Genome-Wide Identification of the Zinc Finger-Homeodomain (ZF-HD) Gene Family and Their Response to Cold Stress in Rosa chinensis
Abstract
1. Introduction
2. Methods
2.1. Identification of ZF-HD Gene Family Members in Rosa chinensis
2.2. Phylogenetic Analysis
2.3. Chromosomal Localization Analysis
2.4. Gene Structure and Conserved Motif Analysis
2.5. Three-Dimensional Protein Structure Prediction
2.6. Expression Pattern Analysis
2.7. Cold Response of ZF-HD Gene Family in Rosa chinensis
3. Results
3.1. Identification of the ZF-HD Gene Family
3.2. Phylogenetic Analysis of RcZF-HD Genes
3.3. Chromosomal Distribution of Rose ZF-HD Genes
3.4. Gene Structure Analysis Rose ZF-HD Genes
3.5. The Conserved Motif Analysis RcZF-HD Genes
3.6. Three-Dimensional Structure Prediction of Rose RcZF-HD Genes
3.7. Expression Pattern Analysis of ZF-HD Genes in Rose Tissues
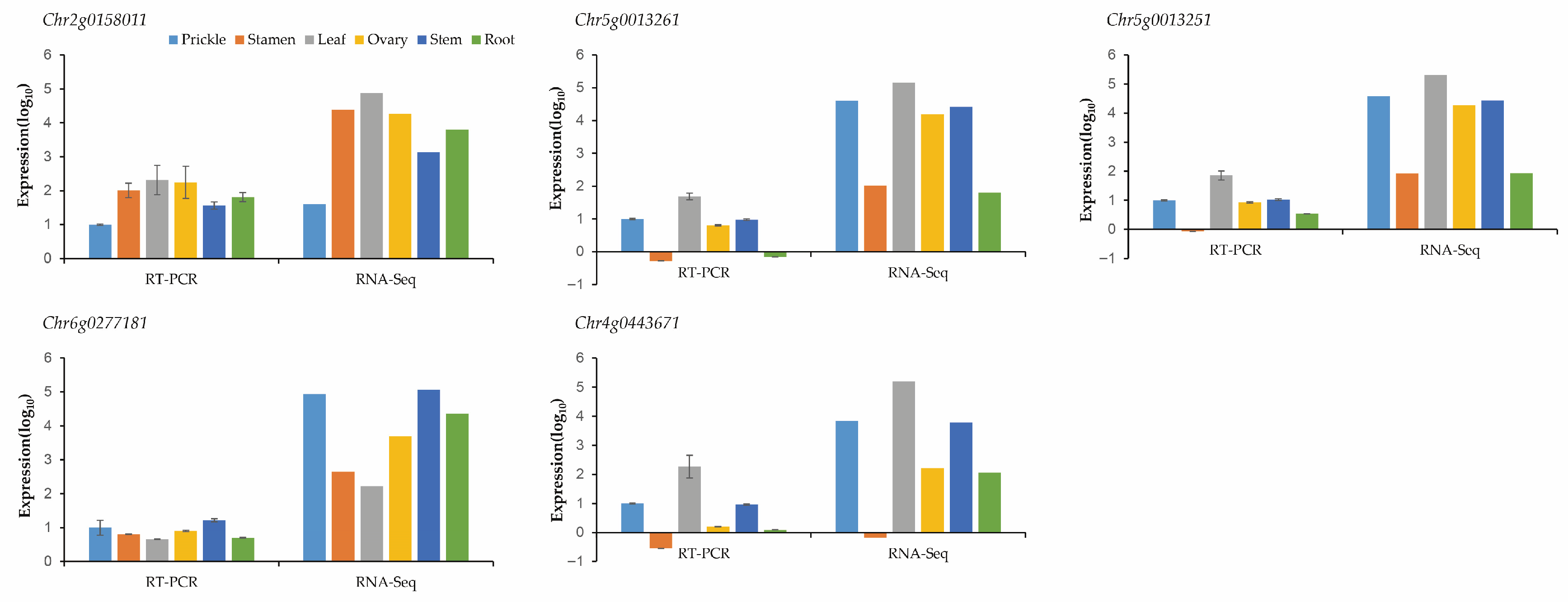
3.8. The Certification of RNA-Seq Data by qRT-PCR Results
3.9. The Response Analysis of ZF-HD Genes in Rose Petal to Cold Stress
4. Discussion
4.1. Evolutionary and Phylogenetic Insights of RcZF-HD Genes
4.2. Gene Structure and Motif Analysis for RcZF-HD Genes in Rosa chinensis
4.3. Tissue-Specific Expression for RcZF-HD Genes
4.4. Cold Stress Response for RcZF-HD Genes
5. Conclusions
Supplementary Materials
Author Contributions
Funding
Institutional Review Board Statement
Informed Consent Statement
Data Availability Statement
Acknowledgments
Conflicts of Interest
References
- Virág, E.; Nagy, Á.; Tóth, B.B.; Kutasy, B.; Pallos, J.P.; Szigeti, Z.M.; Máthé, C.; Kardos, G.; Hegedűs, G. Master Regulatory Transcription Factors in β-Aminobutyric Acid-Induced Resistance (BABA-IR): A Perspective on Phytohormone Biosynthesis and Signaling in Arabidopsis thaliana and Hordeum vulgare. Int. J. Mol. Sci. 2024, 25, 9179. [Google Scholar] [CrossRef] [PubMed]
- Virág, E.; Tóth, B.B.; Kutasy, B.; Nagy, Á.; Pákozdi, K.; Pallos, J.P.; Kardos, G.; Hegedűs, G. Promoter Motif Profiling and Binding Site Distribution Analysis of Transcription Factors Predict Autoand Cross-Regulatory Mechanisms in Arabidopsis Flowering Genes. Int. J. Mol. Sci. 2025, 26, 11152. [Google Scholar] [CrossRef]
- Takatsuji, H. Zinc-finger proteins: The classical zinc finger emerges in contemporary plant science. Plant Mol. Biol. 1999, 39, 1073–1078. [Google Scholar] [CrossRef]
- Hong, S.Y.; Kim, O.K.; Kim, S.G.; Yang, M.S.; Park, C.M. Nuclear import and DNA binding of the ZHD5 transcription factor is modulated by a competitive peptide inhibitor in Arabidopsis. J. Biol. Chem. 2011, 286, 1659–1668. [Google Scholar] [CrossRef] [PubMed]
- Hu, W.; Ma, H. Characterization of a novel putative zinc finger gene MIF1: Involvement in multiple hormonal regulation of Arabidopsis development. Plant J. 2006, 45, 399–422. [Google Scholar] [CrossRef] [PubMed]
- Hu, W.; Feng, B.M.; Ma, H. Ectopic expression of the Arabidopsis MINI ZINC FINGER1 and MIF3 genes induces shoot meristems on leaf margins. Plant Mol. Biol. 2011, 76, 57–68. [Google Scholar] [CrossRef]
- Tan, Q.K.G.; Irish, F.V. The Arabidopsis zincfinger-homeodomain genes encode proteins with unique biochemical properties that are coordinately expressed during floral development. Plant Physiol. 2006, 140, 1095–1108. [Google Scholar] [CrossRef]
- Jain, M.; Tyagi, A.K.; Khurana, J.P. Genome-wide identification, classification, evolutionary expansion and expression analyses of homeobox genes in rice. FEBS J. 2008, 275, 2845–2861. [Google Scholar] [CrossRef]
- Wu, L.C.; Li, M.N.; Tian, L.; Wang, S.X.; Wu, L.J.; Ku, L.X.; Zhang, J.; Song, X.H.; Liu, H.P.; Chen, Y.H. Global transcriptome analysis of the maize (Zea mays L.) inbred line 08LF during leaf senescence initiated by pollination-prevention. PLoS ONE 2017, 12, e0185838. [Google Scholar] [CrossRef]
- Liu, H.; Yang, Y.; Zhang, L.S. Zinc Finger-Homeodomain transcriptional factors (ZF-HDs) in wheat (Triticum aestivum L.): Identification, evolution, expression analysis and response to abiotic stresses. Plants 2021, 10, 593. [Google Scholar] [CrossRef] [PubMed]
- Xu, G.X.; Guo, C.C.; Shan, H.Y.; Kong, H.Z. Divergence of duplicate genes in exon-intron structure. Proc. Natl. Acad. Sci. USA 2012, 109, 1187–1192. [Google Scholar] [CrossRef]
- Hu, W.; De-Pamphilis, C.W.; Ma, H. Phylogenetic analysis of the plant-specific Zinc Finger-Homeobox and Mini Zinc Finger gene families. J. Integr. Plant Biol. 2008, 50, 1031–1045. [Google Scholar] [CrossRef] [PubMed]
- Wang, W.L.; Wu, P.; Li, Y.; Hou, X.L. Genome-wide analysis and expression patterns of ZF-HD transcription factors under different developmental tissues and abiotic stresses in Chinese cabbage. Mol. Genet. Genom. 2016, 291, 1451–1464. [Google Scholar] [CrossRef] [PubMed]
- Abdullah, M.; Cheng, X.; Cao, Y.P.; Su, X.Q.; Manzoor, M.A.; Gao, J.S.; Cai, Y.P.; Lin, Y. Zinc Finger-Homeodomain transcriptional factors (ZHDs) in upland cotton (Gossypium hirsutum): Genome-wide identification and expression analysis in fiber development. Front. Genet. 2018, 9, 357. [Google Scholar] [CrossRef]
- Shalmani, A.; Muhammad, I.; Sharif, R.; Zhao, C.P.; Ullah, U.; Zhang, D.; Jing, X.Q.; Amin, B.; Jia, P.; Tahir, M.M.; et al. Zinc Finger-Homeodomain genes: Evolution, functional differentiation, and expression profiling under flowering-related treatments and abiotic stresses in plants. Evol. Bioinform. 2019, 15, 1176934319867930. [Google Scholar] [CrossRef]
- Zhou, C.Z.; Zhu, C.; Xie, S.Y.; Weng, J.J.; Lin, Y.L.; Lai, Z.X.; Guo, Y.Q. Genome-wide analysis of zinc finger motif-associated homeodomain (ZF-HD) family genes and their expression profiles under abiotic stresses and phytohormones stimuli in tea plants (Camellia sinensis). Sci. Hortic. 2021, 281, 109976. [Google Scholar] [CrossRef]
- Schmidt, R.; Kunkowska, A.B.; Schippers, J.H. Role of reactive oxygen species during cell expansion in leaves. Plant Physiol. 2016, 172, 2098–2106. [Google Scholar] [CrossRef]
- Kim, J.B.; Kang, J.Y.; Park, M.Y.; Song, M.; Kim, Y.C.; Kim, S.Y. Arabidopsis zinc finger homeodomain protein ZHD5 promotes shoot regeneration and confers other cytokinin-related phenotypes when overexpressed. Plant Cell Tissue Organ Cult. 2019, 137, 181–185. [Google Scholar] [CrossRef]
- Tran, L.S.P.; Nakashima, K.; Sakuma, Y.; Osakabe, Y.; Qin, F.; Simpson, S.D.; Maruyama, K.; Fujita, Y.; Shinozaki, K.; Yamaguchi-Shinozaki, K. Co-expression of the stress-inducible zinc finger homeodomain ZFHD1 and NAC transcription factors enhances expression of the ERD1 gene in Arabidopsis. Plant J. 2007, 49, 46–63. [Google Scholar] [CrossRef]
- Figueiredo, D.D.; Barros, P.M.; Cordeiro, A.M.; Serra, T.S.; Lourenco, T.; Chander, S.; Oliveira, M.M.; Saibo, N.J. Seven zinc-finger transcription factors are novel regulators of the stress responsive gene OsDREB1B. J. Exp. Bot. 2012, 63, 3643–3656. [Google Scholar] [CrossRef]
- Tan, Q.P.; Jiang, S.; Wang, N.; Liu, X.; Zhang, X.H.; Wen, B.B.; Fang, Y.H.; He, H.J.; Chen, X.D.; Fu, X.L.; et al. OVATE family protein PpOFP1 physically interacts with PpZFHD1 and confers salt tolerance to tomato and yeast. Front. Plant Sci. 2021, 12, 759955. [Google Scholar] [CrossRef] [PubMed]
- Niu, H.L.; Xia, P.L.; Hu, Y.F.; Zhan, C.; Li, Y.T.; Gong, S.J.; Li, Y.; Ma, D.F. Genome-wide identification of ZF-HD gene family in Triticum aestivum: Molecular evolution mechanism and function analysis. PLoS ONE 2021, 16, e0256579. [Google Scholar] [CrossRef]
- Li, W.; Geng, Z.W.; Zhang, C.P.; Wang, K.L.; Jiang, X.Q. Whole-genome characterization of Rosa chinensis AP2/ERF transcription factors and analysis of negative regulator RcDREB2B in Arabidopsis. BMC Genom. 2021, 22, 90. [Google Scholar] [CrossRef]
- Giovannini, A.; Macovei, A.; Dona, M.; Valassi, A.; Caser, M.; Mansuino, A.; Ghione, G.G.; Carbonera, D.; Scariot, V.; Balestrazzi, A. Pollen Grain Preservation at Low Temperatures in Valuable Commercial Rose Cultivars. Acta Hortic. 2015, 1064, 63–66. [Google Scholar] [CrossRef]
- Dai, B.; Wang, H.Y.; Li, W.Q.; Zhang, P.; Liu, T.H.; Li, X.N. Ozone Priming Enhanced Low Temperature Tolerance of Wheat (Triticum aestivum L.) based on Physiological, Biochemical and Transcriptional Analyses. Plant Cell Physiol. 2024, 65, 1689–1704. [Google Scholar] [CrossRef] [PubMed]
- Kang, G.H.; Ko, Y.J.; Lee, J.M. Enhancing virus-mediated genome editing for cultivated tomato through low temperature. Plant Cell Rep. 2025, 44, 22. [Google Scholar] [CrossRef] [PubMed]
- Liu, J.C.; Cheng, S.R.; Yuan, X.; Chen, J.L.; Tian, M.Q.; Zhao, Z.; Guo, T.; Xiao, W.M. OsNAL11 and OsBURP12 Affect Rice Seed Germination at Low Temperature. Plant Cell Environ. 2025, 48, 6118–6139. [Google Scholar] [CrossRef]
- Tomás, U.L.; Victoria, B.G.; Miguel, A.I. Two antagonistic gene regulatory networks drive Arabidopsis root hair growth at low temperature linked to a low-nutrient environment. New Phytol. 2025, 245, 2645–2664. [Google Scholar]
- Nakamura, N.; Hirakawa, H.; Sato, S.; Otagaki, S.; Matsumoto, S.; Tabata, S.; Tanaka, Y. Genome structure of Rosa multiflora, a wild ancestor of cultivated roses. DNA Res. 2018, 25, 113–121. [Google Scholar] [CrossRef]
- Han, Y.; Yu, J.Y.; Zhao, T.; Cheng, T.R.; Wang, J.; Yang, W.R.; Pan, H.T.; Zhang, Q.X. Dissecting the Genome-Wide Evolution and Function of R2R3-MYB Transcription Factor Family in Rosa chinensis. Genes 2019, 10, 823. [Google Scholar] [CrossRef]
- Geng, L.F.; Su, L.; Fu, L.F.; Lin, S.; Zhang, J.M.; Liu, Q.H.; Jiang, X.Q. Genome-wide analysis of the rose (Rosa chinensis) NAC family and characterization of RcNAC091. Plant Mol. Biol. 2022, 108, 605–619. [Google Scholar] [CrossRef]
- Ding, C.; Gao, J.Z.; Zhang, S.Y.; Jiang, N.; Su, D.T.; Huang, X.Z.; Zhang, Z. The Basic/Helix-Loop-Helix Transcription Factor. Family Gene RcbHLH112 Is a Susceptibility Gene in Gray Mould Resistance of Rose (Rosa chinensis). Int. J. Mol. Sci. 2023, 24, 16305. [Google Scholar] [CrossRef]
- Zou, Q.C.; Dong, Q.; Tian, D.Q.; Mao, L.H.; Cao, X.R.; Zhu, K.Y. Genome-Wide Analysis of TCP Transcription Factors and Their Expression Pattern Analysis of Rose Plants (Rosa chinensis). Curr. Issues Mol. Biol. 2023, 45, 6352–6364. [Google Scholar] [CrossRef]
- Yan, X.Y.; Zhao, J.H.; Huang, W.; Liu, C.; Hao, X.; Gao, C.Y.; Deng, M.H.; Wen, J.F. Genome-Wide Identification of WRKY Transcription Factor Family in Chinese Rose and Response to Drought, Heat, and Salt Stress. Genes 2024, 15, 800. [Google Scholar] [CrossRef]
- Mistry, J.; Chuguransky, S.; Williams, L.; Qureshi, M.; Salazar, G.A.; Sonnhammer, E.L.L.; Tosatto, S.C.E.; Paladin, L.; Raj, S.; Richardson, L.J.; et al. Pfam: The protein families database in 2021. Nucleic Acids Res. 2021, 49, 412–419. [Google Scholar] [CrossRef] [PubMed]
- Lu, S.N.; Wang, J.Y.; Chitsaz, F.; Derbyshire, M.K.; Geer, R.C.; Gonzales, N.R.; Gwadz, M.; Hurwitz, D.I.; Marchler, G.H.; Song, J.S.; et al. CDD/SPARCLE: The conserved domain database in 2020. Nucleic Acids Res. 2020, 48, 265–268. [Google Scholar] [CrossRef]
- Paysan-Lafosse, T.; Andreeva, A.; Blum, M.; Chuguransky, S.R.; Grego, T.; Pinto, B.L.; Salazar, G.A.; Bileschi, M.L.; Llinares-López, F.; Meng-Papaxanthos, L.; et al. The Pfam protein families database: Embracing AI/ML. Nucleic Acids Res. 2025, 53, 523–534. [Google Scholar] [CrossRef]
- Garg, V.K.; Avashthi, H.; Tiwari, A.; Jain, P.A.; Ramkete, P.W.R.; Kayastha, A.M.; Singh, V.K. MFPPI–multi FASTA ProtParam interface. Bioinformation 2016, 12, 74. [Google Scholar] [CrossRef] [PubMed]
- Hu, B.; Jin, J.P.; Guo, A.Y.; Zhang, H.; Luo, J.C.; Gao, G. GSDS 2.0: An upgraded gene feature visualization server. Bioinformatics 2015, 31, 1296–1297. [Google Scholar] [CrossRef] [PubMed]
- Bailey, T.L.; Bodén, M.; Buske, F.A.; Frith, M.; Grant, C.E.; Clementi, L.; Ren, J.Y.; Li, W.W.; Noble, W.S. Meme Suite: Tools for motif discovery and searching. Nucleic Acids Res. 2009, 37, 202–208. [Google Scholar] [CrossRef]
- Waterhouse, A.; Bertoni, M.; Bienert, S.; Studer, G.; Tauriello, G.; Gumienny, R.; Heer, F.T.; de-Beer, T.A.P.; Rempfer, C.; Bordoli, L.; et al. SWISS-MODEL: Homology modelling of protein structures and complexes. Nucleic Acids Res. 2018, 46, 296–303. [Google Scholar] [CrossRef] [PubMed]
- Kim, D.; Paggi, J.M.; Park, C.; Bennett, C.; Salzberg, S.L. Graph-based genome alignment and genotyping with HISAT2 and HISAT-genotype. Nat. Biotechnol. 2019, 37, 907–915. [Google Scholar] [CrossRef] [PubMed]
- Pertea, M.; Pertea, G.M.; Antonescu, C.M.; Chang, T.C.; Mendell, J.T.; Salzberg, S.L. StringTie enables improved reconstruction of a transcriptome from RNA-seq reads. Nat. Biotechnol. 2015, 33, 290–295. [Google Scholar] [CrossRef] [PubMed]
- Hou, J.; Sun, Y.; Wang, L.; Jiang, Y.Z.; Chen, N.N.; Tong, S.F. Genome-wide analysis of the Homeobox gene family and identification of drought-responsive members in Populus trichocarpa. Plants 2021, 10, 2284. [Google Scholar] [CrossRef]
- Xu, Y.; Wang, Y.H.; Long, Q.Z.; Huang, J.X.; Wang, Y.L.; Zhou, K.N.; Zheng, M.; Sun, J.; Chen, H.; Chen, S.H.; et al. Overexpression of OsZHD1, a zinc finger homeodomain class homeobox transcription factor, induces abaxially curled and drooping leaf in rice. Planta 2014, 239, 803–816. [Google Scholar] [CrossRef]
- Guo, M.L.; Zheng, C.; Shi, C.; Lu, X.Z.; She, Z.Y.; Jiang, S.Y.; Tian, D.G.; Qin, Y. The OsZHD1 and OsZHD2, Two Zinc Finger Homeobox Transcription Factor, Redundantly Control Grain Size by Influencing Cell Proliferation in Rice. Rice 2025, 18, 20. [Google Scholar] [CrossRef]
- Pang, H.Y.; Dai, X.R.; Yan, X.J.; Liu, Y.L.; Li, Q.Z. C2H2 zinc finger protein PagIDD15A regulates secondary wall thickening and lignin biosynthesis in poplar. Plant Sci. 2024, 346, 112159. [Google Scholar] [CrossRef]
- Chen, C.Y.; Yang, X.M.; Chen, S.Y.; Chen, B.; Yue, L.R. Expression Analysis of the ZF-HD Gene Family in Chrysanthemum nankingense Under Drought and ABA Treatment. Biotechnol. Bull. 2023, 39, 270–282. [Google Scholar]








| Protein ID | Gene ID | Chromosome Location | Length of CDS (bp) | Number of Amino Acids | Molecular Weight (Da) | Theoretical pI | Predicted Subcellular Localization |
|---|---|---|---|---|---|---|---|
| PRQ48556 | RchiOBHm_Chr2g0112031 | 23797231–23799978 | 819 | 272 | 29,328.24 | 6.65 | Nucleus |
| PRQ53619 | RchiOBHm_Chr2g0168531 | 82900990–82902041 | 261 | 86 | 9452.56 | 7.60 | Cytoplasm |
| PRQ47599 | RchiOBHm_Chr2g0101391 | 12999558–13002515 | 1056 | 351 | 38,824.39 | 8.89 | Nucleus |
| PRQ53615 | RchiOBHm_Chr2g0168471 | 82854849–82856428 | 1062 | 353 | 38,210.93 | 7.00 | Nucleus |
| PRQ40789 | RchiOBHm_Chr4g0439861 | 62189936–62192231 | 1134 | 377 | 41,251.98 | 8.98 | Nucleus |
| PRQ27049 | RchiOBHm_Chr6g0301181 | 61697534–61699875 | 981 | 326 | 35,929.10 | 6.81 | Nucleus |
| PRQ19624 | RchiOBHm_Chr7g0219261 | 37596256–37598657 | 1149 | 382 | 41,757.38 | 6.95 | Cytoplasm |
| PRQ16176 | RchiOBHm_Chr7g0181371 | 3027607–3028180 | 297 | 98 | 10,839.99 | 8.61 | Chloroplast |
| PRQ15836 | RchiOBHm_Chr7g0177751 | 599394–601378 | 699 | 232 | 25,691.69 | 8.74 | Nucleus |
Disclaimer/Publisher’s Note: The statements, opinions and data contained in all publications are solely those of the individual author(s) and contributor(s) and not of MDPI and/or the editor(s). MDPI and/or the editor(s) disclaim responsibility for any injury to people or property resulting from any ideas, methods, instructions or products referred to in the content. |
© 2026 by the authors. Licensee MDPI, Basel, Switzerland. This article is an open access article distributed under the terms and conditions of the Creative Commons Attribution (CC BY) license.
Share and Cite
Su, X.; Dong, Y.; Liao, Y.; Li, W.; Chen, Z.; Xu, C.; Jiang, S. Genome-Wide Identification of the Zinc Finger-Homeodomain (ZF-HD) Gene Family and Their Response to Cold Stress in Rosa chinensis. Genes 2026, 17, 90. https://doi.org/10.3390/genes17010090
Su X, Dong Y, Liao Y, Li W, Chen Z, Xu C, Jiang S. Genome-Wide Identification of the Zinc Finger-Homeodomain (ZF-HD) Gene Family and Their Response to Cold Stress in Rosa chinensis. Genes. 2026; 17(1):90. https://doi.org/10.3390/genes17010090
Chicago/Turabian StyleSu, Xiaona, Yiting Dong, Yuan Liao, Weijian Li, Zheng Chen, Chao Xu, and Shaomei Jiang. 2026. "Genome-Wide Identification of the Zinc Finger-Homeodomain (ZF-HD) Gene Family and Their Response to Cold Stress in Rosa chinensis" Genes 17, no. 1: 90. https://doi.org/10.3390/genes17010090
APA StyleSu, X., Dong, Y., Liao, Y., Li, W., Chen, Z., Xu, C., & Jiang, S. (2026). Genome-Wide Identification of the Zinc Finger-Homeodomain (ZF-HD) Gene Family and Their Response to Cold Stress in Rosa chinensis. Genes, 17(1), 90. https://doi.org/10.3390/genes17010090
