Genetic Variability in NKG2 Receptors and Their Ligands: Associations with SARS-CoV-2 Infection and COVID-19 Severity
Abstract
1. Introduction
2. Materials and Methods
2.1. Individuals Studied
2.2. DNA Isolation
2.3. SNP Genotyping
2.4. NKG2C Deletion Detection
2.5. Soluble Forms of HLA-E and MICA/MICB Ligands
2.6. Statistical Analysis
3. Results
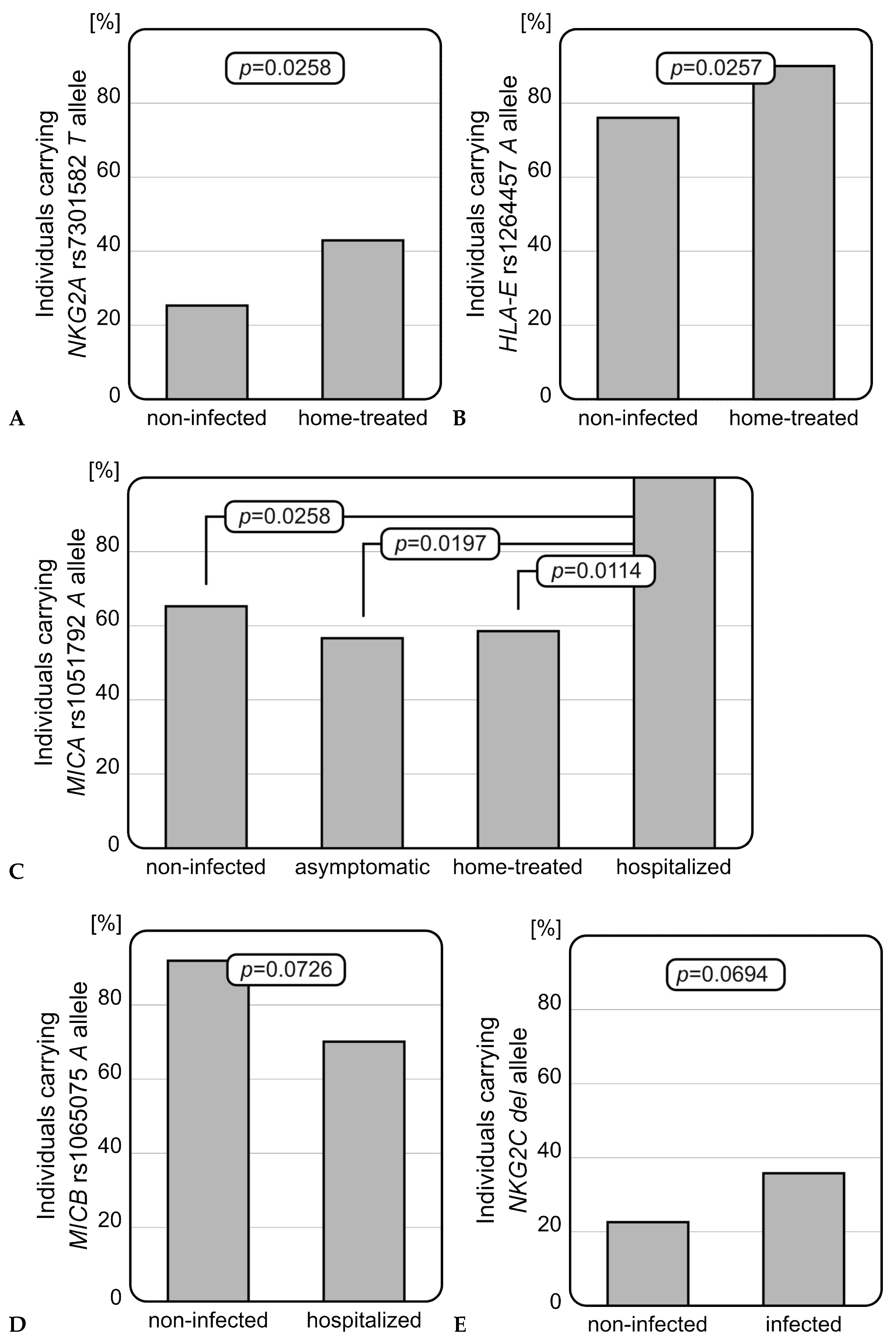
3.1. SNP Genotyping
3.2. NKG2C Deletion
3.3. Serum sHLA-E, sMICA, and sMICB Concentrations
4. Discussion
Author Contributions
Funding
Institutional Review Board Statement
Informed Consent Statement
Data Availability Statement
Acknowledgments
Conflicts of Interest
References
- Caligiuri, M.A. Human natural killer cells. Blood 2008, 112, 461–469. [Google Scholar] [CrossRef]
- Vivier, E.; Tomasello, E.; Baratin, M.; Walzer, T.; Ugolini, S. Functions of natural killer cells. Nat. Immunol. 2008, 9, 503–510. [Google Scholar] [CrossRef] [PubMed]
- Björkström, N.K.; Strunz, B.; Ljunggren, H.G. Natural killer cells in antiviral immunity. Nat. Rev. Immunol. 2022, 22, 112–123. [Google Scholar] [CrossRef] [PubMed]
- Chen, Y.; Lu, D.; Churov, A.; Fu, R. Research Progress on NK Cell Receptors and Their Signaling Pathways. Mediat. Inflamm. 2020, 2020, 6437057. [Google Scholar] [CrossRef]
- Dębska-Zielkowska, J.; Moszkowska, G.; Zieliński, M.; Zielińska, H.; Dukat-Mazurek, A.; Trzonkowski, P.; Stefańska, K. KIR Receptors as Key Regulators of NK Cells Activity in Health and Disease. Cells 2021, 10, 1777. [Google Scholar] [CrossRef]
- Biassoni, R.; Cantoni, C.; Pende, D.; Sivori, S.; Parolini, S.; Vitale, M.; Bottino, C.; Moretta, A. Human natural killer cell receptors and co-receptors. Immunol. Rev. 2021, 181, 203–214. [Google Scholar] [CrossRef]
- Colonna, M.; Nakajima, H.; Cella, M. Inhibitory and activating receptors involved in immune surveillance by human NK and myeloid cells. J. Leukoc. Biol. 1999, 66, 718–722. [Google Scholar] [CrossRef]
- Heidenreich, S.; Zu Eulenburg, C.; Hildebrandt, Y.; Stübig, T.; Sierich, H.; Badbaran, A.; Eiermann, T.H.; Binder, T.M.; Kröger, N. Impact of the NK cell receptor LIR-1 (ILT-2/CD85j/LILRB1) on cytotoxicity against multiple myeloma. Clin. Dev. Immunol. 2012, 2012, 652130. [Google Scholar] [CrossRef] [PubMed]
- Siemaszko, J.; Marzec-Przyszlak, A.; Bogunia-Kubik, K. NKG2D Natural Killer Cell Receptor-A Short Description and Potential Clinical Applications. Cells 2021, 10, 1420. [Google Scholar] [CrossRef]
- Borst, L.; van der Burg, S.H.; van Hall, T. The NKG2A-HLA-E Axis as a Novel Checkpoint in the Tumor Microenvironment. Clin. Cancer Res. 2020, 26, 5549–5556. [Google Scholar] [CrossRef]
- Salomé, B.; Sfakianos, J.P.; Ranti, D.; Daza, J.; Bieber, C.; Charap, A.; Hammer, C.; Banchereau, R.; Farkas, A.M.; Ruan, D.F.; et al. NKG2A and HLA-E define an alternative immune checkpoint axis in bladder cancer. Cancer Cell 2022, 40, 1027–1043.e9. [Google Scholar] [CrossRef]
- Fisher, J.G.; Doyle, A.D.P.; Graham, L.V.; Khakoo, S.I.; Blunt, M.D. Disruption of the NKG2A:HLA-E Immune Checkpoint Axis to Enhance NK Cell Activation against Cancer. Vaccines 2022, 10, 1993. [Google Scholar] [CrossRef]
- Iwaszko, M.; Bogunia-Kubik, K. Clinical significance of the HLA-E and CD94/NKG2 interaction. Arch. Immunol. Ther. Exp. 2011, 59, 353–367. [Google Scholar] [CrossRef]
- Zheng, M.; Gao, Y.; Wang, G.; Song, G.; Liu, S.; Sun, D.; Xu, Y.; Tian, Z. Functional exhaustion of antiviral lymphocytes in COVID-19 patients. Cell. Mol. Immunol. 2020, 17, 533–535. [Google Scholar] [CrossRef]
- Vietzen, H.; Zoufaly, A.; Traugott, M.; Aberle, J.; Aberle, S.W.; Puchhammer-Stöckl, E. Deletion of the NKG2C receptor encoding KLRC2 gene and HLA-E variants are risk factors for severe COVID-19. Genet. Med. 2021, 23, 963–967. [Google Scholar] [CrossRef]
- Hartmann, J.A.; Cardoso, M.R.; Talarico, M.C.R.; Kenney, D.J.; Leone, M.R.; Reese, D.C.; Turcinovic, J.; O’Connell, A.K.; Gertje, H.P.; Marino, C.; et al. Evasion of NKG2D-mediated cytotoxic immunity by sarbecoviruses. Cell 2024, 187, 2393–2410.e14. [Google Scholar] [CrossRef] [PubMed]
- Masselli, E.; Vaccarezza, M.; Carubbi, C.; Pozzi, G.; Presta, V.; Mirandola, P.; Vitale, M. NK cells: A double edge sword against SARS-CoV-2. Adv. Biol. Regul. 2020, 77, 100737. [Google Scholar] [CrossRef]
- Xu, Z.; Taylor, J.A. SNPinfo: Integrating GWAS and candidate gene information into functional SNP selection for genetic association studies. Nucleic Acids Res. 2009, 37, W600–W605. [Google Scholar] [CrossRef] [PubMed]
- Miyashita, R.; Tsuchiya, N.; Hikami, K.; Kuroki, K.; Fukazawa, T.; Bijl, M.; Kallenberg, C.G.; Hashimoto, H.; Yabe, T.; Tokunaga, K. Molecular genetic analyses of human NKG2C (KLRC2) gene deletion. Int. Immunol. 2004, 16, 163–168. [Google Scholar] [CrossRef]
- Siemaszko, J.; Łacina, P.; Szymczak, D.; Szeremet, A.; Majcherek, M.; Czyż, A.; Sobczyk-Kruszelnicka, M.; Fidyk, W.; Solarska, I.; Nasiłowska-Adamska, B.; et al. Significance of HLA-E and its two NKG2 receptors in development of complications after allogeneic transplantation of hematopoietic stem cells. Front. Immunol. 2023, 14, 1227897. [Google Scholar] [CrossRef] [PubMed]
- Herrera, L.; Martin-Inaraja, M.; Santos, S.; Inglés-Ferrándiz, M.; Azkarate, A.; Perez-Vaquero, M.A.; Vesga, M.A.; Vicario, J.L.; Soria, B.; Solano, C.; et al. Identifying SARS-CoV-2 ‘memory’ NK cells from COVID-19 convalescent donors for adoptive cell therapy. Immunology 2022, 165, 234–249. [Google Scholar] [CrossRef]
- Varchetta, S.; Mele, D.; Oliviero, B.; Mantovani, S.; Ludovisi, S.; Cerino, A.; Bruno, R.; Castelli, A.; Mosconi, M.; Vecchia, M.; et al. Unique immunological profile in patients with COVID-19. Cell. Mol. Immunol. 2021, 18, 604–612. [Google Scholar] [CrossRef]
- Wang, F.; Nie, J.; Wang, H.; Zhao, Q.; Xiong, Y.; Deng, L.; Song, S.; Ma, Z.; Mo, P.; Zhang, Y. Characteristics of Peripheral Lymphocyte Subset Alteration in COVID-19 Pneumonia. J. Infect. Dis. 2020, 221, 1762–1769. [Google Scholar] [CrossRef] [PubMed]
- Jiang, Y.; Wei, X.; Guan, J.; Qin, S.; Wang, Z.; Lu, H.; Qian, J.; Wu, L.; Chen, Y.; Chen, Y.; et al. COVID-19 pneumonia: CD8+ T and NK cells are decreased in number but compensatory increased in cytotoxic potential. Clin. Immunol. 2020, 218, 108516. [Google Scholar] [CrossRef]
- Jaiswal, S.R.; Arunachalam, J.; Bhardwaj, A.; Saifullah, A.; Lakhchaura, R.; Soni, M.; Bhagawati, G.; Chakrabarti, S. Impact of adaptive natural killer cells, KLRC2 genotype and cytomegalovirus reactivation on late mortality in patients with severe COVID-19 lung disease. Clin. Transl. Immunol. 2022, 11, e1359. [Google Scholar] [CrossRef]
- Thomas, R.; Low, H.Z.; Kniesch, K.; Jacobs, R.; Schmidt, R.E.; Witte, T. NKG2C deletion is a risk factor of HIV infection. AIDS Res. Hum. Retrovir. 2012, 28, 844–851. [Google Scholar] [CrossRef]
- Siemaszko, J.; Ussowicz, M.; Rybka, B.; Ryczan-Krawczyk, R.; Kałwak, K.; Bogunia-Kubik, K. The impact of NKG2A and NKG2D receptors and HLA-E and MICA ligands polymorphisms on post-transplant complications after paediatric allogeneic HSCT: A single-centre experience. Front. Genet. 2023, 14, 1186123. [Google Scholar] [CrossRef]
- Tripathy, A.S.; Wagh, P.; Akolkar, K.; Walimbe, A.M.; Potdar, V.A.; Choudhary, M.L.; Kadgi, N.; Nakate, L.; Abraham, P. Association of inhibitory NKG2A and activating NKG2D natural killer cell receptor genes with resistance to SARS-CoV-2 infection in a western Indian population. Arch. Virol. 2023, 168, 237. [Google Scholar] [CrossRef]
- Tamouza, R.; Busson, M.; Rocha, V.; Fortier, C.; Haddad, Y.; Brun, M.; Boukouaci, W.; Bleux, H.; Socié, G.; Krishnamoorthy, R.; et al. Homozygous status for HLA-E*0103 confers protection from acute graft-versus-host disease and transplant-related mortality in HLA-matched sibling hematopoietic stem cell transplantation. Transplantation 2006, 82, 1436–1440. [Google Scholar] [CrossRef]
- Lajoie, J.; Hargrove, J.; Zijenah, L.S.; Humphrey, J.H.; Ward, B.J.; Roger, M. Genetic variants in nonclassical major histocompatibility complex class I human leukocyte antigen (HLA)-E and HLA-G molecules are associated with susceptibility to heterosexual acquisition of HIV-1. J. Infect. Dis. 2006, 193, 298–301. [Google Scholar] [CrossRef]
- Niepiekło-Miniewska, W.; Kaminska, M.; Koscielska-Kasprzak, K.; Bartoszek, D.; Zabinska, M.; Kaminska, D.; Krajewska, M.; Bogunia-Kubik, K. P106; Effect of HLA-B-21 dimorphism on cellular response after COVID-19 vaccination in patients with renal disorders. EFI Abstract Book. HLA 2024, 103, 2059–2302. [Google Scholar] [CrossRef]
- Martín-Rodríguez, D.; Gutiérrez-Bautista, J.F.; Bernal, M.; Rodriguez-Nicolas, A.; Vílchez, J.R.; Marín-Sánchez, A.; Rosales-Castillo, A.; Sainz, J.; Cabrera-Serrano, A.J.; Ceron-Hernandez, J.; et al. Investigation of HLA-B-21 M/T Dimorphism and Its Potential Role in COVID-19. Int. J. Mol. Sci. 2025, 26, 6419. [Google Scholar] [CrossRef]
- Taniguchi, R.; Koyano, S.; Suzutani, T.; Goishi, K.; Ito, Y.; Morioka, I.; Nakamura, H.; Yamada, H.; Oka, A.; Inoue, N. A Thr72Ala polymorphism in the NKG2D gene is associated with early symptomatic congenital cytomegalovirus disease. Infection 2015, 43, 353–359. [Google Scholar] [CrossRef]
- Ma, J.; Guo, X.; Wu, X.; Li, J.; Zhu, X.; Li, Z.; Li, J.; Pan, L.; Li, T.; Li, H.; et al. Association of NKG2D genetic polymorphism with susceptibility to chronic hepatitis B in a Han Chinese population. J. Med. Virol. 2010, 82, 1501–1507. [Google Scholar] [CrossRef]
- Espinoza, J.L.; Nguyen, V.H.; Ichimura, H.; Pham, T.T.; Nguyen, C.H.; Pham, T.V.; Elbadry, M.I.; Yoshioka, K.; Tanaka, J.; Trung, L.Q.; et al. A functional polymorphism in the NKG2D gene modulates NK-cell cytotoxicity and is associated with susceptibility to Human Papilloma Virus-related cancers. Sci. Rep. 2016, 6, 39231. [Google Scholar] [CrossRef]
- Isernhagen, A.; Malzahn, D.; Bickeböller, H.; Dressel, R. Impact of the MICA-129Met/Val Dimorphism on NKG2D-Mediated Biological Functions and Disease Risks. Front. Immunol. 2016, 7, 588. [Google Scholar] [CrossRef]
- Castelli, E.C.; de Castro, M.V.; Naslavsky, M.S.; Scliar, M.O.; Silva, N.S.B.; Andrade, H.S.; Souza, A.S.; Pereira, R.N.; Castro, C.F.B.; Mendes-Junior, C.T.; et al. MHC Variants Associated with Symptomatic Versus Asymptomatic SARS-CoV-2 Infection in Highly Exposed Individuals. Front. Immunol. 2021, 12, 742881. [Google Scholar] [CrossRef] [PubMed]
- Gutiérrez-Bautista, J.F.; Martinez-Chamorro, A.; Rodriguez-Nicolas, A.; Rosales-Castillo, A.; Jiménez, P.; Anderson, P.; López-Ruz, M.Á.; López-Nevot, M.Á.; Ruiz-Cabello, F. Major Histocompatibility Complex Class I Chain-Related α (MICA) STR Polymorphisms in COVID-19 Patients. Int. J. Mol. Sci. 2022, 23, 6979. [Google Scholar] [CrossRef] [PubMed]
- Luo, Q.; Yin, X.; Zhu, Q.; Luo, W.; Liu, R.; Wei, L.; Zou, Y. Two major human phenotypes of MICA molecules and their differential activation to NK cells via NKG2D receptor. Front. Immunol. 2025, 16, 1563872. [Google Scholar] [CrossRef]
- Pickering, H.; Alipanah-Lechner, N.; Chen, E.; Duchen, D.; Maecker, H.T.; Kim-Schulze, S.; Montgomery, R.R.; Cotsapas, C.; Steen, H.; Krammer, F.; et al. MICBG406A polymorphism reduces risk of mechanical ventilation and death during viral acute lung injury. JCI Insight 2025, 10, e191951. [Google Scholar] [CrossRef] [PubMed]
- Siemaszko, J.; Dratwa, M.; Szeremet, A.; Majcherek, M.; Czyż, A.; Sobczyk-Kruszelnicka, M.; Fidyk, W.; Solarska, I.; Nasiłowska-Adamska, B.; Skowrońska, P.; et al. MICB Genetic Variants and Its Protein Soluble Level Are Associated with the Risk of Chronic GvHD and CMV Infection after Allogeneic HSCT. Arch. Immunol. Ther. Exp. 2024, 72, 12. [Google Scholar] [CrossRef] [PubMed]
- Zidi, I.; Laaribi, A.B.; Bortolotti, D.; Belhadj, M.; Mehri, A.; Yahia, H.B.; Babay, W.; Chaouch, H.; Zidi, N.; Letaief, A.; et al. HLA-E polymorphism and soluble HLA-E plasma levels in chronic hepatitis B patients. HLA 2016, 87, 153–159. [Google Scholar] [CrossRef] [PubMed]
- Fernández-Soto, D.; García-Jiménez, Á.F.; Casasnovas, J.M.; Valés-Gómez, M.; Reyburn, H.T. Elevated levels of cell-free NKG2D-ligands modulate NKG2D surface expression and compromise NK cell function in severe COVID-19 disease. Front. Immunol. 2024, 15, 1273942. [Google Scholar] [CrossRef] [PubMed]


| SNP ID | Gene | Nucleotide/Amino Acid Change | Localization |
|---|---|---|---|
| rs7301582 | NKG2A/KLRC1 | C>T | Intronic variant |
| rs1049174 | NKG2D/KLRK2 | C>G (LNK/HNK) ^ | 3′UTR |
| rs1264457 | HLA-E | A>G/Arg107Gly (HLA-E*01:01/*01:03) | Exon 3 |
| rs1051792 | MICA | G>A/Val192Met | Exon 3 |
| rs1065075 | MICB | A>G/Lys48Glu | Exon 2 |
| SNP | Genotype | Asymptomatic | Home-Treated | Hospitalized | Healthy Controls |
|---|---|---|---|---|---|
| NKG2A rs7301582 | CC CT TT | 27 (72.97%) 8 (21.62%) 2 (5.41%) | 40 (57.14%) 29 (41.43%) 1 (1.43%) | 6 (60%) 4 (40%) 0 (0%) | 56 (74.67%) 16 (21.33%) 3 (4%) |
| NKG2C deletion | wt/wt wt/del del/del | 25 (67.57%) 12 (32.43%) 0 (0%) | 44 (62.86%) 25 (35.71%) 1 (1.43%) | 6 (60%) 4 (40%) 0 (0%) | 58 (77.33%) 16 (21.33%) 1 (1.33%) |
| NKG2D rs1049174 | GG GC CC | 20 (54.05%) 14 (37.84%) 3 (8.11%) | 31 (44.29%) 33 (47.14%) 6 (8.57%) | 4 (40%) 6 (60%) 0 (0%) | 36 (48%) 34 (45.33%) 5 (6.67%) |
| HLA-E rs1264457 | AA AG GG | 12 (32.43%) 17 (45.95%) 8 (21.62%) | 34 (48.57%) 29 (41.43%) 7 (10%) | 3 (30%) 6 (60%) 1 (10%) | 21 (28%) 36 (48%) 18 (24%) |
| MICA rs1051792 | GG GA AA | 16 (43.24%) 15 (40.54%) 6 (16.22%) | 29 (41.43%) 31 (44.29%) 10 (14.29%) | 0 (0%) 9 (90%) 1 (10%) | 26 (34.67%) 39 (52%) 10 (13.33%) |
| MICB rs1065075 | AA AG GG | 16 (43.24%) 17 (45.95%) 4 (10.81%) | 33 (47.14%) 27 (38.57%) 10 (14.29%) | 4 (40%) 3 (30%) 3 (30%) | 29 (38.67%) 39 (52%) 7 (9.33%) |
| Mean [pg/mL] | SD | Median [pg/mL] | ||
|---|---|---|---|---|
| sHLA-E | non-infected | 56.19 | ±16.68 | 54.39 |
| asymptomatic | 60.54 | ±16.53 | 64.01 | |
| home-treated | 56.64 | ±15.73 | 55.10 | |
| hospitalized | 53.83 | ±28.05 | 62.41 | |
| sMICA | non-infected | 47.85 | ±21.45 | 45.78 |
| asymptomatic | 66.13 | ±33.57 | 71.42 | |
| home-treated | 48.63 | ±36.90 | 33.96 | |
| hospitalized | 42.52 | ±53.00 | 20.68 | |
| sMICB | non-infected | 86.74 | ±14.50 | 82.28 |
| asymptomatic | 114.8 | ±52.99 | 99.35 | |
| home-treated | 116.2 | ±34.55 | 112.5 | |
| hospitalized | 90.67 | ±9.083 | 88.53 |
Disclaimer/Publisher’s Note: The statements, opinions and data contained in all publications are solely those of the individual author(s) and contributor(s) and not of MDPI and/or the editor(s). MDPI and/or the editor(s) disclaim responsibility for any injury to people or property resulting from any ideas, methods, instructions or products referred to in the content. |
© 2025 by the authors. Licensee MDPI, Basel, Switzerland. This article is an open access article distributed under the terms and conditions of the Creative Commons Attribution (CC BY) license (https://creativecommons.org/licenses/by/4.0/).
Share and Cite
Siemaszko, J.; Grad, K.; Świerkot, J.; Bogunia-Kubik, K. Genetic Variability in NKG2 Receptors and Their Ligands: Associations with SARS-CoV-2 Infection and COVID-19 Severity. Genes 2025, 16, 1193. https://doi.org/10.3390/genes16101193
Siemaszko J, Grad K, Świerkot J, Bogunia-Kubik K. Genetic Variability in NKG2 Receptors and Their Ligands: Associations with SARS-CoV-2 Infection and COVID-19 Severity. Genes. 2025; 16(10):1193. https://doi.org/10.3390/genes16101193
Chicago/Turabian StyleSiemaszko, Jagoda, Katarzyna Grad, Jerzy Świerkot, and Katarzyna Bogunia-Kubik. 2025. "Genetic Variability in NKG2 Receptors and Their Ligands: Associations with SARS-CoV-2 Infection and COVID-19 Severity" Genes 16, no. 10: 1193. https://doi.org/10.3390/genes16101193
APA StyleSiemaszko, J., Grad, K., Świerkot, J., & Bogunia-Kubik, K. (2025). Genetic Variability in NKG2 Receptors and Their Ligands: Associations with SARS-CoV-2 Infection and COVID-19 Severity. Genes, 16(10), 1193. https://doi.org/10.3390/genes16101193

