Next Article in Journal
Identification and Comprehensive Analysis of circRNA-miRNA-mRNA Regulatory Networks in A2780 Cells Treated with Resveratrol
Next Article in Special Issue
Interspecific and Intraspecific Transcriptomic Variations Unveil the Potential High-Altitude Adaptation Mechanisms of the Parnassius Butterfly Species
Previous Article in Journal
Liver Transcriptomic Profiles of Ruminant Species Fed Spent Hemp Biomass Containing Cannabinoids
Previous Article in Special Issue
Mitochondrial Genome Characteristics Reveal Evolution of Acanthopsetta nadeshnyi (Jordan and Starks, 1904) and Phylogenetic Relationships
 
 
Font Type:
Arial Georgia Verdana
Font Size:
Aa Aa Aa
Line Spacing:
Column Width:
Background:
Article

Phylogenetic and Comparative Genomics Study of Papilionidae Based on Mitochondrial Genomes

1
Chongqing Key Laboratory of Vector Control and Utilization, Institute of Entomology and Molecular Biology, College of Life Sciences, Chongqing Normal University, Chongqing 401331, China
2
School of Life Sciences, Xiamen University, Xiamen 361102, China
*
Authors to whom correspondence should be addressed.
These authors contributed equally to this work.
Genes 2024, 15(7), 964; https://doi.org/10.3390/genes15070964
Submission received: 12 June 2024 / Revised: 19 July 2024 / Accepted: 20 July 2024 / Published: 22 July 2024

Abstract

Most species of Papilionidae are large and beautiful ornamental butterflies. They are recognized as model organisms in ecology, evolutionary biology, genetics, and conservation biology but present numerous unresolved phylogenetic problems. Complete mitochondrial genomes (mitogenomes) have been widely used in phylogenetic studies of butterflies, but mitogenome knowledge within the family Papilionidae is limited, and its phylogeny is far from resolved. In this study, we first report the mitogenome of Byasa confusa from the subfamily Papilioninae of Papilionidae. The mitogenome of B. confusa is 15,135 bp in length and contains 13 protein-coding genes, 22 transfer RNA genes, 2 ribosomal RNA genes, and an AT-rich control region (CR), closely mirroring the genomic structure observed in related butterfly species. Comparative analysis of 77 Papilionidae mitogenomes shows gene composition and order to be identical to that of an ancestral insect, and the AT bias, Ka/Ks, and relative synonymous codon usage (RSCU) are all consistent with that of other reported butterfly mitogenomes. We conducted phylogenetic analyses using maximum-likelihood (ML) and Bayesian-inference (BI) methods, with 77 Papilionidae species as ingroups and two species of Nymphalidae and Lycaenidae as outgroups. The phylogenetic analysis indicated that B. confusa were clustered within Byasa. The phylogenetic trees show the monophyly of the subfamily Papilioninae and the tribes Leptocircini, Papilionini, and Troidini. The data supported the following relationships in tribe level on Papilioninae: (((Troidini + Papilionini) + Teinopalpini) + Leptocircini). The divergence time analysis suggests that Papilionidae originated in the late Creataceous. Overall, utilizing the largest number of Papilionidae mitogenomes sequenced to date, with the current first exploration in a phylogenetic analysis on Papilionidae (including four subfamilies), this study comprehensively reveals the mitogenome characteristics and mitogenome-based phylogeny, providing information for further studies on the mitogenome, phylogeny, evolution, and taxonomic revision of the Papilionidae family.

1. Introduction

The Papilionidae family encompasses four subfamilies (Papilioninae, Zerynthinae, Baroniinae, and Parnassinae), comprising approximately 570 species worldwide, with the majority inhabiting tropical and subtropical regions [1,2]. Mitogenome data have been pivotal in inferring and analyzing the phylogenetic relationships of butterflies, serving as reliable molecular markers due to maternal inheritance, stable gene composition, relatively conserved gene sequences, and low recombination rates [3,4]. Butterfly research often utilizes mitochondrial markers like COI, COII, and 16S rRNA for studies in molecular systematics, evolution, population genetics, and phylogenetics [5,6]. However, complete mitochondrial genomes for Papilionidae remain scarce, hindering a comprehensive understanding of phylogenetic relationships within the family. Uncertainties persist regarding the classification of Zerynthinae and the taxonomic status of Parnassinae [7]. To date, complete mitochondrial genome sequences are unavailable for most Byasa species, with only Byasa alcinous [8] and Byasa hedistus [9] having been reported. Lack of genomic data hinders our ability to elucidate the phylogenetic relationships within the Papilionidae family.
Byasa confusa (Rothschild, 1896), a member of the Papilionidae family’s Papilioninae subfamily, belongs to the genus Byasa and is primarily distributed in China, with occurrences also documented in Japan, Korea, and Vietnam [10,11]. Renowned as an essential ornamental butterfly, previous research on this species has predominantly concentrated on morphological characteristics, artificial rearing, and behavioral observations [7,8,11,12].
In this study, we present the first-time sequencing and analysis of the complete mitochondrial genome of B. confusa. Our analysis incorporated a total of 77 mitochondrial genomes, including one newly sequenced mitogenome, 76 previously published mitochondrial genomes from various Papilionidae species (encompassing 4 subfamilies and 31 genera), along with two outgroups sourced from the Nymphalidae and Lycaenidae families. Not only did we provide a preliminary comparative analysis of their genetic composition and structural features but we also constructed phylogenetic relationships and discussed the evolution among numerous significant subfamilies and tribes within Papilionidae.

2. Materials and Methods

2.1. Sample Collection and Identification

Adults of B. confusa (Figure 1) were collected by sweep nets in Xingtian Village of Dongan Town (109°11′2″ E, 31°42′46″ N), Chengkou District in Chongqing, China. The specimens were morphologically identified (Figure 1) and confirmed by referring to previous studies [11]. Voucher specimens were deposited at Chongqing Normal University (CQNU) (accession number 20170700203, Zhentian Yan, 20132148@cqnu.edu.cn).

2.2. Sequencing and Mitogenome Assembly

Genomic DNA extraction from male legs was performed using a TIANamp Genomic DNA Kit (TIANGEN, Beijing, China) [13]. Subsequently, the DNA library was prepared according to the manufacturer’s guidelines, employing the Illumina TruSeq™ DNA Sample Preparation Kit (Illumina, San Diego, CA, USA). The constructed library was then loaded onto an Illumina Novaseq 6000 platform for PE 2 × 150 bp sequencing, which was performed by Novogene (Beijing, China). Quality control and filtering of low-quality reads were conducted using the NGS QC toolkit [14]. The clean data obtained were utilized for assembling the complete mitogenome through the GetOrganelle pipeline, using the “animal_mt” parameter [15].

2.3. Mitogenome Annotation and Characteristics Analysis

Assembled mitochondrial sequences were annotated using an MitoZ (v3.4) annotation module [16]. The annotated genomes have been deposited in GenBank under the accession number PP375289. Initial determination of gene boundaries was conducted through the MITOS web server to identify the locations of each gene [17]. Comparison with Papilionidae mitogenomes, available on GenBank, allowed the identification of 13 protein-coding genes (PCGs) and 2 ribosomal RNA (rRNA) genes. Genomes were visualized using CGView [18].
Amino acid composition, nucleotide content, and relative synonymous codon usage (RSCU) were examined using MEGA software (v6.06) and PhyloSuite (v1.2.3) [19,20]. Codon usage bias for a broader sample of 77 Papilionidae species was analyzed using the pheatmap package in R (v4.2.2), implemented in Hiplot Pro (https://hiplot.com.cn/, accessed on 6 June 2024) [21]. Nucleotide compositional bias was assessed by AT/GC skew.
Rates of synonymous (Ks) and non-synonymous (Ka) mutations were calculated using DnaSP (v5.10.01) [21]. Nucleotide diversity (Pi) was calculated with a 100-bp sliding window approach in DnaSP (v5.10.01). Box plots and 3D scatter plots illustrating AT skew, GC skew, and AT percentage were created in Origin Pro (v9.0) [22].

2.4. Phylogenetic Analysis

Phylogenetic relationships among 77 Papilionidae species were investigated, comprising one newly sequenced species from this study and 76 known species (Table 1). The mitochondrial genome database utilized for analysis included protein-coding genes with all codon positions (PCG123), along with two ribosomal RNA genes (12S rRNA and 16S rRNA). Bayesian-inference (BI) and maximum-likelihood (ML) methods were employed for phylogenetic inference. Vanessa indica (NC_038157) (Lepidoptera: Nymphalidae) and Cupido argiades (KC310728) (Lepidoptera: Lycaenidae) sequences were employed as outgroups. Each mitochondrial gene was aligned separately using MAFFT (v7.388) with default settings [23], with ambiguous regions subsequently removed using Gblocks [24]. Phylogenetic analyses were conducted utilizing PhyloSuite (v1.2.2) [21], with optimal partition schemes and nucleotide substitution models determined via PartitionFinder 2.0 based on the Bayesian information criterion (BIC) [25,26]. BI analysis was executed using MrBayes 3.2.6, employing 2,000,000 generations and 4 chains, with sampling conducted every 1000 generations [25]. A consensus tree was generated after discarding the initial 25% of trees as burn-in, and posterior probabilities (PPs) were calculated. Model selection was performed using the Akaike information criterion (AIC) in ModelFinder [27]. Subsequently, the ML phylogenetic tree was reconstructed using IQ-TREE (v 2.1.2) with 1000 ultrafast bootstraps, employing the GTR + F + R6 model [28].

2.5. Divergence Time Estimation

To calibrate the phylogenetic tree using fossil-based age constraints, we included 79 mitogenomes. A fossil age of 108 million years ago (Mya), sourced from timetree.org [29], was utilized. Lognormal priors and fixed hard minimum ages were applied to these fossil calibrations. A dataset containing concatenated protein-coding genes (PCGs) from the 79 mitogenomes was aligned using Clustal. Divergence time estimation was performed using BEAST v2.7.7 [30], with XML file creation done using BEAUTi v2.7.7. BEAUTi was configured with a relaxed uncorrelated lognormal clock model, Yule process speciation model, and GTR + γ site model. Markov chain Monte Carlo (MCMC) chains ran for 500 million generations, sampling trees every 10,000 generations. Tree summarization utilized TreeAnnotator v2.6.7, and visualization was performed using FigTree v1.4.4 [31] to display tree topology, posterior probability support values, and node ages.
Table 1. Information on the mitochondrial genome used for the phylogenetic analysis of Papilionidae in this study.
Table 1. Information on the mitochondrial genome used for the phylogenetic analysis of Papilionidae in this study.
SubfamilyTribeGenusSpeciesGenBank Accession
No.
Reference
PapilioninaeLeptocirciniLampropteraLamproptera curiusNC_023953[32]
Lamproptera megesNC_037867Unpublished
GraphiumGraphium chironidesNC_026910[33]
Graphium sarpedonNC_070049Unpublished
Graphium confuciusOK136253Unpublished
Graphium eurousMW549198Unpublished
Graphium mullahMW549197Unpublished
Graphium parusMT198821[34]
Graphium dosonMK144328[35]
Graphium leechiNC_034837Unpublished
Graphium timurNC_024098[36]
ParanticopsisParanticopsis xenoclesMZ394042[37]
PathysaPathysa antiphatesNC_069979Unpublished
IphiclidesIphiclides podaliriusMK507891[38]
ProtographiumProtographium marcellusMK507890[38]
ProtesilausProtesilaus protesilausLT999984Unpublished
MimoidesMimoides lysithousNC_037871Unpublished
TeinopalpiniTeinopalpusTeinopalpus aureusOL449692[39]
Teinopalpus imperialisNC_027108[40]
MeandrusaMeandrusa scironLS975123Unpublished
PapilioniniPapilioPapilio natewaNC_069293Unpublished
Papilio nephelusMZ353681[41]
Papilio alcmenorNC_071889Unpublished
Papilio bianorKC433409[42]
Papilio helenusON653407Unpublished
Papilio thoasNC_059755Unpublished
Papilio polytesMZ188895Unpublished
Papilio rexNC_034356Unpublished
Papilio slateriNC_037874Unpublished
Papilio maackiiKC433408[43]
Papilio syfaniusNC_023978[44]
Papilio glaucusKR822739[45]
Papilio epycidesMZ501807[43]
Papilio macilentusNC_067884Unpublished
Papilio dialisNC_066472Unpublished
Papilio parisNC_053770[46]
AgehanaPapilio elwesiOK052950[47]
Papilio marahoNC_014055[48]
TroidiniEuryadesEuryades corethrusNC_037862Unpublished
CressidaCressida cressidaMK507889[38]
PachlioptaPachliopta aristolochiaeNC_034280Unpublished
ByasaByasa alcinousLT999969Unpublished
Byasa confusaPP375289This study
AtrophaneuraAtrophaneura dixoniLT999977Unpublished
ParidesParides photinusLS974638Unpublished
PharmacophagusPharmacophagus antenorLS975119Unpublished
TroidesTroides aeacusNC_060569Unpublished
LosariaLosaria neptunusNC_037868Unpublished
TrogonopteraTrogonoptera brookianaNC_037875Unpublished
OrnithopteraOrnithoptera priamusNC_037870Unpublished
Ornithoptera alexandraeNC_073567Unpublished
Ornithoptera richmondiaNC_037869Unpublished
ZerynthiinaeZerynthiiniZerynthiaZerynthia polyxenaMK507888[38]
LuehdorfiaLuehdorfia chinensisKU360130[49]
Luehdorfia taibaiNC_023938[50]
Luehdorfia puziloiOP936022[51]
/AllancastriaAllancastria cerisyiLS974636Unpublished
BhutanitisBhutanitis thaidinaOP894929[51]
Bhutanitis mansfieldiNC_037863Unpublished
BaroniinaeBaroniiniBaroniaBaronia brevicornisLT999970Unpublished
ParnassiinaeParnassiiniParnassiusParnassius bremeriNC_014053[13]
Parnassius honrathiNC_072292[51]
Parnassius nomionOP989703[51]
Parnassius apolloOP850800[51]
Parnassius mercuriusNC_047306[52]
Parnassius orleansOP850799[51]
Parnassius szechenyiiOP850798[51]
Parnassius patriciusNC_072294[51]
Parnassius schulteiNC_072290[51]
Parnassius imperatorNC_072289[51]
Parnassius loxiasNC_072288[51]
Parnassius hideNC_072287[51]
Parnassius simoNC_072286[51]
Parnassius chouiKY072797Unpublished
Parnassius cephalusNC_026457[53]
/HypermnestraHypermnestra heliosLS975127Unpublished
ArchonArchon apollinusLT999971Unpublished
NymphalinaeVanessaVanessa indicaNC_038157[54]
PolyommatinaeCupidoCupido argiadesKC310728[55]

3. Results

3.1. Genome Organization and Nucleotide Composition

The complete mitogenome of B. confusa spans a length of 15,135 bp, with an average read coverage of 239-fold (Figure 2). The genome comprises 37 typical mitogenome genes, including 13 PCGs, 22 tRNA genes, and 2 rRNA genes, alongside a non-coding region known as the A + T rich region or control region. The J-strand, the majority coding strand, houses 9 PCGs and 14 transfer RNAs (tRNAs). The remaining genes reside on the N-strand, the minority strand (Figure 2, Table 2).
In the present study, the mitogenomes of 77 species (including the newly sequenced ones) in Papilionidae were included in our phylogenetic analyses. All mitogenomes exhibit a significant AT bias, with AT content ranging from 77.2% (Parnassius bremeri) to 82.2% (Bhutanitis mansfieldi), and an average positive AT-skew of 0.0132 with a negative GC-skew of −0.1587 (Figure 3, Table S1). Notably, Parnassinae and Zerynthiinae are more compact relative to Papilioninae in the three-dimensional distribution.
Consistent with other Papilionidae species [31,34,38,56], the mitochondrial gene arrangement of B. confusa was observed. The overall nucleotide composition comprises 38.2% A, 42.8% T, 11.6% C, and 7.5% G. The mitochondrial genome exhibits 12 gene overlaps (ranging from 1 to 25 bp). Ribosomal RNAs demonstrate conservation typical of other insects, with the 16S rRNA spanning 1359 bp, situated between tRNALeu and tRNAVal, and exhibiting an AT content of 84.4%. The 12S rRNA, flanked by tRNAVal and the control region, spans 804 bp, with an AT content of 85.1%. Among the 22 interspersed tRNA genes, totaling 1444 bp in length, the AT content is 81.7%, with tRNAGlu displaying the highest (92.7%) and tRNALys the lowest (70.0%) AT content (Table 3). Consistent with other Papilionidae, the anticodons of the 22 tRNA genes remain identical. The control region spans 303 bp, boasting an A + T content of 95.1% (Table 3), commonly recognized as the origin of DNA replication and exhibiting considerable sequence divergence from other Papilionidae.

3.2. Protein-Coding Genes and Codon Usage

As can be seen from Table 2, most protein-coding genes commence with the standard ATN (ATG, ATT, ATA, and ATC) as start codons. Termination codons for the 13 protein-coding genes predominantly consist of TAA, TAG, or T. Specifically, nine protein-coding genes (ND2, COI, ATP8, ATP6, COII, ND5, ND4L, Cytb, and ND1) conclude with the complete termination codon TAA, while COII and ND4 terminate with the incomplete stop codon T. Additionally, ND3 employs TAG, and ND6 uses TAT as stop codons (Table 2). The incomplete stop codon T may undergo post-transcriptional polyadenylation to complete as TAA.
Analysis of relative synonymous codon usage (RSCU) in the B. confusa mitogenome (Figure 4) revealed a preference for codons encoding phenylalanine (Phe), isoleucine (Ile), and leucine (Leu). Conversely, codons for cysteine (Cys) and arginine (Arg) were used the least frequently. This bias aligns with the high Adenine (A) and Thymine (T) content observed in the protein-coding genes. Further supporting this trend, RSCU analysis across Papilionidae (Figure 5) identified the five most common codons (UUA, AUU, CCU, GCU, AUA, and ACU) as A or U-rich, highlighting a strong bias towards AT nucleotides.

3.3. Analysis of Nucleotide Diversity and Evolutionary Rate in the Family Papilionidae

Analysis of nucleotide diversity within the 13 PCGs of B. confusa revealed variation, ranging from 0.113 (COI) to 0.193 (NAD6) (Figure 6). The NAD6 gene exhibited the highest diversity, followed by NAD3, NAD2, and ATP6. Conversely, COI, COII, and NAD5 displayed lower diversity, suggesting they are more conserved (Figure 6). These findings are further supported by evolutionary rate analysis (Figure 7).
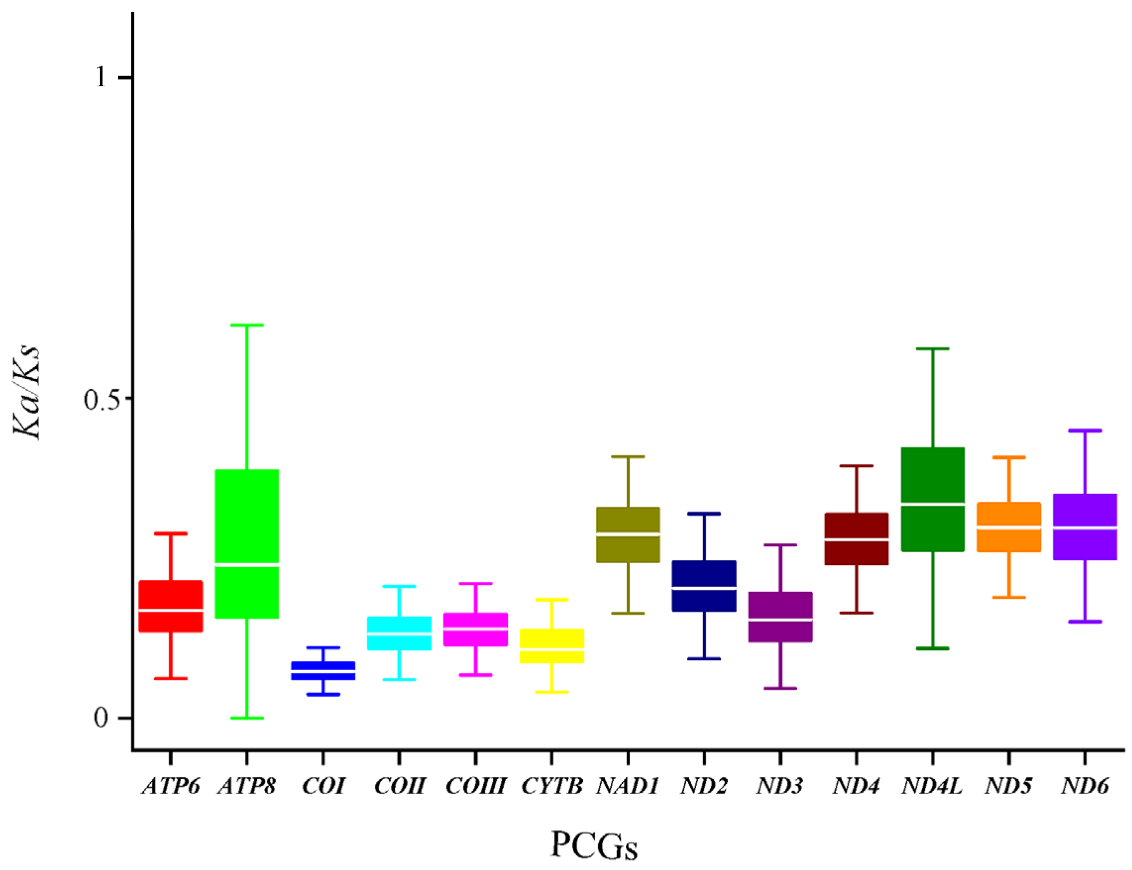
By comparing and analyzing the sizes of Ka, Ks, and Ka/Ks values of the 13 PCGs of the known mitochondrial genomes of 77 butterfly species from Papilionidae, although there are some differences in the Ka and Ks values of the 13 PCGs, it can be seen that all of them have a Ka/Ks value of less than 1 (Figure 7), suggesting that all of the 13 PCGs had undergone purifying selection during their evolution in Papilionidae. The COI gene displayed the lowest Ka/Ks ratio (0.075), indicating strong purifying selection, a slower evolutionary rate, and greater conservation compared to other genes (Figure 7). In contrast, the highest Ka/Ks ratio observed in ATP8 (0.236) suggests weaker selection pressure and potentially faster evolution (Figure 7).

3.4. Phylogenetic Relationships and Divergence Time

To clarify the phylogenetic relationships among numerous significant subfamilies and tribes within Papilionidae, we constructed Bayesian-inference (BI) and maximum-likelihood (ML) phylogenetic trees using PCG123 and two rRNA datasets for 77 Papilionidae species, including B. cofusa, with Vanessa indica and Cupido argiades as outgroups. Our analyses yielded largely consistent tree topologies across the two concatenated datasets (Figure 8 and Figure 9).
The trees revealed four distinct clusters corresponding to the subfamilies Papilioninae (PP = 1; BP = 100), Zerynthiinae (PP ≥ 0.9; BP = 100), Baroniinae (PP = 1; BP ≥ 90), and Parnassiinae (PP ≥ 0.9; BP ≥ 73). Within the four subfamilies, our ML analysis tree indicated a structure of (((Papilioninae + Zerynthiinae) + Parnassiinae) + Baroniinae), supporting that Papilioninae, Zerynthiinae, and Parnassiinae were all monophyletic. However, the subfamilies Zerynthiinae and Parnassiinae were paraphyletic in the BI tree. Notably, in both ML and BI analyses, the data uncontroversially supported the following relationship for Papilioninae at the tribe level: (((Troidini + Papilionini) + Teinopalpini) + Leptocircini). In the ML tree, both of the tribes Zerynthiini and Parnassiini exhibited good monophyly (BP = 100), which strongly supports the point of addressing these two taxa as separate subfamilies. However, in contradiction to the ML analysis, the two tribes may be sister groups to each other in the BI tree (PP ≤ 0.9), also implying that the two may belong to the same subfamily, i.e., Parnassiina. Additionally, the analyses confirmed the placement of B. confusa within the tribe Troidini of the Papilioninae subfamily.
Based on the BI tree of Papilionidae, the fossil calibration point of 108 Mya [57] between Vanessa indica and Baronia brevicornis was selected to estimate the divergence time (Figure 10). The subfamily Papilioninae was the earliest-appearing group in the investigation and was estimated to have diverged mostly during the Creataceous. Within the subfamily Papilioninae, the divergence between Troidini and the remaining lineages of Papilioninae occurred at around 112.9 Mya. Subsequently, the Troidini diverged at 89.8 Mya and the Leptocircini diverged at 79.3 Mya; while the Teinopalpini + Papilionini was derived at around 88.1 Mya, the two tribes began to diverge at around 73.0 Mya and 71.2 Mya, respectively. The remaining subfamilies of Papilionidae began to diverge at around 82.6 Mya (in the late Creataceous). Our results indicated that the evolutionary clades of the subfamily Parnassiinae formed a paraphyly in relation to both Baroniinae and Zerynthiinae, and all clades were derived at around 82.6 Mya. The subfamily Baroniinae appeared at around 73.2 Mya in the early Paleogene, and Zerynthiinae + Parnassiinae at around 72.1 Mya in the early Paleogene. Significantly, the tribes Parnassiini and Zerynthiini initiated divergence at roughly 33.6 Mya and 21.9 Mya, respectively.

4. Discussion

4.1. General Characteristics

In the present study, we completed the sequencing of the mitochondrial genome of B. confusa for the first time and analyzed it in comparison with the 76 reported mitochondrial genomes of Papilionidae. The complete mitogenome of B. confusa showed a clear AT bias, and the order of the genes and the orientation of the open reading frames of the protein-coding genes were consistent with those of the other butterflies reported [8,9], and no gene rearrangements or deletions were found. Additionally, the overlapping region between ATP8 and ATP6 (7 bp) was present in the sequenced species, which is common throughout Lepidoptera [58,59].
Notably, our study reveals a consistent AT bias across all 77 species of Papilionidae analyzed, with AT content ranging from 77.2% to 82.2%. This bias is reflected in the relative synonymous codon usage of 13 PCGs and nucleotide composition. By comparing and analyzing the Ka/Ks values (all less than 1) of the 13 protein-coding genes (PCGs) within the known mitochondrial genomes of 77 butterfly species of Papilionidae, the result indicates that all 13 PCGs are under evolutionary purifying selection [60]. In particular, the COI exhibits the strongest purifying selection and high conservatism, as evidenced by its lowest Ka/Ks value (0.075). This further account strengthens the notion of the COI gene as an optimal molecular marker for taxonomic and evolutionary studies of butterflies [61].

4.2. Phylogenetic Relationships

During the process of investigating Papilionidae, we found that the classification of Zerynthiinae and Parnassiinae differs greatly among domestic and foreign studies [7,62,63], and some specialists consider Zerynthiini and Parnassiinii to be a sister group at the subfamily level [64,65]. Ding et al. made a preliminary discussion on the taxonomic status and genealogical relationship between the two based on morphology and geographic distribution, yet concluded that Zerynthiini should be classified as a tribe under the Parnassiinae and should not be regarded as a subfamily separately, but lacking molecular evidence [66]. Hauser and Caterino doubted the monophyly of Parnassiinae [67,68]; however, Omoto reconstructed the phylogeny of Parnassiinae using the ND5 gene, which provided evidence for the monophyly of Parnassiinae [69]. In the present study, the results of the ML tree analysis indicate that both Zerynthiinae and Parnassiinae are monophyletic groups, supporting the subfamily status of Zerynthiinae, whereas the results in the BI tree differ; therefore, the present study is the initial exploration of a phylogenetic analysis for Papilionidae (including four subfamilies).
In previous investigations, as a larger subfamily in Papilionidae, there has been controversial phylogenetic relationships of tribes within Papilioninae. Some scholars abroad partitioned Papilioninae separately into three to five tribes [63,64,65,66,67], while Zhou and Wu classified Papilioninae into four tribes based on morphology, i.e., Troidini, Papilionini, Teinopalpini, and Leptocircini [7,62]. In this study, phylogenetic tree analysis supported the latter view by clustering Papilioninae into four monophyletic tribes at high confidence values.
However, there has been controversy over the phylogenetic status of Troidini. Aubert et al. phylogenetically analyzed partial sequences in 16S + ND1 genes from representative species in each Papilionini genus, as well as from some other major Papilionidae taxa, indicating that Troidini is not a sister group to the Papilionini [70]. Using the 16S rRNA gene as a genetic marker, Su et al. conducted a phylogeny study on Papilioninae that also found that Troidini was embedded within Papilionini, not showing better monophyly [71]; however, Zakharov et al. concluded that Troidini constituted a sister group with Papilionini through a comprehensive analysis of COI + COII + EF-1α sequences [72], which is in agreement with Miller and Simonsen [63,73]. In both the ML and BI trees of this study, Papilioninae shows a consensus evolutionary relationship: (((Troidini + Papilionini) + Teinopalpini) + Leptocircini). The results confirm that Troidini is a monophyletic group and also provide new molecular data for exploring the phylogenetic relationships of Papilioninae. However, further work and broader taxon sampling are necessary.
In summary, the contradictory patterns observed could be attributed to the still limited taxon sampling. Therefore, future studies should emphasize expanding the sample size and incorporating a wider range of molecular markers to obtain a more comprehensive understanding of the phylogenetic relationships among subfamilies and tribes within Papilionidae.

4.3. Divergence Time Estimates

Gaunt and Miles constructed a phylogenetic tree of holometamorphic insects by COI gene sequence analysis and estimated that Papilionidae diverged at around the late Cretaceous (89 May) [74]. Subsequently, Simonsen et al. and Nazari et al. dated the divergence of Papilionidae to 68 May and 90 May, respectively, based on biological morphology and molecular biology data [73,75], whereas Zakharov et al. delineated a divergence time range of 82.5 May to 89.1 May based on molecular biology data [72], all of which point to the Late Cretaceous. Our results advance the divergence of Papilionidae to around 112.9 May (Cretaceous period), and this estimate, although earlier than previous studies, is still within the confidence interval [72,73,74,75].
As we explored the divergence times of the tribes within Papilionidae, we found that the divergence time of Troidini was estimated by Braby et al. to be around 90 May by mitochondrial protein-coding genes, generally in agreement with the 89.8 May estimated in the present study [76]; meanwhile, the divergence time of Parnassiini (33.6 May) is similar to Nazari et al. and Michel et al.’s estimation (38 May to 34 May) [75,77]. Notably, the divergence time of Leptocircini (79.3 May) was remarkably earlier than that of Simonsen et al.’s estimate (44 May) [73], revealing that this tribe may possess an older evolutionary history. Such results broaden our understanding of the evolutionary history within Papilionidae and related tribes and also indicate the variation and complementarities in molecular dating across different research methods and datasets.

5. Conclusions

In the present study, we offer comprehensive mitogenome data pertaining to B. confusa, engaging in a thorough analysis of its genetic structure and phylogenetic placement alongside other subfamilies and tribes. The mitochondrial genome of B. confusa spans 15,135 bp, displaying a notable bias towards AT composition. Our analysis underscores consistent trends in AT skew, codon utilization, single nucleotide polymorphisms, and sequence variation lengths across Papilionidae. Additionally, this paper provides a comprehensive summary of mitochondrial genomic attributes characterizing the Papilionidae family, serving as a valuable resource for future taxonomic studies.
The phylogenetic analysis conducted in this study delineated B. confusa’s placement within the Byasa genus, Troidini tribe, and Papilioninae subfamily, mirroring traditional morphological classification. According to the present comparative study, the status of Zerynthiinae as a distinct subfamily is preliminarily confirmed, especially notable in the ML analysis, whereas the monophyly of Papilioninae has further been supported, fulfilling the initial exploration of a phylogenetic analysis on Papilionidae (including four subfamilies). Furthermore, the controversial evolutionary relationships among tribes within Papilioninae are resolved.
As compared to other related studies, this study utilized a larger sequence set, resulting in a more convincing reconstruction of Papilionidae’s phylogenetic relationships than other related studies. However, there were also some shortcomings in this study, Including multiple discrepancies in the estimation of time divergence. In further research, more accurate estimates of divergence times are necessary with more precise fossil records for calibration and more complete sampling.

Supplementary Materials

The following supporting information can be downloaded at: https://www.mdpi.com/article/10.3390/genes15070964/s1, Table S1: Nucleotide composition and skewness of 77 mitochondrial genomes of the family Papilionidae.

Author Contributions

Conceptualization, Z.-T.Y., X.-Y.T. and B.C.; methodology, Z.-T.Y. and X.-Y.T.; data analysis, Z.-T.Y., X.-Y.T. and S.-T.L.; data curation, X.-Y.T.; writing—original draft preparation, Z.-T.Y. and X.-Y.T.; writing—review and editing, Z.-T.Y., X.-Y.T., S.-T.L., Z.-H.F. and B.C.; visualization, Z.-T.Y., X.-Y.T., S.-T.L. and D.Y. All authors have read and agreed to the published version of the manuscript.

Funding

This work was supported by the Science and Technology Research Program of Chongqing Education Commission of China (No. KJQN202300511), which ran from 2023 to 2026 and is still in progress.

Institutional Review Board Statement

Not applicable.

Informed Consent Statement

Not applicable.

Data Availability Statement

The genome sequence data that support the findings of this study are openly available in the GenBank of NCBI at (https://www.ncbi.nlm.nih.gov/) under accession no PP375289 on 21 February 2024. The associated BioProject, SRA, and Bio-Sample numbers are PRJNA1058706, SAMN39187394, and SRR27376806.

Conflicts of Interest

The authors declare no conflicts of interest.

References

  1. Van Nieukerken, E.; Kaila, L.; Kitching, I.; Kristensen, N.P.; Lees, D.; Minet, J.; Mitter, C.; Mutanen, M.; Regier, J.C.; Simonsen, T.J.; et al. Order Lepidoptera Linnaeus, 1758. Zootaxa 2011, 3148, 212–221. [Google Scholar]
  2. Shou, J. The New Version of the World Butterfly List; Shaanxi Science and Technology Publishing House: Xi’an, China, 2016; pp. 15–114. [Google Scholar]
  3. Cameron, S.L.; Lambkin, C.L.; Barker, S.C.; Whiting, M.F. A mitochondrial genome phylogeny of Diptera: Whole genome sequence data accurately resolve relationships over broad timescales with high precision. Syst. Entomol. 2007, 32, 40–59. [Google Scholar] [CrossRef]
  4. Lavrov, D.V. Key transitions in animal evolution: A mitochondrial DNA perspective. Integr. Comp. Biol. 2007, 47, 734–743. [Google Scholar] [CrossRef]
  5. Caterino, M.S.; Sperling, F.A.H. Papilio phylogeny based on mitochondrial cytochrome oxidase I and II genes. Mol. Phylogenetics Evol. 1999, 11, 122–137. [Google Scholar] [CrossRef]
  6. Qin, J. The Study on Mitochondrial Genomes and Molecular Phylogenetics of Butterflies; Science Press: Beijing, China, 2017; p. 18. [Google Scholar]
  7. Wu, C. Fauna Scinica, Insecta Vol. 25 (Lepidoptera: Papilionidae: Papilioninae); Science Press: Beijing, China, 2001; pp. 62–307. [Google Scholar]
  8. Tang, J.; Yu, W.; Song, D.; Li, C. Study on the bionomics of Byasa confusa (Rothschild). Ecol. Sci. 2015, 34, 111–114. [Google Scholar]
  9. Liu, G.; Chang, Z.; Chen, L.; He, J.; Dong, Z.; Yang, J.; Lu, S.; Zhao, R.; Wan, W.; Ma, G.; et al. Genome size variation in butterflies (Insecta, Lepidotera, Papilionoidea), A thorough phylogenetic comparison. Syst. Entomol. 2020, 45, 571–582. [Google Scholar] [CrossRef]
  10. Zhou, Y. Classification and Identification of Chinese Butterflies; Henan Science and Technology Press: Zhengzhou, China, 1998; pp. 1–349. [Google Scholar]
  11. Wu, C.; Xu, Y. Illustrated Handbook of Chinese Butterflies; Straits Publishing House: Fuzhou, China, 2017. [Google Scholar]
  12. Zhang, L.; He, S. Reering and observation of Byasa confusa. Bull. Biol. 2017, 52, 59–60. [Google Scholar]
  13. Kim, M.I.; Baek, J.Y.; Kim, M.J.; Jeong, H.C.; Kim, K.G.; Bae, C.H.; Han, Y.S.; Jin, B.R.; Kim, I. Complete nucleotide sequence and organization of the mitogenome of the red-spotted apollo butterfly, Parnassius bremeri (Lepidoptera: Papilionidae) and comparison with other lepidopteran insects. Mol. Cells 2009, 28, 347–363. [Google Scholar] [CrossRef] [PubMed]
  14. Patel, R.K.; Jain, M. NGS QC Toolkit: A toolkit for quality control of next generation sequencing data. PLoS ONE 2012, 7, e30619. [Google Scholar] [CrossRef]
  15. Jin, J.; Yu, W.; Yang, J.; Song, Y.; dePamphilis, C.W.; Yi, T.; Li, D. GetOrganelle: A fast and versatile toolkit for accurate de novo assembly of organelle genomes. Genome Biol. 2020, 21, 241. [Google Scholar] [CrossRef]
  16. Meng, G.; Li, Y.; Yang, C.; Liu, S. MitoZ: A toolkit for animal mitochondrial genome assembly, annotation and visualization. Nucleic Acids Res. 2019, 47, e63. [Google Scholar] [CrossRef] [PubMed]
  17. Bernt, M.; Donath, A.; Jühling, F.; Externbrink, F.; Florentz, C.; Fritzsch, G.; Pütz, J.; Middendorf, M.; Stadler, P.F. MITOS: Improved de novo metazoan mitochondrial genome annotation. Mol. Phylogenetics Evol. 2013, 69, 313–319. [Google Scholar] [CrossRef] [PubMed]
  18. Stothard, P.; Wishart, D.S. Circular genome visualization and exploration using CGView. Bioinformatics 2005, 21, 537–539. [Google Scholar] [CrossRef] [PubMed]
  19. Tamura, K.; Stecher, G.; Peterson, D.; Filipski, A.; Kumar, S. MEGA6: Molecular Evolutionary Genetics Analysis version 6.0. Mol. Biol. Evol. 2013, 30, 2725–2729. [Google Scholar] [CrossRef] [PubMed]
  20. Zhang, D.; Gao, F.; Jakovlić, I.; Zou, H.; Zhang, J.; Li, W.; Wang, G. PhyloSuite: An integrated and scalable desktop platform for streamlined molecular sequence data management and evolutionary phylogenetics studies. Mol. Ecol. Resour. 2020, 20, 348–355. [Google Scholar] [CrossRef] [PubMed]
  21. Librado, P.; Rozas, J. DnaSP v5: A software for comprehensive analysis of DNA polymorphism data. Bioinformatics 2009, 25, 1451–1452. [Google Scholar] [CrossRef] [PubMed]
  22. Mikrajuddin, A.K. A simple method for determining surface porosity based on SEM images using Origin Pro software. Indones. J. Phys 2009, 20, 37–41. [Google Scholar]
  23. Katoh, K.; Standley, D.M. MAFFT multiple sequence alignment software version 7: Improvements in performance and usability. Mol. Phylogenetics Evol. 2013, 30, 772–780. [Google Scholar] [CrossRef] [PubMed]
  24. Talavera, G.; Castresana, J. Improvement of phylogenies after removing divergent and ambiguously aligned blocks from protein sequence alignments. Syst. Biol. 2007, 56, 564–577. [Google Scholar] [CrossRef] [PubMed]
  25. Ronquist, F.; Teslenko, M.; van der Mark, P.; Ayres, D.L.; Darling, A.; Höhna, S.; Larget, B.; Liu, L.; Suchard, M.A.; Huelsenbeck, J.P. MrBayes 3.2: Efficient Bayesian phylogenetic inference and model choice across a large model space. Syst. Biol. 2012, 61, 539–542. [Google Scholar] [CrossRef]
  26. Lanfear, R.; Calcott, B.; Ho, S.; Guindon, S. Partitionfinder: Combined selection of partitioning schemes and substitution models for phylogenetic analyses. Mol. Phylogenetics Evol. 2012, 29, 1695–1701. [Google Scholar] [CrossRef] [PubMed]
  27. Kalyaanamoorthy, S.; Minh, B.Q.; Wong, T.K.F.; von Haeseler, A.; Jermiin, L.S. ModelFinder: Fast model selection for accurate phylogenetic estimates. Nat. Methods 2017, 14, 587–589. [Google Scholar] [CrossRef] [PubMed]
  28. Nguyen, L.T.; Schmidt, H.A.; Haeseler, A.; Minh, B.Q. IQ-TREE: A fast and effective stochastic algorithm for estimating maximum-likelihood phylogenies. Mol. Phylogenetics Evol. 2015, 32, 268–274. [Google Scholar] [CrossRef] [PubMed]
  29. Sudhir, K.; Glen, S.; Michael, S.; Hedges, S.B. TimeTree: A Resource for Timelines, Timetrees, and Divergence Times. Mol. Biol. Evol. 2007, 34, 1812–1819. [Google Scholar]
  30. Bouckaert, R.; Vaughan, T.G.; Barido-Sottani, J.; Duchêne, S.; Fourment, M.; Gavryushkina, A.; Heled, J.; Jones, G.; Kühnert, D.; De Maio, N.; et al. BEAST 2.5: An advanced software platform for Bayesian evolutionary analysis. PLoS Comput. Biol. 2019, 15, e1006650. [Google Scholar] [CrossRef] [PubMed]
  31. Rambaut, FigTree (Version 1.4.4). Available online: https://tree.bio.ed.ac.uk/software/figtree/ (accessed on 12 July 2024).
  32. Qin, X.; Guan, Q.; Li, H.; Zhang, Y.; Liu, Y.; Guo, D. The complete mitogenome of Lamproptera curia (Lepidoptera: Papilionidae) and phylogenetic analyses of Lepidoptera. Front. Biol. 2015, 10, 458–472. [Google Scholar] [CrossRef]
  33. Chen, X.; Hao, J. The complete mitochondrial genome of Graphium chironides (Lepidoptera: Papilionidae: Papilioninae). Mitochondrial DNA Part A 2014, 27, 4049–4051. [Google Scholar] [CrossRef]
  34. Duan, K.; Zhang, X.; Zhang, H.; Hu, S. Complete mitochondrial genome of the subalpine swordtail butterfly Graphium (Pazala) parus (Nicéville, 1900) (Lepidoptera: Papilionidae). Mitochondrial DNA Part B 2020, 5, 1903–1904. [Google Scholar] [CrossRef]
  35. Kong, W.; Hou, Y.; Zhang, G.; Yang, T.; Xiao, R. Complete mitochondrial genome of Graphium doson (Papilioninae: Leptocircini). Mitochondrial DNA Part B 2019, 4, 698–699. [Google Scholar] [CrossRef]
  36. Chen, Y.; Gan, S.; Shao, L.; Cheng, C.; Hao, J. The complete mitochondrial genome of the Pazala timur (Lepidoptera: Papilionidae: Papilioninae). Mitochondrial DNA Part A DNA Mapp. Seq. Anal. 2016, 27, 533–534. [Google Scholar] [CrossRef]
  37. Fan, Z.; Hu, Y.; Luo, S.; Hu, D.; Wang, X.; Fu, W.; Chen, B.; Yan, Z. The complete mitogenome of the Paranticopsis xenocles (Lepidoptera: Papilionidae: Papilioninae) and phylogenetic implications. Mitochondrial DNA Part B Resour. 2021, 6, 3346–3347. [Google Scholar] [CrossRef] [PubMed]
  38. Condamine, F.L.; Nabholz, B.; Clamens, A.L.; Dupuis, J.R.; Sperling, F.A.H. Mitochondrial phylogenomics, the origin of swallowtail butterflies, and the impact of the number of clocks in Bayesian molecular dating. Syst. Entomol. 2018, 43, 460–480. [Google Scholar] [CrossRef]
  39. Qin, F.; Jiang, G.; Zhou, S. Complete mitochondrial genome of the Teinopalpus aureus guangxiensis (Lepidoptera: Papilionidae) and related phylogenetic analyses. Mitochondrial DNA 2012, 23, 123–125. [Google Scholar] [CrossRef] [PubMed]
  40. Huang, C.; Zeng, J.; Zhou, S. Complete mitochondrial genomes of Teinopalpus imperialis (Lepidoptera: Papilionidae) and phylogenetic relationships analyses. Mitochondrial DNA Part A DNA Mapp. Seq. Anal. 2016, 27, 2903–2904. [Google Scholar] [CrossRef] [PubMed]
  41. Yan, Z.; Lu, M.; Luo, S.; He, S.; Fu, W.; Wang, X.; Fan, Z.; Hu, D.; Chen, B. Complete mitochondrial genomes of Papilio nephelus chaon and Papilio epycides (Lepidoptera: Papilionidae: Papilioninae) and phylogenetic analysis. Mitochondrial DNA Part B Resour. 2022, 7, 1203–1205. [Google Scholar] [CrossRef] [PubMed]
  42. Dong, Y.; Zhu, L.X.; Wu, Y.; Wu, X. The complete mitochondrial genome of the Chinese peacock, Papilio bianor (Insecta: Lepidoptera: Papilionidae). Mitochondrial DNA 2013, 24, 636–638. [Google Scholar] [CrossRef]
  43. Dong, Y.; Zhu, L.X.; Wu, Y.; Wu, X. The complete mitochondrial genome of the Alpine black swallowtail, Papilio Maackii (Insecta: Lepidoptera: Papilionidae). Mitochondrial DNA 2013, 24, 639–641. [Google Scholar] [CrossRef] [PubMed]
  44. Dong, Y.; Zhu, L.; Ding, M.; Wang, J.; Luo, L.; Liu, Y.; Ou, Y. Complete mitochondrial genome of Papilio syfanius (Lepidoptera: Papilionidae). Mitochondrial DNA Part A DNA Mapp. Seq. Anal. 2016, 27, 403–404. [Google Scholar] [CrossRef]
  45. Cong, Q.; Borek, D.; Otwinowski, Z.; Grishin, N.V. Tiger Swallowtail Genome Reveals Mechanisms for Speciation and Caterpillar Chemical Defense. Cell Rep. 2015, 10, 910–919. [Google Scholar] [CrossRef]
  46. Sun, Y.; Huang, H.; Zhang, X.; Xia, J.; Geng, J.; Zhang, K. The complete mitochondrial genome of the Papilio paris (Lepidoptera: Papilionidae). Mitochondrial DNA Part B Resour. 2020, 5, 733–735. [Google Scholar] [CrossRef]
  47. Liang, J.; Ma, F.; Wang, M.; Wang, H. Complete mitochondrial genome of Papilio elwesi and its phylogenetic analyses with other swallowtail butterflies (Lepidoptera, Papilionidae). Mitochondrial DNA Part B 2022, 7, 510–512. [Google Scholar] [CrossRef] [PubMed]
  48. Wu, L.; Lees, D.C.; Yen, S.; Hsu, Y.F. The Complete Mitochondrial Genome of the Near-Threatened Swallowtail, Agehana maraho(Lepidoptera: Papilionidae): Evaluating Sequence Variability and Suitable Markers for Conservation Genetic Studies. Entomol. News 2010, 121, 267–280. [Google Scholar] [CrossRef]
  49. Dong, Y.; Zhu, L.; Wang, C.; Zhang, M.; Ding, P. The complete mitochondrial genome of Luehdorfia chinensis Leech (Lepidoptera: Papilionidae) from China. Mitochondrial DNA Part B Resour. 2016, 1, 198–199. [Google Scholar] [CrossRef] [PubMed]
  50. Lian-Xi, X.; Peng-Fei, L.; Jia, W.; Kai, W.; Ping, Y. The complete mitochondrial genome of the endangered butterfly Luehdorfia taibai Chou (Lepidoptera: Papilionidae). Mitochondrial DNA 2014, 25, 122–123. [Google Scholar] [CrossRef] [PubMed]
  51. Tian, X.; Mo, S.; Liang, D.; Wang, H.; Zhang, P. Amplicon capture phylogenomics provides new insights into the phylogeny and evolution of alpine Parnassius butterflies (Lepidoptera: Papilionidae). Syst. Entomol. 2023, 48, 571–584. [Google Scholar] [CrossRef]
  52. Si, C.; Chen, K.; Hao, J. The complete mitochondrial genome of Parnassius mercurius Grum-Grshimailo (Lepidoptera: Papilionidae: Parnassiinae). Mitochondrial DNA Part B Resour. 2020, 5, 538–540. [Google Scholar] [CrossRef] [PubMed]
  53. Xia, C.; Wang, Y.; Hao, J. The complete mitochondrial genome of Parnassius cephalus (Lepidoptera: Papilionidae: Parnassinae). Mitochondrial DNA Part A DNA Mapp. Seq. Anal. 2016, 27, 4031–4032. [Google Scholar] [CrossRef] [PubMed]
  54. Lu, Y.; Liu, N.; Xu, N.; Fang, J.; Wang, S. The complete mitochondrial genome of Vanessa indica and phylogenetic analyses of the family Nymphalidae. Genes Genomic. 2018, 40, 1011–1022. [Google Scholar] [CrossRef] [PubMed]
  55. Zhang, L.; Huang, D.; Sun, X.; Hao, J.; Hao, J.; Peng, C.; Yang, Q. The complete mitochondrial genome of Cupido argiades (Lepidoptera: Lycaenidae). Mitochondrial DNA 2013, 24, 475–477. [Google Scholar] [CrossRef]
  56. Hu, Y.; Luo, S.; Zhou, X.; Wang, L.; Chen, S.; Ding, H.; Chen, B.; Fu, W.; Zhang, L.; Yan, Z.; et al. Complete mitochondrial genome of Parnassius glacialis (Lepidoptera: Papilionidae). Mitochondrial DNA Part B Resour. 2022, 7, 478–479. [Google Scholar] [CrossRef]
  57. Wiemers, M.; Chazot, N.; Wheat, C.W.; Schweiger, O.; Wahlberg, N. A complete time-calibrated multi-gene phylogeny of the European butterflies. ZooKeys 2020, 938, 97–124. [Google Scholar] [CrossRef] [PubMed]
  58. Kim, M.I.; Wan, X.; Kim, M.J.; Jeong, H.C.; Ahn, N.H.; Kim, K.G.; Han, Y.; Kim, I. Phylogenetic relationships of true butterflies (Lepidoptera: Papilionoidea) inferred from COI, 16S rRNA and EF-1α sequences. Mol. Cells 2010, 30, 409–425. [Google Scholar] [CrossRef] [PubMed]
  59. Jiang, S.; Hong, G.; Yu, M.; Li, N.; Yang, Y.; Liu, Y.; Wei, Z. Characterization of the complete mitochondrial genome of the giant silkworm moth, Eriogyna pyrethrum (Lepidoptera: Saturniidae). Int. J. Biol. Sci. 2009, 5, 351–365. [Google Scholar] [CrossRef] [PubMed]
  60. Zhang, Z.; Yu, J. Evaluation of six methods for estimating synonymous and nonsynonymous substitution rates. Genomics. Proteom. Bioinform. 2006, 4, 173–181. [Google Scholar] [CrossRef] [PubMed]
  61. Hajibabaei, M.; McKenna, C. DNA mini-barcodes. Methods Mol. Biol. 2012, 858, 339–353. [Google Scholar] [PubMed]
  62. Zhou, Y. Monographia of Chinese Butterflies (First Volume); Henan Science and Technology Press: Zhengzhou, China, 1999. [Google Scholar]
  63. Miller, J.S. Phylogenetic studies in the Papilioninae (Lepidopter: Papilionidae). Bull. Am. Mus. Nat. Hist. 1987, 186, 385–512. [Google Scholar]
  64. Munroe, E. The classification of the Papilionidae (Lepidoptera). Can. Ent. Suppl. 1961, 17, 1–51. [Google Scholar] [CrossRef]
  65. Hancock, D.L. Classification of the Papilionidae (Lepidoptera), a phylogenetic approach. Smithersia 1983, 2, 1–48. [Google Scholar]
  66. Ding, L.; Zhang, Y.; Zhu, C. Preliminary study on taxonomy and phylogeny of Zerynthiini and Parnassiini (Lepidoptera: Papilionidae). Acta Zootaxonomica Sin. 2007, 32, 355–362. [Google Scholar]
  67. Hauser, C.L. Critical comments on the phylogenetic relationships within the family Papilionidae (Lepidoptera). Notalepid 1993, 16, 34–43. [Google Scholar]
  68. Caterino, M.S.; Reed, R.D.; Kuo, M.M.; Sperling, F.A. A partitioned likelihood analysis of swallowtail butterfly phylogeny (Lepidoptera:Papilionidae). Syst. Biol. 2001, 50, 106–127. [Google Scholar] [CrossRef]
  69. Omoto, K.; Katoh, T.; Chichv, A.A. Molecular systematics and evolution of the “Apollo” butterflies of the genus Parnassius (Lepidoptera: Papilionidae) based on mitochondrial DNA sequence data. Gene 2004, 326, 141–147. [Google Scholar] [CrossRef] [PubMed]
  70. Aubert, J.; Legal, L.; Descimon, H.; Michel, F. Molecular phylogeny of swallowtail butterflies of the tribe Papilionini (Papilionidae, Lepidoptera). Mol. Phylogenetics Evol. 1999, 12, 156–167. [Google Scholar] [CrossRef] [PubMed]
  71. Su, C.; Zhu, G.; Hao, J.; Chen, N.; Pan, H.; Wu, D.; Zhang, X. Molecular phylogenetic relationships of swallowtail butterflies of the subfamily Papilioninae (Papilionidae, Lepidoptera) based on 16s rRNA gene. Acta Zootaxonomica Sin. 2007, 32, 335–342. [Google Scholar]
  72. Zakharov, E.V.; Caterino, M.S.; Sperling, F.A.H. Molecular phylogeny, historical biogeography, and divergence time estimates for swallowtail butterflies of the genus Papilio (Lepidoptera: Papilioninae). Syst. Biol. 2004, 53, 193–215. [Google Scholar] [CrossRef] [PubMed]
  73. Simonsen, T.J.; Zakharov, E.V.; Djernaes, M.; Cotton, A.M.; Van-Wright, R.I.; Sperling, F.A.H. Phylogenetics and divergence times of Papilioninae (Lepidoptera) with special reference to the enigmatic genera Teinopalpus and Meandrusa. Cladistics 2011, 27, 113–137. [Google Scholar] [CrossRef] [PubMed]
  74. Gaunt, M.W.; Miles, M.A. An insect molecular clock dates the origin of the insects and accords with palaeontological and biogeographic landmarks. Mol. Biol. Evol. 2002, 19, 748–761. [Google Scholar] [CrossRef] [PubMed]
  75. Nazari, V.; Zakharov, E.V.; Sperling, F.A.H. Phylogeny, historical biogeography, and taxonomic ranking of Parnassiinae (Lepidoptera: Papilionidae) based on morphology and seven genes. Mol. Phylogenetics Evol. 2007, 42, 131–156. [Google Scholar] [CrossRef] [PubMed]
  76. Braby, M.F.; Trueman, J.W.H.; Eastwood, R. When and where did troidine butterflies (Lepidoptera: Papilionidae) evolve? Phylogenetic and biogeographic evidence suggests an origin in remnant Gondwana in the Late Cretaceous. Invertebr. Syst. 2005, 19, 113–143. [Google Scholar] [CrossRef]
  77. Michel, F.; Rebourg, C.; Cosson, E.; Descimon, H. Molecular phylogeny of Parnassiinae butterflies (Lepidoptera: Papilionidae) based on the sequences of four mitochondrial DNA segments. Annales de la Société entomologique de France (N.S.). Int. J. Entomol. 2008, 44, 1–36. [Google Scholar] [CrossRef]
Figure 1. Images of a male adult specimen of B. confusa: (A) dorsal; (B) ventral. (photographed by Zhentian Yan).
Figure 1. Images of a male adult specimen of B. confusa: (A) dorsal; (B) ventral. (photographed by Zhentian Yan).
Genes 15 00964 g001
Figure 2. Complete mitogenomic structures of B. confusa. The genes on the outer loop are on the J-strand, and the genes on the inner loop are on the N-strand. Different colors indicate different gene families.
Figure 2. Complete mitogenomic structures of B. confusa. The genes on the outer loop are on the J-strand, and the genes on the inner loop are on the N-strand. Different colors indicate different gene families.
Genes 15 00964 g002
Figure 3. Three-dimensional scatter plot of the AT–skew, GC–skew, and AT% of 77 mitochondrial genome sequences of the family Papilionidae.
Figure 3. Three-dimensional scatter plot of the AT–skew, GC–skew, and AT% of 77 mitochondrial genome sequences of the family Papilionidae.
Genes 15 00964 g003
Figure 4. Relative synonymous codon usage of the mitochondrial genome of B. confusa.
Figure 4. Relative synonymous codon usage of the mitochondrial genome of B. confusa.
Genes 15 00964 g004
Figure 5. The relative synonymous codon usage (RSCU) of 13 PCGs in the mitogenomes of Papilionidae. The x– and y–axis represent the codon type and species name, respectively. The legend in the upper right corner represents the usage frequency of synonymous codons.
Figure 5. The relative synonymous codon usage (RSCU) of 13 PCGs in the mitogenomes of Papilionidae. The x– and y–axis represent the codon type and species name, respectively. The legend in the upper right corner represents the usage frequency of synonymous codons.
Genes 15 00964 g005
Figure 6. Nucleotide diversity (Pi) was estimated in the mitochondrial genomes of 77 species in the family Papilionidae. The size of the sliding window is 100 bp, with each step being 5 bp. The bars above the graph represent protein-coding genes (PCGs).
Figure 6. Nucleotide diversity (Pi) was estimated in the mitochondrial genomes of 77 species in the family Papilionidae. The size of the sliding window is 100 bp, with each step being 5 bp. The bars above the graph represent protein-coding genes (PCGs).
Genes 15 00964 g006
Figure 7. Box plot of Ka/Ks from 13 PCGs of 77 Papilionidae mitogenomes. Ka, non-synonymous mutation rate; Ks, synonymous mutation rate; Ka/Ks, the ratio of non-synonymous mutation rate to synonymous mutation rate.
Figure 7. Box plot of Ka/Ks from 13 PCGs of 77 Papilionidae mitogenomes. Ka, non-synonymous mutation rate; Ks, synonymous mutation rate; Ka/Ks, the ratio of non-synonymous mutation rate to synonymous mutation rate.
Genes 15 00964 g007
Figure 8. Maximum-likelihood (ML) tree based on 77 species of mitogenomes in the Papilionidae, with Vanessa indica and Cupido argiades as outgroup. Numbers on the nodes are bootstrap values based on 1000 replicates. The B. confusa is marked in red.
Figure 8. Maximum-likelihood (ML) tree based on 77 species of mitogenomes in the Papilionidae, with Vanessa indica and Cupido argiades as outgroup. Numbers on the nodes are bootstrap values based on 1000 replicates. The B. confusa is marked in red.
Genes 15 00964 g008
Figure 9. Reconstruction of a phylogenetic tree determined by Bayesian-inference methods based on 77 species of mitogenomes in the Papilionidae, with Vanessa indica and Cupido argiades as outgroup. Bayesian posterior probabilities (BPP) are shown at relevant branches of the BI tree. The B. confusa is marked in red.
Figure 9. Reconstruction of a phylogenetic tree determined by Bayesian-inference methods based on 77 species of mitogenomes in the Papilionidae, with Vanessa indica and Cupido argiades as outgroup. Bayesian posterior probabilities (BPP) are shown at relevant branches of the BI tree. The B. confusa is marked in red.
Genes 15 00964 g009
Figure 10. Estimated time tree of the Papilionidae. Blue bars indicate 95% posterior density intervals for node ages, while the red star represents the selected fossil calibration point.
Figure 10. Estimated time tree of the Papilionidae. Blue bars indicate 95% posterior density intervals for node ages, while the red star represents the selected fossil calibration point.
Genes 15 00964 g010
Table 2. Positions and features of the genes in B. confusa mitogenome.
Table 2. Positions and features of the genes in B. confusa mitogenome.
GeneStrandGenes PositionSize (bp)Intergenic Spaces (bp) NumberStart-CodonStop-Codon
tRNAMetJ1–63630
tRNAIleJ64–128650
tRNAGlnN126–19469−3
ND2J228–1241101433ATTTAA
tRNATrpJ1240–130465−2
tRNACysN1297–136266−8
tRNATyrN1363–1427650
COIJ1430–296515362CGATAA
tRNALeu (UUR)J2961–302767−5
COIIJ3028–37096820ATGT
tRNALysJ3710–3779700
tRNAAspJ3780–3847680
ATP8J3848–40181710ATTTAA
ATP6J4012–4689678−7ATGTAA
CO IIIJ4689–5477789−1ATGTAA
tRNAGlyJ5481–5545653
ND3J5546–58993540ATTTAG
tRNAAlaJ5898–596063−2
tRNAArgJ5961–6023630
tRNAAsnJ6024–6088650
tRNASer (AGN)J6088–614861−1
tRNAGluJ6149–6216680
tRNAPheN6215–628066−2
ND5 (R)N6286–802517405ATTTAA
tRNAHisN8026–8089640
ND4N8089–94281340−1ATGT
ND4LN9431–97212912ATGTAA
tRNAThrJ9724–9788652
tRNAProN9789–9853650
ND6J9856–10,2003452ATATAT
CytBJ10,389–11,5371149188ATGTAA
tRNASer (UCN)J11,537–11,60367−1
ND1N11,620–12,55893916ATGTAA
tRNALeu (CUN)N12,560–12,629701
16S rRNAN12,605–13,9631359−25
tRNAValN13,965–14,028641
12S rRNAN14,029–14,8328040
CR 14,833–15,1353030
Note: J and N indicate the majority coding strand and the minority strand, respectively; T indicates the incomplete stop codon.
Table 3. Nucleotide composition of the B. confusa mitogenome.
Table 3. Nucleotide composition of the B. confusa mitogenome.
FeatureProportion of Nucleotides
A (%)T (%)C (%)G (%)A + T (%)AT SkewGC Skew
Whole genome38.242.811.67.581−0.06−0.21
Protein-coding genes33.246.31010.579.5−0.170.02
tRNA genes41.340.47.810.581.70.010.15
16S rRNA44.9639.375.1510.5284.330.070.34
12S rRNA45.5239.555.19.8385.070.070.32
Control region43.8951.163.631.3295.05−0.08−0.47
Disclaimer/Publisher’s Note: The statements, opinions and data contained in all publications are solely those of the individual author(s) and contributor(s) and not of MDPI and/or the editor(s). MDPI and/or the editor(s) disclaim responsibility for any injury to people or property resulting from any ideas, methods, instructions or products referred to in the content.

Share and Cite

MDPI and ACS Style

Yan, Z.-T.; Tang, X.-Y.; Yang, D.; Fan, Z.-H.; Luo, S.-T.; Chen, B. Phylogenetic and Comparative Genomics Study of Papilionidae Based on Mitochondrial Genomes. Genes 2024, 15, 964. https://doi.org/10.3390/genes15070964

AMA Style

Yan Z-T, Tang X-Y, Yang D, Fan Z-H, Luo S-T, Chen B. Phylogenetic and Comparative Genomics Study of Papilionidae Based on Mitochondrial Genomes. Genes. 2024; 15(7):964. https://doi.org/10.3390/genes15070964

Chicago/Turabian Style

Yan, Zhen-Tian, Xiao-Ya Tang, Dong Yang, Zhen-Huai Fan, Si-Te Luo, and Bin Chen. 2024. "Phylogenetic and Comparative Genomics Study of Papilionidae Based on Mitochondrial Genomes" Genes 15, no. 7: 964. https://doi.org/10.3390/genes15070964

APA Style

Yan, Z.-T., Tang, X.-Y., Yang, D., Fan, Z.-H., Luo, S.-T., & Chen, B. (2024). Phylogenetic and Comparative Genomics Study of Papilionidae Based on Mitochondrial Genomes. Genes, 15(7), 964. https://doi.org/10.3390/genes15070964

Note that from the first issue of 2016, this journal uses article numbers instead of page numbers. See further details here.

Article Metrics

Back to TopTop