Solenopsis invicta) to Beta-Cypermethrin and Cordyceps cicadae
Abstract
1. Introduction
2. Materials and Methods
2.1. Insect Collection and Maintenance
2.2. Pesticides and Treatment
2.3. RNA Sequencing and Analysis
2.4. Bioinformatics Analysis of RNA-Seq
2.5. RT-qPCR Validation
3. Results
3.1. Sequencing, RNA-Seq Assembly, and Transcriptomic Analysis
3.2. Differentially Expressed Genes Analysis of S. invicta with Different Treatments
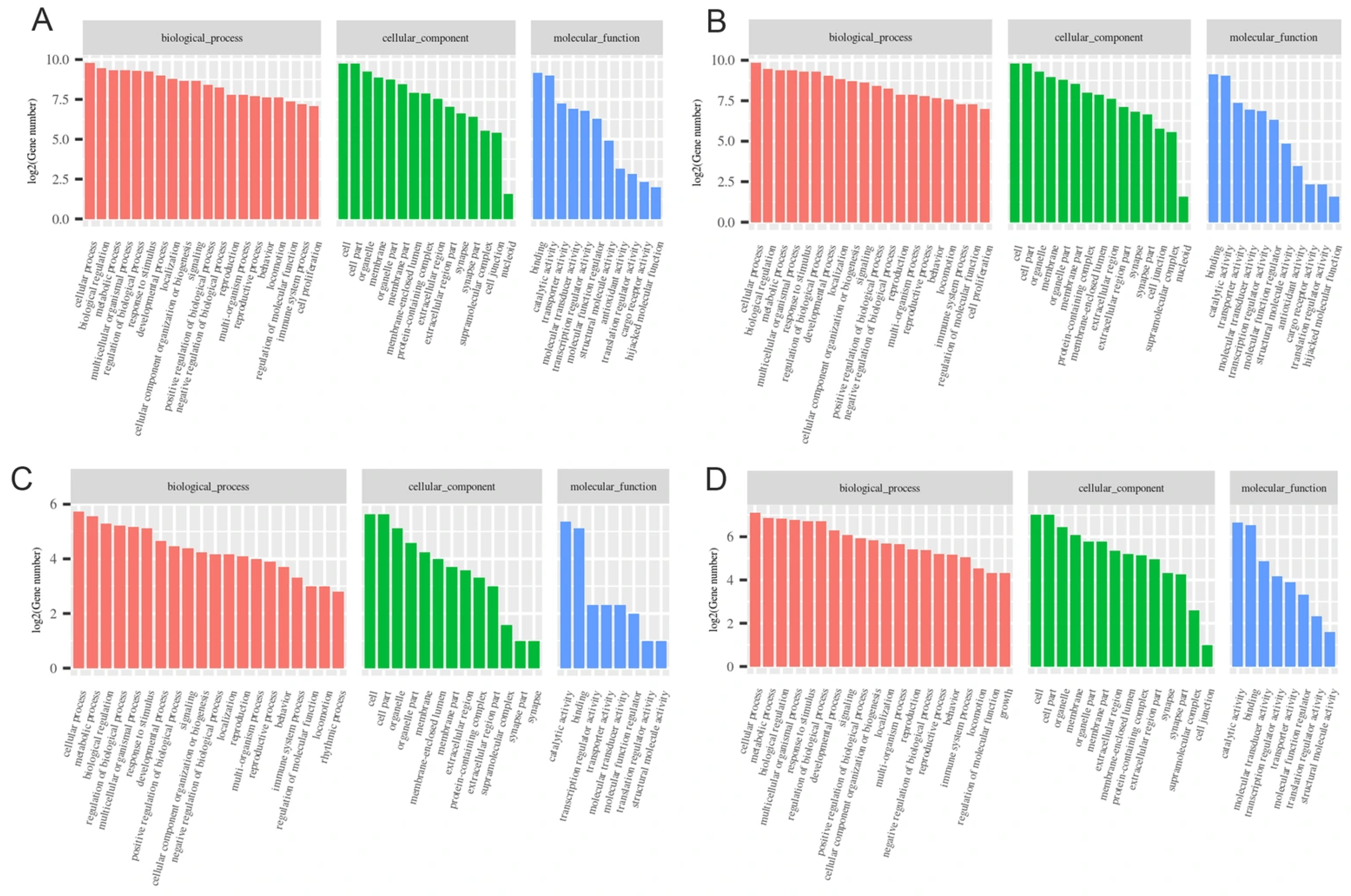
3.3. GO and KEGG Enrichment Analysis of Differentially Expressed Genes
3.4. Analysis of Putative Genes Involved in the Immunity Mechanism
3.5. qRT-PCR Validation of Immunity-Related Genes
4. Discussion
5. Conclusions
Supplementary Materials
Author Contributions
Funding
Institutional Review Board Statement
Informed Consent Statement
Data Availability Statement
Conflicts of Interest
References
- Khan, S.A.; Weemaels, A.I.; Liang, M.R.; Guénard, B. Ecological and environmental impacts of the red imported fire ants (Solenopsis invicta) in mainland China, Hong Kong and Macau. Global Environ. Res. 2025, 28, 159–170. [Google Scholar]
- Allen, C.R.; Birge, H.E.; Slater, J.; Wiggers, E. The invasive ant, Solenopsis invicta, reduces herpetofauna richness and abundance. Biol. Invasions 2017, 19, 713–722. [Google Scholar] [CrossRef]
- Song, J.Y.; Zhang, H.; Li, M.; Han, W.H.; Yin, Y.X.; Lei, J.P. Prediction of spatiotemporal invasive risk of the red import fire ant, Solenopsis invicta (Hymenoptera: Formicidae), in China. Insects 2021, 12, 874. [Google Scholar] [CrossRef] [PubMed]
- Wang, X.L.; Qin, Y.J.; Xu, Y.L.; Feng, X.D.; Zhao, S.Q.; Lu, Y.G.; Li, Z.H. Surveillance and invasive risk of the red imported fire ant, Solenopsis invicta Buren in China. Pest Manag. Sci. 2023, 79, 1342–1351. [Google Scholar] [CrossRef] [PubMed]
- Korzukhin, M.D.; Porter, S.D.; Thompson, L.C.; Wiley, S. Modeling temperature-dependent range limits for the fire ant Solenopsis invicta (Hymenoptera: Formicidae) in the United States. Environ. Entomol. 2001, 30, 645–655. [Google Scholar] [CrossRef]
- Lafleur, B.; Hooper-Bùi, L.M.H.; Mumma, E.P.; Geaghan, J.P. Soil fertility and plant growth in soils from pine forests and plantations: Effect of invasive red imported fire ants Solenopsis invicta (Buren). Pdeobiologia 2005, 49, 415–423. [Google Scholar] [CrossRef]
- Junior, V.H.; Larsson, C.E. Anaphylaxis caused by stings from the Solenopsis invicta, lava-pés ant or red imported fire ant. An. Bras. Dermatol. 2015, 90, 22–25. [Google Scholar] [CrossRef]
- Kemp, S.F.; DeShazo, R.D.; Moffitt, J.E.; Williams, D.F.; Buhner, W.A. Expanding habitat of the imported fire ant (Solenopsis invicta): A public health concern. J. Allergy Clin. Immun. 2000, 105, 683–691. [Google Scholar] [CrossRef] [PubMed]
- Xu, Y.J.; Lu, Y.Y.; Pan, Z.P.; Zeng, L. Heat tolerance of the red Iimported fire ant, Solenopsis invicta (Hymenoptera: Formicidae) in mainland China. Sociobiology 2009, 54, 115–126. [Google Scholar]
- Ross, K.G. Differential reproduction in multiple-queen colonies of the fire ant Solenopsis invicta (Hymenoptera: Formicidae). Behav. Ecol. Sociobiol. 1988, 23, 341–355. [Google Scholar] [CrossRef]
- Drees, B.M.; Calixto, A.A.; Nester, P.R. Integrated pest management concepts for red imported fire ants Solenopsis invicta (Hymenoptera: Formicidae). Insect Sci. 2013, 20, 429–438. [Google Scholar] [CrossRef]
- Zhang, L.; Wang, L.; Chen, J.; Zhang, J.L.; He, Y.H.; Lu, Y.Y.; Cai, J.C.; Chen, X.; Wen, X.J.; Xu, Z.P.; et al. Toxicity, horizontal transfer, and physiological and behavioral effects of cycloxaprid against Solenopsis invicta (Hymenoptera: Formicidae). Pest Manag. Sci. 2022, 78, 2228–2239. [Google Scholar] [CrossRef]
- Siddiqui, J.A.; Luo, Y.Y.; Sheikh, U.A.A.; Bamisile, B.S.; Khan, M.M.; Imran, M.; Haffeez, M.; Chani, M.I.; Lei, N.; Xu, Y.J. Transcriptome analysis reveals differential effects of beta-cypermethrin and fipronil insecticides on detoxification mechanisms in Solenopsis invicta. Front. Physiol. 2022, 13, 1018731. [Google Scholar] [CrossRef] [PubMed]
- Damalas, C.A.; Koutroubas, S.D. Current status and recent developments in biopesticide use. Agriculture 2018, 8, 13. [Google Scholar] [CrossRef]
- Sakamoto, H.; Goka, K. Acute toxicity of typical ant control agents to the red imported fire ant, Solenopsis invicta (Hymenoptera: Formicidae). Appl. Entomol. Zool. 2021, 56, 217–224. [Google Scholar] [CrossRef]
- Wan, N.F.; Fu, L.W.; Dainese, M.; Kiaer, L.P.; Hu, Y.Q.; Xin, F.F.; Goulson, D.; Woodcock, B.A.; Vanbergen, A.J.; Spurgeon, D.J.; et al. Pesticides have negative effects on non-target organisms. Nat. Commun. 2025, 16, 1360. [Google Scholar] [CrossRef]
- Chan, K.H.; Guénard, B. Ecological and socio-economic impacts of the red import fire ant, Solenopsis invicta (Hymenoptera: Formicidae), on urban agricultural ecosystems. Urban Ecosyst. 2020, 23, 1–12. [Google Scholar] [CrossRef]
- Barbieri, R.F.; Lester, P.J.; Miller, A.S.; Ryan, K.G. A neurotoxic pesticide changes the outcome of aggressive interactions between native and invasive ants. Proc. R. Soc. B Biol. Sci. 2013, 280, 20132157. [Google Scholar] [CrossRef]
- Mishra, R.; Chiu, J.C.; Hua, G.; Tawari, N.R.; Adang, M.J.; Sial, A.A. High throughput sequencing reveals Drosophila suzukii responses to insecticides. Insects 2018, 25, 928–945. [Google Scholar] [CrossRef] [PubMed]
- Wu, H.X.; Xu, Y.T.; Zafar, J.; De Mandal, S.; Lin, L.J.; Lu, Y.Y.; Jin, F.L.; Pang, R.; Xu, X.X. Transcriptomic analysis reveals the impact of the biopesticide Metarhizium anisopliae on the immune system of major workers in Solenopsis invicta. Insects 2023, 14, 701. [Google Scholar] [CrossRef]
- Shu, B.S.; Yu, H.K.; Li, Y.N.; Zhong, H.X.; Li, X.L.; Cao, L.; Lin, J.T. Identification of azadirachtin responsive genes in Spodoptera frugiperda larvae based on RNA-seq. Pestic. Biochem. Phys. 2021, 172, 104745. [Google Scholar] [CrossRef] [PubMed]
- Wei, N.; Zhong, Y.Z.; Lin, L.L.; Xie, M.H.; Zhang, G.L.; Su, W.H.; Li, C.R.; Chen, H.L. Transcriptome analysis and identification of insecticide tolerance-related genes after exposure to insecticide in Sitobion avenae. Genes 2019, 10, 951. [Google Scholar] [CrossRef]
- Du, C.; Jiang, K.; Xu, Z.; Wang, L.; Chen, J.; Wang, C. Transcriptome and metabolome comprehensive analysis reveal the molecular basis of slow-action and non-repellency of cycloxaprid against an eusocial pest, Solenopsis invicta. Front. Physiol. 2023, 14, 1274416. [Google Scholar] [CrossRef]
- Hassan, A.; Kang, L.D.; Zhang, K.X.; Wang, L.; Qin, X.J.; Fang, G.B.; Lu, Y.Y.; Huang, Q.Y. Effect of entomopathogenic fungi on behavior and physiology of Solenopsis invicta (Hymenoptera, Formicidae). J. Econ. Entomol. 2024, 117, 825–833. [Google Scholar] [CrossRef]
- Siddiqui, J.A.; Zhang, Y.; Luo, Y.; Bamisile, B.S.; Rehman, N.U.; Islam, W.; Qasim, M.; Jiang, Q.J.; Xu, Y.J. Comprehensive detoxification mechanism assessment of red imported fire ant (Solenopsis invicta) against indoxacarb. Molecules 2022, 27, 870. [Google Scholar] [CrossRef]
- Xiong, T.; Ling, S.Q.; Liu, J.L.; Zeng, X. Insecticidal and P450 mediate mechanism of fluralaner against Red Imported Fire Ant, Solenopsis invicta (Hymenoptera: Formicidae). Pestic. Biochem. Phys. 2020, 187, 105184. [Google Scholar] [CrossRef] [PubMed]
- Zhang, B.Z.; Kong, F.C.; Wang, H.T.; Gao, X.W.; Zeng, X.N.; Shi, X.Y. Insecticide induction of O-demethylase activity and expression of cytochrome P450 genes in the red imported fire ant (Solenopsis invicta Buren). J. Integr. Agric. 2016, 15, 135–144. [Google Scholar] [CrossRef]
- Li, Z.Z.; Hywel-Jones, N.L.; Luan, F.G.; Zhang, S.L.; Sun, C.S.; Chen, Z.A.; Li, C.R.; Tan, Y.J.; Dong, J.F. Biodiversity of cordycipitoid fungi associated with Isaria cicadae I: Literature study. Mycosystema 2020, 39, 2191–2201. [Google Scholar]
- Yaginuma, K. Paecilomyces cicadae Samson isolated from soil and cicada, and its virulence to the peach fruit moth, Carposina sasakii Matsumura. Jpn. J. Appl. Entomol. Zool. 2002, 46, 225–231. [Google Scholar] [CrossRef]
- Xu, H.H.; Hao, Z.P.; Wang, L.F.; Li, S.J.; Guo, Y.R.; Dang, X.L. Suppression of transferrin expression enhances the susceptibility of Plutella xylostella to Isaria cicadae. Insects 2020, 11, 281. [Google Scholar] [CrossRef] [PubMed]
- Zhang, S.L. Screening and Pathogenicity Test of Cordyceps sp. Strains Highly Virulent on Spodoptera litura (Fabricius). Master’s Thesis, Guizhou University, Guiyang, China, 2020. [Google Scholar]
- Thanh, D.D.; Nishi, O.; Wasano, N.; Yasunaga-Aoki, C. Identification of entomopathogenic fungus Cordyceps cicadae isolated from soil using common cutworm Spodoptera litura (Lepidoptera: Noctuidae) as bait and its high virulence comparable to generalist Metarhizium anisopliae complex. Fungal Biol. 2025, 129, 101612. [Google Scholar] [CrossRef]
- Ning, D.D.; Yang, F.; Xiao, Q.; Ran, H.; Xu, Y.J. A simple and efficient method for preventing ant escape (Hymenoptera: Formicidae). Myrmecol. News 2019, 29, 57–65. [Google Scholar]
- Liu, Z.; Liu, Y.L.; Chai, Y.Q.; Li, X.L.; Cai, R.H.; Liu, Y.G. Identification of entomopathogenic fungus Isaria cicadae strain 022017-9 and its pathogenicity against the bird cherry-oat aphid Rhopalosiphum padi. J. Plant Prot. 2025, 52, 934–942. [Google Scholar]
- Chen, S.; Zhou, Y.; Chen, Y.; Gu, J. Fastp: An ultra-fast all-in-one FASTQ preprocessor. Bioinformatics 2018, 34, i884–i890. [Google Scholar] [CrossRef] [PubMed]
- Su, W.L.; Liu, N.; Mei, L.; Luo, J.; Zhu, Y.J.; Liang, Z. Global transcriptomic profile analysis of genes involved in lignin biosynthesis and accumulation induced by boron deficiency in poplar roots. Biomolecules 2019, 9, 156. [Google Scholar] [CrossRef]
- Li, B.; Dewey, C.N. RSEM: Accurate transcript quantification from RNA-Seq data with or without a reference genome. BMC Bioinform. 2011, 12, 323. [Google Scholar] [CrossRef] [PubMed]
- Bakhtiarizadeh, M.R.; Salehi, A.; Alamouti, A.A.; Abdollahi-Arpanahi, R.; Salami, S.A. Deep transcriptome analysis using RNA-Seq suggests novel insights into molecular aspects of fat-tail metabolism in sheep. Sci. Rep. 2019, 9, 9203. [Google Scholar] [CrossRef]
- Yu, G.; Wang, L.G.; Han, Y.; He, Q.Y. ClusterProfiler: An R package for comparing biological themes among gene clusters. Omics 2012, 16, 284–287. [Google Scholar] [CrossRef]
- Ashburner, M.; Ball, C.A.; Blake, J.A.; Botstein, D.; Butler, H.; Cherry, J.M.; Davis, A.P.; Dolinski, K.; Dwight, S.S.; Eppig, J.T.; et al. Gene ontology: Tool for the unification of biology. The gene ontology consortium. Nat. Genet. 2000, 25, 25–29. [Google Scholar] [CrossRef] [PubMed]
- Kanehisa, M.; Goto, S. KEGG: Kyoto encyclopedia of genes and genomes. Nucleic Acids Res. 2000, 28, 27–30. [Google Scholar] [CrossRef]
- Soderlund, D.M. Molecular mechanisms of pyrethroid insecticide neurotoxicity: Recent advances. Arch. Toxicol. 2012, 86, 165–181. [Google Scholar] [CrossRef]
- Feyereisen, R. Insect CYP genes and P450 enzymes. Insect Mol. Biol. 2011, 8, 236–316. [Google Scholar]
- Bass, C.; Jones, C.M. Editorial overview: Pests and resistance: Resistance to pesticides in arthropod crop pests and disease vectors: Mechanisms, models and tools. Curr. Opin. Insect Sci. 2018, 27, 4–7. [Google Scholar] [CrossRef] [PubMed]
- Contreras, E.; Rausell, C.; Real, M.D. Proteome response of Tribolium castaneum Larvae to Bacillus thuringiensis toxin producing strains. PLoS ONE 2013, 8, e55330. [Google Scholar] [CrossRef]
- Chouvenc, T.; Helmick, E.E.; Su, N.Y. Hybridization of two major termite invaders as a consequence of human activity. PLoS ONE 2015, 10, e0120745. [Google Scholar] [CrossRef]
- Kliot, A.; Ghanim, M. Fitness costs associated with insecticide resistance. Pest Manag. Sci. 2012, 68, 1431–1437. [Google Scholar] [CrossRef]
- Guo, Z.J.; Zhu, L.H.; Cheng, Z.Q.; Dong, L.; Guo, L.; Bai, Y.; Wu, Q.J.; Wang, S.L.; Yang, X.; Wen, X.; et al. A midgut transcriptional regulatory loop favors an insect host to withstand a bacterial pathogen. Innovation 2024, 5, 100675. [Google Scholar] [CrossRef]






| Genes | Primer Name | Primer Sequences (5′ to 3′) |
|---|---|---|
| Actin | Actin-F | GCATGATCGGAAAGTGCG |
| Actin-R | TTCAGCCACTTGACTGCG | |
| GST | 856-F | CGGCGTCAATAGGAGTGG |
| 856-R | AGGCTCGTTTTTTGGGGT | |
| NRKBIA | 776-F | GGGGGAGGCAGGTAGTTG |
| 776-R | CTGGCTCAGGGTCTCGGT | |
| PRSS1 | 596-F | TTCTGGCTCTGTCATTCTCTC |
| 596-R | CTACTCTTACATCTTCGGCTTG | |
| Lyszyme1 | 088-F | AGGCTGTATTTGCGAAGTTAG |
| 088-R | TCTCGTTGTTTAGAGTTGGTTT |
| Sample | Raw Reads | Clean Reads | Mapped Reads (Mapping Ratio) | GC (%) | Q20 (%) | Q30 (%) |
|---|---|---|---|---|---|---|
| BC1_1 | 36,990,840 | 36,984,444 | 20,247,788 (54.75%) | 38.61 | 99.35 | 97.22 |
| BC1_2 | 43,369,054 | 43,361,724 | 23,327,463 (53.8%) | 37.63 | 99.34 | 97.25 |
| BC1_3 | 36,522,838 | 36,516,052 | 19,830,862 (54.31%) | 38.82 | 99.34 | 97.19 |
| BC2_1 | 41,610,378 | 41,603,650 | 25,560,163 (61.44%) | 35.73 | 99.48 | 97.84 |
| BC2_2 | 39,028,878 | 39,019,494 | 25,856,168 (66.26%) | 39.01 | 99.31 | 97.09 |
| BC2_3 | 43,189,140 | 43,179,732 | 28,536,821 (66.09%) | 37.67 | 99.35 | 97.30 |
| CC1_1 | 36,103,882 | 36,095,696 | 26,415,118 (73.18%) | 38.95 | 99.27 | 96.88 |
| CC1_2 | 42,632,520 | 42,623,122 | 30,866,339 (72.42%) | 38.99 | 99.37 | 97.28 |
| CC1_3 | 38,055,848 | 38,046,904 | 27,421,140 (72.07%) | 38.63 | 99.37 | 97.26 |
| CC2_1 | 36,659,382 | 36,651,402 | 25,045,137 (68.33%) | 38.79 | 99.36 | 97.23 |
| CC2_2 | 36,568,296 | 36,560,846 | 24,580,295 (67.23%) | 38.53 | 99.32 | 97.12 |
| CC2_3 | 40,082,874 | 40,074,562 | 27,646,031(68.99%) | 39.66 | 99.38 | 97.32 |
| CK1 | 37,519,836 | 37,510,904 | 25,060,975 (66.81%) | 38.75 | 99.30 | 97.06 |
| CK2 | 41,974,696 | 41,966,738 | 27,671,487 (65.94%) | 38.05 | 99.34 | 97.24 |
| CK3 | 45,336,226 | 45,327,086 | 30,075,982 (66.35%) | 39.60 | 99.28 | 96.98 |
Disclaimer/Publisher’s Note: The statements, opinions and data contained in all publications are solely those of the individual author(s) and contributor(s) and not of MDPI and/or the editor(s). MDPI and/or the editor(s) disclaim responsibility for any injury to people or property resulting from any ideas, methods, instructions or products referred to in the content. |
© 2026 by the authors. Licensee MDPI, Basel, Switzerland. This article is an open access article distributed under the terms and conditions of the Creative Commons Attribution (CC BY) license.
Share and Cite
Cai, R.; Li, X.; Chai, Y.; Liu, Z.; Pan, Y.; Liu, Y. Transcriptomic Insights into the Molecular Responses of Red Imported Fire Ants (Solenopsis invicta) to Beta-Cypermethrin and Cordyceps cicadae. Genes 2026, 17, 92. https://doi.org/10.3390/genes17010092
Cai R, Li X, Chai Y, Liu Z, Pan Y, Liu Y. Transcriptomic Insights into the Molecular Responses of Red Imported Fire Ants (Solenopsis invicta) to Beta-Cypermethrin and Cordyceps cicadae. Genes. 2026; 17(1):92. https://doi.org/10.3390/genes17010092
Chicago/Turabian StyleCai, Ruihang, Xiaola Li, Yiqiu Chai, Zhe Liu, Yihu Pan, and Yougao Liu. 2026. "Transcriptomic Insights into the Molecular Responses of Red Imported Fire Ants (Solenopsis invicta) to Beta-Cypermethrin and Cordyceps cicadae" Genes 17, no. 1: 92. https://doi.org/10.3390/genes17010092
APA StyleCai, R., Li, X., Chai, Y., Liu, Z., Pan, Y., & Liu, Y. (2026). Transcriptomic Insights into the Molecular Responses of Red Imported Fire Ants (Solenopsis invicta) to Beta-Cypermethrin and Cordyceps cicadae. Genes, 17(1), 92. https://doi.org/10.3390/genes17010092
