Unravelling the Genetic Architecture of Serum Biochemical Indicators in Sheep
Abstract
1. Introduction
2. Materials and Methods
2.1. Animal Population and Blood Serum Indicators
2.2. Genotyping and Quality Control
2.3. Estimation of Genetic Parameters
2.4. Genome-Wide Association Studies (GWASs)
2.5. Functional Annotation Analysis
3. Results
3.1. Phenotypic Correlation between and Genetic Parameter Analyses of Serum Biochemical Indicators
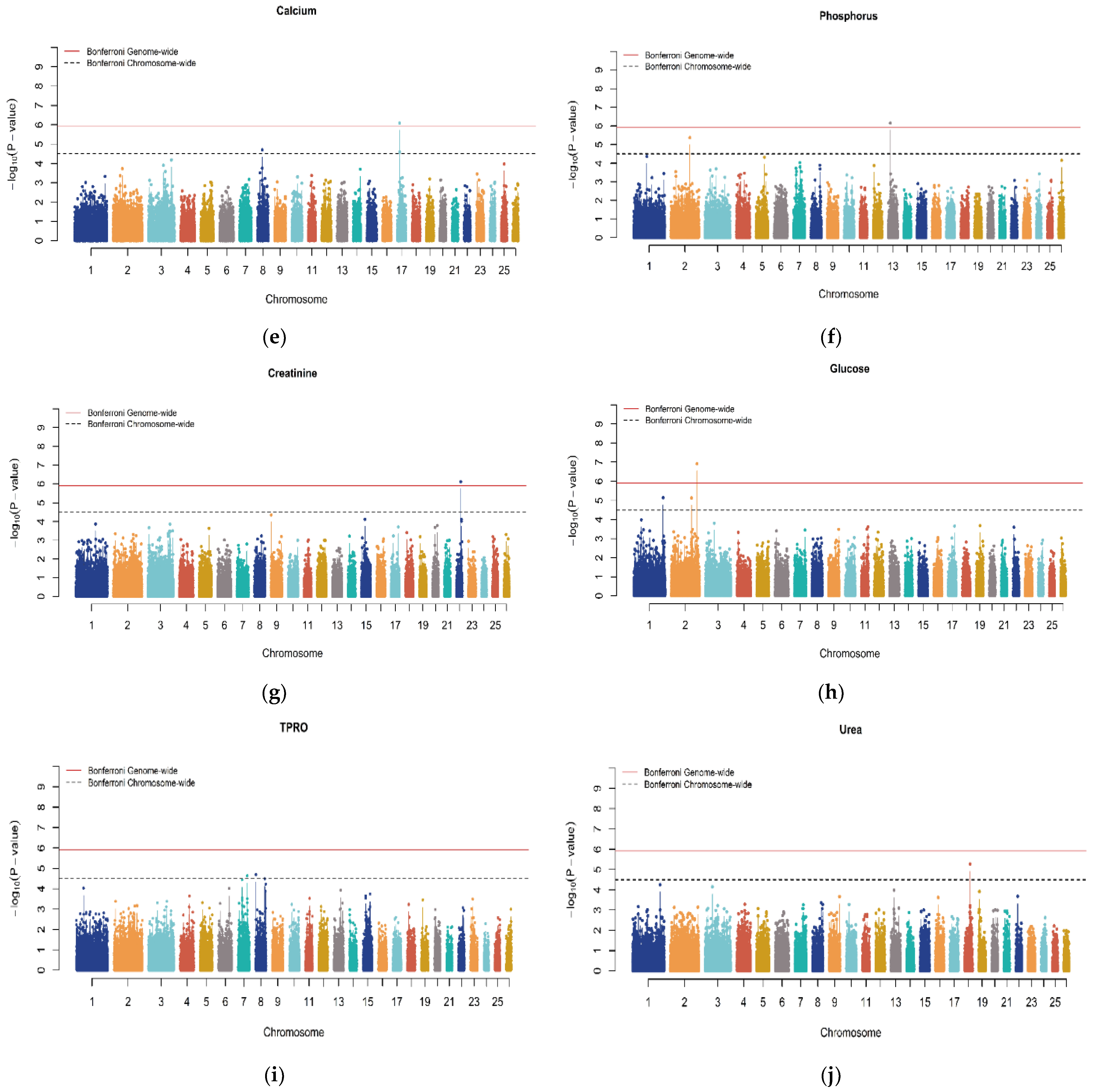
3.2. Genome-Wide Association Studies (GWASs)
4. Discussion
5. Conclusions
Supplementary Materials
Author Contributions
Funding
Institutional Review Board Statement
Informed Consent Statement
Data Availability Statement
Acknowledgments
Conflicts of Interest
References
- Bobbo, T.; Ruegg, P.L.; Fiore, E.; Gianesella, M.; Morgante, M.; Pasotto, D.; Cecchinato, A. Association between udder health status and blood serum proteins in dairy cows. J. Dairy. Sci. 2017, 100, 9775–9780. [Google Scholar] [CrossRef] [PubMed]
- Psychogios, N.; Hau, D.D.; Peng, J.; Guo, A.C.; Mandal, R.; Bouatra, S.; Wishart, D.S. The human serum metabolome. PLoS ONE 2011, 6, e16957. [Google Scholar] [CrossRef] [PubMed]
- Yu, Z.; Kastenmüller, G.; He, Y.; Belcredi, P.; Möller, G.; Prehn, C.; Wang-Sattler, R. Differences between human plasma and serum metabolite profiles. PLoS ONE 2011, 6, e21230. [Google Scholar] [CrossRef] [PubMed]
- Meyer, T.E.; Verwoert, G.C.; Hwang, S.J.; Glazer, N.L.; Smith, A.V.; van Rooij, F.J.A.; Ehret, G.B.; Boerwinkle, E.; Felix, J.F.; Leak, T.S.; et al. Genome-wide association studies of serum magnesium, potassium, and sodium concentrations identify six loci influencing serum magnesium levels. PLoS Genet. 2010, 6, e1001045. [Google Scholar] [CrossRef] [PubMed]
- Song, H.; Li, W.; Li, Y.; Zhai, B.; Guo, Y.; Chen, Y.; Han, R.; Sun, G.; Jiang, R.; Li, Z.; et al. Genome-wide association study of 17 serum biochemical indicators in a chicken F2 resource population. BMC Genom. 2023, 24, 98. [Google Scholar] [CrossRef] [PubMed]
- Wallace, C.; Newhouse, S.J.; Braund, P.; Zhang, F.; Tobin, M.; Falchi, M.; Ahmadi, K.; Dobson, R.J.; Marçano, A.C.B.; Hajat, C.; et al. Genome-wide Association Study Identifies Genes for Biomarkers of Cardiovascular Disease: Serum Urate and Dyslipidemia. AJHG 2008, 82, 139–149. [Google Scholar] [CrossRef] [PubMed]
- Bovo, S.; Mazzoni, G.; Bertolini, F.; Schiavo, G.; Galimberti, G.; Gallo, M.; Dall’Olio, S.; Fontanesi, L. Genome-wide association studies for 30 haematological and blood clinical-biochemical traits in Large White pigs reveal genomic regions affecting intermediate phenotypes. Sci. Rep. 2019, 9, 7003. [Google Scholar] [CrossRef] [PubMed]
- Escribano, B.M.; Molina, A.; Valera, M.; Tovar, P.; Agüera, E.I.; Santisteban, R.; Vivo, R.; Agüera, S.; Rubio, M.D. Genetic analysis of haematological and plasma biochemical parameters in the Spanish purebred horse exercised on a treadmill. Animal 2013, 7, 1414–1422. [Google Scholar] [CrossRef] [PubMed]
- Whitfield, J.B. Genetics of Biochemical Phenotypes. Twin Res. Hum. Genet. 2020, 23, 77–79. [Google Scholar] [CrossRef]
- Gieger, C.; Geistlinger, L.; Altmaier, E.; De Angelis, M.H.; Kronenberg, F.; Meitinger, T.; Mewes, H.W.; Wichmann, H.E.; Weinberger, K.M.; Adamski, J.; et al. Genetics meets metabolomics: A genome-wide association study of metabolite profiles in human serum. PLoS Genet. 2008, 4, e1000282. [Google Scholar] [CrossRef]
- Mitchell, B.D.; Kammerer, C.M.; Blangero, J.; Mahaney, M.C.; Rainwater, D.L.; Dyke, B.; Hixson, J.E.; Henkel, R.D.; Sharp, R.M.; Comuzzie, A.G.; et al. Genetic and environmental contributions to cardiovascular risk factors in mexican americans. Circulation 1996, 94, 2159–2170. [Google Scholar] [CrossRef] [PubMed]
- Zamani, P.; Mohammadi, H.; Mirhoseini, S.Z. Genome-wide association study and genomic heritabilities for blood protein levels in Lori-Bakhtiari sheep. Sci. Rep. 2021, 11, 23771. [Google Scholar] [CrossRef] [PubMed]
- Andjelić, B.; Djoković, R.; Cincović, M.; Bogosavljević-Bošković, S.; Petrović, M.; Mladenović, J.; Čukić, A. Relationships between milk and blood biochemical parameters and metabolic status in dairy cows during lactation. Metabolites 2022, 12, 733. [Google Scholar] [CrossRef]
- Bovo, S.; Mazzoni, G.; Galimberti, G.; Calò, D.G.; Fanelli, F.; Mezzullo, M.; Schiavo, G.; Manisi, A.; Trevisi, P.; Bosi, P.; et al. Metabolomics evidences plasma and serum biomarkers differentiating two heavy pig breeds. Animal 2016, 10, 1741–1748. [Google Scholar] [CrossRef] [PubMed]
- Karisa, B.K.; Thomson, J.; Wang, Z.; Li, C.; Montanholi, Y.R.; Miller, S.P.; Moore, S.S.; Plastow, G.S. Plasma metabolites associated with residual feed intake and other productivity performance traits in beef cattle. Livest. Sci. 2014, 165, 200–211. [Google Scholar] [CrossRef]
- Li, J.; Akanno, E.C.; Valente, T.S.; Abo-Ismail, M.; Karisa, B.K.; Wang, Z.; Plastow, G.S. Genomic Heritability and Genome-Wide Association Studies of Plasma Metabolites in Crossbred Beef Cattle. Front. Genet. 2020, 11, 1–12. [Google Scholar] [CrossRef]
- Zhang, H.L.; Xu, Z.Q.; Yang, L.L.; Wang, Y.X.; Li, Y.M.; Dong, J.Q.; Zhang, X.Y.; Jiang, X.Y.; Jiang, X.F.; Li, H.; et al. Genetic parameters for the prediction of abdominal fat traits using blood biochemical indicators in broilers. Br. Poult. Sci. 2018, 59, 28–33. [Google Scholar] [CrossRef]
- FAO. The state of the World’s Animal Genetic Resources for Food and Agriculture; FAO: Rome, Italy, 2008. [Google Scholar]
- Scherf, B.D.; Pilling, D. The Second Report on the State of the World’s Animal Genetic Resources for Food and Agriculture; FAO: Rome, Italy, 2015. [Google Scholar]
- Bishop, S.C.; Woolliams, J.A. Genomics and disease resistance studies in livestock. Livest. Sci. 2014, 166, 190–198. [Google Scholar] [CrossRef]
- Bishop, S.C.; Axford, R.F.E.; Nicholas, F.W.; Owen, J.B. Breeding for Disease Resistance in Farm Animals; CABI: Egham, UK, 2010. [Google Scholar]
- Arzik, Y.; Kizilaslan, M.; White, S.N.; Piel, L.M.; Cinar, M.U. Estimates of genomic heritability and genome-wide association studies for blood parameters in Akkaraman sheep. Sci. Rep. 2022, 12, 18477. [Google Scholar] [CrossRef]
- Chinchilla-Vargas, J.; Kramer, L.M.; Tucker, J.D.; Hubbell, D.S.; Powell, J.G.; Lester, T.D.; Backes, E.A.; Anschutz, K.; Decker, J.E.; Stalder, K.J.; et al. Genetic basis of blood-based traits and their relationship with performance and environment in beef cattle at weaning. Front. Genet. 2020, 11, 1–13. [Google Scholar] [CrossRef]
- Kizilaslan, M.; Arzik, Y.; White, S.N.; Piel, L.M.W.; Cinar, M.U. Genetic Parameters and Genomic Regions Underlying Growth and Linear Type Traits in Akkaraman Sheep. Genes 2022, 13, 1414. [Google Scholar] [CrossRef] [PubMed]
- Mucha, S.; Mrode, R.; Coffey, M.; Kizilaslan, M.; Desire, S.; Conington, J. Genome-wide association study of conformation and milk yield in mixed-breed dairy goats. J. Dairy Sci. 2018, 101, 2213–2225. [Google Scholar] [CrossRef] [PubMed]
- Dekkers, J.C.M. Prediction of response to marker-assisted and genomic selection using selection index theory. J. Anim. Breed. Genet. 2007, 124, 331–341. [Google Scholar] [CrossRef] [PubMed]
- Doormaal, B.V. Increased Rates of Genetic Gain with Genomics; Canadian Dairy Network: Guelph, Canada, 2012; pp. 1–3. [Google Scholar]
- Goddard, M.E.; Hayes, B.J. Mapping genes for complex traits in domestic animals and their use in breeding programmes. Nat. Rev. Genet. 2009, 10, 381–391. [Google Scholar] [CrossRef] [PubMed]
- Meuwissen, T.; Hayes, B.; Goddard, M. Accelerating improvement of livestock with genomic selection. Annu. Rev. Anim. Biosci. 2013, 1, 221–237. [Google Scholar] [CrossRef] [PubMed]
- Rupp, R.; Mucha, S.; Larroque, H.; McEwan, J.; Conington, J. Genomic application in sheep and goat breeding. Anim. Front. 2016, 6, 39–44. [Google Scholar] [CrossRef]
- Banstola, A.; Reynolds, J.N.J. The Sheep as a Large Animal Model for the Investigation and Treatment of Human Disorders. Biology 2022, 11, 1251. [Google Scholar] [CrossRef] [PubMed]
- Pinnapureddy, A.R.; Stayner, C.; McEwan, J.; Baddeley, O.; Forman, J.; Eccles, M.R. Large animal models of rare genetic disorders: Sheep as phenotypically relevant models of human genetic disease. Orphanet J. Rare Dis. 2015, 10, 107. [Google Scholar] [CrossRef]
- Shi, K.; Niu, F.; Zhang, Q.; Ning, C.; Yue, S.; Hu, C.; Wang, Z. Identification of whole-genome significant single nucleotide polymorphisms in candidate genes associated with serum biochemical traits in Chinese Holstein cattle. Front. Genet. 2020, 11, 163. [Google Scholar] [CrossRef]
- Tang, H.; Zhang, H.; Liu, D.; Wang, Z.; Yu, D.; Fan, W.; Zhou, Z. Genome-wide association study reveals the genetic determinism of serum biochemical indicators in ducks. BMC Genom. 2022, 23, 856. [Google Scholar] [CrossRef]
- Kizilaslan, M.; Arzik, Y.; Behrem, S.; White, S.N.; Cinar, M.U. Comparative genomic characterization of indigenous fat-tailed Akkaraman sheep with local and transboundary sheep breeds. Food Eng. Sec. 2024, 13, e508. [Google Scholar] [CrossRef]
- Percie du Sert, N.; Hurst, V.; Ahluwalia, A.; Alam, S.; Avey, M.T.; Baker, M.; Browne, W.J.; Clark, A.; Cuthill, I.C.; Dirnagl, U.; et al. The ARRIVE guidelines 2.0: Updated guidelines for reporting animal research. PLoS Biol. 2020, 18, e3000410. [Google Scholar] [CrossRef]
- R Core Team. R: A Language and Environment for Statistical Computing; R Foundation for Statistical Computing: Vienna, Austria, 2021. [Google Scholar]
- Breusch, T.S.; Pagan, A.R. A simple test for heteroscedasticity and random coefficient variation. Econometrica 1979, 47, 1287–1294. [Google Scholar] [CrossRef]
- Box, G.E.P.; Cox, D.R. An analysis of transformations. J. R Stat Series B (Methodol.) 1964, 26, 211–243. [Google Scholar] [CrossRef]
- Aulchenko, Y.S.; Ripke, S.; Isaacs, A.; van Duijn, C.M. GenABEL: An R library for genome-wide association analysis. Bioinformatics 2007, 23, 1294–1296. [Google Scholar] [CrossRef] [PubMed]
- Covarrubias-Pazaran, G. Genome-Assisted prediction of quantitative traits using the r package sommer. PLoS ONE 2016, 11, 1–15. [Google Scholar] [CrossRef]
- VanRaden, P.M. Efficient methods to compute genomic predictions. J. Dairy. Sci. 2008, 91, 4414–4423. [Google Scholar] [CrossRef] [PubMed]
- Lee, S.H.; Van der Werf, J.H.J. MTG2: An efficient algorithm for multivariate linear mixed model analysis based on genomic information. Bioinformatics 2016, 32, 1420–1422. [Google Scholar] [CrossRef]
- Wilson, G.T. On the use of marginal likelihood in time series model estimation. J. R Stat Series B (Methodol.) 1989, 51, 15–27. [Google Scholar] [CrossRef]
- Lynch, M.; Walsh, B. Genetics and Analysis of Quantitative Traits; Sinauer: Sunderland, MA, USA, 1998. [Google Scholar]
- Astle, W.; Balding, D.J. Population structure and cryptic relatedness in genetic association studies. Stat. Sci. 2009, 24, 451–471. [Google Scholar] [CrossRef]
- Chen, W.M.; Abecasis, G.R. Family-based association tests for genomewide association scans. AJHG 2007, 81, 913–926. [Google Scholar] [CrossRef]
- Devlin, B.; Roeder, K. Genomic control for association studies. Biometrics 1999, 55, 997–1004. [Google Scholar] [CrossRef] [PubMed]
- Rangwala, S.H.; Kuznetsov, A.; Ananiev, V.; Asztalos, A.; Borodin, E.; Evgeniev, V.; Joukov, V.; Lotov, V.; Pannu, R.; Rudnev, D. Accessing NCBI data using the NCBI Sequence Viewer and Genome Data Viewer (GDV). Genome Res. 2021, 31, 159–169. [Google Scholar] [CrossRef]
- Huang, D.W.; Sherman, B.T.; Lempicki, R.A. Bioinformatics enrichment tools: Paths toward the comprehensive functional analysis of large gene lists. Nucleic Acids Res. 2009, 37, 1–13. [Google Scholar] [CrossRef] [PubMed]
- Huang, D.W.; Sherman, B.T.; Lempicki, R.A. Systematic and integrative analysis of large gene lists using DAVID bioinformatics resources. Nat. Protoc. 2009, 4, 44–57. [Google Scholar] [CrossRef] [PubMed]
- Binns, D.; Dimmer, E.; Huntley, R.; Barrell, D.; O’donovan, C.; Apweiler, R. QuickGO: A web-based tool for Gene Ontology searching. Bioinformatics 2009, 25, 3045–3046. [Google Scholar] [CrossRef]
- Hu, Z.-L.; Park, C.A.; Reecy, J.M. Bringing the Animal QTLdb and CorrDB into the future: Meeting new challenges and providing updated services. Nucleic Acids Res. 2022, 50, D956–D961. [Google Scholar] [CrossRef]
- Aksoy, N.H.; Karaşahin, T.; Dursun, Ş.; Akbulut, N.K.; Haydardedeoğlu, A.E.; Ilgün, R.; Büyükleblebici, O. Comparative investigation of some liver enzyme functions considering age and gender distinctions in healthy Akkaraman sheep. JECM 2018, 35, 71–75. [Google Scholar]
- de Souza, T.C.; de Souza, T.C.; Rovadoscki, G.A.; Coutinho, L.L.; Mourao, G.B.; de Camargo, G.M.F.; Pinto, L.F.B. Genome-wide association for plasma urea concentration in sheep. Livest. Sci. 2021, 248, 104483. [Google Scholar] [CrossRef]
- Luke, T.D.W.; Rochfort, S.; Wales, W.J.; Bonfatti, V.; Marett, L.; Pryce, J.E. Metabolic profiling of early-lactation dairy cows using milk mid-infrared spectra. J. Dairy Sci. 2019, 102, 1747–1760. [Google Scholar] [CrossRef] [PubMed]
- Schade, D.S.; Shey, L.; Eaton, R.P. Cholesterol review: A metabolically important molecule. Endocr. Pract. 2020, 26, 1514–1523. [Google Scholar] [CrossRef] [PubMed]
- Iacono, J.M.; Ammerman, C.B. The effect of calcium in maintaining normal levels of serum cholesterol and phospholipids in rabbits during acute starvation. Am. J. Clin. Nutr. 1966, 18, 197–202. [Google Scholar] [CrossRef] [PubMed]
- Suica, V.I.; Uyy, E.; Boteanu, R.M.; Ivan, L.; Antohe, F. Alteration of actin dependent signaling pathways associated with membrane microdomains in hyperlipidemia. Proteome Sci. 2015, 13, 30. [Google Scholar] [CrossRef] [PubMed]
- Blake, J.A.; Baldarelli, R.; Kadin, J.A.; Richardson, J.E.; Smith, C.L.; Bult, C.J.; Mouse Genome Database Group. Mouse Genome Database (MGD): Knowledgebase for mouse-human comparative biology. Nucleic Acids Res. 2021, 49, 981–987. [Google Scholar] [CrossRef] [PubMed]
- Jakobsson, P.J.; Morgenstern, R.; Mancini, J.; Ford-Hutchinson, A.; Persson, B. Common structural features of MAPEG—A widespread superfamily of membrane associated proteins with highly divergent functions in eicosanoid and glutathione metabolism. Prot. Sci. 1999, 8, 689–692. [Google Scholar] [CrossRef] [PubMed]
- Iovannisci, D.M.; Lammer, E.J.; Steiner, L.; Cheng, S.; Mahoney, L.T.; Davis, P.H.; Lauer, R.M.; Burns, T.L. Association between a leukotriene C4 synthase gene promoter polymorphism and coronary artery calcium in young women: The Muscatine Study. Arterioscler. Thromb. Vasc. Biol. 2007, 27, 394–399. [Google Scholar] [CrossRef] [PubMed]
- Dennis, E.A.; Norris, P.C. Eicosanoid storm in infection and inflammation. Nat. Rev. Immunol. 2015, 15, 511–523. [Google Scholar] [CrossRef] [PubMed]
- Onopiuk, A.; Tokarzewicz, A.; Gorodkiewicz, E. Cystatin C: A kidney function biomarker. Adv. Clin. Chem. 2015, 68, 57–69. [Google Scholar] [CrossRef] [PubMed]
- Taniguchi, Y.; Pippin, J.W.; Hagmann, H.; Krofft, R.D.; Chang, A.M.; Zhang, J.; Terada, Y.; Brinkkoetter, P.; Shankland, S.J. Both cyclin I and p35 are required for maximal survival benefit of cyclin-dependent kinase 5 in kidney podocytes. Am. J. Physiol. Renal Physiol. 2012, 302, F1161–F1171. [Google Scholar] [CrossRef][Green Version]
- Zhang, C.; Balbo, B.; Ma, M.; Zhao, J.; Tian, X.; Kluger, Y.; Somlo, S. Cyclin-dependent kinase 1 activity is a driver of cyst growth in polycystic kidney disease. Am. J. Nephrol. 2021, 32, 41–51. [Google Scholar] [CrossRef]
- Saurus, P.; Kuusela, S.; Dumont, V.; Lehtonen, E.; Fogarty, C.L.; Lassenius, M.I.; Forsblom, C.; Lehto, M.; Saleem, M.A.; Groop, P.H.; et al. Cyclin-dependent kinase 2 protects podocytes from apoptosis. Sci. Rep. 2016, 6, 21664. [Google Scholar] [CrossRef] [PubMed]
- van Buul-Offers, S.C.; Kooijman, R. The role of growth hormone and insulin-like growth factors in the immune system. Cell. Mol. Life Sci. 1998, 54, 1083–1094. [Google Scholar] [CrossRef] [PubMed]
- Alzaid, A.; Castro, R.; Wang, T.; Secombes, C.J.; Boudinot, P.; Macqueen, D.J.; Martin, S.A. Cross talk between growth and immunity: Coupling of the IGF axis to conserved cytokine pathways in rainbow trout. Endocrinology 2016, 157, 1942–1955. [Google Scholar] [CrossRef] [PubMed]
- Liso, A.; Venuto, S.; Coda, A.R.D.; Giallongo, C.; Palumbo, G.A.; Tibullo, D. IGFBP-6: At the crossroads of immunity, tissue repair and fibrosis. Int. J. Mol. Sci. 2022, 23, 4358. [Google Scholar] [CrossRef] [PubMed]
- Zhang, L.; Smyth, D.; Al-Khalaf, M.; Blet, A.; Du, Q.; Bernick, J.; Gong, M.; Chi, X.; Oh, Y.; Roba-Oshin, M.; et al. Insulin-like growth factor-binding protein-7 (IGFBP7) links senescence to heart failure. Nat. Cardiovasc. Res. 2022, 1, 1195–1214. [Google Scholar] [CrossRef]
- Sonnewald, U.; Wang, A.Y.; Schousboe, A.; Erikson, R.; Skottner, A. New aspects of lactate metabolism: IGF-I and insulin regulate mitochondrial function in cultured brain cells during normoxia and hypoxia. Dev. Neurosci. 1996, 18, 443–448. [Google Scholar] [CrossRef] [PubMed]
- Kasprzak, A. Insulin-like growth factor 1 (IGF-1) signaling in glucose metabolism in colorectal cancer. Int. J. Mol. Sci. 2021, 22, 6434. [Google Scholar] [CrossRef]
- Jennings, M.L. Role of transporters in regulating mammalian intracellular inorganic phosphate. Front. Pharmacol. 2023, 14, 1163442. [Google Scholar] [CrossRef] [PubMed]
- Lv, X.B.; Liu, C.Y.; Wang, Z.; Sun, Y.P.; Xiong, Y.; Lei, Q.Y.; Guan, K.L. PARD 3 induces TAZ activation and cell growth by promoting LATS 1 and PP 1 interaction. EMBO Rep. 2015, 16, 975–985. [Google Scholar] [CrossRef]
- Piroli, M.E.; Blanchette, J.O.; Jabbarzadeh, E. Polarity as a physiological modulator of cell function. Front. Biosci. 2019, 24, 451. [Google Scholar] [CrossRef]
- Bryant, D.M.; Mostov, K.E. From cells to organs: Building polarized tissue. Nat. Rev. Mol. Cell Bio. 2008, 9, 887–901. [Google Scholar] [CrossRef] [PubMed]
- Orlando, K.; Guo, W. Membrane organization and dynamics in cell polarity. Cold. Spring Harb. Perspect. Biol. 2009, 1, a001321. [Google Scholar] [CrossRef] [PubMed]


| Traits | N | Minimum | Mean | SD | Maximum |
|---|---|---|---|---|---|
| ALT | 417 | 5 | 12.64 | 4.21 | 27 |
| AST | 393 | 40 | 78.04 | 18.24 | 141 |
| CHO | 415 | 21 | 45.99 | 14.35 | 85 |
| LDH | 400 | 228 | 494.69 | 111.48 | 912 |
| CA | 415 | 5.20 | 8.11 | 1.02 | 13.10 |
| IP | 410 | 2.90 | 5.85 | 1.04 | 9.60 |
| CRE | 422 | 0.33 | 0.53 | 0.08 | 0.91 |
| GLU | 422 | 29 | 60.11 | 10.51 | 92 |
| TPRO | 418 | 36.29 | 54.11 | 7.39 | 76.96 |
| UREA | 414 | 11 | 43.01 | 9.39 | 84 |
| Traits | ALT | AST | CHO | LDH | CA | IP | CRE | GLU | TPRO | UREA |
|---|---|---|---|---|---|---|---|---|---|---|
| ALT | 0.21 ± 0.11 | 0.48 ± 0.04 | 0.18 ± 0.04 | 0.49 ± 0.04 | −0.01 ± 0.05 | 0.22 ± 0.04 | −0.01 ± 0.05 | 0.02 ± 0.05 | 0.35 ± 0.04 | 0.09 ± 0.05 |
| AST | 0.91 ± 0.08 | 0.14 ± 0.10 | 0.40 ± 0.04 | 0.53 ± 0.04 | 0.28 ± 0.04 | 0.18 ± 0.04 | 0.30 ± 0.04 | 0.14 ± 0.05 | 0.47 ± 0.04 | 0.27 ± 0.04 |
| CHO | 0.48 ± 0.16 | 0.77 ± 0.12 | 0.43 ± 0.14 | 0.35 ± 0.04 | 0.19 ± 0.04 | 0.26 ± 0.04 | 0.20 ± 0.04 | 0.19 ± 0.04 | 0.54 ± 0.04 | 0.32 ± 0.04 |
| LDH | 0.82 ± 0.08 | 0.87 ± 0.07 | 0.70 ± 0.13 | 0.36 ± 0.14 | 0.14 ± 0.05 | 0.32 ± 0.04 | 0.14 ± 0.04 | 0.20 ± 0.04 | 0.52 ± 0.04 | 0.07 ± 0.06 |
| CA | −0.03 ± 0.20 | 0.64 ± 0.12 | 0.39 ± 0.11 | 0.36 ± 0.14 | 0.27 ± 0.13 | 0.11 ± 0.05 | 0.99 ± 0.01 | 0.24 ± 0.04 | 0.35 ± 0.04 | 0.28 ± 0.04 |
| IP | 0.84 ± 0.23 | 0.88 ± 0.33 | 0.53 ± 0.14 | 0.80 ± 0.15 | 0.37 ± 0.17 | 0.29 ± 0.13 | 0.10 ± 0.05 | 0.19 ± 0.04 | 0.36 ± 0.04 | −0.10 ± 0.05 |
| CRE | −0.04 ± 0.22 | 0.66 ± 0.12 | 0.42 ± 0.11 | 0.28 ± 0.14 | 0.11 ± 0.06 | 0.35 ± 0.19 | 0.20 ± 0.11 | 0.23 ± 0.04 | 0.34 ± 0.04 | 0.29 ± 0.04 |
| GLU | 0.13 ± 0.23 | 0.77 ± 0.34 | 0.54 ± 0.19 | 0.78 ± 0.25 | 0.61 ± 0.14 | 0.76 ± 0.24 | 0.62 ± 0.15 | 0.15 ± 0.10 | 0.23 ± 0.04 | −0.11 ± 0.05 |
| TPRO | 0.71 ± 0.12 | 0.81 ± 0.09 | 0.81 ± 0.07 | 0.98 ± 0.08 | 0.64 ± 0.09 | 0.80 ± 0.13 | 0.64 ± 0.10 | 0.59 ± 0.17 | 0.55 ± 0.14 | 0.21 ± 0.04 |
| UREA | 0.27 ± 0.32 | 0.73 ± 0.17 | 0.74 ± 0.14 | 0.29 ± 0.34 | 0.76 ± 0.16 | −0.52 ± 0.38 | 0.78 ± 0.15 | −0.63 ± 0.46 | 0.59 ± 0.18 | 0.18 ± 0.11 |
| Trait | SNP | Chr | Oar_v4.0 Position (bp) | p-Value | MAF | Effect Size | Candidate Gene | Distance |
|---|---|---|---|---|---|---|---|---|
| CHO | rs415766081 | 1 | 107,828,780 | 1.022 × 10−06 | 0.110 | 0.084 | Spectrin α, erythrocytic 1 (SPTA1) | Intron variant |
| CA | rs427096440 | 17 | 17,753,256 | 8.033 × 10−07 | 0.414 | 0.004 | Microsomal glutathione S-transferase 2 (MGST2) | ~31 Kb upstream |
| CRE | rs423178582 | 22 | 37,960,974 | 7.716 × 10−07 | 0.157 | 0.068 | CDK2 associated cullin domain 1 (CACUL1) | ~42 Kb upstream |
| GLU | rs428784360 | 2 | 227,357,948 | 1.207 × 10−07 | 0.160 | 0.092 | ENSOARG00020040484.1 | Intron variant |
| LDH | rs410665381 | 6 | 72,632,996 | 1.216 × 10−06 | 0.129 | 0.117 | Insulin-like growth factor binding protein 7 (IGFBP7) | ~267 Kb upstream |
| IP | rs404995480 | 13 | 17,678,848 | 6.902 × 10−07 | 0.388 | 0.063 | Par-3 family cell polarity regulator (PARD3) | Intron variant |
| Trait | SNP | Chr | Oar_v4.0 Position (bp) | p-Value | MAF | Effect Size | Candidate Gene | Distance |
|---|---|---|---|---|---|---|---|---|
| CHO | rs415259159 | 11 | 36,648,365 | 1.536 × 10−05 | 0.417 | 0.047 | Prohibitin 1 (PHB1) | ~35 Kb upstream |
| CHO | rs408900631 | 3 | 198,343,644 | 2.820 × 10−05 | 0.432 | 0.047 | Solute Carrier Family 15 Member 5 (SLC15A5) | ~55 Kb downstream |
| CHO | rs403535835 | 5 | 75,927,368 | 2.923 × 10−05 | 0.101 | 0.073 | LOC101117162 | ~19 Kb upstream |
| ALT | rs413251030 | 2 | 38,421,272 | 7.175 × 10−06 | 0.194 | 0.380 | Tripartite Motif Containing 35 (TRIM35) | ~71 Kb downstream |
| ALT | rs421887664 | 7 | 80,842,728 | 3.158 × 10−05 | 0.158 | 0.439 | Regulator of G-Protein Signaling 6 (RGS6) | Intron variant |
| AST | rs405842437 | 14 | 24,175,813 | 1.453 × 10−05 | 0.449 | 0.013 | Nucleoporin 93 (NUP93) | Intron variant |
| AST | rs423986212 | 4 | 109,758,783 | 3.111 × 10−05 | 0.269 | 0.014 | Contactin Associated Protein 2 (CNTNAP2) | Intron variant |
| CA | rs421266853 | 8 | 39,031,937 | 1.967 × 10−05 | 0.417 | 0.003 | LOC105611309 | ~56 Kb downstream |
| CA | rs408365736 | 17 | 19,135,137 | 2.576 × 10−05 | 0.077 | 0.006 | Solute Carrier Family 7 Member 11 (SLC7A11) | Intron variant |
| GLU | rs412782784 | 1 | 257,987,356 | 7.143 × 10−06 | 0.067 | 0.118 | β-1,3-Galactosyltransferase 5 (B3GALT5) | ~288 Kb downstream |
| GLU | rs410943504 | 2 | 178,724,382 | 7.415 × 10−06 | 0.457 | 0.059 | Dipeptidyl Peptidase Like 10 (DPP10) | Intron variant |
| LDH | rs402703943 | 1 | 63,683,463 | 1.665 × 10−05 | 0.218 | 0.090 | Heparan Sulfate 2-O-Sulfotransferase 1 (HST2ST1) | ~185 Kb downstream |
| LDH | rs410138359 | 13 | 18,806,069 | 1.678 × 10−05 | 0.169 | 0.087 | Neuropilin 1 (NRP1) | ~44 Kb downstream |
| IP | rs420848991 | 2 | 168,420,121 | 4.201 × 10−06 | 0.191 | 0.077 | LDL Receptor Related Protein 1B (LRP1B) | Intron variant |
| TPRO | rs423075621 | 8 | 963,780 | 2.017 × 10−05 | 0.488 | 0.045 | LOC101118029 | ~74 Kb upstream |
| TPRO | rs401111582 | 7 | 79,289,788 | 2.319 × 10−05 | 0.386 | 0.044 | Mitogen-Activated Protein 3 Kinase 9 (MAP3K9) | Intron variant |
| UREA | rs403791299 | 18 | 48,405,490 | 5.277 × 10−06 | 0.432 | 1.971 | LOC101103187 | ~127 Kb upstream |
Disclaimer/Publisher’s Note: The statements, opinions and data contained in all publications are solely those of the individual author(s) and contributor(s) and not of MDPI and/or the editor(s). MDPI and/or the editor(s) disclaim responsibility for any injury to people or property resulting from any ideas, methods, instructions or products referred to in the content. |
© 2024 by the authors. Licensee MDPI, Basel, Switzerland. This article is an open access article distributed under the terms and conditions of the Creative Commons Attribution (CC BY) license (https://creativecommons.org/licenses/by/4.0/).
Share and Cite
Kizilaslan, M.; Arzik, Y.; Behrem, S.; Yavuz, E.; White, S.N.; Cinar, M.U. Unravelling the Genetic Architecture of Serum Biochemical Indicators in Sheep. Genes 2024, 15, 990. https://doi.org/10.3390/genes15080990
Kizilaslan M, Arzik Y, Behrem S, Yavuz E, White SN, Cinar MU. Unravelling the Genetic Architecture of Serum Biochemical Indicators in Sheep. Genes. 2024; 15(8):990. https://doi.org/10.3390/genes15080990
Chicago/Turabian StyleKizilaslan, Mehmet, Yunus Arzik, Sedat Behrem, Esra Yavuz, Stephen N. White, and Mehmet Ulas Cinar. 2024. "Unravelling the Genetic Architecture of Serum Biochemical Indicators in Sheep" Genes 15, no. 8: 990. https://doi.org/10.3390/genes15080990
APA StyleKizilaslan, M., Arzik, Y., Behrem, S., Yavuz, E., White, S. N., & Cinar, M. U. (2024). Unravelling the Genetic Architecture of Serum Biochemical Indicators in Sheep. Genes, 15(8), 990. https://doi.org/10.3390/genes15080990

