miRNA Signatures as Predictors of Therapy Response in Castration-Resistant Prostate Cancer: Insights from Clinical Liquid Biopsies and 3D Culture Models
Abstract
1. Introduction
2. Materials and Methods
2.1. Expression Profiles Analysis of miRNAs and Regulated mRNAs
2.2. miRNAs Target Prediction and GSEA
2.3. TCGA-PRAD and ROC Plotter
2.4. Liquid Biopsies from Responders, Non-Responders PCa Patients, and Controls
2.5. 3D Cell Lines Cultures from PC3 and DU145
2.6. RNA Isolation from PC3 and DU145 Cells in 2D Monolayer and 3D Cultures
2.7. Reverse Transcription and Quantitative Real-Time PCR
2.8. Statistics Analysis
3. Results
3.1. Comparative miRNA Analysis Unveiling Pathways of Resistance in Metastatic Castration-Resistant Prostate Cancer
3.2. Differentially Expressed miRNAs hsa-miR-152-3p, hsa-miR-654-3p, hsa-miR-411-5p, and hsa-miR-34a-3p Are Associated with Metastasis and Androgen Response
3.3. Expression Profiles of Therapy Response miRNAs Are Inversely Associated with Therapy Response Data
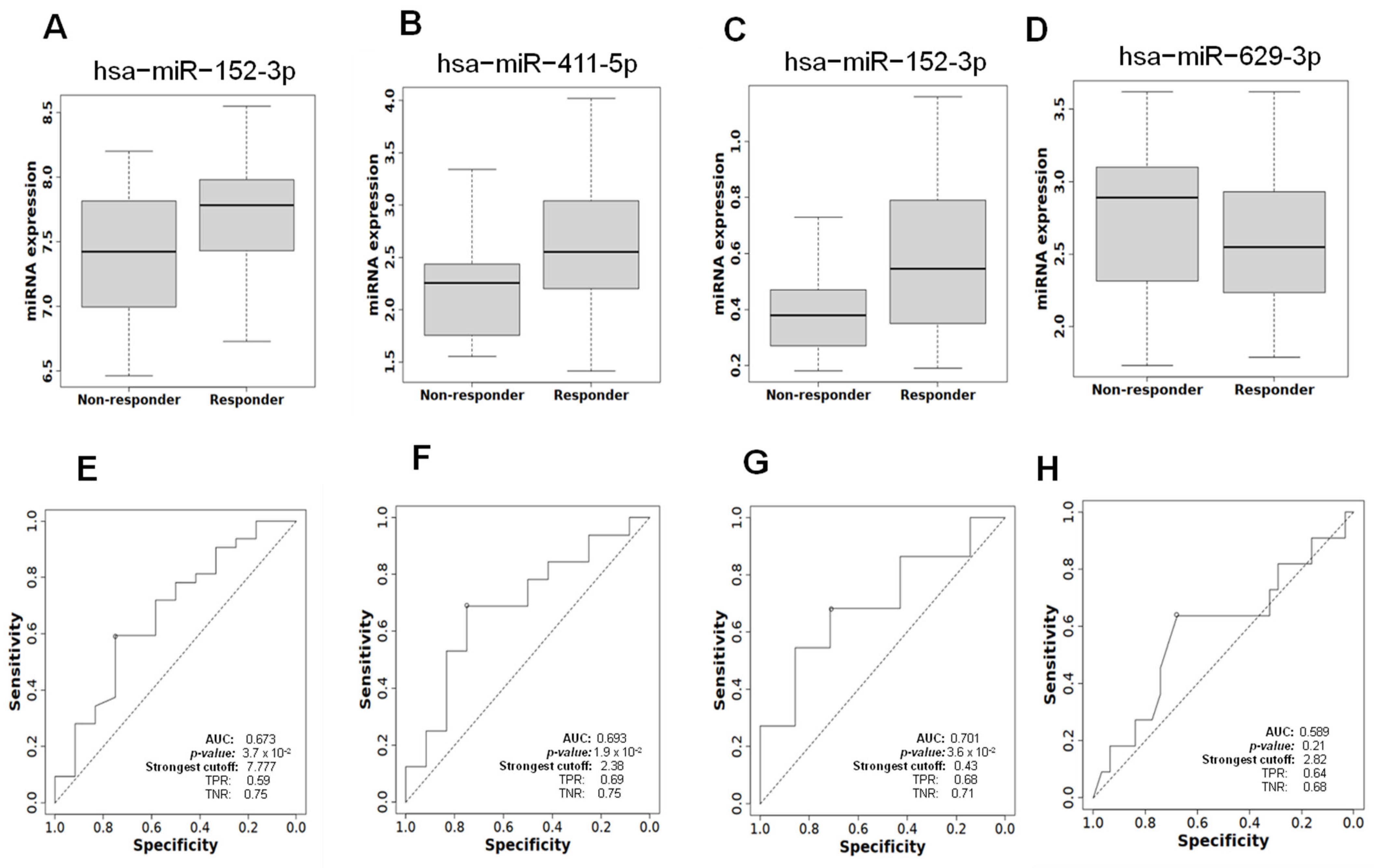
3.4. Expression Profile of hsa-miR-152-3p, hsa-miR-411-5p, and hsa-miR-34a-3p as Potential Predictors of Therapy Response
3.5. Validation of miRNA Expression Related to Therapy Response in a Cohort of Mexican Prostate Cancer Patients
4. Discussion
Supplementary Materials
Author Contributions
Funding
Institutional Review Board Statement
Informed Consent Statement
Data Availability Statement
Acknowledgments
Conflicts of Interest
Abbreviations
| PCa | Prostate cancer |
| CRPC | Castration-resistant prostate cancer |
| ADT | Androgen deprivation therapy |
| miRNAs | MicroRNAs |
| ROC | Receiver Operating Characteristic |
| PSA | Prostatic Specific Antigen |
| FBS | Fetal Bovine Serum |
| HCM | Hybri-Care medium |
| ERBB4 | Receptor tyrosine-protein kinase erbB-4 |
| TGF-β | Transforming growth factor β |
| NGF | Nerve growth factor |
| EGFR | Epidermal growth factor receptor |
| AR | Androgen receptor |
References
- Wang, L.; Lu, B.; He, M.; Wang, Y.; Wang, Z.; Du, L. Prostate Cancer Incidence and Mortality: Global Status and Temporal Trends in 89 Countries From 2000 to 2019. Front. Public Health 2022, 10, 811044. [Google Scholar] [CrossRef]
- Berenguer, C.V.; Pereira, F.; Câmara, J.S.; Pereira, J.A.M. Underlying Features of Prostate Cancer-Statistics, Risk Factors, and Emerging Methods for Its Diagnosis. Curr. Oncol. 2023, 30, 2300–2321. [Google Scholar] [CrossRef] [PubMed]
- Takir, G.G.; Debelec-Butuner, B.; Korkmaz, K.S. 3D Cell Culture Model for Prostate Cancer Cells to Mimic Inflammatory Microenvironment. Proceedings 2018, 2, 1555. [Google Scholar] [CrossRef]
- Le, T.K.; Duong, Q.H.; Baylot, V.; Fargette, C.; Baboudjian, M.; Colleaux, L.; Taïeb, D.; Rocchi, P. Castration-Resistant Prostate Cancer: From Uncovered Resistance Mechanisms to Current Treatments. Cancers 2023, 15, 5047. [Google Scholar] [CrossRef] [PubMed]
- Chandrasekar, T.; Yang, J.C.; Gao, A.C.; Evans, C.P. Mechanisms of resistance in castration-resistant prostate cancer (CRPC). Transl. Androl. Urol. 2015, 4, 365–380. [Google Scholar] [CrossRef]
- Mohler, J.L.; Antonarakis, E.S. NCCN Guidelines Updates: Management of Prostate Cancer. J. Natl. Compr. Cancer Netw. 2019, 17, 583–586. [Google Scholar] [CrossRef]
- Lowrance, W.; Dreicer, R.; Jarrard, D.F.; Scarpato, K.R.; Kim, S.K.; Kirkby, E.; Buckley, D.I.; Griffin, J.C.; Cookson, M.S. Updates to Advanced Prostate Cancer: AUA/SUO Guideline (2023). J. Urol. 2023, 209, 1082–1090. [Google Scholar] [CrossRef] [PubMed]
- Kulasegaran, T.; Oliveira, N. Metastatic Castration-Resistant Prostate Cancer: Advances in Treatment and Symptom Management. Curr. Treat. Options Oncol. 2024, 25, 914–931. [Google Scholar] [CrossRef] [PubMed]
- Tai, S.; Sun, Y.; Squires, J.M.; Zhang, H.; Oh, W.K.; Liang, C.Z.; Huang, J. PC3 is a cell line characteristic of prostatic small cell carcinoma. Prostate 2011, 71, 1668–1679. [Google Scholar] [CrossRef] [PubMed]
- Haffner, M.C.; Zwart, W.; Roudier, M.P.; True, L.D.; Nelson, W.G.; Epstein, J.I.; De Marzo, A.M.; Nelson, P.S.; Yegnasubramanian, S. Genomic and phenotypic heterogeneity in prostate cancer. Nat. Rev. Urol. 2021, 18, 79–92. [Google Scholar] [CrossRef]
- Testa, U.; Castelli, G.; Pelosi, E. Cellular and Molecular Mechanisms Underlying Prostate Cancer Development: Therapeutic Implications. Medicines 2019, 6, 82. [Google Scholar] [CrossRef] [PubMed]
- Zhou, Y.; Tao, L.; Qiu, J.; Xu, J.; Yang, X.; Zhang, Y.; Tian, X.; Guan, X.; Cen, X.; Zhao, Y. Tumor biomarkers for diagnosis, prognosis and targeted therapy. Signal Transduct. Target Ther. 2024, 9, 132. [Google Scholar] [CrossRef] [PubMed]
- Chen, J.Y.; Wang, P.Y.; Liu, M.Z.; Lyu, F.; Ma, M.W.; Ren, X.Y.; Gao, X.S. Biomarkers for Prostate Cancer: From Diagnosis to Treatment. Diagnostics 2023, 13, 3350. [Google Scholar] [CrossRef] [PubMed]
- Jain, G.; Das, P.; Ranjan, P.; Neha; Valderrama, F.; Cieza-Borrella, C. Urinary extracellular vesicles miRNA-A new era of prostate cancer biomarkers. Front. Genet. 2023, 14, 1065757. [Google Scholar] [CrossRef]
- Kim, T.; Croce, C.M. MicroRNA: Trends in clinical trials of cancer diagnosis and therapy strategies. Exp. Mol. Med. 2023, 55, 1314–1321. [Google Scholar] [CrossRef] [PubMed]
- Condrat, C.E.; Thompson, D.C.; Barbu, M.G.; Bugnar, O.L.; Boboc, A.; Cretoiu, D.; Suciu, N.; Cretoiu, S.M.; Voinea, S.C. miRNAs as Biomarkers in Disease: Latest Findings Regarding Their Role in Diagnosis and Prognosis. Cells 2020, 9, 276. [Google Scholar] [CrossRef] [PubMed]
- Pekarek, L.; Torres-Carranza, D.; Fraile-Martinez, O.; García-Montero, C.; Pekarek, T.; Saez, M.A.; Rueda-Correa, F.; Pimentel-Martinez, C.; Guijarro, L.G.; Diaz-Pedrero, R.; et al. An Overview of the Role of MicroRNAs on Carcinogenesis: A Focus on Cell Cycle, Angiogenesis and Metastasis. Int. J. Mol. Sci. 2023, 24, 7268. [Google Scholar] [CrossRef]
- Peng, Y.; Croce, C.M. The role of MicroRNAs in human cancer. Signal Transduct. Target Ther. 2016, 1, 15004. [Google Scholar] [CrossRef]
- Annese, T.; Tamma, R.; De Giorgis, M.; Ribatti, D. microRNAs Biogenesis, Functions and Role in Tumor Angiogenesis. Front. Oncol. 2020, 10, 581007. [Google Scholar] [CrossRef]
- Labbé, M.; Hoey, C.; Ray, J.; Potiron, V.; Supiot, S.; Liu, S.K.; Fradin, D. microRNAs identified in prostate cancer: Correlative studies on response to ionizing radiation. Mol. Cancer 2020, 19, 63. [Google Scholar] [CrossRef]
- Hoey, C.; Ahmed, M.; Fotouhi Ghiam, A.; Vesprini, D.; Huang, X.; Commisso, K.; Commisso, A.; Ray, J.; Fokas, E.; Loblaw, D.A.; et al. Circulating miRNAs as non-invasive biomarkers to predict aggressive prostate cancer after radical prostatectomy. J. Transl. Med. 2019, 17, 173. [Google Scholar] [CrossRef]
- Zheng, Q.; Peskoe, S.B.; Ribas, J.; Rafiqi, F.; Kudrolli, T.; Meeker, A.K.; De Marzo, A.M.; Platz, E.A.; Lupold, S.E. Investigation of miR-21, miR-141, and miR-221 expression levels in prostate adenocarcinoma for associated risk of recurrence after radical prostatectomy. Prostate 2014, 74, 1655–1662. [Google Scholar] [CrossRef] [PubMed]
- Kiener, M.; Chen, L.; Krebs, M.; Grosjean, J.; Klima, I.; Kalogirou, C.; Riedmiller, H.; Kneitz, B.; Thalmann, G.N.; Snaar-Jagalska, E.; et al. miR-221-5p regulates proliferation and migration in human prostate cancer cells and reduces tumor growth in vivo. BMC Cancer 2019, 19, 627. [Google Scholar] [CrossRef] [PubMed]
- Zedan, A.H.; Osther, P.J.S.; Assenholt, J.; Madsen, J.S.; Hansen, T.F. Circulating miR-141 and miR-375 are associated with treatment outcome in metastatic castration resistant prostate cancer. Sci. Rep. 2020, 10, 227. [Google Scholar] [CrossRef] [PubMed]
- Bhagirath, D.; Yang, T.L.; Akoto, T.; Patel, N.; Tabatabai, L.Z.; Saini, S. MicroRNA-4287 is a novel tumor suppressor microRNA controlling epithelial-to mesenchymal transition in prostate cancer. Oncotarget 2020, 11, 4681–4692. [Google Scholar] [CrossRef] [PubMed]
- Alix-Panabières, C.; Marchetti, D.; Lang, J.E. Liquid biopsy: From concept to clinical application. Sci. Rep. 2023, 13, 21685. [Google Scholar] [CrossRef] [PubMed]
- Brokāne, A.; Bajo-Santos, C.; Zayakin, P.; Belovs, A.; Jansons, J.; Lietuvietis, V.; Martens-Uzunova, E.S.; Jenster, G.W.; Linē, A. Validation of potential RNA biomarkers for prostate cancer diagnosis and monitoring in plasma and urinary extracellular vesicles. Front. Mol. Biosci. 2023, 10, 1279854. [Google Scholar] [CrossRef] [PubMed]
- Alahdal, M.; Perera, R.A.; Moschovas, M.C.; Patel, V.; Perera, R.J. Current advances of liquid biopsies in prostate cancer: Molecular biomarkers. Mol. Ther. Oncolytics 2023, 30, 27–38. [Google Scholar] [CrossRef]
- Kleinman, H.K.; Martin, G.R. Matrigel: Basement membrane matrix with biological activity. Semin. Cancer Biol. 2005, 15, 378–386. [Google Scholar] [CrossRef] [PubMed]
- Rodríguez-Dorantes, M.; Cruz-Hernandez, C.D.; Cortés-Ramírez, S.A.; Cruz-Burgos, J.M.; Reyes-Grajeda, J.P.; Peralta-Zaragoza, O.; Losada-Garcia, A. Prostate Cancer Spheroids: A Three-Dimensional Model for Studying Tumor Heterogeneity. Methods Mol. Biol. 2021, 2174, 13–17. [Google Scholar] [CrossRef] [PubMed]
- Härmä, V.; Virtanen, J.; Mäkelä, R.; Happonen, A.; Mpindi, J.P.; Knuuttila, M.; Kohonen, P.; Lötjönen, J.; Kallioniemi, O.; Nees, M. A comprehensive panel of three-dimensional models for studies of prostate cancer growth, invasion and drug responses. PLoS ONE 2010, 5, e10431. [Google Scholar] [CrossRef] [PubMed]
- Zhang, Z.; Chen, W.; Sun, M.; Aalders, T.; Verhaegh, G.W.; Kouwer, P.H.J. 3D Hydrogel Coculture System Provides Mechanistic Insights into Prostate Cancer Bone Metastasis. ACS Appl. Mater. Interfaces 2024, 16, 25773–25787. [Google Scholar] [CrossRef]
- Porter, R.J.; Murray, G.I.; McLean, M.H. Current concepts in tumour-derived organoids. Br. J. Cancer 2020, 123, 1209–1218. [Google Scholar] [CrossRef]
- Nayak, P.; Bentivoglio, V.; Varani, M.; Signore, A. Three-Dimensional In Vitro Tumor Spheroid Models for Evaluation of Anticancer Therapy: Recent Updates. Cancers 2023, 15, 4846. [Google Scholar] [CrossRef] [PubMed]
- Barbosa, M.A.G.; Xavier, C.P.R.; Pereira, R.F.; Petrikaitė, V.; Vasconcelos, M.H. 3D Cell Culture Models as Recapitulators of the Tumor Microenvironment for the Screening of Anti-Cancer Drugs. Cancers 2021, 14, 190. [Google Scholar] [CrossRef] [PubMed]
- Manduca, N.; Maccafeo, E.; De Maria, R.; Sistigu, A.; Musella, M. 3D cancer models: One step closer to. Front. Immunol. 2023, 14, 1175503. [Google Scholar] [CrossRef]
- Waseem, M.; Wang, B.D. Organoids: An Emerging Precision Medicine Model for Prostate Cancer Research. Int. J. Mol. Sci. 2024, 25, 1093. [Google Scholar] [CrossRef] [PubMed]
- Law, A.M.K.; Rodriguez de la Fuente, L.; Grundy, T.J.; Fang, G.; Valdes-Mora, F.; Gallego-Ortega, D. Advancements in 3D Cell Culture Systems for Personalizing Anti-Cancer Therapies. Front. Oncol. 2021, 11, 782766. [Google Scholar] [CrossRef] [PubMed]
- Jensen, C.; Teng, Y. Is It Time to Start Transitioning From 2D to 3D Cell Culture? Front. Mol. Biosci. 2020, 7, 33. [Google Scholar] [CrossRef]
- Mohseni Garakani, M.; Ahangar, P.; Watson, S.; Nisol, B.; Wertheimer, M.R.; Rosenzweig, D.H.; Ajji, A. A novel 3D co-culture platform for integrating tissue interfaces for tumor growth, migration and therapeutic sensitivity: “PP-3D-S”. Biomater. Adv. 2022, 134, 112566. [Google Scholar] [CrossRef]
- Biju, T.S.; Priya, V.V.; Francis, A.P. Role of three-dimensional cell culture in therapeutics and diagnostics: An updated review. Drug Deliv. Transl. Res. 2023, 13, 2239–2253. [Google Scholar] [CrossRef] [PubMed]
- Nikdouz, A.; Orso, F. Emerging roles of 3D-culture systems in tackling tumor drug resistance. Cancer Drug Resist. 2023, 6, 788–804. [Google Scholar] [CrossRef] [PubMed]
- Liu, A.Y. Differential expression of cell surface molecules in prostate cancer cells. Cancer Res. 2000, 60, 3429–3434. [Google Scholar] [PubMed]
- Lee, J.; Hong, J.; Kim, J.W.; Lim, S.; Choi, S.C.; Gim, J.A.; Kang, S.G.; Noh, T.I.; Park, K.H. Investigating miR-6880-5p in extracellular vesicle from plasma as a prognostic biomarker in endocrine therapy-treated castration-resistant prostate cancer. BMC Cancer 2024, 24, 909. [Google Scholar] [CrossRef]
- Pszczółkowska, B.; Olejarz, W.; Filipek, M.; Tartas, A.; Kubiak-Tomaszewska, G.; Żołnierzak, A.; Życieńska, K.; Ginter, J.; Lorenc, T.; Brzozowska, B. Exosome secretion and cellular response of DU145 and PC3 after exposure to alpha radiation. Radiat. Environ. Biophys. 2022, 61, 639–650. [Google Scholar] [CrossRef] [PubMed]
- Grayson, K.A.; Jyotsana, N.; Ortiz-Otero, N.; King, M.R. Overcoming TRAIL-resistance by sensitizing prostate cancer 3D spheroids with taxanes. PLoS ONE 2021, 16, e0246733. [Google Scholar] [CrossRef]
- Shannon, P.; Markiel, A.; Ozier, O.; Baliga, N.S.; Wang, J.T.; Ramage, D.; Amin, N.; Schwikowski, B.; Ideker, T. Cytoscape: A software environment for integrated models of biomolecular interaction networks. Genome Res. 2003, 13, 2498–2504. [Google Scholar] [CrossRef] [PubMed]
- Arrighetti, N.; Beretta, G.L. miRNAs as Therapeutic Tools and Biomarkers for Prostate Cancer. Pharmaceutics 2021, 13, 380. [Google Scholar] [CrossRef]
- Epstein, J.I.; Egevad, L.; Amin, M.B.; Delahunt, B.; Srigley, J.R.; Humphrey, P.A.; Committee, G. The 2014 International Society of Urological Pathology (ISUP) Consensus Conference on Gleason Grading of Prostatic Carcinoma: Definition of Grading Patterns and Proposal for a New Grading System. Am. J. Surg. Pathol. 2016, 40, 244–252. [Google Scholar] [CrossRef]
- Gurbuz, V.; Kiliccioglu, I.; Dikmen, A.U.; Bilen, C.Y.; Sozen, S.; Konac, E. Comparative analysis of epi-miRNA expression levels in local/locally advanced and metastatic prostate cancer patients. Gene 2020, 758, 144963. [Google Scholar] [CrossRef]
- Dong, B.; Xu, G.C.; Liu, S.T.; Liu, T.; Geng, B. MiR-34a affects G2 arrest in prostate cancer PC3 cells via Wnt pathway and inhibits cell growth and migration. Eur. Rev. Med. Pharmacol. Sci. 2020, 24, 8349–8358. [Google Scholar] [CrossRef] [PubMed]
- Fu, J.; Imani, S.; Wu, M.Y.; Wu, R.C. MicroRNA-34 Family in Cancers: Role, Mechanism, and Therapeutic Potential. Cancers 2023, 15, 4723. [Google Scholar] [CrossRef]
- Lin, Y.; Miao, Z.; Zhang, X.; Wei, X.; Hou, J.; Huang, Y.; Shen, B. Identification of Key MicroRNAs and Mechanisms in Prostate Cancer Evolution Based on Biomarker Prioritization Model and Carcinogenic Survey. Front. Genet. 2020, 11, 596826. [Google Scholar] [CrossRef]
- Pan, J.; Liu, Z.; Yang, Z.; Liang, E.; Fang, C.; Zhang, D.; Zhou, X.; Niu, Y.; Xin, Z.; Chen, Y.; et al. Circ_0001686 Promotes Prostate Cancer Progression by Up-Regulating SMAD3/TGFBR2. World J. Mens. Health 2022, 40, 149–161. [Google Scholar] [CrossRef] [PubMed]
- Ramalho-Carvalho, J.; Gonçalves, C.S.; Graça, I.; Bidarra, D.; Pereira-Silva, E.; Salta, S.; Godinho, M.I.; Gomez, A.; Esteller, M.; Costa, B.M.; et al. A multiplatform approach identifies miR-152-3p as a common epigenetically regulated onco-suppressor in prostate cancer targeting. Clin. Epigenet. 2018, 10, 40. [Google Scholar] [CrossRef]
- Li, Y.; Zeng, S.; Cao, L. Mir-629 Repressed LATS2 Expression and Promoted the Proliferation of Prostate Cancer Cells. Horm. Metab. Res. 2023, 55, 573–579. [Google Scholar] [CrossRef] [PubMed]
- Liu, Y.; Zhao, S.; Wang, J.; Zhu, Z.; Luo, L.; Xiang, Q.; Zhou, M.; Ma, Y.; Wang, Z.; Zhao, Z. MiR-629-5p Promotes Prostate Cancer Development and Metastasis by Targeting AKAP13. Front. Oncol. 2021, 11, 754353. [Google Scholar] [CrossRef]
- Ottman, R.; Ganapathy, K.; Lin, H.Y.; Osterman, C.D.; Dutil, J.; Matta, J.; Ruiz-Deya, G.; Wang, L.; Yamoah, K.; Berglund, A.; et al. Differential Expression of miRNAs Contributes to Tumor Aggressiveness and Racial Disparity in African American Men with Prostate Cancer. Cancers 2023, 15, 2331. [Google Scholar] [CrossRef]
- Ghamlouche, F.; Yehya, A.; Zeid, Y.; Fakhereddine, H.; Fawaz, J.; Liu, Y.N.; Al-Sayegh, M.; Abou-Kheir, W. MicroRNAs as clinical tools for diagnosis, prognosis, and therapy in prostate cancer. Transl. Oncol. 2023, 28, 101613. [Google Scholar] [CrossRef] [PubMed]
- Fernandez, N.; Chavarriaga, J.; Ayala, P.; Pedraza, A.; Bolivar, J.; Prada, J.G.; Cataño, J.G.; García-Perdomo, H.A.; Villanueva, J.; Varela, D.; et al. MicroRNAs as Potential Liquid Biopsy Biomarker for Patients with Castration-Resistant Prostate Cancer. Res. Rep. Urol. 2022, 14, 63–70. [Google Scholar] [CrossRef] [PubMed]
- Joković, S.M.; Dobrijević, Z.; Kotarac, N.; Filipović, L.; Popović, M.; Korać, A.; Vuković, I.; Savić-Pavićević, D.; Brajušković, G. MiR-375 and miR-21 as Potential Biomarkers of Prostate Cancer: Comparison of Matching Samples of Plasma and Exosomes. Genes 2022, 13, 2320. [Google Scholar] [CrossRef] [PubMed]
- Matuszczak, M.; Schalken, J.A.; Salagierski, M. Prostate Cancer Liquid Biopsy Biomarkers’ Clinical Utility in Diagnosis and Prognosis. Cancers 2021, 13, 3373. [Google Scholar] [CrossRef]
- Zhao, S.; Wang, B.; Ma, Y.; Kuang, J.; Liang, J.; Yuan, Y. NUCKS1 Promotes Proliferation, Invasion and Migration of Non-Small Cell Lung Cancer by Upregulating CDK1 Expression. Cancer Manag. Res. 2020, 12, 13311–13323. [Google Scholar] [CrossRef]
- Song Li, D.W. NUCKS1 promotes breast cancer cell proliferation and metastasis via PI3K/AKT pathway. Trop. J. Pharm. Res. 2022, 21, 2099–2105. [Google Scholar] [CrossRef]
- Mukhopadhyay, C.; Yang, C.; Xu, L.; Liu, D.; Wang, Y.; Huang, D.; Deonarine, L.D.; Cyrta, J.; Davicioni, E.; Sboner, A.; et al. G3BP1 inhibits Cul3. Nat. Commun. 2021, 12, 6662. [Google Scholar] [CrossRef] [PubMed]
- Chakrabortty, A.; Patton, D.J.; Smith, B.F.; Agarwal, P. miRNAs: Potential as Biomarkers and Therapeutic Targets for Cancer. Genes 2023, 14, 1375. [Google Scholar] [CrossRef] [PubMed]
- Lan, H.; Lu, H.; Wang, X.; Jin, H. MicroRNAs as potential biomarkers in cancer: Opportunities and challenges. Biomed Res. Int. 2015, 2015, 125094. [Google Scholar] [CrossRef] [PubMed]
- Bidarra, D.; Constâncio, V.; Barros-Silva, D.; Ramalho-Carvalho, J.; Moreira-Barbosa, C.; Antunes, L.; Maurício, J.; Oliveira, J.; Henrique, R.; Jerónimo, C. Circulating MicroRNAs as Biomarkers for Prostate Cancer Detection and Metastasis Development Prediction. Front. Oncol. 2019, 9, 900. [Google Scholar] [CrossRef]
- Svoronos, A.A.; Engelman, D.M.; Slack, F.J. OncomiR or Tumor Suppressor? The Duplicity of MicroRNAs in Cancer. Cancer Res. 2016, 76, 3666–3670. [Google Scholar] [CrossRef] [PubMed]
- Calin, G.A.; Croce, C.M. MicroRNA signatures in human cancers. Nat. Rev. Cancer 2006, 6, 857–866. [Google Scholar] [CrossRef]
- Raver-Shapira, N.; Marciano, E.; Meiri, E.; Spector, Y.; Rosenfeld, N.; Moskovits, N.; Bentwich, Z.; Oren, M. Transcriptional activation of miR-34a contributes to p53-mediated apoptosis. Mol. Cell 2007, 26, 731–743. [Google Scholar] [CrossRef]
- Li, W.J.; Liu, X.; Dougherty, E.M.; Tang, D.G. MicroRNA-34a, Prostate Cancer Stem Cells, and Therapeutic Development. Cancers 2022, 14, 4538. [Google Scholar] [CrossRef] [PubMed]
- Moya, L.; Meijer, J.; Schubert, S.; Matin, F.; Batra, J. Assessment of miR-98-5p, miR-152-3p, miR-326 and miR-4289 Expression as Biomarker for Prostate Cancer Diagnosis. Int. J. Mol. Sci. 2019, 20, 1154. [Google Scholar] [CrossRef] [PubMed]
- Ji, S.; Zhang, C.; Xiang, Y.; Yin, G. Hsa_circ_0001165 Regulates the Malignant Phenotype and Angiogenesis of Prostate Cancer Cells through miR-654-3p/DDAH1. Biotechnol. Bioprocess Eng. 2023, 28, 125–136. [Google Scholar] [CrossRef]
- Sharma, P.C.; Gupta, A. MicroRNAs: Potential biomarkers for diagnosis and prognosis of different cancers. Transl. Cancer Res. 2020, 9, 5798–5818. [Google Scholar] [CrossRef] [PubMed]
- Samami, E.; Pourali, G.; Arabpour, M.; Fanipakdel, A.; Shahidsales, S.; Javadinia, S.A.; Hassanian, S.M.; Mohammadparast, S.; Avan, A. The Potential Diagnostic and Prognostic Value of Circulating MicroRNAs in the Assessment of Patients With Prostate Cancer: Rational and Progress. Front. Oncol. 2021, 11, 716831. [Google Scholar] [CrossRef]
- Fabris, L.; Ceder, Y.; Chinnaiyan, A.M.; Jenster, G.W.; Sorensen, K.D.; Tomlins, S.; Visakorpi, T.; Calin, G.A. The Potential of MicroRNAs as Prostate Cancer Biomarkers. Eur. Urol. 2016, 70, 312–322. [Google Scholar] [CrossRef] [PubMed]
- Kok, M.G.M.; de Ronde, M.W.J.; Moerland, P.D.; Ruijter, J.M.; Creemers, E.E.; Pinto-Sietsma, S.J. Small sample sizes in high-throughput miRNA screens: A common pitfall for the identification of miRNA biomarkers. Biomol. Detect Quantif. 2018, 15, 1–5. [Google Scholar] [CrossRef]
- Song, C.J.; Chen, H.; Chen, L.Z.; Ru, G.M.; Guo, J.J.; Ding, Q.N. The potential of microRNAs as human prostate cancer biomarkers: A meta-analysis of related studies. J. Cell Biochem. 2018, 119, 2763–2786. [Google Scholar] [CrossRef] [PubMed]
- Ionescu, F.; Zhang, J.; Wang, L. Clinical Applications of Liquid Biopsy in Prostate Cancer: From Screening to Predictive Biomarker. Cancers 2022, 14, 1728. [Google Scholar] [CrossRef] [PubMed]
- Alix-Panabières, C.; Pantel, K. Liquid Biopsy: From Discovery to Clinical Application. Cancer Discov. 2021, 11, 858–873. [Google Scholar] [CrossRef] [PubMed]






| miRNA | Sequence Target | Primer Sequence |
|---|---|---|
| hsa-miR-34a-3p | CAAUCAGCAAGUAUACUGCCCU (https://www.mirbase.org/mature/MIMAT0004557) (accessed on 21 June 2024). | F: 5′-CGCAGCAATCAGCAAGT-3′ R: 5′-CAGTTTTTTTTTTTTTTTAGGGCAGT-3′ |
| hsa-miR-411-5p | UAGUAGACCGUAUAGCGUACG (https://www.mirbase.org/mature/MIMAT0003329) (accessed on 21 June 2024). | F: 5′-CAGTAGTAGACCGTATAGCGT-3′ R: 5′-GGTCCAGTTTTTTTTTTTTTTTCGT-3′ |
| hsa-miR-629-3p | GUUCUCCCAACGUAAGCCCAGC (https://www.mirbase.org/mature/MIMAT0003298) (accessed on 21 June 2024). | F: 5′-CAGGTTCTCCCAACGTAAG-3′ R: 5′-GTCCAGTTTTTTTTTTTTTTTGCTG 3′ |
| hsa-miR-152-3p | UCAGUGCAUGACAGAACUUGG (https://www.mirbase.org/mature/MIMAT0000438) (accessed on 21 June 2024). | F: 5′-GCAGTCAGTGCATGACAGA-3′ R: 5′-GTCCAGTTTTTTTTTTTTTTTCCAAG-3′ |
Disclaimer/Publisher’s Note: The statements, opinions and data contained in all publications are solely those of the individual author(s) and contributor(s) and not of MDPI and/or the editor(s). MDPI and/or the editor(s) disclaim responsibility for any injury to people or property resulting from any ideas, methods, instructions or products referred to in the content. |
© 2025 by the authors. Licensee MDPI, Basel, Switzerland. This article is an open access article distributed under the terms and conditions of the Creative Commons Attribution (CC BY) license (https://creativecommons.org/licenses/by/4.0/).
Share and Cite
Puente-Rivera, J.; Nuñez-Olvera, S.I.; Fernández-Sánchez, V.; Cureño-Díaz, M.A.; Gómez-Zamora, E.; Plascencia-Nieto, E.S.; Figueroa-Angulo, E.E.; Alvarez-Sánchez, M.E. miRNA Signatures as Predictors of Therapy Response in Castration-Resistant Prostate Cancer: Insights from Clinical Liquid Biopsies and 3D Culture Models. Genes 2025, 16, 180. https://doi.org/10.3390/genes16020180
Puente-Rivera J, Nuñez-Olvera SI, Fernández-Sánchez V, Cureño-Díaz MA, Gómez-Zamora E, Plascencia-Nieto ES, Figueroa-Angulo EE, Alvarez-Sánchez ME. miRNA Signatures as Predictors of Therapy Response in Castration-Resistant Prostate Cancer: Insights from Clinical Liquid Biopsies and 3D Culture Models. Genes. 2025; 16(2):180. https://doi.org/10.3390/genes16020180
Chicago/Turabian StylePuente-Rivera, Jonathan, Stephanie I. Nuñez-Olvera, Verónica Fernández-Sánchez, Monica Alethia Cureño-Díaz, Erika Gómez-Zamora, Estibeyesbo Said Plascencia-Nieto, Elisa Elvira Figueroa-Angulo, and María Elizbeth Alvarez-Sánchez. 2025. "miRNA Signatures as Predictors of Therapy Response in Castration-Resistant Prostate Cancer: Insights from Clinical Liquid Biopsies and 3D Culture Models" Genes 16, no. 2: 180. https://doi.org/10.3390/genes16020180
APA StylePuente-Rivera, J., Nuñez-Olvera, S. I., Fernández-Sánchez, V., Cureño-Díaz, M. A., Gómez-Zamora, E., Plascencia-Nieto, E. S., Figueroa-Angulo, E. E., & Alvarez-Sánchez, M. E. (2025). miRNA Signatures as Predictors of Therapy Response in Castration-Resistant Prostate Cancer: Insights from Clinical Liquid Biopsies and 3D Culture Models. Genes, 16(2), 180. https://doi.org/10.3390/genes16020180

